AI-Driven Signal Processing for SF6 Circuit Breaker Performance Optimization
Abstract
1. Introduction
2. Materials and Methods
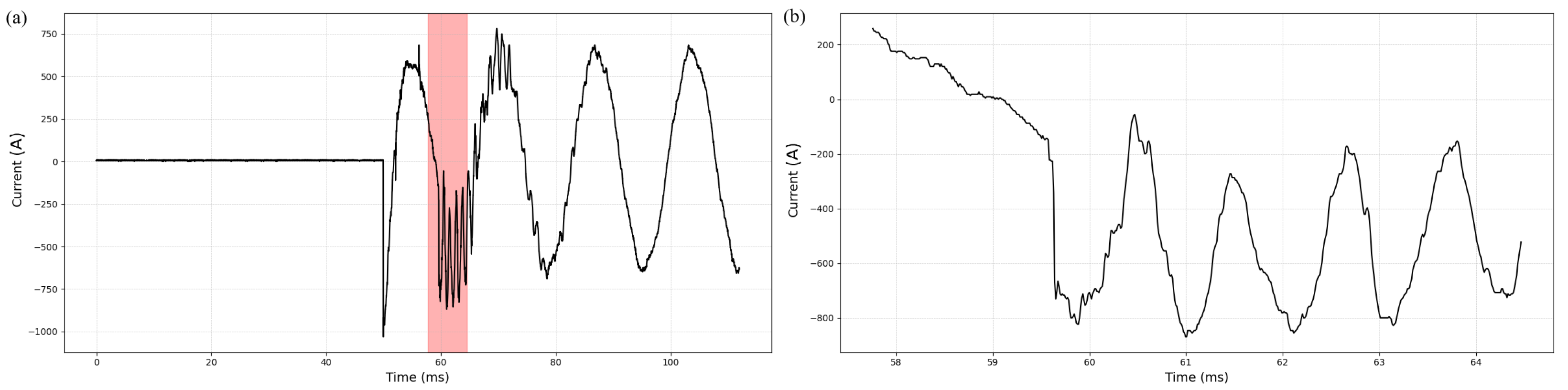
2.1. Data Loading and Pre-Insertion Point Detection
- Corrupted files that cannot be read.
- Files with incorrect bank names: When analyzing the current of the bank named in the file, it is clear that this was not the operated bank, requiring each bank to be checked for identification. For this work, files with this issue were discarded.
2.2. Dataset Generation
2.3. Model Training and Testing
2.3.1. Data Augmentation and Normalization
2.3.2. Multilayer Perceptron—MLP
2.3.3. Adaptive Boosting—AdaBoost
2.4. Cross Validation
Model Performance Indicators
- True Positives (TP): Cases where the model correctly predicted the positive class.
- True Negatives (TN): Cases where the model correctly predicted the negative class.
- False Positives (FP): Cases where the model incorrectly predicted the positive class when the actual class was negative (Type I error).
- False Negatives (FN): Cases where the model incorrectly predicted the negative class when the actual class was positive (Type II error).
- Accuracy: Accuracy measures the proportion of correct predictions relative to the total predictions made. It is a useful metric when classes are balanced, vide Equation (3).However, in imbalanced datasets, accuracy can be misleading, as a model that always predicts the majority class may have high accuracy but poor performance in capturing the minority class [45].
- Precision: Precision, also known as positive predictive value, measures the proportion of correctly classified positive examples among all examples classified as positive by the model, vide Equation (4).
- Recall: Recall, or sensitivity, measures the model’s ability to correctly identify all positive examples. It is the proportion of true positives relative to the total examples that actually belong to the positive class, vide Equation (5).
- F1-Score: The F1-score is the harmonic mean of precision and recall, providing a balance between both metrics. It is useful when both precision and recall are important, as shown in Equation (6).
- Specificity: Measures the proportion of true negatives correctly identified relative to the total examples that actually belong to the negative class, as shown in Equation (7).Specificity is relevant in contexts where avoiding false positives is important, such as in screening tests [44].
- Area under the ROC Curve (AUC-ROC): AUC represents the model’s ability to distinguish between positive and negative classes. A receiver operating characteristic (ROC) curve is plotted with the x-axis representing the false positive rate and the y-axis representing the true positive rate, as shown in Equation (8).A model with an AUC close to 1 is considered excellent, while an AUC of 0.5 indicates no discrimination ability (equivalent to random guessing) [44].
2.5. Analysis of the Circuit Breakers
3. Results
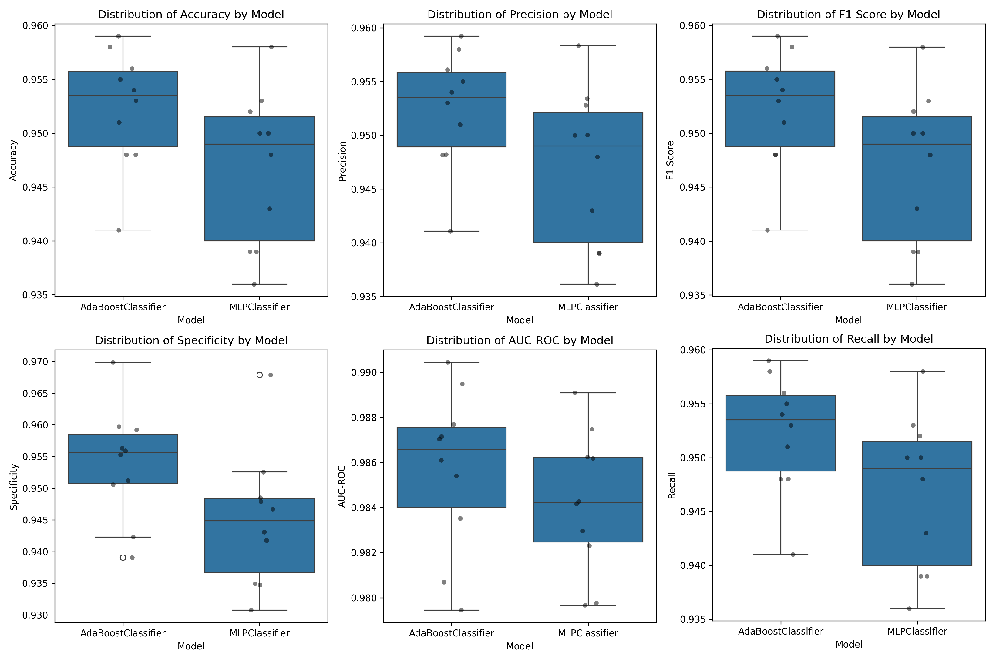
3.1. Training and Validation Analysis of the Models
3.2. Statistical Analysis of Circuit Breaker Timing
4. Conclusions
Author Contributions
Funding
Data Availability Statement
Conflicts of Interest
Abbreviations
| AI | Artificial Intelligence |
| PIR | Pre-insertion Resistor |
| DCT | Discrete Cosine Transform |
| AUC-ROC | Area Under the Receiver Operating Characteristic Curve |
| MLP | Multi-Layer Perceptron |
| ReLU | Rectified Linear Unit |
| AdaBoost | Adaptive Boosting |
| TP | True Positives |
| TN | True Negatives |
| FP | False Positives |
| FN | False Negatives |
References
- Gao, W.; Qiao, S.P.; Wai, R.J.; Guo, M.F. A Newly Designed Diagnostic Method for Mechanical Faults of High-Voltage Circuit Breakers via SSAE and IELM. IEEE Trans. Instrum. Meas. 2021, 70, 3500613. [Google Scholar] [CrossRef]
- Razi-Kazemi, A.A.; Niayesh, K. Condition Monitoring of High Voltage Circuit Breakers: Past to Future. IEEE Trans. Power Deliv. 2021, 36, 740–750. [Google Scholar] [CrossRef]
- Bao, M.; Li, Y.; Zhao, Y.; Peng, H.; Li, J.; Chen, Z.; Liu, G. Research on High Frequency Induced Current Based High Voltage Circuit Breaker Opening and Closing Time Testing Method. In Proceedings of the Conference: 2024 7th Asia Conference on Energy and Electrical Engineering (ACEEE), Chengdu, China, 20–22 July 2024; pp. 52–56. [Google Scholar] [CrossRef]
- Panda, S.; Bahirat, H.; Stanek, M. Controlled switching of power circuit breakers. In Proceedings of the 2016 IEEE International Conference on Power System Technology (POWERCON), Wollongong, NSW, Australia, 28 September–1 October 2016; pp. 1–6. [Google Scholar] [CrossRef]
- Eng, M.; Gutierrez Eng, A. Controlled switching and circuit breaker monitoring. In Proceedings of the 2017 IEEE 37th Central America and Panama Convention (CONCAPAN XXXVII), Managua, Nicaragua, 15–17 November 2017; pp. 1–5. [Google Scholar] [CrossRef]
- CIGRE. Guidelines and Best Practices for the Commissioning and Operation of Controlled Switching Projects; Technical Report 757, CIGRE Technical Brochure; CIGRE: Paris, France, 2019. [Google Scholar]
- IEEE. Guide for the Application of Shunt Power Capacitors; IEEE: Piscataway, NJ, USA, 2021. [Google Scholar] [CrossRef]
- IEEE. Guide for the Application of Capacitive Current Switching for AC High-Voltage Circuit Breakers Above 1000 V; IEEE: Piscataway, NJ, USA, 2023. [Google Scholar] [CrossRef]
- IEEE. Draft Standard Test Procedures for AC High-Voltage Circuit Breakers with Rated Maximum Voltage Above 1000 V Amendment 1: Modifications to Test Procedures; IEEE: Piscataway, NJ, USA, 2024. [Google Scholar]
- Zondi, S.; Bokoro, P.; Paul, B. EMTP-based analysis of pre-insertion resistor and point on wave switching methodology. In Proceedings of the AFRICON 2015, Addis Ababa, Ethiopia, 14–17 September 2015; IEEE: Piscataway, NJ, USA, 2015; pp. 1–5. [Google Scholar]
- Luz, G.S.; Arentz, D.S.; Junior, A.R.; Piantino, E.A.; Dias, J.B.; Braz, V.W.; Junior, A.D.P. Adjustment of Synchronizers in the Closing Maneuver of the Capacitor Banks of the Tijuco Preto Substation. In Proceedings of the XIII 401 Eriac-Ibero-American Regional Meeting of CIGRÉ, Puerto Iguazú, Argentina, 24–28 May 2009. [Google Scholar]
- Goldsworthy, D.; Roseburg, T.; Tziouvaras, D.; Pope, J. Controlled Switching of HVAC Circuit Breakers: Application Examples and Benefits. In Proceedings of the 2008 61st Annual Conference for Protective Relay Engineers, College Station, TX, USA, 1–3 April 2008; pp. 520–535. [Google Scholar] [CrossRef]
- Sun, R.; McVey, M.; Yang, D.; Stage, J.R. A Study of Synchronous Breaker Switching With Preinsertion Resistor for Capacitors Banks. IEEE Trans. Power Deliv. 2018, 33, 821–829. [Google Scholar] [CrossRef]
- Liu, A.; Wu, Z.; Wang, Y.; Ma, S. A Novel Control Strategy of Phase-Controlled Switching Technology for Vacuum Circuit Breaker. IEEE Access 2022, 10, 43571–43582. [Google Scholar] [CrossRef]
- Silva, M. Monitoring System and Methodology to Estimation of Circuit Breaker Operation Times. Ph.D. Thesis, Polytechnic School of the University of São Paulo, São Paulo, Brazil, 2005. [Google Scholar]
- Razi-Kazemi, A.A.; Vakilian, M.; Niayesh, K.; Lehtonen, M. Circuit-Breaker Automated Failure Tracking Based on Coil Current Signature. IEEE Trans. Power Deliv. 2014, 29, 283–290. [Google Scholar] [CrossRef]
- Razi-Kazemi, A. Applicability of auxiliary contacts in circuit breaker online condition assessment. Electr. Power Syst. Res. 2015, 128, 53–59. [Google Scholar] [CrossRef]
- Gao, W.; Wai, R.J.; Qiao, S.P.; Guo, M.F. Mechanical Faults Diagnosis of High-Voltage Circuit Breaker via Hybrid Features and Integrated Extreme Learning Machine. IEEE Access 2019, 7, 60091–60103. [Google Scholar] [CrossRef]
- Zhou, Y.; Xue, Y.; Zhou, K. Failure analysis of arc ablated tungsten-copper electrical contacts. Vacuum 2019, 164, 390–395. [Google Scholar] [CrossRef]
- Ji, T.; Yi, L.; Tang, W.; Shi, M.; Wu, Q.H. Multi-mapping fault diagnosis of high voltage circuit breaker based on mathematical morphology and wavelet entropy. CSEE J. Power Energy Syst. 2019, 5, 130–138. [Google Scholar] [CrossRef]
- Hosseini, M.; Stephen, B.; McArthur, S.D.; Helm, J. Current-Based Trip Coil Analysis of Circuit Breakers for Fault Diagnosis. In Proceedings of the 2018 IEEE PES Innovative Smart Grid Technologies Conference Europe (ISGT-Europe), Sarajevo, Bosnia and Herzegovina, 21–25 October 2018; pp. 1–6. [Google Scholar] [CrossRef]
- Fantozzi, G.V. Selecting a capacitor-switching overvoltage control method effective in preventing nuisance tripping of adjustable-speed drives. In Proceedings of the EEI ES&E Committee Meeting, Clearwater Beach, FL, USA, 4 April 1995. [Google Scholar]
- Salinas, M.; Salas, R.; Mellado, D.; Glaría, A.; Saavedra, C. A Computational Fractional Signal Derivative Method. Model. Simul. Eng. 2018, 2018, 7280306. [Google Scholar] [CrossRef]
- Shan, Z.; Yang, J.; Sanjuán, M.A.F.; Wu, C.; Liu, H. A Novel Adaptive Moving Average Method for Signal Denoising in Strong Noise Background. Eur. Phys. J. Plus 2022, 137, 50. [Google Scholar] [CrossRef]
- George, G.; Oommen, R.M.; Shelly, S.; Philipose, S.S.; Varghese, A.M. A Survey on Various Median Filtering Techniques For Removal of Impulse Noise From Digital Image. In Proceedings of the 2018 Conference on Emerging Devices and Smart Systems (ICEDSS), Tiruchengode, India, 2–3 March 2018; pp. 235–238. [Google Scholar] [CrossRef]
- Savitzky, A.; Golay, M.J.E. Smoothing and Differentiation of Data by Simplified Least Squares Procedures. Anal. Chem. 1964, 36, 1627–1639. [Google Scholar] [CrossRef]
- Fourier, J. La Théorie Analytique de la Chaleur; Chez Firmin Didot, Père et Fils: Paris, France, 1822. [Google Scholar]
- Gonzalez, R.C.; Woods, R.E. Digital Image Processing, 4th ed.; Pearson Education Limited: Essex, UK, 2018. [Google Scholar]
- Zhou, J.; Chen, P. Generalized Discrete Cosine Transform. In Proceedings of the 2009 Pacific-Asia Conference on Circuits, Communications and Systems, Chengdu, China, 16–17 May 2009; pp. 449–452. [Google Scholar] [CrossRef]
- Feldman, M. Hilbert transform in vibration analysis. Mech. Syst. Signal Process. 2011, 25, 735–802. [Google Scholar] [CrossRef]
- Shouran, M.; Elgamli, E. Design and Implementation of Butterworth Filter. Int. J. Innov. Res. Sci. Eng. Technol. 2020, 9, 7975. [Google Scholar]
- Caumo, L. Application and Calculation of the Derivative of Industrial Process Signals. Master’s Dissertation, Federal University of Rio Grande do Sul, Porto Alegre, Brasil, 2006. [Google Scholar]
- Fernández, A.; Garcia, S.; Herrera, F.; Chawla, N.V. SMOTE for learning from imbalanced data: Progress and challenges, marking the 15-year anniversary. J. Artif. Intell. Res. 2018, 61, 863–905. [Google Scholar] [CrossRef]
- Raju, V.G.; Lakshmi, K.P.; Jain, V.M.; Kalidindi, A.; Padma, V. Study the influence of normalization/transformation process on the accuracy of supervised classification. In Proceedings of the 2020 Third International Conference on Smart Systems and Inventive Technology (ICSSIT), Tirunelveli, India, 20–22 August 2020; IEEE: Piscataway, NJ, USA, 2020; pp. 729–735. [Google Scholar]
- He, K.; Zhang, X.; Ren, S.; Sun, J. Delving Deep into Rectifiers: Surpassing Human-Level Performance on ImageNet Classification. In Proceedings of the 2015 IEEE International Conference on Computer Vision (ICCV), Santiago, Chile, 7–13 December 2015; pp. 1026–1034. [Google Scholar] [CrossRef]
- Kingma, D.; Ba, J. Adam: A Method for Stochastic Optimization. In Proceedings of the International Conference on Learning Representations, Banff, AB, Canada, 14–16 April 2014. [Google Scholar]
- Glorot, X.; Bengio, Y. Understanding the difficulty of training deep feedforward neural networks. In Proceedings of the Thirteenth International Conference on Artificial Intelligence and Statistics, Chia Laguna Resort, Sardinia, Italy, 13–15 May 2010; Teh, Y.W., Titterington, M., Eds.; Proceedings of Machine Learning Research: Cambridge, MA, USA, 2010; Volume 9, pp. 249–256. [Google Scholar]
- Delashmit, W.H.; Manry, M.T. Recent developments in multilayer perceptron neural networks. In Proceedings of the Seventh Annual Memphis Area Engineering and Science Conference, MAESC, Memphis, TN, USA, 11–13 May 2005; Volume 7, p. 33. [Google Scholar]
- Popescu, M.C.; Balas, V.E.; Perescu-Popescu, L.; Mastorakis, N. Multilayer perceptron and neural networks. WSEAS Trans. Circuits Syst. 2009, 8, 579–588. [Google Scholar]
- Rosset, S.; Zou, H.; Hastie, T. Multi-class AdaBoost. Stat. Its Interface 2006, 2, 349–360. [Google Scholar] [CrossRef]
- Schapire, R.E. Explaining AdaBoost. In Empirical Inference: Festschrift in Honor of Vladimir N. Vapnik; Schölkopf, B., Luo, Z., Vovk, V., Eds.; Springer: Berlin/Heidelberg, Germany, 2013; pp. 37–52. [Google Scholar] [CrossRef]
- Wyner, A.J.; Olson, M.; Bleich, J.; Mease, D. Explaining the success of adaboost and random forests as interpolating classifiers. J. Mach. Learn. Res. 2017, 18, 1–33. [Google Scholar]
- An, T.K.; Kim, M.H. A new diverse AdaBoost classifier. In Proceedings of the 2010 International Conference on Artificial Intelligence and Computational Intelligence, Sanya, China, 23–24 October 2010; IEEE: Piscataway, NJ, USA, 2010; Volume 1, pp. 359–363. [Google Scholar]
- Yacouby, R.; Axman, D. Probabilistic Extension of Precision, Recall, and F1 Score for More Thorough Evaluation of Classification Models. In Proceedings of the First Workshop on Evaluation and Comparison of NLP Systems, Online, 12 November 2020; Eger, S., Gao, Y., Peyrard, M., Zhao, W., Hovy, E., Eds.; pp. 79–91. [Google Scholar] [CrossRef]
- Flach, P. Performance Evaluation in Machine Learning: The Good, the Bad, the Ugly, and the Way Forward. In Proceedings of the AAAI Conference on Artificial Intelligence 2019, Honolulu, HI, USA, 27 January–1 February 2019; Volume 33, pp. 9808–9814. [Google Scholar] [CrossRef]
- Simon, G.J.; Aliferis, C. (Eds.) Artificial Intelligence and Machine Learning in Health Care and Medical Sciences, 1st ed.; Health Informatics; Springer: Cham, Switzerland, 2024; Volume XXVI, 810p. [Google Scholar] [CrossRef]
- Ying, X. An Overview of Overfitting and its Solutions. J. Phys. Conf. Ser. 2019, 1168, 022022. [Google Scholar] [CrossRef]
- Anguita, D.; Ghelardoni, L.; Ghio, A.; Oneto, L.; Ridella, S. The’K’in K-fold Cross Validation. In Proceedings of the ESANN, Bruges, Belgium, 25–27 April 2012; Volume 102, pp. 441–446. [Google Scholar]
- Zhang, X.; Liu, C.A. Model averaging prediction by K-fold cross-validation. J. Econom. 2023, 235, 280–301. [Google Scholar] [CrossRef]


















| Filter | Parameters |
|---|---|
| Derivative [23] | Order 1 |
| Integral [23] | Order 1 |
| Moving Average [24] | Convolution with a window size of 10 |
| Median [25] | Using a window size of 10 |
| Savitzky-Golay [26] | With a polynomial of degree 2 and a window size of 10 |
| Fourier Transform [27,28] | Filtering frequencies above 200 Hz |
| Discrete Cosine Transform [29] | With orthogonal normalization and removing high-frequency components, zeroing the upper half of the coefficients |
| Hilbert Transform [30] | Calculating the signal envelope and obtaining the signal through the transform’s magnitude |
| Butterworth [31] | With a cutoff frequency of 100 Hz and order 4 |
| Wavelet [32] | Decomposing the signal with different wavelets and keeping only the lowest-level coefficients. Biorthogonal, Coiflet, Discrete Meyer, and Reverse Biorthogonal wavelets were used |
| Year | Number of Signals |
|---|---|
| 2010 | 394 |
| 2011 | 584 |
| 2019 | 675 |
| 2020 | 84 |
| Parameter | Value |
|---|---|
| Number of K-Fold splits | 10 |
| Seed for reproducibility | 42 |
| Model | Accuracy | Precision | F1 Score | Recall | Specificity | AUC-ROC |
|---|---|---|---|---|---|---|
| AdaBoost | 0.9523 | 0.9524 | 0.9523 | 0.9523 | 0.9540 | 0.9857 |
| MLP | 0.9468 | 0.9470 | 0.9468 | 0.9468 | 0.9449 | 0.9842 |
Disclaimer/Publisher’s Note: The statements, opinions and data contained in all publications are solely those of the individual author(s) and contributor(s) and not of MDPI and/or the editor(s). MDPI and/or the editor(s) disclaim responsibility for any injury to people or property resulting from any ideas, methods, instructions or products referred to in the content. |
© 2025 by the authors. Licensee MDPI, Basel, Switzerland. This article is an open access article distributed under the terms and conditions of the Creative Commons Attribution (CC BY) license (https://creativecommons.org/licenses/by/4.0/).
Share and Cite
Liz, P.A.V.D.; Vitor, G.B.; Lima, R.T.; Coelho, A.L.M.; Silveira, E.P. AI-Driven Signal Processing for SF6 Circuit Breaker Performance Optimization. Energies 2025, 18, 377. https://doi.org/10.3390/en18020377
Liz PAVD, Vitor GB, Lima RT, Coelho ALM, Silveira EP. AI-Driven Signal Processing for SF6 Circuit Breaker Performance Optimization. Energies. 2025; 18(2):377. https://doi.org/10.3390/en18020377
Chicago/Turabian StyleLiz, Philippe A. V. D., Giovani B. Vitor, Ricardo T. Lima, Aurélio L. M. Coelho, and Eben P. Silveira. 2025. "AI-Driven Signal Processing for SF6 Circuit Breaker Performance Optimization" Energies 18, no. 2: 377. https://doi.org/10.3390/en18020377
APA StyleLiz, P. A. V. D., Vitor, G. B., Lima, R. T., Coelho, A. L. M., & Silveira, E. P. (2025). AI-Driven Signal Processing for SF6 Circuit Breaker Performance Optimization. Energies, 18(2), 377. https://doi.org/10.3390/en18020377

