Development of Ammonia Combustion Technology for NOx Reduction
Abstract
1. Introduction
1.1. Greenhouse Gas Emissions and Ammonia as a Future Energy
1.2. Ammonia Production Industries
1.3. Properties of Ammonia as a Carbon-Free Energy Source
2. Theoretical Framework of Ammonia Combustion
2.1. Theoritical Ammonia Combustion
2.2. Ammonia Combustion Technologies
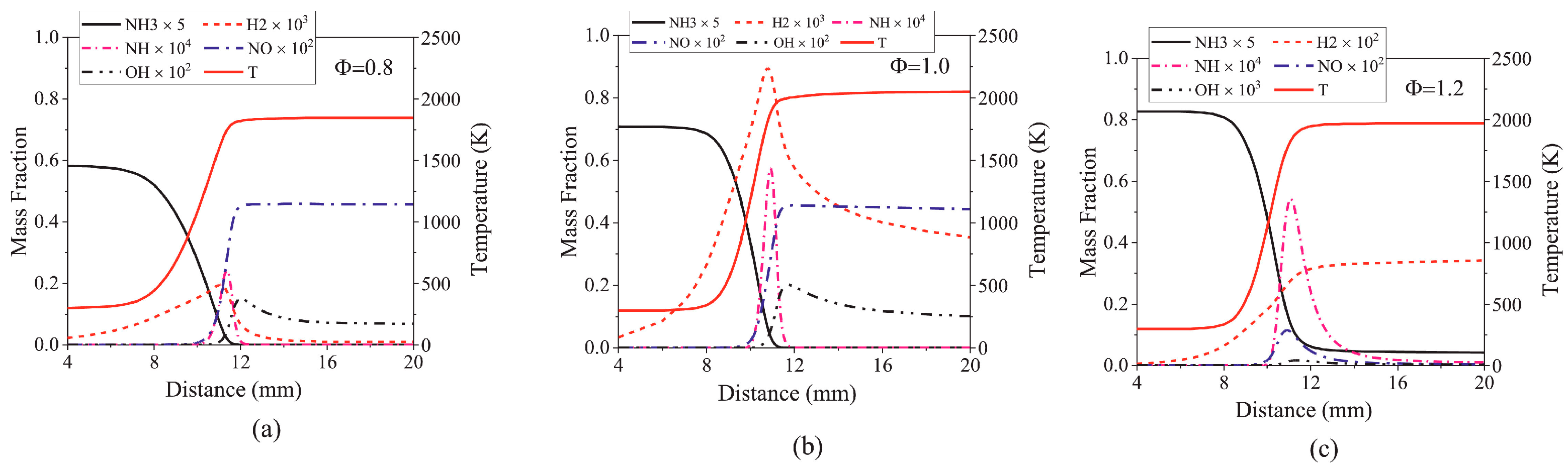
2.3. Chemical Kinetics of Ammonia Combustion
3. Ammonia Combustion Characteristics
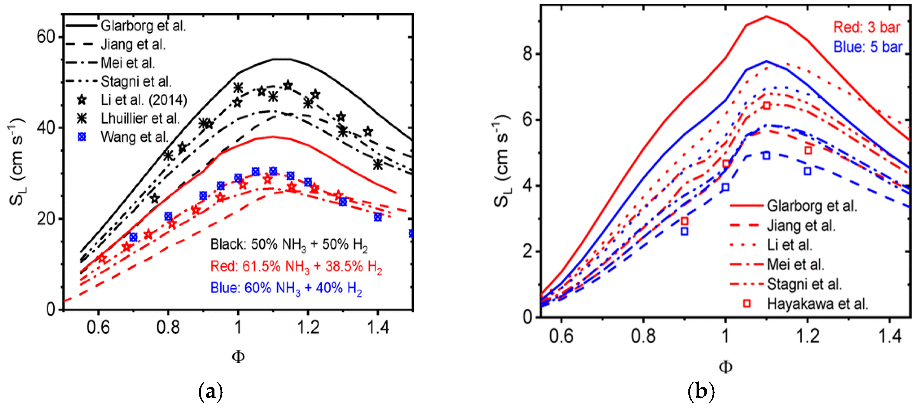
3.1. Propagation of Ammonia–Air Flames
3.2. Fuel Mixing and Pressure
3.3. Oxygen-Enriched Combustion
3.4. Flame Thickness
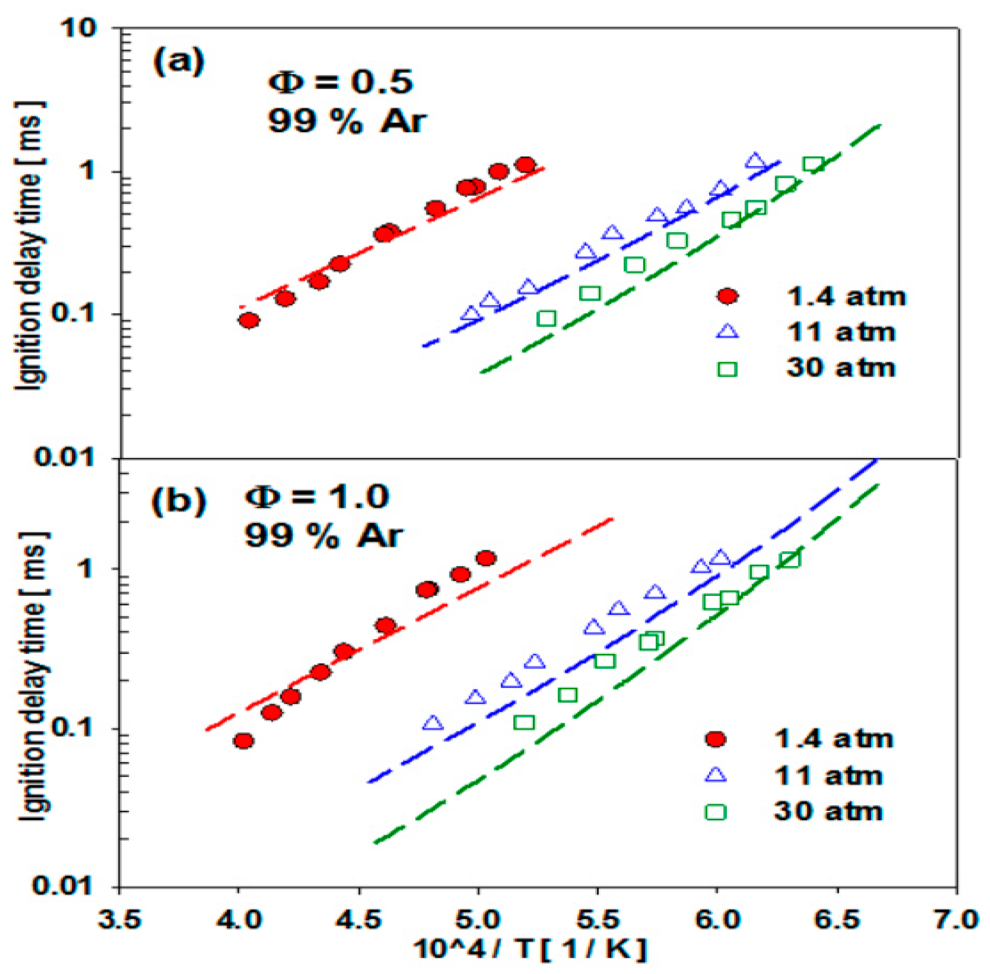
3.5. Ignition Characteristics
3.6. The Lean Blow-Off Limit (LBO) of Ammonia Flames
4. NOx in Ammonia Combustion
4.1. The Mechanism of NOx Formation and Reduction
4.2. Effect of ERs and Fuel Mixing on NOx Emissions
5. NOx Reduction Methods
5.1. Staged Combustion
5.2. Flameless Combustion
6. Conclusions
Funding
Conflicts of Interest
References
- Yousefi Rizi, H.A.; Shin, D. Green Hydrogen Production Technologies from Ammonia Cracking. Energies 2022, 15, 8246. [Google Scholar] [CrossRef]
- Wu, S.; Salmon, N.; Li, M.M.J.; Bañares-Alcántara, R.; Tsang, S.C.E. Energy Decarbonization via Green H2 or NH3? ACS Energy Lett. 2022, 7, 1021–1033. [Google Scholar] [CrossRef]
- Yousefi Rizi, H.A. Stability and Safety Analysis of Ammonia Flameless Combustion as a Supply Energy for Hydrogen Production. Graduate School, Kookmin University. 2023. Available online: https://www.dbpia.co.kr/journal/detail?nodeId=T16938023#a (accessed on 14 February 2024).
- MacFarlane, D.R.; Cherepanov, P.V.; Choi, J.; Suryanto, B.H.; Hodgetts, R.Y.; Bakker, J.M.; Vallana, F.M.F.; Simonov, A.N. A Roadmap to the Ammonia Economy. Joule 2020, 4, 1186–1205. [Google Scholar] [CrossRef]
- Lesmana, H.; Zhang, Z.; Li, X.; Zhu, M.; Xu, W.; Zhang, D. NH3 as a Transport Fuel in Internal Combustion Engines: A Technical Review. J. Energy Resour. Technol. 2019, 141, 070703. [Google Scholar] [CrossRef]
- Herbinet, O.; Bartocci, P.; Grinberg Dana, A. On the Use of Ammonia as a Fuel—A Perspective. Fuel Commun. 2022, 11, 100064. [Google Scholar] [CrossRef]
- Caballero, L.C.; Thornburg, N.E.; Nigra, M.M. Catalytic Ammonia Reforming: Alternative Routes to Net-Zero-Carbon Hydrogen and Fuel. Chem. Sci. 2022, 13, 12945–12956. [Google Scholar] [CrossRef]
- Elbaz, A.M.; Wang, S.; Guiberti, T.F.; Roberts, W.L. Review on the Recent Advances on Ammonia Combustion from the Fundamentals to the Applications. Fuel Commun. 2022, 10, 100053. [Google Scholar] [CrossRef]
- Andersson, J.; Lundgren, J. Techno-Economic Analysis of Ammonia Production via Integrated Biomass Gasification. Appl. Energy 2014, 130, 484–490. [Google Scholar] [CrossRef]
- Salmon, N.; Bañares-Alcántara, R. Green Ammonia as a Spatial Energy Vector: A Review. Sustain. Energy Fuels 2021, 5, 2814–2839. [Google Scholar] [CrossRef]
- Ariemma, G.B.; Sorrentino, G.; Ragucci, R.; de Joannon, M.; Sabia, P. Ammonia/Methane Combustion: Stability and NOx Emissions. Combust. Flame 2022, 241, 112071. [Google Scholar] [CrossRef]
- Yüzbaşıoğlu, A.E.; Avşar, C.; Gezerman, A.O. The Current Situation in the Use of Ammonia as a Sustainable Energy Source and Its Industrial Potential. Curr. Res. Green Sustain. Chem. 2022, 5, 100307. [Google Scholar] [CrossRef]
- Nozari, H.; Karabeyoglu, A. Combustion Characteristics of Ammonia as a Promising Renewable Fuel. In Proceedings of the World Congress on Momentum, Heat and Mass Transfer (MHMT’16), Prague, Czech Republic, 4–5 April 2016. [Google Scholar]
- Valera-Medina, A.; Xiao, H.; Owen-Jones, M.; David, W.I.F.; Bowen, P.J. Ammonia for Power. Prog. Energy Combust. Sci. 2018, 69, 63–102. [Google Scholar] [CrossRef]
- Imhoff, T.B.; Gkantonas, S.; Mastorakos, E. Analysing the Performance of Ammonia Powertrains in the Marine Environment. Energies 2021, 14, 7447. [Google Scholar] [CrossRef]
- Chai, W.S.; Bao, Y.; Jin, P.; Tang, G.; Zhou, L. A Review on Ammonia, Ammonia-Hydrogen, and Ammonia-Methane Fuels. Renew. Sustain. Energy Rev. 2021, 147, 111254. [Google Scholar] [CrossRef]
- Rocha, R.C.; Costa, M.; Bai, X.S. Combustion and Emission Characteristics of Ammonia under Conditions Relevant to Modern Gas Turbines. Combust. Sci. Technol. 2020, 193, 2514–2533. [Google Scholar] [CrossRef]
- Bazooyar, B.; Coomson, G.; Manovic, V.; Nabavi, S.A. Comparative Analysis of Ammonia Combustion for Domestic Applications. J. Energy Inst. 2022, 106, 101130. [Google Scholar] [CrossRef]
- Sorrentino, G.; Cavaliere, A.; Sabia, P.; Ragucci, R.; de Joannon, M. Diffusion Ignition Processes in MILD Combustion: A Mini Review. Front. Mech. Eng. 2020, 6, 10. [Google Scholar] [CrossRef]
- McAllister, S.; Chen, J.; Fernandez-Pello, A. Non-Premixed Flames (Diffusion Flames). In Fundamentals of Combustion Processes; McAllister, S., Chen, J., Fernandez-Pello, A.C., Eds.; Springer: Berlin/Heidelberg, Germany, 2011. [Google Scholar] [CrossRef]
- Song, C.; Wang, H.; Cheng, M.; Tian, T.; Luo, K.; Fan, J. A DNS Study of Heat Release Rate Surrogates with Unity and Non-Unity Exponents for Ammonia/Air Premixed Flames. Int. J. Hydrogen Energy 2023, 48, 16470–16480. [Google Scholar] [CrossRef]
- Weber, R.; Gupta, A.K.; Mochida, S. High Temperature Air Combustion (HiTAC): How It All Started for Applications in Industrial Furnaces and Future Prospects. Appl. Energy 2020, 278, 115551. [Google Scholar] [CrossRef]
- Lammel, O.; Schütz, H.; Schmitz, G.; Lückerath, R.; Stöhr, M.; Noll, B.; Aigner, M.; Hase, M.; Krebs, W. FLOX® Combustion at High Power Density and High Flame Temperatures. J. Eng. Gas Turbines Power 2010, 132, 121503. [Google Scholar] [CrossRef]
- de Joannon, M.; Matarazzo, A.; Sabia, P.; Cavaliere, A. MILD Combustion in Homogeneous Charge Diffusion Ignition (HCDI) Regime. Proc. Combust. Inst. 2007, 31, 3409–3416. [Google Scholar] [CrossRef]
- Otomo, J.; Koshi, M.; Mitsumori, T.; Iwasaki, H.; Yamada, K. Chemical Kinetic Modeling of Ammonia Oxidation with Improved Reaction Mechanism for Ammonia/Air and Ammonia/Hydrogen/Air Combustion. Int. J. Hydrogen Energy 2018, 43, 3004–3014. [Google Scholar] [CrossRef]
- Tamaoki, K.; Murakami, Y.; Kanayama, K.; Tezuka, T.; Izumi, M.; Nakamura, H. Roles of NH2 Reactions in Ammonia Oxidation at Intermediate Temperatures: Experiments and Chemical Kinetic Modeling. Combust. Flame 2024, 259, 113177. [Google Scholar] [CrossRef]
- Tian, Z.; Li, Y.; Zhang, L.; Glarborg, P.; Qi, F. An Experimental and Kinetic Modeling Study of Premixed NH3/CH4/O2/Ar Flames at Low Pressure. Combust. Flame 2009, 156, 1413–1426. [Google Scholar] [CrossRef]
- Inomata, S.; Washida, N. Rate Constants for the Reactions of NH2 and HNO with Atomic Oxygen at Temperatures between 242 and 473 K. J. Phys. Chem. A 1999, 103, 5023–5031. [Google Scholar] [CrossRef]
- Hulthen, E.; Nakamura, S. The Spectra of NH Compounds. Nature 1927, 119, 235–236. [Google Scholar] [CrossRef]
- Shrestha, K.P.; Seidel, L.; Zeuch, T.; Mauss, F. Detailed Kinetic Mechanism for the Oxidation of Ammonia Including the Formation and Reduction of Nitrogen Oxides. Energy Fuels 2018, 32, 10202–10217. [Google Scholar] [CrossRef]
- Alnasif, A.; Alkhayat, M.; Binous, R.; Al-Khusaibi, S.; Bouzid, A.; Khiari, R. Evolution of Ammonia Reaction Mechanisms and Modeling Parameters: A Review. Appl. Energy Combust. Sci. 2023, 15, 100175. [Google Scholar] [CrossRef]
- Klippenstein, S.J.; Harding, L.B.; Glarborg, P.; Miller, J.A. The Role of NNH in NO Formation and Control. Combust. Flame 2011, 158, 774–789. [Google Scholar] [CrossRef]
- Nakamura, H.; Hasegawa, S.; Tezuka, T. Kinetic Modeling of Ammonia/Air Weak Flames in a Micro Flow Reactor with a Controlled Temperature Profile. Combust. Flame 2017, 185, 16–27. [Google Scholar] [CrossRef]
- Okafor, E.C.; Naito, Y.; Colson, S.; Ichikawa, A.; Kudo, T.; Hayakawa, A.; Kobayashi, H. Experimental and numerical study of the laminar burning velocity of CH4–NH3–air premixed flames. Combust. Flame 2018, 187, 185–198. [Google Scholar] [CrossRef]
- Fan, Q.; Liu, X.; Xu, L.; Subash, A.A.; Brackmann, C.; Aldén, M.; Bai, X.-S.; Li, Z. Flame Structure and Burning Velocity of Ammonia/Air Turbulent Premixed Flames at High Karlovitz Number Conditions. Combust. Flame 2022, 238, 111943. [Google Scholar] [CrossRef]
- Rocha, R.C.; Zhong, S.; Xu, L.; Bai, X.-S.; Costa, M.; Cai, X.; Kim, H.; Brackmann, C.; Li, Z.; Aldén, M. Structure and Laminar Flame Speed of an Ammonia/Methane/Air Premixed Flame under Varying Pressure and ER. Energy Fuels 2021, 35, 7179–7192. [Google Scholar] [CrossRef]
- Li, J.; Lai, S.; Chen, D.; Wu, R.; Kobayashi, N.; Deng, L.; Huang, H. A Review on Combustion Characteristics of Ammonia as a Carbon-Free Fuel. Front. Energy Res. 2021, 9, 602. [Google Scholar] [CrossRef]
- Li, J.; Huang, H.; Kobayashi, N.; Wang, C.; Yuan, H. Numerical Study on Laminar Burning Velocity and Ignition Delay Time of Ammonia Flame with Hydrogen Addition. Energy 2017, 126, 796–809. [Google Scholar] [CrossRef]
- Wu, Z.; Zhang, G.; Wang, C.; Jin, S.; Ji, M.; Hu, C.; Shang, Q. Numerical investigation on the flame propagation process of ammonia/hydrogen blends under engine-related conditions. Int. J. Hydrogen Energy 2024, 60, 1041–1053. [Google Scholar] [CrossRef]
- Wang, N.; Huang, S.; Zhang, Z.; Li, T.; Yi, P.; Wu, D.; Chen, G. Laminar Burning Characteristics of Ammonia/Hydrogen/Air Mixtures with Laser Ignition. Int. J. Hydrogen Energy 2021, 46, 31879–31893. [Google Scholar] [CrossRef]
- Hayakawa, A.; Goto, T.; Mimoto, R.; Arakawa, Y.; Kudo, T.; Kobayashi, H. Laminar Burning Velocity and Markstein Length of Ammonia/Air Premixed Flames at Various Pressures. Fuel 2015, 159, 98–106. [Google Scholar] [CrossRef]
- Valera-Medina, A.; Amer-Hatem, F.; Azad, A.K.; Dedoussi, I.C.; de Joannon, M.; Fernandes, R.X.; Glarborg, P.; Hashemi, H.; He, X.; Mashruk, S.; et al. Review on Ammonia as a Potential Fuel: From Synthesis to Economics. Energy Fuels 2021, 35, 6964–7029. [Google Scholar] [CrossRef]
- Xue, Z.; Deng, H.; Yu, C.; Shi, X.; Wen, X.; Song, J.; Chen, G.; Wang, F.; Fan, T.; Chen, J.; et al. Laminar burning velocity, cellular instability, and the superadiabatic flame temperature phenomenon for NH3/syngas/air premixed flames. Int. J. Hydrogen Energy 2024, 86, 931–943. [Google Scholar] [CrossRef]
- Kang, L.; Pan, W.; Zhang, J.; Wang, W.; Tang, C. A Review on Ammonia Blends Combustion for Industrial Applications. Fuel 2023, 332, 126150. [Google Scholar] [CrossRef]
- Nonavinakere Vinod, K.; Fang, T. Experimental Characterization of Spark Ignited Ammonia Combustion under Elevated Oxygen Concentrations. Proc. Combust. Inst. 2023, 39, 4319–4326. [Google Scholar] [CrossRef]
- Üstün, C.E.; Herfatmanesh, M.R.; Valera-Medina, A.; Paykani, A. Applying machine learning techniques to predict laminar burning velocity for ammonia/hydrogen/air mixtures. Energy AI 2023, 1, 100270. [Google Scholar] [CrossRef]
- Liu, Q.; Chen, X.; Huang, J.; Shen, Y.; Zhang, Y.; Liu, Z. The Characteristics of Flame Propagation in Ammonia/Oxygen Mixtures. J. Hazard. Mater. 2019, 363, 187–196. [Google Scholar] [CrossRef]
- Wei, X.; Huang, R.; Zhou, X.; Zhang, W.; Zhang, H.; Liu, H. Investigation on Lean Blow-Off Characteristics and Stabilization Mechanism of Premixed Hydrogen Enhanced Ammonia/Air Swirl Flames in a Gas Turbine Combustor. Combust. Flame 2023, 249, 112600. [Google Scholar] [CrossRef]
- Zhang, M.; Wei, X.; Wang, J.; Huang, Z.; Tan, H. The blow-off and transient characteristics of co-firing ammonia/methane fuels in a swirl combustor. Proc. Combust. Inst. 2021, 38, 5181–5190. [Google Scholar] [CrossRef]
- Hayakawa, A.; Goto, T.; Mimoto, R.; Kudo, T.; Kobayashi, H. NO Formation/Reduction Mechanisms of Ammonia/Air Premixed Flames at Various ERs and Pressures. Mech. Eng. J. 2015, 2, 14-00402. [Google Scholar]
- Lee, H.; Lee, J.M.; Park, J.; Chung, S.H.; Yoo, C.S. Flame characteristics and NO emission behaviors of methane/ammonia counterflow premixed flames with opposed N2 or air stream. Fuel 2024, 370, 131851. [Google Scholar] [CrossRef]
- Miller, J.A.; Bowman, C.T. Kinetic Modeling of the Oxidation of Ammonia in Flames. Combust. Sci. Technol. 1983, 34, 149–176. [Google Scholar] [CrossRef]
- Shrestha, K.P. Detailed Kinetic Modeling of Ammonia Combustion. Ph.D. Thesis, Brandenburg University, Cottbus City, Germany, 2021. [Google Scholar] [CrossRef]
- Somarathne, K.D.K.A.; Colson, S.; Hayakawa, A.; Kobayashi, H. Modelling of Ammonia/Air Non-Premixed Turbulent Swirling Flames in a Gas Turbine-Like Combustor at Various Pressures. Combust. Theory Model 2018, 22, 973–997. [Google Scholar] [CrossRef]
- Tu, Y.; Xu, S.; Liu, H. Combustion and emission characteristics of NH3/CH4/air in a model swirl combustor: Comparison between premixed and non-premixed modes. Int. J. Hydrogen Energy 2023, 48, 17311–17323. [Google Scholar] [CrossRef]
- Zhu, X.; Ding, S.; Li, W.; Jin, W.; Zheng, Y.; Wang, H. Chemiluminescence Signature of Premixed Ammonia-Methane-Air Flames. Combust. Flame 2021, 231, 111508. [Google Scholar] [CrossRef]
- Nozari, H.; Karabeyoglu, A. Numerical Study of Combustion Characteristics of Ammonia as a Renewable Fuel and Establishment of Reduced Reaction Mechanisms. Fuel 2015, 159, 223–233. [Google Scholar] [CrossRef]
- Mashruk, S.; Biswas, S.; Zhao, D.; Li, Z.; Wang, C.; Xiao, H. Chemiluminescent Footprint of Premixed Ammonia-Methane-Air Swirling Flames. Proc. Combust. Inst. 2023, 39, 1415–1423. [Google Scholar] [CrossRef]
- Ding, C.; Li, S.; Cheng, Z.; Luo, Y.; Wang, Y. Comparative Study between Flameless Combustion and Swirl Flame Combustion Using Low Preheating Temperature Air for Homogeneous Fuel NO Reduction. Energy Fuels 2021, 35, 8181–8193. [Google Scholar] [CrossRef]
- Colson, S.; Hirano, Y.; Hayakawa, A.; Kudo, T.; Kobayashi, H.; Galizzi, C.; Escudie, D. Experimental and Numerical Study of NH3/CH4 Counterflow Premixed and Non-Premixed Flames for Various NH3 Mixing Ratios. Combust. Sci. Technol. 2021, 193, 2872–2889. [Google Scholar] [CrossRef]
- da Rocha, R.C.; Costa, M.; Bai, X.S. Chemical kinetic modelling of ammonia/hydrogen/air ignition, premixed flame propagation and NO emission. Fuel 2019, 246, 24–33. [Google Scholar] [CrossRef]
- Li, Z.; Li, S. Effects of inter-stage mixing on the NOx emission of staged ammonia combustion. Int. J. Hydrogen Energy 2022, 47, 9791–9799. [Google Scholar] [CrossRef]
- Li, Z.; Zhang, Y.; Zhang, H. Kinetics modeling of NOx emission of oxygen-enriched and rich-lean-staged ammonia combustion under gas turbine conditions. Fuel 2024, 355, 129509. [Google Scholar] [CrossRef]
- Wang, G.; Guiberti, T.F.; Cardona, S.; Jimenez, C.A.; Roberts, W.L. Effects of Residence Time on the NOx Emissions of Premixed Ammonia-Methane-Air Swirling Flames at Elevated Pressure. Proc. Combust. Inst. 2023, 39, 4277–4288. [Google Scholar] [CrossRef]
- Lemcherfi, A.I.; Gejji, R.; Fuller, T.L.; Anderson, W.E.; Slabaugh, C.D. Investigation of Combustion Instabilities in a Full Flow Staged Combustion Model Rocket Combustor. AIAA Propuls. Energy Forum 2019, 3948. [Google Scholar] [CrossRef]
- Lee, T.; Guahk, Y.T.; Kim, N.; Lee, H.; Lee, M.J. Stability and Emission Characteristics of Ammonia-Air Flames in a Lean-Lean Fuel Staging Tangential Injection Combustor. Combust. Flame 2023, 248, 112593. [Google Scholar] [CrossRef]
- Zheng, D.; He, D.; Du, Y.; Li, J.; Zhang, M.; Ding, Y.; Peng, Z. Experimental Study of the Methane/Hydrogen/Ammonia and Ethylene/Ammonia Oxidation: Multi-Parameter Measurements Using a Shock Tube Combined with Laser Absorption Spectroscopy. Combust. Flame 2023, 254, 112830. [Google Scholar] [CrossRef]
- Abuelnuor, A.A.; Wahid, M.A.; Hosseini, S.E.; Saat, A.; Saqr, K.M.; Sait, H.H.; Osman, M. Characteristics of biomass in flameless combustion: A review. Renew. Sustain. Energy Rev. 2014, 33, 363–370. [Google Scholar] [CrossRef]
- Xing, F.; Li, S.; Zhao, Z.; Zhang, X.; Zhang, L. Flameless Combustion with Liquid Fuel: A Review Focusing on Fundamentals and Gas Turbine Application. Appl. Energy 2017, 193, 28–51. [Google Scholar] [CrossRef]
- Perpignan, A.A.V.; Gangoli Rao, A.; Roekaerts, D.J.E.M. Flameless Combustion and Its Potential Towards Gas Turbines. Prog. Energy Combust. Sci. 2018, 69, 28–62. [Google Scholar] [CrossRef]
- Zhu, R.; Shin, D. Study on Flow and Heat Transfer Characteristics of 25 kW Flameless Combustion in a Cylindrical Heat Exchanger for a Reforming Processor. Energies 2023, 16, 7160. [Google Scholar] [CrossRef]
- Sorrentino, G.; Sabia, P.; Bozza, P.; Ragucci, R.; de Joannon, M. Low-NOx Conversion of Pure Ammonia in a Cyclonic Burner under Locally Diluted and Preheated Conditions. Appl. Energy 2019, 254, 113676. [Google Scholar] [CrossRef]
- Kobayashi, H.; Hayakawa, A.; Somarathne, K.K.A.; Okafor, E.C. Science and Technology of Ammonia Combustion. Proc. Combust. Inst. 2019, 37, 109–133. [Google Scholar] [CrossRef]
- Abuelnuor, A.A.; Wahid, M.A.; Mohammed, H.A.; Saat, A. Flameless Combustion Role in the Mitigation of NOx Emission: A Review. Int. J. Energy Res. 2014, 38, 827–846. [Google Scholar] [CrossRef]
- Locci, C.; Colin, O.; Michel, J.-B. Large Eddy Simulations of a Small-Scale Flameless Combustor by Means of Diluted Homogeneous Reactors. Flow Turbul. Combust. 2014, 93, 305–347. [Google Scholar] [CrossRef]
- Jiang, W.; Zhu, R.; Shin, D. Heat Transfer Characteristics of Tubular Heat Exchanger Using Reverse Air Injection Flameless Combustion. Appl. Therm. Eng. 2023, 230, 120713. [Google Scholar] [CrossRef]
- Wang, G.; Si, J.; Xu, M.; Mi, J. MILD combustion versus conventional bluff-body flame of a premixed CH4/air jet in hot coflow. Energy 2019, 187, 115934. [Google Scholar] [CrossRef]
- Ansari, M.K.; Singh, A.S.; Khandelwal, B.; Kumar, S. A new low NOx emission technique for NH3/H2 blends in a flameless combustor through offset injection. J. Energy Inst. 2024, 117, 101864. [Google Scholar] [CrossRef]

































| Characteristics | Value |
|---|---|
| Odor threshold | 5–50 ppm |
| Molecular weight | 17.03 g/mol |
| Specific volume | 1.3 m3/kg |
| Latent heat of fusion | 331.37 kJ/kg |
| Boiling point | −33.5 °C |
| Latent heat of vaporization | 1371.2 kJ/kg |
| Vapor pressure | 8.88 bar (at 21 °C) |
| Critical point | 112.8 bar (132.4 °C) |
| Gas density | 0.86 kg/m3, 21 °C, 0.73 kg/m3 at boiling point, 1.013 bar |
| Specific gravity | 0.597(1.013 bar at 21 °C) (air = 1) |
| Specific volume | 1.411 m3/kg (1.013 bar at 21 °C) |
| Specific heat at constant pressure (cp) | 0.037 kJ/(mol·K) (1.013 bar at 15 °C) |
| Specific heat at constant volume (cv) | 0.028 kJ/(mol·K) (1.013 bar at 15 °C) |
| Ratio of specific heats (cp/cv) | 1.309623(1.013 bar at 15 °C) |
| Dynamic viscosity | 0.000098 Poise (1.013 bar at 0 °C) |
| Thermal conductivity | 22.19 mW/(m·K) (1.013 bar at 0 °C) |
| Autoignition temperature | 630 °C |
| Ignition temperature | 651 °C |
| Upper flame limits | 25–28% |
| Lower flame limits | 15–16% |
| Lower heating value (LHV) | 18.6(MJ/kg-fuel) = 5.167 kWh/kg fuel |
| Lower heating value stoichiometric * LHVst | 2.62(MJ/kg-stoichiometric) |
| Higher heating value (HHV) | 22.5(MJ/kg-fuel) |
| Volumetric energy density | 11.2(MJ/L) |
| Fuel | NH3 | H2 | CH4 | C3H8 |
|---|---|---|---|---|
| Minimum autoignition temperature (°C) | 650 | 520 | 630 | 450 |
| Lower heating value, LHV (MJ/kg) | 18.6 | 120 | 50.0 | 46.4 |
| LHVst (MJ/kg-stoichiometric) | 2.62 | 3.39 | 2.75 | 2.79 |
| Adiabatic flame temperature (°C) | 1800 | 2110 | 1950 | 2000 |
| Maximum laminar burning velocity (m/s) | 0.07 | 2.91 | 0.37 | 0.43 |
| Calorific value (MJ/kg) | 18.6 | 120 | 50 | 46.4 |
| Flammability limit (ER) | 0.63–1.4 | 0.10–7.1 | 0.50–1.7 | 0.51–2.5 |
| Major Reactions | * A | * n | * Ea | |
|---|---|---|---|---|
| NH3 + OH | ⇋NH2 + H2O | 2.040 × 106 | 2.04 | 5.660 × 102 |
| NH2 + NO | ⇋H2 + N2O | 1.000 × 1013 | 0.00 | 3.370 × 104 |
| NH2 + NO2 | ⇋N2O + H2O | 1.600 × 1016 | −1.40 | 2.680 × 102 |
| NH2 + NO | ⇋N2 + H2O | 2.800 × 1020 | −2.70 | 1.258 × 103 |
| NO + HO2 NO2 + H NO2 + HO2 N2O + H | ⇋NO2 + OH ⇋NO + OH ⇋HONO + O2 ⇋N2 + OH | 2.100 × 1012 2.500 × 1014 1.910 × 100 2.530 × 1010 | 0.00 0.00 3.32 0.00 | −4.800 × 102 6.760 × 102 3.044 × 103 4.550 × 103 |
| HNO + H OH + HNO | ⇋NO + H2 ⇋H2O + NO | 4.400 × 1011 3.600 × 1013 | 0.72 0.00 | 6.500 × 102 0.000 |
Disclaimer/Publisher’s Note: The statements, opinions and data contained in all publications are solely those of the individual author(s) and contributor(s) and not of MDPI and/or the editor(s). MDPI and/or the editor(s) disclaim responsibility for any injury to people or property resulting from any ideas, methods, instructions or products referred to in the content. |
© 2025 by the authors. Licensee MDPI, Basel, Switzerland. This article is an open access article distributed under the terms and conditions of the Creative Commons Attribution (CC BY) license (https://creativecommons.org/licenses/by/4.0/).
Share and Cite
Yousefi Rizi, H.A.; Shin, D. Development of Ammonia Combustion Technology for NOx Reduction. Energies 2025, 18, 1248. https://doi.org/10.3390/en18051248
Yousefi Rizi HA, Shin D. Development of Ammonia Combustion Technology for NOx Reduction. Energies. 2025; 18(5):1248. https://doi.org/10.3390/en18051248
Chicago/Turabian StyleYousefi Rizi, Hossein Ali, and Donghoon Shin. 2025. "Development of Ammonia Combustion Technology for NOx Reduction" Energies 18, no. 5: 1248. https://doi.org/10.3390/en18051248
APA StyleYousefi Rizi, H. A., & Shin, D. (2025). Development of Ammonia Combustion Technology for NOx Reduction. Energies, 18(5), 1248. https://doi.org/10.3390/en18051248
