Abstract
Current techniques for fault analysis in photovoltaic (PV) systems plants involve either electrical performance measurements or image processing, as well as line infrared thermography for visual inspection. Deep convolutional neural networks (CNNs) are machine learning algorithms that perform tasks involving images, such as image classification and object recognition. However, to train a model effectively to recognize different patterns, it is crucial to have a sufficiently balanced dataset. Unfortunately, this is not always feasible owing to the limited availability of publicly accessible datasets for PV thermographic data and the unequal distribution of different faults in real-world systems. In this study, three data augmentation techniques—geometric transformations (GTs), generative adversarial networks (GANs), and the denoising diffusion probabilistic model (DDPM)—were combined with a CNN to classify faults in PV modules through thermographic images and identify the type of fault in 11 different classes (i.e., soiling, shadowing, and diode). Through the cross-validation method, the main results found with the Wasserstein GAN (WGAN) and DDPM networks combined with the CNN for anomaly classification achieved testing accuracies of 86.98% and 89.83%, respectively. These results demonstrate the effectiveness of both networks for accurately classifying anomalies in the dataset. The results corroborate the use of the diffusion model as a PV data augmentation technique when compared with other methods such as GANs and GTs.
1. Introduction
Although the contribution of solar energy remains generally low at 3.6% globally, it has established itself among other renewable energy technologies and comprised nearly 31% of the total installed renewable energy capacity in 2022 [1]. In 2022, the solar photovoltaic (PV) global capacity was estimated to be 1053 GW, showing an increase of 426 GW compared to 2019 and 1030 GW compared to 2009 [1,2].
As the number of PV systems continues to increase, developing techniques that can swiftly, reliably, and efficiently identify and classify faults in PV modules is imperative. This is crucial for the timely detection and repair of failures, which ultimately leads to improved system longevity and sustained operational efficiency [3]. According to Ali et al. [4], certain requirements should be considered when developing fault detection technology, such as the time required for detection, the development of a noninvasive and contactless method, the classification of the defect category, and a method that quantifies the faults in the system.
Spagnolo et al. [5] define normal PV cells as cells that exhibit almost uniform current density in reverse polarization. In this case, the heat load is well distributed across the cell, and there is only a slight increase in temperature on the surface of the local cell. In contrast to the definition of a PV cell without defects, anomalous cells are defined as cells that exhibit nonuniform current density in reverse polarization, causing a high-temperature area that can damage the cell and sometimes the entire PV module [5]. If the peak temperature is sufficiently high, hotspot heating can cause irreversible destruction of the solar cell structure [6].
There are two main categories of current approaches for analyzing faults in PV modules [7]: (1) techniques that rely on electrical measurements to detect faults [3,8] and (2) alternative methods, such as infrared (IR) thermography, which utilize visual inspection as a means of fault detection [7,9,10].
According to Akram et al. [11], there are limitations in the use of each fault detection technique, which make it difficult for any of them to detect and classify all categories of faults and degradation modes. In addition to the limitations of each method, some of them are promising for the precise categorization of many different PV defects, such as the use of IR cameras embedded in an unmanned aerial vehicle (UAV). UAVs with IR cameras have been shown to capture important patterns of PV module defects, which can facilitate automatic identification when combined with machine learning (ML) algorithms [3,7,10].
To achieve a reliable classification and accurate evaluation of detected anomalies, it is essential to have a solid understanding of solar technology, familiarity with the inspected system, and access to supplementary electrical measurements [12]. The utilization of thermal images greatly aids in monitoring PV systems, thereby enhancing their overall performance and extending their lifespan. In addition, this practice yields higher financial returns [13].
Thermographic images can be evaluated using patterns according to [14]. In this evaluation technique, anomalies in PV modules can be classified by a thermal pattern without actually measuring temperature values. In thermal images, shading-effect problems and cracks in cells appear as hotspots [15]. Thermal images obtained with or without load and short-circuit conditions can provide valuable information regarding the panel, enabling the identification of anomalies. PV solar modules with uniformly high temperatures above average may cause issues in electrical installation, where these modules can be disconnected from the frequency inverter. Modules exhibiting small hotspots can be attributed to anomalies such as soiling, vegetation obstruction, or cell defects.
Artificial neural networks, through their processing units and synaptic connections, have demonstrated good performance in pattern recognition tasks. Cybenko [16] proved that a feedforward network acts as a universal function approximator, and a network with a single hidden layer, containing a finite number of neurons and an activation function, is capable of uniformly approximating any continuous function with n real variables.
Deep learning (DL) allows computational models composed of several processing layers to learn data representations with various levels of abstraction [17]. Deep neural networks discover representations in large datasets using an error backpropagation algorithm, which indicates how a machine should change its internal parameters [17]. These methods have drastically improved state-of-the-art methods in speech recognition, facial recognition, and object detection, among other areas.
The combination of IR thermography with convolutional neural networks (CNNs) is a powerful tool for the automatic detection and classification of defects in PV modules [18]. Many studies have shown the superiority of CNNs when compared to traditional methods such as support vector machines (SVMs) [7,19,20].
Alves et al. [21] employed deep neural networks to detect faults and classify up to 11 distinct patterns of defective modules by leveraging thermal IR images. The InfraredSolarModules dataset, consisting of 20,000 images, was used as a publicly available image dataset. In their study, ML methods were applied, and geometric transformation (GT) data augmentation was used to equalize the proportion of images in each class, achieving 78.85% accuracy in classifying defects for eight selected classes.
Studies such as Alves et al. [21], Korkmaz and Acikgoz [22], Pamungkas et al. [23] showed that the use of data augmentation techniques significantly improves the training of neural networks to classify faults in PV panels. Thus, it is important to propose the use of more robust data augmentation techniques to overcome the lack of publicly available thermographic images of PV systems.
A balanced dataset containing samples from different classes is required to train a CNN model [24]. A good data distribution between classes contributes to the accuracy of the model [25].
In an unbalanced dataset, data can be resampled using different methods, such as through the subsampling of classes, in which samples are reduced until they are equally represented. Resampling can also occur using oversampling, in which data from less represented classes are augmented using techniques such as GTs, data augmentation, and generating synthetic images through the use of a generative adversarial network (GAN) and denoising diffusion probabilistic models (DDPMs) [26].
To enhance the development of robust automatic systems for fault identification and classification in solar power systems, it is essential to address the question of which data augmentation technique is most effective in mitigating the limited availability of publicly accessible thermographic images such as the InfraredSolarModules dataset [27].
Therefore, in this study, we investigate the use of three recognizable data augmentation techniques combined with a CNN framework to classify each anomaly based on its IR pattern. Techniques such as GANs and diffusion models have presented relevant results in the literature that corroborate their use in data augmentation for unbalanced image datasets [28,29]. In this work, we used GTs, GANs, and DDPMs to increase the number of images in less represented classes on InfraredSolarModules while preserving the defect pattern.
The main contributions of this work are as follows: (1) introducing the use of a GAN and DDPM as data augmentation techniques to address the limited availability of publicly accessible datasets for thermographic images of PV systems; (2) proposing a comparison between a GAN and a DDPM for training CNNs to identify and classify faults in PV systems; and (3) employing augmentation techniques to enhance the accuracy of the proposed classifier and apply it to a specific case study.
The remainder of this paper is organized as follows. Section 2 describes the InfraredSolarModules dataset. Section 3 explains the GAN and DDPM used for balancing the image dataset. Section 4 presents the proposed method, including training, PV IR patterns, and processing stages. Finally, Section 5 presents the main conclusions of this study and future directions.
2. Techniques for Synthetic Image Generation and Image Classification Using CNN
A GAN is an artificial intelligence technique capable of creating synthetic images from user-provided images that resemble real images [30,31,32]. A GAN works on two components: the generator responsible for generating the images and the discriminator responsible for evaluating whether the generated image is real or fake [30,31,32].
A search of the literature indicates that diffusion models are another data augmentation technique for creating artificial images. DDPMs have achieved higher image sampling quality than current state-of-the-art generative models and are therefore an excellent option for data augmentation of unbalanced datasets [33,34,35].
2.1. Infrared Solar Modules Dataset
The InfraredSolarModules dataset is a collection of thermographic images depicting PV solar systems with various anomalies. It comprises 20,000 images classified into 12 classes, with 11 distinct anomaly classes and 1 class without any anomalies. Millendorf et al. [27] collected and organized this dataset, which is publicly available under the Massachusetts Institute of Technology (MIT) license. However, the dataset is unbalanced, with some classes having fewer samples than others. Consequently, data augmentation techniques can be employed to increase the sample size and enhance the prediction and classification performance of a CNN. This dataset addresses a limitation of the literature: the scarcity of large, balanced datasets that equally represent different fault classes in PV modules.
Table 1 lists the image counts for each of the 12 classes. There are 10,000 images of panels without anomalies and 10,000 images of panels that present anomalies distributed across 11 classes. The unbalanced nature of the InfraredSolarModules dataset, as shown in Table 1, reflects the proportion of PV anomalies in the real world [27].
Table 1.
Separation of the dataset with 20,000 thermal images of PV modules into 12 categories. Adapted from Millendorf et al. [27].
2.2. Generative Adversarial Network
The GAN was introduced in 2014 by Goodfellow [36]. This type of neural network architecture has been widely used and represents an advancement in ML in recent years [37]. A GAN consists of deep neural networks composed of two adversarial networks pitted against each other, and it can learn to generalize any data distribution [36]. GANs can create data of any type such as images, text, and audio. Among the numerous applications of this category of artificial neural network is the use of a technique to increase the amount of synthetic data from a dataset [38]. The configuration of a GAN occurs through the opposition of generative and discriminative algorithms.
The neural network, known as a generator, generates new instances of data [36], and the discriminator neural network classifies the instance data as either true or false. The generator creates new fake images and passes them to the discriminator, which attempts to identify them [37]. The goal of the discriminator is to recognize authentic instances. To prevent this, the generator creates increasingly better images, attempts to fool the discriminator, and reduces the margin of error.
Therefore, the discriminator network is a convolutional network that functions as a binary image classifier. The output of the classifier provides the probability of an image being false or true [38]. The generating network, which is also a convolutional network, generates images from noise values provided by its input [37]. While the first network reduces the dimensionality of the image using downsampling techniques to arrive at a probability, the second network generates new data instances, such as images, using upsampling techniques. Both networks seek to optimize the loss function. The discriminator influences the behavior of the generator, forcing it to create images that are increasingly closer to those in the training dataset [38].
GANs and Wasserstein GANs (WGANs) are variations of the neural network architecture [39]. The main difference lies in the loss function used for training. GANs use Kullback–Leibler or Jensen–Shannon divergences, whereas WGANs use the Wasserstein distance. WGANs offer advantages such as improved stability, easier optimization, and the ability to mitigate mode collapse and gradient vanishing [36,39]. They achieve this goal through the use of the Wasserstein loss function and a technique called “gradient penalty”, which controls gradient norms and enhances training stability. In summary, WGANs outperform traditional GANs by employing the Wasserstein distance as the loss function, resulting in improved stability and ease of training [36,39].
2.3. Denoising Diffusion Probabilistic Models
DDPMs were first introduced by Ho and Jain in 2020 [40]. This innovative imaging model is a unique and effective approach for creating realistic images [40]. Developed as a DL technique, DDPM is notable for its ability to generate high-quality samples, overcoming many challenges found in previous models such as the GAN [33].
In this work, we utilize DDPM for the first time, to the best of our knowledge, in the augmentation of thermographic images of photovoltaic panels, showing that this approach outperforms the Wasserstein generative adversarial network (WGAN), which has been the most commonly applied method in the literature in the area of fault classification in photovoltaic systems.
The central proposition of the DDPM revolves around using the diffusion process to train a probabilistic generator [40]. This method involves training the model to gradually remove noise from randomly generated synthetic images. Throughout this diffusion process, the DDPM learns the underlying representation of the probability distribution of real images, resulting in a unique ability to generate more realistic and detailed samples [33].
One of the main advantages of the DDPM is its ability to handle different types of noise effectively, allowing the generation of clearer and more authentic images [40]. Furthermore, this model stands out for its ability to capture the complexity of data distributions, making it a valuable tool in diverse applications such as pattern recognition, medical image processing, and the creation of innovative visual content [33].
2.4. Convolutional Neural Networks for PV Faults Classification
CNNs were inspired by the architecture of the human brain [41]. When the visual system is exposed to lines and curves, neurons exhibit characteristic behavior [42]. The CNN receives an image as input, represented as an n-dimensional matrix, with values for each pixel. Convolution works like a filter that views small parts of an image and captures the most striking features [43]. The filter covers the entire image, forming new images. After applying the filters, the images are passed to a connected neural network called a multilayer perceptron (MLP), which outputs the classification probability [44].
In a CNN, the convolution layer plays a key role in obtaining the desired output by extracting the important features of the image [45]. Convolution is a mathematical operation that applies a filter to an image and generates a feature map [46]. This reduces the amount of data required to train the network by abstracting only the relevant information from the input images. This information is then passed to the following layers [47].
The activation function applied after the convolution process introduces nonlinear learning into the network [48]. Therefore, the outputs of the layers are simply linear combinations of the inputs. Several activation functions can be used in CNN convolution layers. The most commonly used is the rectified linear unit (ReLU), which is defined as f(x) = max(0, x). It is highly efficient in terms of computational processing and nullifies the negative signal, helping to remove noise in the features extracted from the convolution layer [45].
CNNs are highly effective for pattern recognition and classification tasks. In the field of electronics, CNNs have been applied in various studies related to damage analysis and failure mode classification. For example, Samavatian et al. [49] utilized a CNN-based framework to bridge the gap between fatigue and creep damage in solder interconnections. Similarly, in Yang et al. [50], the authors employed a data-driven ML framework, including CNNs, to classify failure modes in insulated-gate bipolar transistor (IGBT) modules under power cycling tests. These studies highlight the effectiveness of CNNs in analyzing and classifying damage in electronic components. This aligns with the current study, which focuses on fault classification in PV modules using CNNs.
In this paper, we present a significant advancement in the application of machine learning techniques for fault detection in photovoltaic systems, paralleling the innovative approaches seen in the studies of Ma et al. [51] and Attia et al. [52]. While the former focuses on real-time health status prediction of lithium-ion batteries through deep transfer learning, emphasizing the importance of accurate monitoring for enhancing battery performance; the latter explores the optimization of fast-charging protocols using machine learning to improve efficiency and safety in battery management. Both studies highlight the transformative potential of machine learning in energy systems, yet this paper stands out by integrating advanced data augmentation techniques, such as generative adversarial networks (GANs) and denoising diffusion probabilistic models (DDPMs), to address class imbalance in thermographic image datasets, thereby enhancing the reliability of fault classification in solar energy applications. This unique approach not only contributes to the field of renewable energy but also complements the ongoing efforts in battery technology optimization, showcasing the versatility and applicability of machine learning across different energy domains.
In the literature, CNNs have been shown to be effective in identifying and classifying faults and have achieved high levels of accuracy [7,19,20,21,22,23].
3. Methodology
Initially, the dataset was studied to understand the distribution of the samples and the specificities of the classes represented in each thermographic image of PV systems. Furthermore, a study was conducted on the organization of the images and labels of the anomaly class, and the code for data extraction was defined.
The database presents a balanced number of anomalous and nonanomalous classes, each with 10,000 samples. Studies developed in related works have obtained satisfactory results using this database in training intelligent systems to identify the presence or absence of anomalies [21,23]. As a result, it was decided to use a CNN to develop an anomaly identification stage in which an image that presents an anomaly would be analyzed by a second CNN to classify the type of anomaly.
For anomaly classification, a CNN was developed using a database of 10,000 samples that presented anomalies, representing 11 classes of anomalies. The dataset was divided so that 75% of the images were allocated for training and 25% for validation and cross-validation to ensure a balanced approach for model development and evaluation. This division is commonly used in ML to provide a model with a sufficiently large portion of data for training while preserving a substantial subset for unbiased performance assessment [53,54]. Cross-validation further enhances the robustness of the evaluation [53,54] by dividing the data into four parts, three parts for training and one for testing, and rotating this process across all parts. This helps mitigate the risk of overfitting and ensures that the performance of the model is not overly dependent on a specific subset of data. This combination of data division and cross-validation provides a more reliable measure of the real-world performance of the model. The CNN was configured with five convolutional layers and two hidden layers as a fully connected network. Training was performed with 60,000 images, including the original images and those generated using data augmentation. The processing was performed over 100 epochs. Figure 1 presents the network architecture.
Figure 1.
Visualization of the layer order and dimensions within the convolutional neural network (CNN) architecture for the purpose of identifying and classifying faults in PV modules.
The CNN architecture used was similar in the experiments performed, only changing the number of output classes: two for the anomaly identification neural network and 11 classes for the anomaly classification neural network. The CNN corresponds to a sequential neural network with the first convolution layer corresponding to the input images of 40 × 24 pixels and has 32 features with a 2 × 2 nucleus and ReLU activation function, which is then applied in a pooling layer of dimension 2 × 2. The second convolution layer has 64 features with a 2 × 2 kernel and ReLU activation function, which is then applied to a 2 × 2 dimension pooling layer. The third convolution layer has 128 features with a 2 × 2 kernel and ReLU activation function, which is then applied to a 2 × 2 dimension pooling layer. The data were then resized into a one-dimensional vector and applied to the fourth layer composed of 256 densely connected neurons and, in the fifth layer, 128 densely connected neurons. The output layer corresponds to the number of classification classes using the output with the maximum value as the activation function. The network had a learning rate of 0.001, and accuracy was used as a quality metric. The optimization method employed was Adaptive Moment Estimation (Adam), which is a variant of stochastic gradient descent based on the adaptive estimation of first- and second-order moments. The cross-entropy loss function was used, which exhibited the best performance in the experiments conducted. The batch size was set to 32. To mitigate the risk of overfitting, a dropout rate of 0.2 was applied. The dropout technique involves randomly deactivating a subset of neurons during training, thereby forcing the model to learn in a more robust manner and improving its generalization capability.
To achieve the best results, several models were trained using various combinations of hyperparameters. Initially, the neural network was trained using two, three, and four convolutional layers, and experiments with more than five layers did not lead to significant improvements in the performance, leading to the selection of five convolutional layers as the optimal number. Different kernel sizes, including 3 × 3 and 4 × 4, were tested; however, the 2 × 2 kernel produced the best results. Additionally, tests with different batch sizes were conducted using values of 16 and 64. The best performance was achieved with a batch size of 32.
To evaluate the influence of the sample imbalance on the CNN training results, balancing was performed such that each class had the same number of images. No techniques were used to generate synthetic data. The balancing process considered the least representative class of the database, a multi-diode with 175 images; each of the 11 classes then had 175 images for a total of 1925 images in the database. The database was separated into 75% of the images for training and 25% for testing and cross-validation. The CNN was configured with five convolution layers and two hidden layers with a fully connected network, and a five-part cross-validation was used. Training was carried out with 5775 images, including 1925 original images and 3850 images generated using data augmentation techniques. The processing was performed over 100 epochs.
3.1. Geometric Transformation
In this study, we used a dataset comprising thermographic images of PV panels encompassing 11 distinct failure classes [27]. However, an uneven distribution of images among these classes was observed, with certain classes exhibiting a significantly higher number of images than others [21]. To address this imbalance, we opted, as a first attempt, to augment the dataset by increasing the number of images in each class, thereby attaining a database with balanced classes.
To accomplish the data augmentation, we employed the GT technique [55], which involves applying vertical and horizontal flips to existing images, thereby generating novel images that are subsequently incorporated into the training set [55]. Consequently, the distribution of the classes in the database was balanced, ensuring that each class contained a comparable number of instances for training the model.
Data augmentation strategies employing GT have been widely employed in classification tasks, particularly when dealing with imbalanced class distributions [21,23]. By applying such image transformations, additional examples representing diverse variations of the same faults were generated. This augmentation process enhances the diversity and robustness of the training set, ultimately leading to improved performance of the model under investigation [55,56].
One limitation of using GTs for data augmentation is that they can introduce certain distortions or artifacts in the generated images. For example, when performing vertical or horizontal flips, distortions in the shape or appearance of the objects in the image can occur [56]. Furthermore, in the case of more complex transformations, such as rotations or nonlinear deformations, the relevant image features may be altered or even lost.
The distortions introduced by GTs can affect the quality and representativeness of augmented datasets. If the newly generated images do not adequately reflect the variations present in the original images, it may be difficult to generalize the model trained on this augmented dataset to new real-world examples [55,56].
3.2. GAN Training Methodology
Figure 2 presents the architecture of the GAN network in which the 10,000 images with anomalies from the original database were presented to the generating neural network for the production of synthetic images and then presented to the discriminating neural network as a reference for discriminating between real and fake images. GAN training was performed per class, with a total of 12 classes, and 11 GAN models were trained.
Figure 2.
Architecture of a generative adversarial network (GAN). The generator leverages a latent vector to create synthetic data, which are then evaluated by the discriminator using both real and generated data. The discriminator outputs a probability indicating whether the input is real or fake, helping to improve the generator’s output quality over time. The diagram also highlights key components, such as convolutional layers, batch normalization, activation functions (ReLU, Sigmoid), and dropout for regularization.
The generative neural network has three deconvolution layers (also known as transposed convolution or upsampling layers) [38]. Each layer uses transposed convolutions to progressively increase the spatial dimensions and reduce the number of channels, culminating in final image generation in the last layer. The discriminating neural network is composed of three convolutional layers, instance normalization, and LeakyReLU activations, all designed to evaluate the authenticity of images. The LeakyReLU activation function addresses the problem of disappearing gradients, which is common in GANs [36]. As an output, the network returns the probability that the image is real (image bank) or false (generated by the network). Training took place over 1000 epochs, with a batch size of 32 images and a learning rate of 0.0002.
The Adam optimizer, which is a mathematical tool executed iteratively, was used to compare several possible solutions until an optimal or at least a satisfactory solution was found. The main feature of the Adam optimizer is the adaptation of the individual learning rates for each model parameter. The Adam algorithm maintains two running averages: the moving average of the gradients (momentum) and the squared gradients (variance). These running averages were used to adaptively adjust the learning rate for each parameter during training.
From the GAN network, enough images were generated to balance the number of images in each of the classes. To this end, the number of images from the original database was considered; using the data augmentation technique, this number was tripled, and using the GAN network, a number of synthetic images were created for a total of 5500 images for each class. For example, the “dirt” class (dust or other debris on the surface of the module) contained 205 images from the original database [27]. Using the data augmentation (GT) technique, the class increased to 615 images that were complemented with another 4885 images from the GAN network, totaling 5500 images.
The training of the CNN was performed with 60,500 images, which corresponded to 10,000 original images, 20,000 images generated using the data augmentation technique, and 30,500 images generated using the GAN.
3.3. DDPM Training Methodology
Consider the diffusion process as unfolding in stages. Each stage takes a noisy image and aims to remove some of the noise based on what is learned during training. The number of stages determines the granularity of the noise schedule. When generating a new image, the model starts with pure noise and iteratively applies the learned denoising function in the reverse order. In each step, the filtered version is predicted based on a noisy image. This process progressively removes noise, thereby leading to the creation of a new image. This approach avoids the complex architecture and training challenges associated with the GANs used in image-generation models.
Figure 3 provides a schematic representation of the layer order and dimensions within the diffusion model architecture, illustrating the process for generating synthetic images of photovoltaic (PV) modules. In this model, the layers are progressively concatenated to enhance the image synthesis, with the indicated dimensions reflecting the resolution at each stage of the process. Furthermore, the incorporation of time embedding serves to improve the temporal consistency of the generated images, ensuring a more coherent output throughout the synthesis process.
Figure 3.
Schematic representation of the layer order and dimensions in the diffusion model architecture, illustrating the process for generating synthetic images of photovoltaic (PV) modules. The layers are progressively concatenated to refine image synthesis, with the indicated dimensions showing the resolution at each stage of the process. Time embedding is incorporated to enhance the temporal consistency of the generated images.
One model was trained individually to generate each image class. The models were trained using a batch size of 16 with 10,000 training steps. The model has four denoising blocks that are responsible for gradually removing noise from the image. The model was trained using the original InfraredSolarModule database. After training, new images were generated from the model to balance the classes. For example, the cracking class had 940 images, and after applying data augmentation (GT) techniques, the class had 2820 images. Therefore, it was necessary to generate another 2680 images using the DDPM for a total of 5500 images in the cracking class. The resulting dataset contained 60,500 images, 10,000 of which were original images, 20,000 images were obtained using GT, and 30,500 images were generated using the DDPM model.
4. Results
In this section, we present the results obtained by employing the GT, WGAN, and DDPM methodologies. Our primary objective was to establish a robust and efficient framework for the detection and classification of anomalies in solar panels.
This topic presents the anomaly identification network results for identifying images that present an anomaly and images that do not present an anomaly, which was performed in three configurations: (a) data augmentation with GT, (b) synthetic images generated using the WGAN data augmentation technique, and (c) synthetic images generated using the DDPM data augmentation technique.
Anomaly network classification was performed for 11 classes of anomalies in three configurations: (a) data augmentation with GT, (b) synthetic images generated using the WGAN data augmentation technique, and (c) synthetic images generated using the DDPM data augmentation technique. Finally, the images and comparative graphs of the anomaly classification analysis results are presented.
4.1. Identify Anomalies Networks
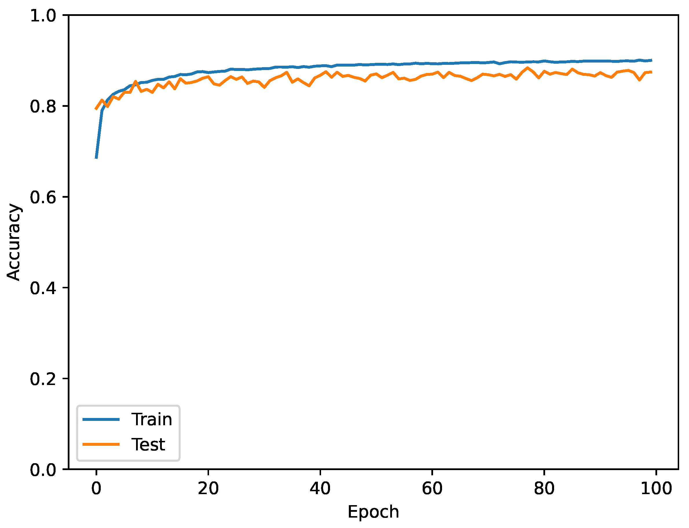
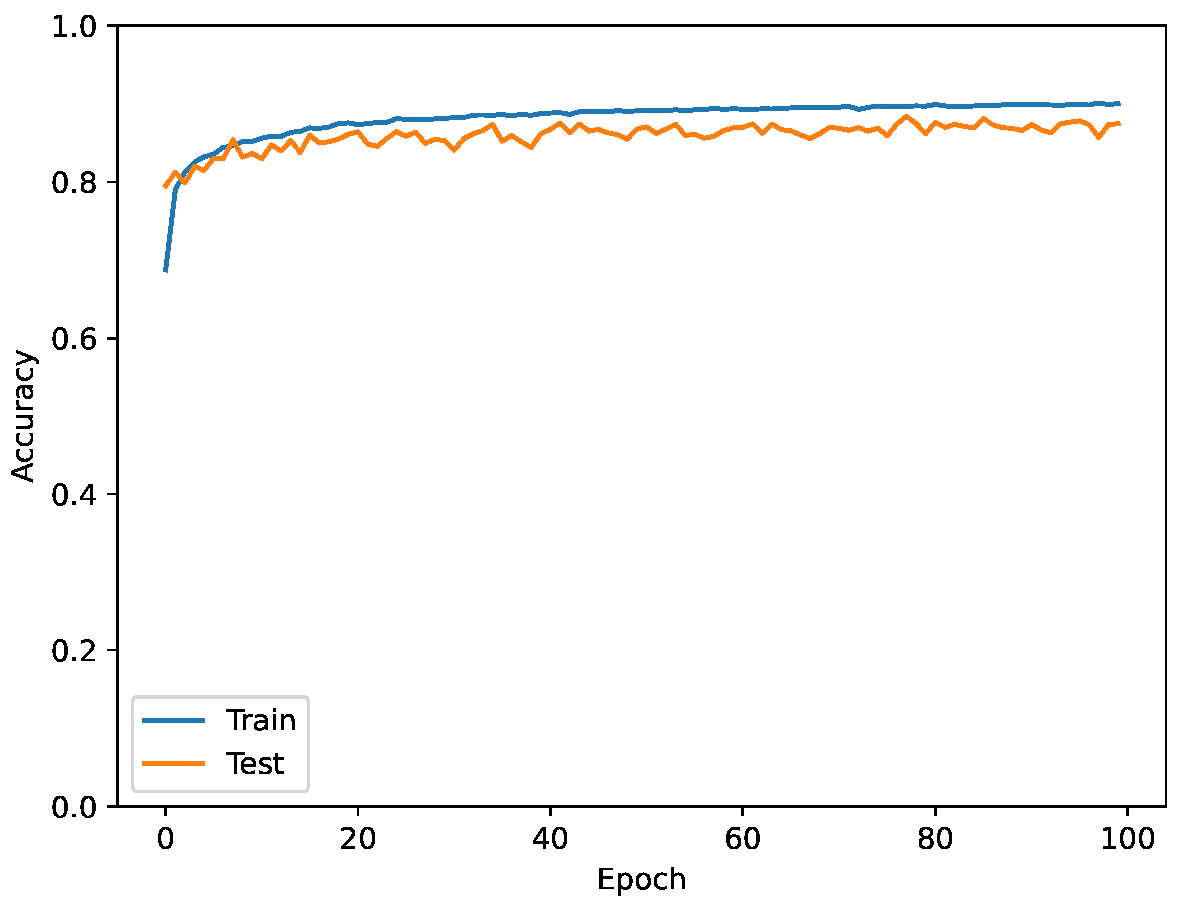
Initially, tests were conducted to generate images through data augmentation with GT to identify anomalies. Training was performed with 60,000 images, including 20,000 original images and 40,000 images generated using the data augmentation technique. An accuracy of 0.8865 was achieved in the training stage, whereas an accuracy of 0.9001 was achieved in the testing stage. Figure 4 presents the graph of the training accuracy of 100 epochs, and Figure 5 presents the confusion matrix graph of the CNN anomaly identification network.
Figure 4.
Graph of the training accuracy of 100 epochs of the CNN anomaly identification network. The training was performed with 60,000 images, including 20,000 original images and 40,000 images generated using the GT data augmentation technique.
Figure 5.
Confusion matrix graph of the CNN anomaly identification network. The training was performed with 60,000 images, including 20,000 original images and 40,000 images generated using the data augmentation technique.
As observed in the confusion matrix, the anomaly identification CNN obtained a 97% hit rate for nonanomalies and a 78% hit rate for anomalies. However, an error rate of 22% was obtained when predicting the presence of an anomaly.
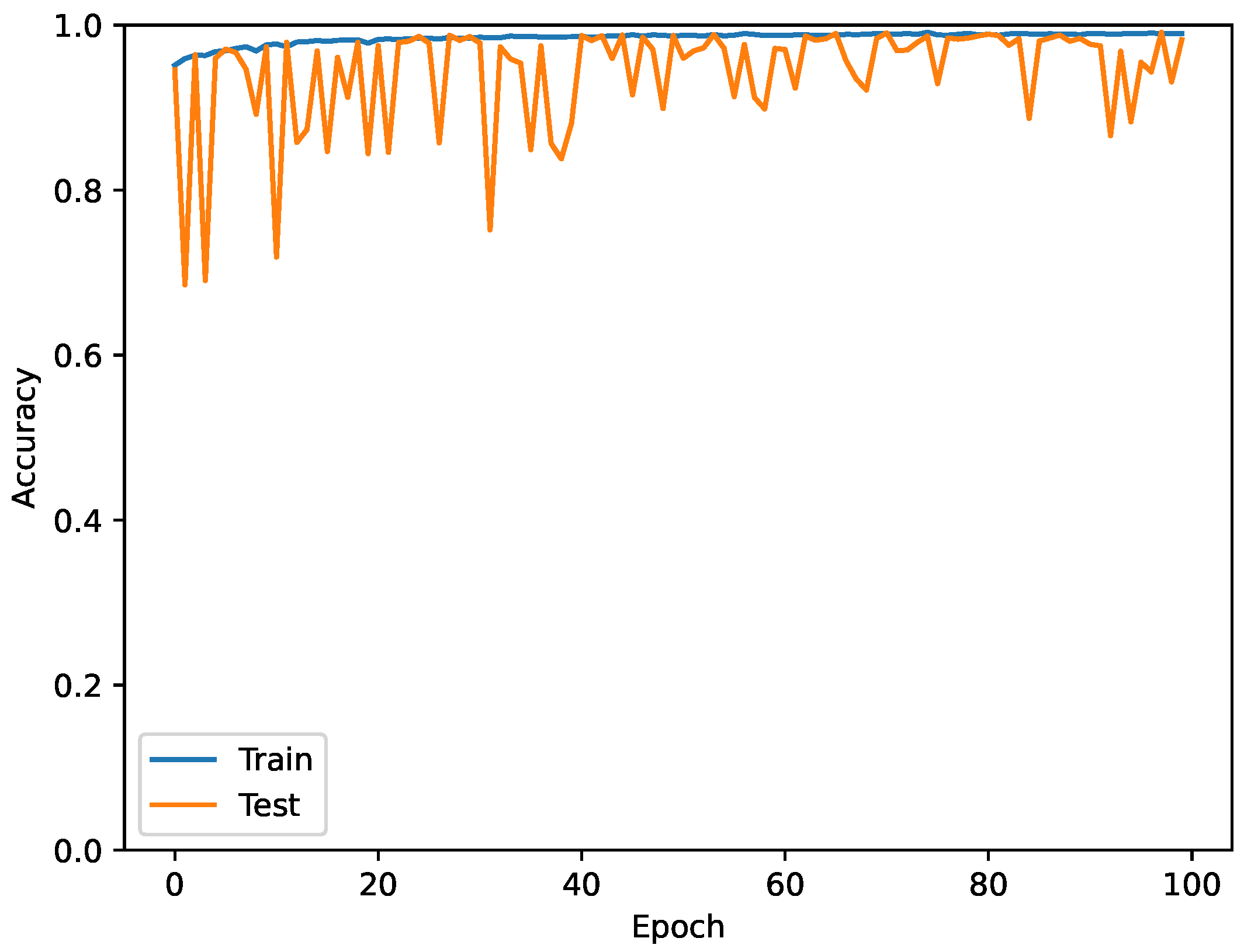
The following describes the results of CNN anomaly identification using synthetic data from the WGAN. Training was performed using 60,000 images, including 20,000 original images and 40,000 images generated using the WGAN technique. Accuracies of 0.9666 and 0.9528 were achieved in the training and testing stages, respectively. Figure 6 presents the graph of the training accuracy of 100 epochs. Figure 7 presents the graph of the confusion matrix of the CNN anomaly identification network.
Figure 6.
Graph of the training accuracy of 100 epochs of the CNN anomaly identification network. Training was performed with 60,000 images, including 20,000 original images and 40,000 images generated using the Wasserstein GAN (WGAN) technique.
Figure 7.
Confusion matrix graph of the CNN anomaly identification network. Training was performed with 60,000 images, including 20,000 original images and 40,000 images generated using the WGAN technique.
Using the WGAN technique to generate synthetic data to expand the database, the CNN for identifying anomalies obtained hit rates of 93% for nonanomalies and 98% for anomalies. However, the WGAN obtained a much lower error rate on the data from the data augmentation technique, which was 8% when falsely predicting the presence of an anomaly when no anomaly existed.
The following describes the results of CNN anomaly identification using data from the DDPM. Training was performed with 60,000 images, including 20,000 original images and 40,000 images generated using the diffusion technique. Accuracies of 0.9908 and 0.9927 were achieved in the training and testing stages, respectively. Figure 8 presents the graph of the training accuracy of 100 epochs. Figure 9 presents the graph of the confusion matrix of the CNN anomaly identification network.
Figure 8.
Graph of the training accuracy of 100 epochs of the CNN anomaly identification network. Training was performed with 60,000 images, including 20,000 original images and 40,000 images generated using the denoising diffusion probabilistic model (DDPM) technique.
Figure 9.
Confusion matrix graph of the CNN anomaly identification network. Training was performed with 60,000 images, including 20,000 original images and 40,000 images generated using the DDPM technique.
Using the diffusion technique to generate synthetic data to expand the database, the CNN anomaly identification network obtained a hit rate of 99% for nonanomalies and a hit rate of 99% for anomalies. However, it obtained a much lower error rate than with the use of data from the data augmentation technique, which was less than 1% when falsely predicting the presence of an anomaly when no anomaly existed.
4.2. Classify Anomalies Networks
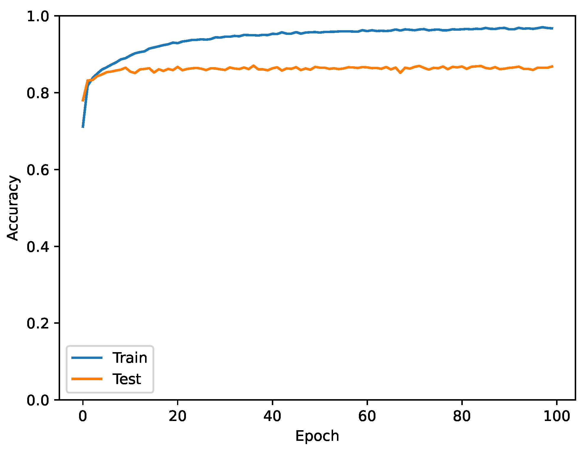
The following describes the results of the CNN anomaly classification network with balanced images from the database using data augmentation and the GT. Training was performed with 5775 images, including 1925 original images and 3850 images generated using the data augmentation technique. Accuracies of 0.9540 and 0.4701 were achieved in the training and testing stages, respectively. Figure 10 presents the graph of the training accuracy of 100 epochs. Figure 11 presents the confusion matrix graph of the CNN anomaly classification network with database image balancing.
Figure 10.
Graph of the training accuracy of 100 epochs of the CNN anomaly classification network with balancing images from the database. The training was performed with 5775 images, including 1925 original images and 3850 images generated using the data augmentation technique.
Figure 11.
Confusion matrix graph of the CNN anomaly classification network with database image balancing. The training was performed with 5775 images, including 1925 original images and 3850 images generated using the data augmentation technique.
Even after balancing each class, because of the low number of images for training and testing, there was a low hit rate in general, with classes reaching very low hit rate values such as multicells (13%), multiple cells (22%), broken (31%), dirt (33%), and vegetation (35%). Only the off-module diode class achieved a high value, but it was still less than 70%.
In the CNN anomaly classification network without balancing images from the database, training was performed with 30,000 images, including 10,000 original images and 20,000 images generated using the data augmentation technique. Accuracies of 0.8273 and 0.6009 were achieved in the training and testing stages, respectively. Figure 12 presents the graph of the training accuracy of 100 epochs. Figure 13 presents the confusion matrix graph of the CNN anomaly classification network without balancing images from the database.
Figure 12.
Graph of the training accuracy of 100 epochs of the CNN anomaly classification network without balancing images from the database. The training was performed with 30,000 images, including 10,000 original images and 20,000 images generated using the data augmentation technique.
Figure 13.
Confusion matrix graph of the CNN anomaly classification network without balancing images from the database. The training was performed with 30,000 images, including 10,000 original images and 20,000 images generated using the data augmentation technique.
The increase in synthetic samples from data augmentation, totaling 30,000 images, improved the classification results compared to previous results. However, a low hit rate was maintained overall, with classes such as dirt (9%), multiple cells (25%), and multiple heat points (36%) achieving very low hit rate values. The results improved slightly for vegetation (57%) and broken (45%) and reached a value above the 70% hit rate for the diode (92%) and module-off classes (84%).
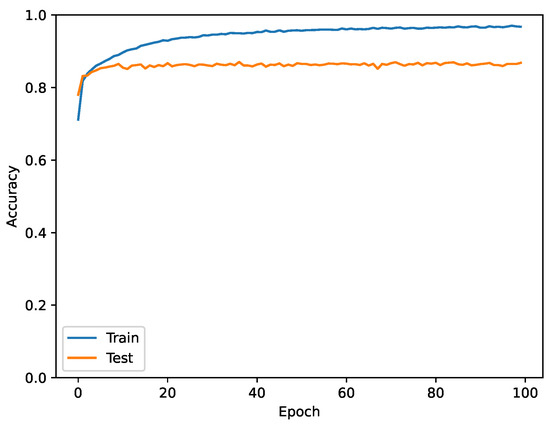
Figure 14 presents the graph of the training accuracy of 100 epochs of the CNN anomaly classification network with image balancing using the WGAN. Figure 15 presents the confusion matrix graph of the CNN anomaly classification network with database image balancing using the WGAN. Training was carried out with 33,000 images and 3300 images from each of the 11 classes of anomalies, corresponding to 10,000 original images, 23,000 images generated using the data augmentation technique, and 33,000 images generated by the GAN. Accuracies of 0.9675 and 0.8698 were achieved in the training and testing stages, respectively.
Figure 14.
Graph of the training accuracy of 100 epochs of the CNN anomaly classification network with image balancing using the WGAN. Training was performed with 33,000 images, 3300 images from each of the 11 classes of anomalies, which corresponds to 10,000 original images and 23,000 images generated by the GAN.
Figure 15.
Confusion matrix graph of the CNN anomaly classification network with balancing images from the database using the WGAN. Training was carried out with 33,000 images, 3300 images from each of the 11 classes of anomalies, which corresponds to 10,000 original images and 23,000 images generated by the GAN.
The increase in synthetic samples from the WGAN improved the classification result and the hit rate of classes for which experiments using database augmentation with the data augmentation technique showed low hit rate values, such as dirt (93%), multiple cells (69%), and vegetation (73%). In this study, ten classes had a hit rate above 70%, and six classes had values equal to or above 90%.
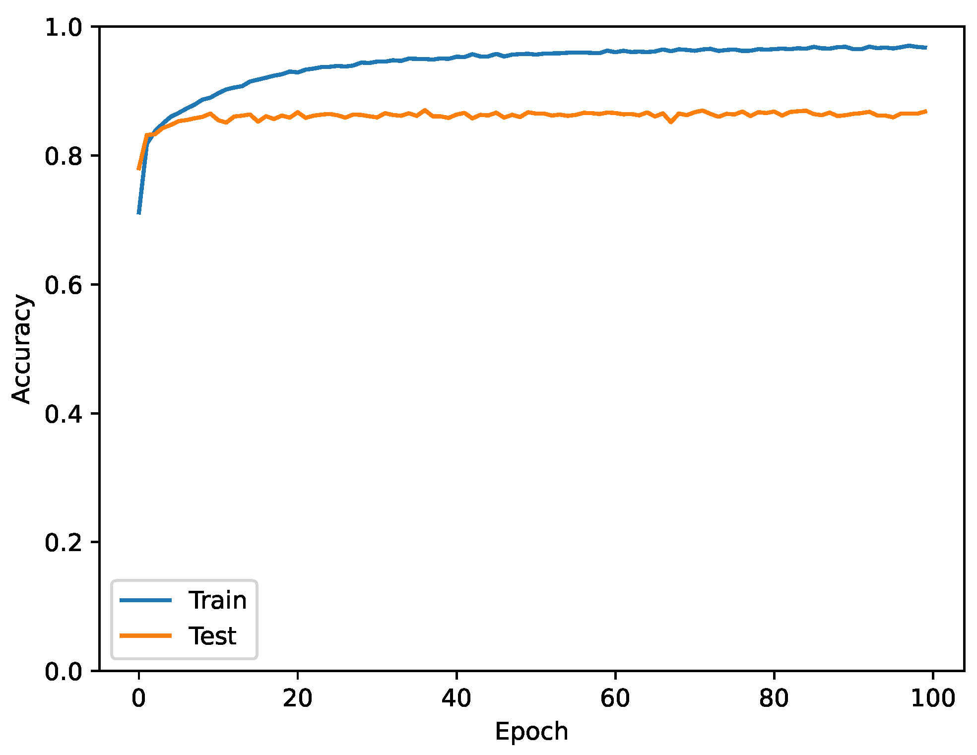
Figure 16 presents the graph of the training accuracy of 100 epochs of the CNN anomaly classification network with image balancing using the DDPM. Figure 17 presents the confusion matrix graph of the CNN anomaly classification network with balancing images from the database using the diffusion technique. Training was performed with 33,000 and 3300 images from each of the 11 classes of anomalies, corresponding to 10,000 original images and 23,000 images generated using the diffusion technique. Accuracies of 0.9727 and 0.8983 were achieved in the training and testing stages, respectively.
Figure 16.
Graph of the training accuracy of 100 epochs of the CNN anomaly classification network with image balancing using a diffusion network.
Figure 17.
Confusion matrix graph of the CNN anomaly classification network with balancing images from the database using a diffusion network.
Increasing the number of synthetic samples using the diffusion technique improved the classification results. Significant improvement was seen in the classification and hit rate of classes that presented low hit rate values in the experiment using the data augmentation technique, such as dirt (87%), multiple cells (88%), and vegetation (84%). In this study, 11 classes had a hit rate above 70% and seven classes had values equal to or above 90%.
Figure 18 shows a set of randomly chosen images before and after the application of the three techniques to increase the number of samples: (1) GT, (2) GAN, and (3) DDPM.
Figure 18.
Number of images for each PV fault class. InfraredSolarModule (ISM) dataset, geometric transformation (GT), WGAN, DDPM [27].
Figure 19 shows the success rates for the classification of 11 faults present in the InfraredSolarModule dataset. Figure 19 shows that the classification model composed of the union of the CNN and the fuzzy model presented the best results for classifying all faults in general, with an emphasis on faults such as Cell and Cell-Multi, which were not classified very well in the models as with the use of WGAN.
Figure 19.
Radar graph of the presented scenarios used to describe the success rates for each failure class analyzed. CNN CLASS BAL is the CNN with balanced data; CLASS UNB + DA is the CNN with unbalanced data and data augmentation by GT; CNN CLASS BAL + WGAN is the CNN with balanced data using the WGAN synthetic image generation technique; and CNN CLASS BAL + DIFF is the CNN with balanced data using the diffusion synthetic image generation technique.
5. Discussion
In this section, three data augmentation techniques are presented for the analysis and creation of an automatic system to detect and classify faults in PV systems. Initially, we identify the presence or absence of anomalies in the PV module. If an anomaly was present, an attempt was made to classify it into a category.
5.1. Anomaly Detection in PV Modules Using CNN and Data Augmentation
The first proposed case involved the utilization of a CNN to detect anomalies in solar modules in a dataset consisting of 20,000 images, along with additional images generated through data augmentation. The main goal was to determine whether a given PV module exhibits any form of anomaly or if it is anomaly-free.
The dataset was divided into two main groups: an estimation group comprising 75% of the images and a test group consisting of the remaining 25% of the images. For training purposes, groups were randomly selected while maintaining the same proportion for each class. The GE was further divided into two subgroups: one for training the network and the other for validating the network and adjusting the hyperparameters of the CNN. The test group was used only after validation and completion of training. This allowed us to assess the ability of the network to generalize to previously unseen images of PV modules and determine its potential to identify faults in images from other PV systems.
Table 2 presents the dataset partitioning for the initial case simulation aimed at detecting failures.
Table 2.
Table summary of the experiments carried out.
The aim of the initial simulation was to determine the presence of defects in a specific PV module. To accomplish this, a dataset consisting of 20,000 images from InfraredSolarModules was utilized, along with an additional 40,000 images generated using three distinct data augmentation techniques. Among these images, 30,000 depicted modules without any anomalies, whereas the remaining 30,000 modules exhibited various types of failure and degradation modes.
Figure 4, Figure 6 and Figure 8 show the proposed model accuracy progress, considering both training and validation accuracy. At the conclusion of the training, the model with data augmentation achieved an accuracy of 99.27% when tested on unseen data that were not utilized during the training and hyperparameter adjustment phases.
The confusion matrices shown in Figure 5, Figure 7 and Figure 9 are for the model trained on the GT provide valuable insights. The results demonstrate that the trained networks in the CNN + DIFF case achieved a remarkable 99% accuracy in detecting classes without any anomalies, and they exhibited a commendable 97% accuracy in identifying solar modules with anomalies.
Table 2 lists the various metrics of the trained network, including the accuracy and image classification hit rate for each proposed scenario. The accuracy of the CNN combined with data augmentation using diffusion methods was 99.27%, indicating a high probability of correctly classifying the negative samples as negative.
5.2. Classification of Anomalies in PV Modules
To classify the anomalies in the second case, data augmentation techniques, including the GT, WGAN, and DDPM, were employed. In this scenario, the InfraredSolarModules dataset was initially divided into training and testing sets, with 75% allocated to training and 25% allocated to testing. From the test images, images were randomly chosen from each class to maintain a balanced test set with an equal number of images per class during the testing phase.
To maintain the main patterns of each IR image, only augmentation techniques such as horizontal and vertical flipping and adding an offset were used in the data augmentation by GT. After increasing the dataset, some samples were duplicated to create a new training group with 33,000 images divided equally between classes.
Data augmentation techniques were employed on the entire dataset to increase the number of samples in the 11 fault classes. This resulted in the creation of 33,000 IR images using WGAN and DDPM, as well as 30,000 IR images generated through data augmentation with GT. The objective was to assess the generalizability of our model to real data.
Figure 15 and Figure 17 present the confusion matrices of the trained model evaluated for the test group. Analysis of the matrix reveals that the classifier demonstrated improved fault classification performance when including the DDPM data augmentation technique. The final test yielded an accuracy of 89.83%, representing a notable increase of approximately 2.85% compared with the WGAN case.
6. Conclusions
This paper proposed the use of a convolutional neural network (CNN) in combination with three data augmentation techniques to detect and classify faults in photovoltaic (PV) modules based on their infrared (IR) image patterns. We compared the efficiency of two well-established techniques in the literature of thermographic image augmentation for PV panels—Wasserstein generative adversarial networks (WGANs) and geometric transformation (GT)— with a third technique, denoising diffusion probabilistic models (DDPMs), which has been introduced in this context for the first time. The CNN model achieved 92% accuracy in identifying nonanomalous PV modules and 93% accuracy in detecting modules with anomalies, which demonstrates its effectiveness in automatic fault detection.
The results obtained in this study demonstrate the significance of generating synthetic images to balance datasets of thermographic images of PV modules. Our findings demonstrate that DDPM outperformed WGAN in the classification of anomalies within PV panels, achieving an accuracy rate exceeding 89%. These results highlight the significant improvement in classification performance that can be achieved using synthetic images, and they emphasize their importance in addressing the challenges of dataset balancing in PV thermography.
Additionally, our results indicate that the combination of WGAN and convolutional neural networks (CNNs) achieved a testing accuracy of 86.98%. In contrast, the integration of the DDPM with the CNN resulted in a higher accuracy of 89.83%. This illustrates that the DDPM is more effective than the WGAN for accurately classifying anomalies within the dataset. Notably, specific patterns, such as failures in both single and multiple diodes, were accurately classified with over 90% accuracy, showcasing the model’s ability to recognize distinct characteristics effectively.
In summary, this study highlights that the combination of the DDPM and CNN yielded superior results compared to the WGAN in terms of accuracy for fault classification in PV modules.This work demonstrates the potential of using WGAN and DDPM techniques to generate synthetic images for intelligent classification systems in situations of database imbalance or limitations in acquiring a balanced database, thereby reducing the operational costs for developing solutions.
The findings presented in this article demonstrate the significance of generating synthetic images to balance the thermographic image datasets of PV modules. This approach is valuable for addressing the class imbalance problem often encountered in real-world datasets. In future work, we intend to extend these techniques to create synthetic images of other components within PV systems, such as cables and connectors. This will aid in the identification of hotspots in various elements of a PV system, provide further insights into system optimization and maintenance, and contribute to the development of an automated tool for the complete analysis of PV systems.
Author Contributions
Conceptualization, C.E.R.S., R.H.F.A. and C.R.d.S.J.; methodology, C.E.R.S., R.H.F.A. and C.R.d.S.J.; software, C.E.R.S.; validation, C.E.R.S., R.H.F.A. and C.R.d.S.J.; formal analysis, C.E.R.S., R.H.F.A. and C.R.d.S.J.; investigation, C.E.R.S., R.H.F.A. and C.R.d.S.J.; resources, C.E.R.S., R.H.F.A. and C.R.d.S.J.; data curation, C.E.R.S., R.H.F.A. and C.R.d.S.J.; writing—original draft preparation, C.E.R.S., R.H.F.A. and C.R.d.S.J.; writing—review and editing, C.E.R.S., R.H.F.A. and C.R.d.S.J.; visualization, C.E.R.S. and R.H.F.A.; supervision, C.R.d.S.J.; project administration, C.R.d.S.J.; funding acquisition, C.R.d.S.J. All authors have read and agreed to the published version of the manuscript.
Funding
This research was funded by the National Council for Scientific and Technological Development (CNPq) in partnership with the Secretariat of Entrepreneurship and Innovation (SEMPI) of the Ministry of Science, Technology, and Innovations, with resources from the National Fund for Scientific and Technological Development (FNDCT), Grant Number 409490/2022-9, and The Secretariat of Professional and Technological Education (SETEC) of the Ministry of Education, with the technical and operational support of the Federal Institute of Education, Science, and Technology of Espírito Santo (Ifes), Grant 23000.008232/2022-25.
Data Availability Statement
The original contributions presented in the study are included in the article, further inquiries can be directed to the corresponding author.
Acknowledgments
We thank the National Council for Scientific and Technological Development—CNPq—and the Secretariat of Entrepreneurship and Innovation (SEMPI) of the Ministry of Science, Technology, and Innovations, with resources from the National Fund for Scientific and Technological Development (FNDCT) for the resources from CNPq/SEMPI/MCTI/FNDCT Public Call. The Secretariat of Technological Education of the Ministry of Education for the selection of projects aimed at promoting innovative entrepreneurship, with a focus on Economy 4.0, associated with teaching, research, and extension, is also acknowledged.
Conflicts of Interest
Author Ricardo was employed by the company Petrobras. The remaining authors declare that the research was conducted in the absence of any commercial or financial relationships that could be construed as a potential conflict of interest.
Abbreviations
The following abbreviations are used in this manuscript:
| CNN | Convolution Neural Network |
| PV | Photovoltaic |
| DF | Diffusion Model |
| GAN | Generative Adversarial Network |
| WGAN | Wasserstein Generative Adversarial Network |
| DDPM | Denoising Diffusion Probabilistic Model |
| ML | Machine Learning |
| UAV | Unmanned Aerial Vehicle |
| SVMs | Support Vector Machines |
| DL | Deep Learning |
| ReLU | Rectified Linear Unit |
| IGBT | Insulated-Gate Bipolar Transistor |
| GT | Geometric Transformation |
References
- Abu Dhabi. Renewable Energy Statistics 2023. 2023. Available online: https://www.irena.org/Publications/2023/Jul/Renewable-energy-statistics-2023 (accessed on 5 August 2024).
- Murdock, H.E.; Gibb, D.; André, T.; Appavou, F.; Brown, A.; Epp, B.; Kondev, B.; Musolino, E.; Ranalder, L. Renewables 2020 Global Status Report. 2020. Available online: https://www.ren21.net/wp-content/uploads/2019/05/gsr_2020_full_report_en.pdf (accessed on 5 August 2024).
- Gao, W.; Wai, R.J. A Novel Fault Identification Method for Photovoltaic Array via Convolutional Neural Network and Residual Gated Recurrent Unit. IEEE Access 2020, 8, 159493–159510. [Google Scholar] [CrossRef]
- Ali, M.U.; Khan, H.F.; Masud, M.; Kallu, K.D.; Zafar, A. A machine learning framework to identify the hotspot in photovoltaic module using infrared thermography. Sol. Energy 2020, 208, 643–651. [Google Scholar] [CrossRef]
- Spagnolo, G.S.; Del Vecchio, P.; Makary, G.; Papalillo, D.; Martocchia, A. A review of IR thermography applied to PV systems. In Proceedings of the 2012 11th International Conference on Environment and Electrical Engineering, Venice, Italy, 18–25 May 2012; IEEE: Piscataway, NJ, USA, 2012; pp. 879–884. [Google Scholar]
- Simon, M.; Meyer, E.L. Detection and analysis of hot-spot formation in solar cells. Sol. Energy Mater. Sol. Cells 2010, 94, 106–113. [Google Scholar] [CrossRef]
- Dunderdale, C.; Brettenny, W.; Clohessy, C.; van Dyk, E.E. Photovoltaic defect classification through thermal infrared imaging using a machine learning approach. Prog. Photovoltaics Res. Appl. 2020, 28, 177–188. [Google Scholar] [CrossRef]
- Chine, W.; Mellit, A.; Lughi, V.; Malek, A.; Sulligoi, G.; Pavan, A.M. A novel fault diagnosis technique for photovoltaic systems based on artificial neural networks. Renew. Energy 2016, 90, 501–512. [Google Scholar] [CrossRef]
- Ding, S.; Yang, Q.; Li, X.; Yan, W.; Ruan, W. Transfer learning based photovoltaic module defect diagnosis using aerial images. In Proceedings of the 2018 International Conference on Power System Technology (POWERCON), Guangzhou, China, 6–9 November 2018; IEEE: Piscataway, NJ, USA, 2018; pp. 4245–4250. [Google Scholar]
- Herraiz, Á.H.; Marugán, A.P.; Márquez, F.P.G. Photovoltaic plant condition monitoring using thermal images analysis by convolutional neural network-based structure. Renew. Energy 2020, 153, 334–348. [Google Scholar] [CrossRef]
- Akram, M.W.; Li, G.; Jin, Y.; Chen, X.; Zhu, C.; Shauket, I.; Ahmad, A. Defect Detection and Degradation Analysis in Photovoltaic Modules using Thermography, Spectroscopy, and Current–Voltage Measurements, and Quantitative Assessment of Their Impact. Energy Technol. 2020, 8, 2000100. [Google Scholar] [CrossRef]
- Usamentiaga, R.; Venegas, P.; Guerediaga, J.; Vega, L.; Molleda, J.; Bulnes, F.G. Infrared thermography for temperature measurement and non-destructive testing. Sensors 2014, 14, 12305–12348. [Google Scholar] [CrossRef]
- Alves, R.H.F.; de Deus Júnior, G.A.; Vieira, F.H.T.; de Castro, M.S.; de Araújo, S.G.; Lemos, R.P. Anomaly Detection in Photovoltaic Panels Using Abnet, PSOM and MLP Networks. In Proceedings of the VI Congresso Brasileiro de Energia Solar, Belo Horizonte, Brazil, 4–7 April 2016. [Google Scholar]
- IEC TS 62446-3; Photovoltaic (PV) Systems-Requirements for Testing, Documentation and Maintenance-Part 3: Photovoltaic Modules and Plants-Outdoor Infrared Thermography. IEC: Geneva, Switzerland, 2017.
- Olalla, C.; Hasan, M.; Deline, C.; Maksimović, D. Mitigation of hot-spots in photovoltaic systems using distributed power electronics. Energies 2018, 11, 726. [Google Scholar] [CrossRef]
- Cybenko, G. Approximation by superpositions of a sigmoidal function. Math. Control. Signals Syst. 1989, 2, 303–314. [Google Scholar] [CrossRef]
- LeCun, Y.; Bengio, Y.; Hinton, G. Deep learning. Nature 2015, 521, 436–444. [Google Scholar] [CrossRef] [PubMed]
- Du, B.; He, Y.; He, Y.; Zhang, C. Progress and trends in fault diagnosis for renewable and sustainable energy system based on infrared thermography: A review. Infrared Phys. Technol. 2020, 109, 103383. [Google Scholar] [CrossRef]
- Du, B.; He, Y.; He, Y.; Duan, J.; Zhang, Y. Intelligent classification of silicon photovoltaic cell defects based on eddy current thermography and convolution neural network. IEEE Trans. Ind. Inform. 2019, 16, 6242–6251. [Google Scholar] [CrossRef]
- Akram, M.W.; Li, G.; Jin, Y.; Chen, X.; Zhu, C.; Zhao, X.; Khaliq, A.; Faheem, M.; Ahmad, A. CNN based automatic detection of photovoltaic cell defects in electroluminescence images. Energy 2019, 189, 116319. [Google Scholar] [CrossRef]
- Alves, R.H.F.; de Deus Junior, G.A.; Marra, E.G.; Lemos, R.P. Automatic fault classification in photovoltaic modules using Convolutional Neural Networks. Renew. Energy 2021, 179, 502–516. [Google Scholar] [CrossRef]
- Korkmaz, D.; Acikgoz, H. An efficient fault classification method in solar photovoltaic modules using transfer learning and multi-scale convolutional neural network. Eng. Appl. Artif. Intell. 2022, 113, 104959. [Google Scholar] [CrossRef]
- Pamungkas, R.F.; Utama, I.B.K.Y.; Jang, Y.M. A Novel Approach for Efficient Solar Panel Fault Classification Using Coupled UDenseNet. Sensors 2023, 23, 4918. [Google Scholar] [CrossRef]
- Alwosheel, A.; van Cranenburgh, S.; Chorus, C.G. Is your dataset big enough? Sample size requirements when using artificial neural networks for discrete choice analysis. J. Choice Model. 2018, 28, 167–182. [Google Scholar] [CrossRef]
- Cong, G.; Fan, W.; Geerts, F.; Jia, X.; Ma, S. Improving data quality: Consistency and accuracy. In Proceedings of the 33rd International Conference on Very Large Data Bases, Vienna, Austria, 23–27 September 2007; pp. 315–326. [Google Scholar]
- Ali-Gombe, A.; Elyan, E.; Jayne, C. Multiple fake classes GAN for data augmentation in face image dataset. In Proceedings of the 2019 International Joint Conference on Neural Networks (IJCNN), Budapest, Hungary, 14–19 July 2019; IEEE: Piscataway, NJ, USA, 2019; pp. 1–8. [Google Scholar]
- Millendorf, M.; Obropta, E.; Vadhavkar, N. Infrared solar module dataset for anomaly detection. In Proceedings of the International Conference on Learning Representations (ICLR), Addis Ababa, Ethiopia, 30 April 2020. [Google Scholar]
- Ali-Gombe, A.; Elyan, E. MFC-GAN: Class-imbalanced dataset classification using multiple fake class generative adversarial network. Neurocomputing 2019, 361, 212–221. [Google Scholar] [CrossRef]
- Mariani, G.; Scheidegger, F.; Istrate, R.; Bekas, C.; Malossi, C. Bagan: Data augmentation with balancing gan. arXiv 2018, arXiv:1803.09655. [Google Scholar]
- Creswell, A.; White, T.; Dumoulin, V.; Arulkumaran, K.; Sengupta, B.; Bharath, A.A. Generative adversarial networks: An overview. IEEE Signal Process. Mag. 2018, 35, 53–65. [Google Scholar] [CrossRef]
- Goodfellow, I.; Pouget-Abadie, J.; Mirza, M.; Xu, B.; Warde-Farley, D.; Ozair, S.; Courville, A.; Bengio, Y. Generative adversarial networks. Commun. ACM 2020, 63, 139–144. [Google Scholar] [CrossRef]
- Wang, K.; Gou, C.; Duan, Y.; Lin, Y.; Zheng, X.; Wang, F.Y. Generative adversarial networks: Introduction and outlook. IEEE/CAA J. Autom. Sin. 2017, 4, 588–598. [Google Scholar] [CrossRef]
- Dhariwal, P.; Nichol, A. Diffusion models beat gans on image synthesis. Adv. Neural Inf. Process. Syst. 2021, 34, 8780–8794. [Google Scholar]
- Rombach, R.; Blattmann, A.; Lorenz, D.; Esser, P.; Ommer, B. High-resolution image synthesis with latent diffusion models. In Proceedings of the IEEE/CVF Conference on Computer Vision and Pattern Recognition, New Orleans, LA, USA, 18–24 June 2022; pp. 10684–10695. [Google Scholar]
- Yang, L.; Zhang, Z.; Song, Y.; Hong, S.; Xu, R.; Zhao, Y.; Zhang, W.; Cui, B.; Yang, M.H. Diffusion models: A comprehensive survey of methods and applications. Acm Comput. Surv. 2023, 56, 1–39. [Google Scholar] [CrossRef]
- Goodfellow, I.; Pouget-Abadie, J.; Mirza, M.; Xu, B.; Warde-Farley, D.; Ozair, S.; Courville, A.; Bengio, Y. Generative adversarial nets. In Advances in Neural Information Processing Systems; MIT Press: Cambridge, MA, USA, 2014; Volume 27. [Google Scholar]
- Pan, Z.; Yu, W.; Yi, X.; Khan, A.; Yuan, F.; Zheng, Y. Recent progress on generative adversarial networks (GANs): A survey. IEEE Access 2019, 7, 36322–36333. [Google Scholar] [CrossRef]
- Gui, J.; Sun, Z.; Wen, Y.; Tao, D.; Ye, J. A review on generative adversarial networks: Algorithms, theory, and applications. IEEE Trans. Knowl. Data Eng. 2021, 35, 3313–3332. [Google Scholar] [CrossRef]
- Arjovsky, M.; Chintala, S.; Bottou, L. Wasserstein generative adversarial networks. In Proceedings of the International Conference on Machine Learning, Sydney, NSW, Australia, 6–11 August 2017; pp. 214–223. [Google Scholar]
- Ho, J.; Jain, A.; Abbeel, P. Denoising diffusion probabilistic models. Adv. Neural Inf. Process. Syst. 2020, 33, 6840–6851. [Google Scholar]
- Kriegeskorte, N. Deep neural networks: A new framework for modeling biological vision and brain information processing. Annu. Rev. Vis. Sci. 2015, 1, 417–446. [Google Scholar] [CrossRef]
- Qin, Z.; Yu, F.; Liu, C.; Chen, X. How convolutional neural network see the world-A survey of convolutional neural network visualization methods. arXiv 2018, arXiv:1804.11191. [Google Scholar] [CrossRef]
- Albawi, S.; Mohammed, T.A.; Al-Zawi, S. Understanding of a convolutional neural network. In Proceedings of the 2017 International Conference on Engineering and Technology (ICET), Antalya, Turkey, 21–23 August 2017; IEEE: Piscataway, NJ, USA, 2017; pp. 1–6. [Google Scholar]
- O’Shea, K.; Nash, R. An introduction to convolutional neural networks. arXiv 2015, arXiv:1511.08458. [Google Scholar]
- Taye, M.M. Theoretical understanding of convolutional neural network: Concepts, architectures, applications, future directions. Computation 2023, 11, 52. [Google Scholar] [CrossRef]
- Wiatowski, T.; Bölcskei, H. A mathematical theory of deep convolutional neural networks for feature extraction. IEEE Trans. Inf. Theory 2017, 64, 1845–1866. [Google Scholar] [CrossRef]
- Li, Z.; Liu, F.; Yang, W.; Peng, S.; Zhou, J. A survey of convolutional neural networks: Analysis, applications, and prospects. IEEE Trans. Neural Netw. Learn. Syst. 2021, 33, 6999–7019. [Google Scholar] [CrossRef] [PubMed]
- Wang, Y.; Li, Y.; Song, Y.; Rong, X. The influence of the activation function in a convolution neural network model of facial expression recognition. Appl. Sci. 2020, 10, 1897. [Google Scholar] [CrossRef]
- Samavatian, V.; Fotuhi-Firuzabad, M.; Samavatian, M.; Dehghanian, P.; Blaabjerg, F. Iterative machine learning-aided framework bridges between fatigue and creep damages in solder interconnections. IEEE Trans. Compon. Packag. Manuf. Technol. 2021, 12, 349–358. [Google Scholar] [CrossRef]
- Yang, X.; Zhang, Y.; Wu, X.; Liu, G. Failure mode classification of IGBT modules under power cycling tests based on data-driven machine learning framework. IEEE Trans. Power Electron. 2023, 38, 16130–16141. [Google Scholar] [CrossRef]
- Ma, G.; Xu, S.; Jiang, B.; Cheng, C.; Yang, X.; Shen, Y.; Yang, T.; Huang, Y.; Ding, H.; Yuan, Y. Real-time personalized health status prediction of lithium-ion batteries using deep transfer learning. Energy Environ. Sci. 2022, 15, 4083–4094. [Google Scholar] [CrossRef]
- Attia, P.M.; Grover, A.; Jin, N.; Severson, K.A.; Markov, T.M.; Liao, Y.H.; Chen, M.H.; Cheong, B.; Perkins, N.; Yang, Z.; et al. Closed-loop optimization of fast-charging protocols for batteries with machine learning. Nature 2020, 578, 397–402. [Google Scholar] [CrossRef]
- Stone, M. Cross-validatory choice and assessment of statistical predictions. J. R. Stat. Soc. Ser. B (Methodol.) 1974, 36, 111–133. [Google Scholar] [CrossRef]
- Stone, M. Cross-validation: A review. Stat. A J. Theor. Appl. Stat. 1978, 9, 127–139. [Google Scholar]
- Shorten, C.; Khoshgoftaar, T.M. A survey on image data augmentation for deep learning. J. Big Data 2019, 6, 1–48. [Google Scholar] [CrossRef]
- Simard, P.Y.; Steinkraus, D.; Platt, J.C. Best practices for convolutional neural networks applied to visual document analysis. In Proceedings of the Seventh International Conference on Document Analysis and Recognition, Edinburgh, UK, 6 August 2003; Volume 3. [Google Scholar]
Disclaimer/Publisher’s Note: The statements, opinions and data contained in all publications are solely those of the individual author(s) and contributor(s) and not of MDPI and/or the editor(s). MDPI and/or the editor(s) disclaim responsibility for any injury to people or property resulting from any ideas, methods, instructions or products referred to in the content. |
© 2025 by the authors. Licensee MDPI, Basel, Switzerland. This article is an open access article distributed under the terms and conditions of the Creative Commons Attribution (CC BY) license (https://creativecommons.org/licenses/by/4.0/).


















