Air-Lifting Reverse-Circulation Drilling in Deep Geothermal Wells and the Effect of Dual-Wall Drill Pipe Depth Down the Hole
Abstract
1. Introduction
2. Geothermal Deep Well Air-Lifting Reverse Cycle Pressure Modeling
2.1. Lifting Force Concept
2.2. Underlying Assumptions
2.3. Modeling of Lifting Force and Total Friction Loss Pressure
2.4. Pressure Model of Mixed Flow in Inner Pipe of Dual-Wall Drill Pipe
2.5. Annular Bottom Hole Pressure Model
2.6. Calculation of Pressure Loss at Bit and Upstream Pressure of Bit
2.7. Pressure Model of Mixed Flow in Central Channel of Single-Walled Drill Pipe
3. Influence of Running Depth of Dual-Wall Drill Pipe on Lifting Force and Total Friction Pressure
3.1. Calculation Parameter
3.2. Air-Lifting Reverse Circulation Lifting Force
3.2.1. Hydrostatic Pressure
3.2.2. Lifting Force
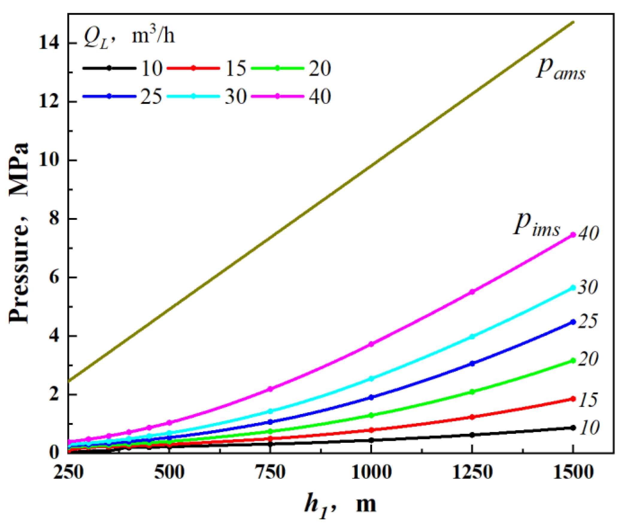
3.3. Friction Pressure of Air-Lifting Reverse Circulation
3.4. Determination of Flow Rate of Air-Lifting Reverse Circulation Drilling Fluid
3.4.1. Conditions for Establishing Air-Lifting Reverse Circulation Drilling Cycle
3.4.2. Determination of Back Flow Value of Drilling Fluid in Gas-Lift Reverse Circulation
4. Conclusions
- With the increase in the running depth of the dual-wall drill pipe, the lifting force of gas-lift reverse circulation increases under the condition of a certain gas injection rate and the return flow of drilling fluid.
- With the increase in the running depth of the dual-wall drill pipe, the friction loss pressure in the annular is basically unchanged, the friction loss pressure in the bit is unchanged, the friction loss pressure in the tail rod is reduced, the friction loss pressure in the inner tube is increased and the total friction loss pressure is increased.
- In the case of a hole diameter of 215.9 mm and a well depth of 3000 m, the running depth of the dual-wall drill pipe is 250–875 m, and the back flow of the drilling fluid increases with the increase in the running depth of the dual-wall drill pipe. With the increase in the running depth of the dual-wall drill pipe, the increase in the back flow rate of the drilling fluid decreases. When the running depth of the dual-wall drill pipe is 875 m, the back flow rate of the drilling fluid reaches the maximum, reaching 39.184 m3/h. When the dual-wall drill pipe runs deeper than 1000 m, after the dual-wall drill pipe exceeds the first casing, the diameter of the outer annulus of the second annulus and the dual-wall drill pipe decreases, and the friction resistance of the outer annulus increases, resulting in an increase in the total friction loss pressure and a decrease in the return flow of the drilling fluid.
- In the field construction process, the average life of a 215.9 mm gas-lift reverse circulation drill bit is about 150 m. In order to ensure that the drill bit is close to scrapping, the running depth of the dual-wall drill pipe is in the range of 450–500 m, and the initial running depth of the dual-wall drill pipe can be in the range of 300–350 m at the beginning of gas-lift reverse circulation drilling.
Author Contributions
Funding
Data Availability Statement
Conflicts of Interest
References
- Song, X.; Li, G.; Huang, Z.; Shi, Y.; Wang, G.; Song, G.; Xu, F. Review of High-Temperature Geothermal Drilling and Exploitation Technologies. Gondwana Res. 2023, 122, 315–330. [Google Scholar] [CrossRef]
- Cui, G.; Niu, Z.; Zhao, D.; Kong, Y.; Feng, B. High-Temperature Hydrothermal Resource Exploration and Development: Comparison with Oil and Gas Resource. Gondwana Res. 2023, 122, 306–314. [Google Scholar] [CrossRef]
- Panel, M.L. The Future of Geothermal Energy. Impact of Enhanced Geothermal Systems [EGS] On the United States in the 21St Century. Geothermics 2006, 17, 881–882. [Google Scholar]
- Lukawski, M.Z.; Anderson, B.J.; Augustine, C.; Capuano, L.E., Jr.; Beckers, K.F.; Livesay, B.; Tester, J.W. Cost Analysis of Oil, Gas, and Geothermal Well Drilling. J. Pet. Sci. Eng. 2014, 118, 1–14. [Google Scholar] [CrossRef]
- Li, Q.; Li, Q.; Cao, H.; Wu, J.; Wang, F.; Wang, Y. The Crack Propagation Behaviour of CO2 Fracturing Fluid in Unconventional Low Permeability Reservoirs: Factor Analysis and Mechanism Revelation. Processes 2025, 13, 159. [Google Scholar] [CrossRef]
- Binkley, J. Concentric Drill Pipe/Air Lift—A Method for Combatting Lost Circulation. In Drilling & Production Practice; OnePetro: Richardson, TX, USA, 1968. [Google Scholar]
- Allen, J.H. Reverse Circulation Air Lift Methods for Big Hole Drilling. Int. J. Rock Mech. Min. Sci. Geomech. Abstr. 1976, 13, 55. [Google Scholar]
- Morrison, G.L.; Zeineddine, T.I.; Henriksen, M.; Tatterson, G.B. Experimental Analysis of the Mechanics of Reverse Circulation Air Lift Pump. Ind. Eng. Chem. Res. 1987, 26, 387–391. [Google Scholar] [CrossRef]
- Mackay, P. Reverse Circulation Drilling Avoids Damage to Low-Pressure Gas Reservoirs. World Oil 2003, 224, 71–72. [Google Scholar]
- Zhang, Y.; Zhang, J. Technical Improvements and Application of Air-Lift Reverse Circulation Drilling Technology to Ultra-Deep Geothermal Well. Procedia Eng. 2014, 73, 243–251. [Google Scholar]
- Ministry of Natural Resources of the People’s Republic of China. Regulation on Air-Lifting Reverse Circulation Drilling [EB/OL]. (2018-07-20) [2019-01-07]; Ministry of Natural Resources of the People’s Republic of China: Beijing, China, 2018. [Google Scholar]
- Chen, Y.; Duan, D. Application of air-lifting reverse circulation drilling in Baoli ZK3 deep geothermal well of Guizhou. Explor. Eng. (Rock Soil Drill. Tunneling) 2009, 36, 23–24, 28. [Google Scholar]
- Wang, Y.; Xu, L. Application of air-lift reverse circulation drilling in deep geothermal well. Explor. Eng. (Rock Soil Drill. Tunneling) 2001, S1, 212–214. [Google Scholar]
- Xu, L.; Liu, Z.; Zhao, M.; Shi, B. Alternative Process Air Drilling Technology and Its New Development. Explor. Eng. (Rock Soil Drill. Tunneling) 2009, 36, 8–14. [Google Scholar]
- Wang, Y.; Xiao, H.; Xie, L. Application of Air lift Reverse Circulation Drilling in Jingre164# Well of 3512m Depth. Explor. Eng. (Rock Soil Drill. Tunneling) 2009, 36, 9–11. [Google Scholar]
- Zhu, J. Application of Air lift Reverse Circulation Drilling Technology in Geothermal Well Construction of Beijing. Explor. Eng. (Rock Soil Drill. Tunneling) 2004, 4, 47–48. [Google Scholar]
- Tian, Y. Construction Technology of Fuzhou XG-5 Geothermal Well. Explor. Eng. (Rock Soil Drill. Tunneling) 2003, S1, 253–254. [Google Scholar]
- Lin, Z. Application of Air lift Reverse Circulation Technology in Drilling of Fuzhou Geothermal Well. Energy Environ. 2010, 86, 91. [Google Scholar]
- Kajishima, T.; Saito, T. Numerical simulation of unsteady flow in air-lift pump. JSME Int. J. Ser. B 1996, 39, 525–532. [Google Scholar] [CrossRef]
- Catrawedarma, I.G.N.B.; Deendarlianto, I.; Indarto, A. Statistical characterization of flow structure of air-water two-phase flow in airlift pump–bubble generator system. Int. J. Multiph. Flow 2021, 138, 103596. [Google Scholar] [CrossRef]
- Hanafizadeh, P.; Saidi, M.H.; Darbandi, M.; Kebriaee, A. Numerical simulation of two-phase flow in airlift pumps using the physical influence scheme. Prog. Comput. Fluid Dyn. 2010, 10, 186–194. [Google Scholar] [CrossRef]
- Wang, S.; Hu, D.; Yang, F.; Lin, P.; Tang, C. Pressure drop characteristics of airlift in transporting particles. Powder Technol. 2021, 394, 270–277. [Google Scholar] [CrossRef]
- Liu, X.; Liu, Z.; Wang, L.; Qin, H.; Shen, P. Application of Air lift Reverse Circulation Drilling Technology in Cui Zhuangzi Geothermal Exploration in Jinzhou Economic Development Zone. Sci. Enterp. 2014, 3, 294+296. [Google Scholar]
- Yu, L.; Wang, W.; Li, Y. The application of air-lifting reverse circulation Drilling technology in geothermal deep well construction. Shanxi Archit. 2014, 40, 99–100. [Google Scholar]
- Li, B.; Hou, S.; Yang, G. Adaptability of air-lifting reverse circulation caulk drilling with different parameters. Fault-Block Oil Gas Field 2016, 23, 838–841. [Google Scholar]
- Li, Y. Research on Equipment Matching of Air-Lifting Reverse Circulation Drilling for Oil and Gas Wells; China University of Geosciences: Wuhan, China, 2015. [Google Scholar]
- Willam, C.L.; Guo, B.; Reuben, L.G.; Gerg, D.H. Air and Gas Drilling Manual, 3rd ed.; National Development and Reform Commission: Beijing, China, 2009. [Google Scholar]
- Yang, F. The Application of the Air-lift Reverse Circulation Technology to Super-deep Geothermal Well Drilling. Urban Geol. 2012, 7, 50–52. [Google Scholar]
- Cao, P.; Liu, M.; Chen, Z.; Chen, B.; Zhao, Q. Theory Calculation and Testing of Air Injection Parameters in Ice Core Drilling with Air Reverse Circulation. Polar Sci. 2018, 17, 23–32. [Google Scholar] [CrossRef]








| Parameter | Symbol | Value |
|---|---|---|
| Air volume flow under standard conditions, Nm3/min | 12 | |
| Drilling fluid specific gravity, N/m3 | 9810 | |
| Dynamic viscosity of drilling fluid, Pa·s | 0.001 | |
| Drilling fluid outlet pressure, Pa | 101,325 | |
| Rate of penetration, m/h | 2 | |
| Absolute roughness of steel pipe surface, m | 0.0002 | |
| Absolute roughness of open hole borehole wall surface, m | 0.003 |
Disclaimer/Publisher’s Note: The statements, opinions and data contained in all publications are solely those of the individual author(s) and contributor(s) and not of MDPI and/or the editor(s). MDPI and/or the editor(s) disclaim responsibility for any injury to people or property resulting from any ideas, methods, instructions or products referred to in the content. |
© 2025 by the authors. Licensee MDPI, Basel, Switzerland. This article is an open access article distributed under the terms and conditions of the Creative Commons Attribution (CC BY) license (https://creativecommons.org/licenses/by/4.0/).
Share and Cite
Ye, H.; Lai, Z.; Tian, L.; Zhang, R.; Liu, B.; Zheng, X. Air-Lifting Reverse-Circulation Drilling in Deep Geothermal Wells and the Effect of Dual-Wall Drill Pipe Depth Down the Hole. Energies 2025, 18, 1224. https://doi.org/10.3390/en18051224
Ye H, Lai Z, Tian L, Zhang R, Liu B, Zheng X. Air-Lifting Reverse-Circulation Drilling in Deep Geothermal Wells and the Effect of Dual-Wall Drill Pipe Depth Down the Hole. Energies. 2025; 18(5):1224. https://doi.org/10.3390/en18051224
Chicago/Turabian StyleYe, Hongyu, Ziwei Lai, Longjun Tian, Renjie Zhang, Bin Liu, and Xiuhua Zheng. 2025. "Air-Lifting Reverse-Circulation Drilling in Deep Geothermal Wells and the Effect of Dual-Wall Drill Pipe Depth Down the Hole" Energies 18, no. 5: 1224. https://doi.org/10.3390/en18051224
APA StyleYe, H., Lai, Z., Tian, L., Zhang, R., Liu, B., & Zheng, X. (2025). Air-Lifting Reverse-Circulation Drilling in Deep Geothermal Wells and the Effect of Dual-Wall Drill Pipe Depth Down the Hole. Energies, 18(5), 1224. https://doi.org/10.3390/en18051224
