Advances and Challenges in Thermoacoustic Network Modeling for Hydrogen and Ammonia Combustors
Abstract
1. Introduction
2. Thermoacoustic Network Model for Hydrogen and Ammonia Combustors
2.1. Mathematical Framework of the One-Dimensional Thermoacoustic Network Model
2.2. Sample Demonstration of the Thermoacoustic Network Model
3. Low-Carbon Combustor Applications of Thermoacoustic Network Model
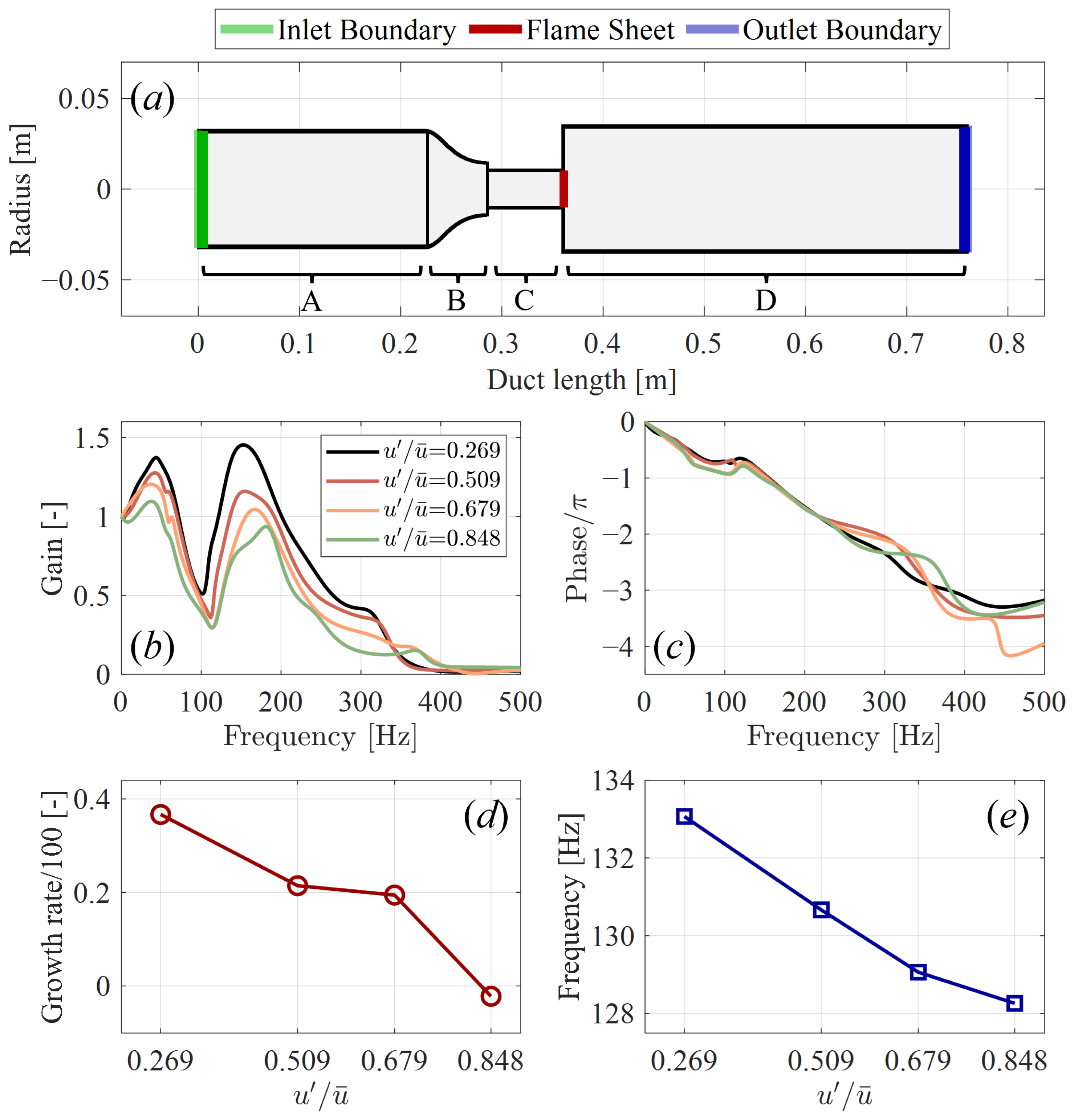
3.1. Thermoacoustic Network Model for Hydrogen Combustion
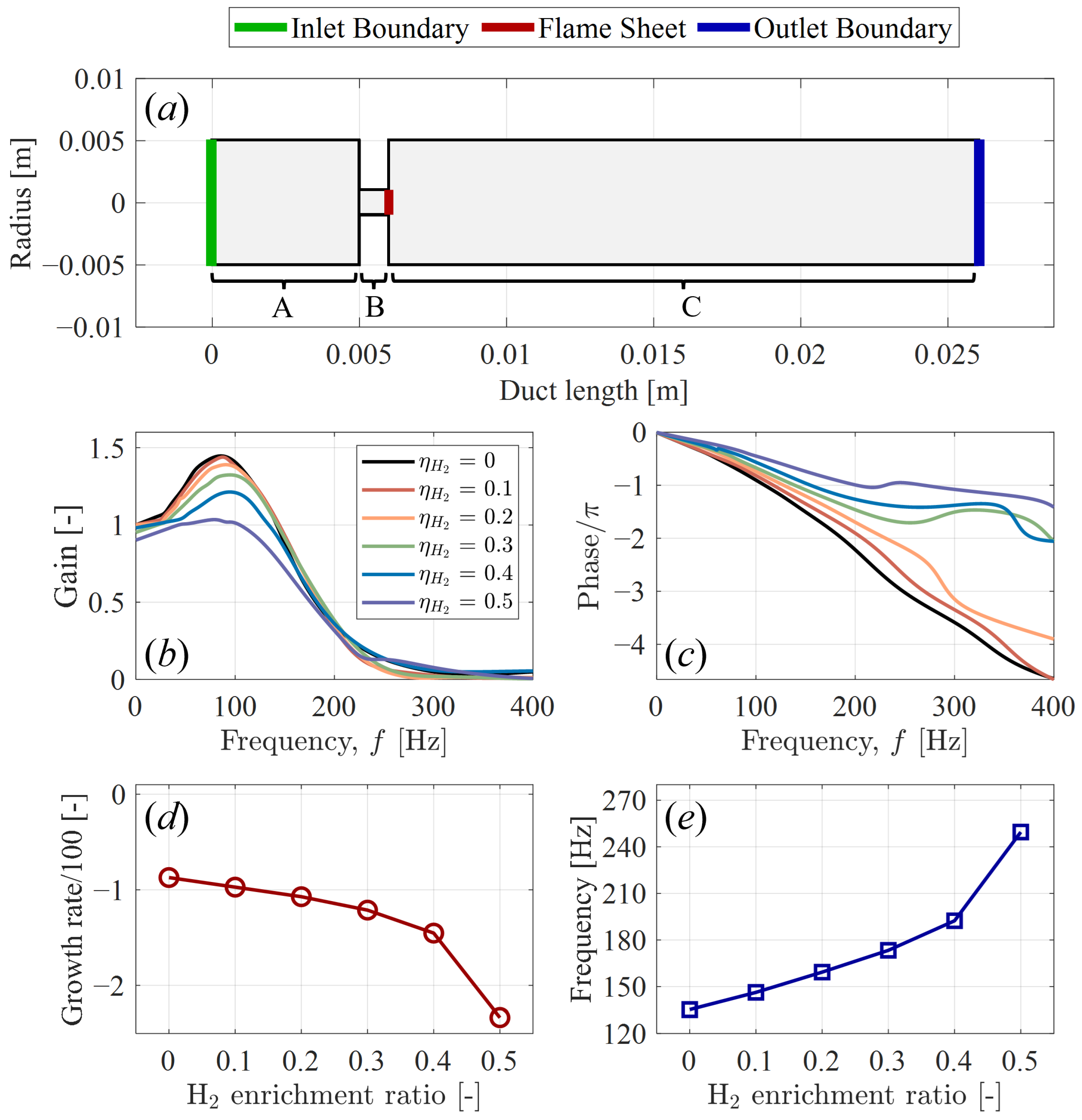
3.2. Thermoacoustic Network Model for Ammonia Combustion
4. Conclusions
Author Contributions
Funding
Institutional Review Board Statement
Informed Consent Statement
Data Availability Statement
Conflicts of Interest
References
- Hanley, E.S.; Deane, J.P.; Gallachóir, B.P.Ó. The role of hydrogen in low carbon energy futures–A review of existing perspectives. Renew. Sustain. Energy Rev. 2018, 82, 3027–3045. [Google Scholar] [CrossRef]
- Valera-Medina, A.; Xiao, H.; Owen-Jones, M.; David, W.I.F.; Bowen, P.J. Ammonia for power. Prog. Energy Combust. Sci. 2018, 69, 63–102. [Google Scholar] [CrossRef]
- Giacomazzi, E.; Troiani, G.; Di Nardo, A.; Calchetti, G.; Cecere, D.; Messina, G.; Carpenella, S. Hydrogen combustion: Features and barriers to its exploitation in the energy transition. Energies 2023, 16, 7174. [Google Scholar] [CrossRef]
- Ma, F.; Guo, L.; Li, Z.; Zeng, X.; Zheng, Z.; Li, W.; Zhao, F.; Yu, W. A review of current advances in ammonia combustion from the fundamentals to applications in internal combustion engines. Energies 2023, 16, 6304. [Google Scholar] [CrossRef]
- Abdin, Z.; Zafaranloo, A.; Rafiee, A.; Mérida, W.; Lipiński, W.; Khalilpour, K.R. Hydrogen as an energy vector. Renew. Sustain. Energy Rev. 2020, 120, 109620. [Google Scholar] [CrossRef]
- Kobayashi, H.; Hayakawa, A.; Somarathne, K.D.K.A.; Okafor, E.C. Science and technology of ammonia combustion. Proc. Combust. Inst. 2019, 37, 109–133. [Google Scholar] [CrossRef]
- Aziz, M.; Wijayanta, A.T.; Nandiyanto, A.B.D. Ammonia as effective hydrogen storage: A review on production, storage and utilization. Energies 2020, 13, 3062. [Google Scholar] [CrossRef]
- Dowling, A.P.; Stow, S.R. Acoustic analysis of gas turbine combustors. J. Propul. Power 2003, 19, 751–764. [Google Scholar] [CrossRef]
- Lieuwen, T.; Yang, V. Combustion Instabilities in Gas Turbine Engines: Operational Experience, Fundamental Mechanisms and Modeling; AIAA: Reston, VA, USA, 2005. [Google Scholar]
- Poinsot, T. Prediction and control of combustion instabilities in real engines. Proc. Combust. Inst. 2017, 36, 1–28. [Google Scholar] [CrossRef]
- Kapucu, M.; Kok, J.B.W.; Pozarlik, A.K. Experimental Investigation of Thermoacoustics and High-Frequency Combustion Dynamics with Band Stop Characteristics in a Pressurized Combustor. Energies 2024, 17, 1680. [Google Scholar] [CrossRef]
- Lee, T.; Kim, K.T. High-frequency transverse combustion instabilities of lean-premixed multislit hydrogen-air flames. Combust. Flame 2022, 238, 111899. [Google Scholar] [CrossRef]
- Kang, H.; Lee, M.; Kim, K.T. Measurements of self-excited instabilities and nitrogen oxides emissions in a multi-element lean-premixed hydrogen/methane/air flame ensemble. Proc. Combust. Inst. 2023, 39, 4721–4729. [Google Scholar] [CrossRef]
- Ånestad, A.; Æsøy, E.; Dawson, J.R.; Worth, N.A. Mitigating thermoacoustic instabilities in premixed hydrogen flames using axial staging. Proc. Combust. Inst. 2024, 40, 105430. [Google Scholar] [CrossRef]
- Liu, C.; Yang, H.; Ruan, C.; Yu, L.; Nan, J.; Li, J.; Lu, X. Experimental study on effects of ammonia enrichment on the thermoacoustic instability of lean premixed swirling methane flames. Fuel 2024, 357, 129796. [Google Scholar] [CrossRef]
- Paschereit, C.O.; Schuermans, B.; Polifke, W.; Mattson, O. Measurement of transfer matrices and source terms of premixed flames. J. Eng. Gas Turbines Power 2002, 124, 239–247. [Google Scholar] [CrossRef]
- Kim, K.T.; Lee, J.G.; Quay, B.D.; Santavicca, D.A. Spatially distributed flame transfer functions for predicting combustion dynamics in lean premixed gas turbine combustors. Combust. Flame 2010, 157, 1718–1730. [Google Scholar] [CrossRef]
- Jaensch, S.; Emmert, T.; Silva, C.F.; Polifke, W. A grey-box identification approach for thermoacoustic network models. In Proceedings of the ASME Turbo Expo. ASME Digital Collection, Dusseldorf, Germany, 16–20 June 2014. [Google Scholar]
- Han, X.; Li, J.; Morgans, A.S. Prediction of combustion instability limit cycle oscillations by combining flame describing function simulations with a thermoacoustic network model. Combust. Flame 2015, 162, 3632–3647. [Google Scholar] [CrossRef]
- Guan, Y.; He, W.; Murugesan, M.; Li, Q.; Liu, P.; Li, L.K.B. Control of self-excited thermoacoustic oscillations using transient forcing, hysteresis and mode switching. Combust. Flame 2019, 202, 262–275. [Google Scholar] [CrossRef]
- Lee, M. Early warning detection of thermoacoustic instability using three-dimensional complexity-entropy causality space. Exp. Therm. Fluid Sci. 2022, 130, 110517. [Google Scholar] [CrossRef]
- Guan, Y.; Yin, B.; Yang, Z.; Li, L.K.B. Forced synchronization of self-excited chaotic thermoacoustic oscillations. J. Fluid Mech. 2024, 982, A9. [Google Scholar] [CrossRef]
- Waugh, I.C.; Juniper, M.P. Triggering in a thermoacoustic system with stochastic noise. Int. J. Spray Combust. Dyn. 2011, 3, 225–241. [Google Scholar] [CrossRef]
- Kabiraj, L.; Steinert, R.; Saurabh, A.; Paschereit, C.O. Coherence resonance in a thermoacoustic system. Phys. Rev. E 2015, 92, 042909. [Google Scholar] [CrossRef] [PubMed]
- Guk, S.; Seo, S.; Lee, M. An image-based spatiotemporal approach for detecting coherence resonance in annular model gas-turbine combustor. Phys. Fluids 2024, 36, 054121. [Google Scholar] [CrossRef]
- Lee, M. Numerical aspects of noise-induced dynamics in continuous combustion systems. J. Korean Soc. Combust. 2023, 28, 66–77. [Google Scholar] [CrossRef]
- Lee, M.; Gupta, V.; Li, L.K.B. Fokker–Planck modeling of the stochastic dynamics of a Rijke tube. Chaos 2024, 34, 083117. [Google Scholar] [CrossRef]
- Polifke, W. System identification for aero-and thermo-acoustic applications. In Proceedings of the Advances in Aero-Acoustics and Thermo-Acoustics, von Karman Institute for Fluid Dynamics, Rhode-St-Genèse, Brussels, Belgium, 15–19 November 2010. [Google Scholar]
- Noiray, N.; Schuermans, B. Deterministic quantities characterizing noise driven Hopf bifurcations in gas turbine combustors. Int. J. Nonlin. Mech. 2013, 50, 152–163. [Google Scholar] [CrossRef]
- Lee, M.; Guan, Y.; Gupta, V.; Li, L.K.B. Input-output system identification of a thermoacoustic oscillator near a Hopf bifurcation using only fixed-point data. Phys. Rev. E 2020, 101, 013102. [Google Scholar] [CrossRef]
- Lee, M.; Kim, K.T.; Gupta, V.; Li, L.K.B. System identification and early warning detection of thermoacoustic oscillations in a turbulent combustor using its noise-induced dynamics. Proc. Combust. Inst. 2021, 38, 6025–6033. [Google Scholar] [CrossRef]
- Guk, S.; Seo, S.; Lee, M. Thermoacoustic dynamics in an annular model gas-turbine combustor under transverse stochastic forcing. J. Korean Soc. Combust. 2023, 28, 20–27. [Google Scholar] [CrossRef]
- Nóvoa, A.; Magri, L. Real-time thermoacoustic data assimilation. J. Fluid Mech. 2022, 948, A35. [Google Scholar] [CrossRef]
- Lee, M.; Yoon, S.; Kim, J.; Wang, Y.; Lee, K.; Park, F.C.; Sohn, C.H. Classification of impinging jet flames using convolutional neural network with transfer learning. J. Mech. Sci. Technol. 2022, 36, 1547–1556. [Google Scholar] [CrossRef]
- Ozan, D.E.; Magri, L. Hard-constrained neural networks for modeling nonlinear acoustics. Phys. Rev. Fluids 2023, 8, 103201. [Google Scholar] [CrossRef]
- Son, H.; Lee, M. A PINN approach for identifying governing parameters of noisy thermoacoustic systems. J. Fluid Mech. 2024, 984, A21. [Google Scholar] [CrossRef]
- Schuller, T.; Poinsot, T.; Candel, S. Dynamics and control of premixed combustion systems based on flame transfer and describing functions. J. Fluid Mech. 2020, 894, P1. [Google Scholar] [CrossRef]
- Noiray, N.; Durox, D.; Schuller, T.; Candel, S. A unified framework for nonlinear combustion instability analysis based on the flame describing function. J. Fluid Mech. 2008, 615, 139–167. [Google Scholar] [CrossRef]
- Semlitsch, B.; Orchini, A.; Dowling, A.P.; Juniper, M.P. G-equation modelling of thermoacoustic oscillations of partially premixed flames. Int. J. Spray Combust. Dyn. 2017, 9, 260–276. [Google Scholar] [CrossRef]
- Bellucci, V.; Schuermans, B.; Nowak, D.; Flohr, P.; Paschereit, C.O. Thermoacoustic modeling of a gas turbine combustor equipped with acoustic dampers. J. Turbomach. 2005, 127, 372–379. [Google Scholar] [CrossRef]
- Bothien, M.R.; Noiray, N.; Schuermans, B. Analysis of azimuthal thermo-acoustic modes in annular gas turbine combustion chambers. J. Eng. Gas Turbines Power 2015, 137, 061505. [Google Scholar] [CrossRef]
- Aguilar, J.G.; Æsøy, E.; Dawson, J.R. The influence of hydrogen on the stability of a perfectly premixed combustor. Combust. Flame 2022, 245, 112323. [Google Scholar] [CrossRef]
- Nunes, C.D.; Morgans, A. The acoustic response of hydrogen/ammonia flames. J. Ammon. Energy 2023, 1, 33–45. [Google Scholar]
- Choi, Y.; Han, G.; Kim, K.T. Forced response of transverse reacting jet in vitiated crossflow to harmonic velocity disturbances. Combust. Flame 2024, 269, 113670. [Google Scholar] [CrossRef]
- Wei, D.; Fang, H.; Zhou, H. Investigation on self-excited thermoacoustic instability and emission characteristics of premixed CH4/NH3/air flame. Therm. Sci. Eng. Prog. 2024, 51, 102614. [Google Scholar] [CrossRef]
- Dowling, A.P. The calculation of thermoacoustic oscillations. J. Sound Vib. 1995, 180, 557–581. [Google Scholar] [CrossRef]
- Poinsot, T. Theoretical and Numerical Combustion; R.T. Edwards: Philadelphia, PA, USA, 2005. [Google Scholar]
- Lieuwen, T. Modeling premixed combustion-acoustic wave interactions: A review. J. Propul. Power 2003, 19, 765–781. [Google Scholar] [CrossRef]
- Li, L.; Sun, X. Effect of vorticity waves on azimuthal instabilities in annular chambers. Combust. Flame 2015, 162, 628–641. [Google Scholar] [CrossRef]
- Morgans, A.S.; Duran, I. Entropy noise: A review of theory, progress and challenges. Int. J. Spray Combust. Dyn. 2016, 8, 285–298. [Google Scholar] [CrossRef]
- Goh, C.S.; Morgans, A.S. The influence of entropy waves on the thermoacoustic stability of a model combustor. Combust. Sci. Technol. 2013, 185, 249–268. [Google Scholar] [CrossRef]
- Motheau, E.; Selle, L.; Nicoud, F. Accounting for convective effects in zero-Mach-number thermoacoustic models. J. Sound Vib. 2014, 333, 246–262. [Google Scholar] [CrossRef]
- Li, J.; Xia, Y.; Morgans, A.S.; Han, X. Numerical prediction of combustion instability limit cycle oscillations for a combustor with a long flame. Combust. Flame 2017, 185, 28–43. [Google Scholar] [CrossRef]
- Pierce, A.D. Acoustics: An Introduction to Its Physical Principles and Applications, 3rd ed.; Springer: Berlin/Heidelberg, Germany, 2019. [Google Scholar]
- Marble, F.E.; Candel, S.M. Acoustic disturbance from gas non-uniformities convected through a nozzle. J. Sound Vib. 1977, 55, 225–243. [Google Scholar] [CrossRef]
- Stow, S.R.; Dowling, A.P.; Hynes, T.P. Reflection of circumferential modes in a choked nozzle. J. Fluid Mech. 2002, 467, 215–239. [Google Scholar] [CrossRef]
- Duran, I.; Moreau, S. Solution of the quasi-one-dimensional linearized Euler equations using flow invariants and the Magnus expansion. J. Fluid Mech. 2013, 723, 190–231. [Google Scholar] [CrossRef]
- Semlitsch, B. Boundary conditions to represent the wave impedance characteristics of axial compressors. Appl. Acoust. 2023, 204, 109236. [Google Scholar] [CrossRef]
- Sattelmayer, T. Influence of the combustor aerodynamics on combustion instabilities from equivalence ratio fluctuations. J. Eng. Gas Turbines Power 2003, 125, 11–19. [Google Scholar] [CrossRef]
- Li, J.; Yang, D.; Luzzato, C.; Morgans, A.S. Open Source Combustion Instability Low Order Simulator (OSCILOS-Long) Technical Report; Technical report; Imperial College London: London, UK, 2015. [Google Scholar]
- Liu, X.; Qin, L.; Song, Y.; Li, J.; Yang, L. The effect of mean flow on the intrinsic thermoacoustic instabilities in the duct and annular combustion chambers. Aerosp. Sci. Technol. 2022, 127, 107691. [Google Scholar] [CrossRef]
- Palies, P.; Durox, D.; Schuller, T.; Candel, S. The combined dynamics of swirler and turbulent premixed swirling flames. Combust. Flame 2010, 157, 1698–1717. [Google Scholar] [CrossRef]
- Palies, P.; Durox, D.; Schuller, T.; Candel, S. Nonlinear combustion instability analysis based on the flame describing function applied to turbulent premixed swirling flames. Combust. Flame 2011, 158, 1980–1991. [Google Scholar] [CrossRef]
- Ghani, A.; Polifke, W. Control of intrinsic thermoacoustic instabilities using hydrogen fuel. Proc. Combust. Inst. 2021, 38, 6077–6084. [Google Scholar] [CrossRef]
- Kornilov, V.N.; Rook, R.; ten Thije Boonkkamp, J.H.M.; De Goey, L.P.H. Experimental and numerical investigation of the acoustic response of multi-slit Bunsen burners. Combust. Flame 2009, 156, 1957–1970. [Google Scholar] [CrossRef]
- Beita, J.; Talibi, M.; Sadasivuni, S.; Balachandran, R. Thermoacoustic instability considerations for high hydrogen combustion in lean premixed gas turbine combustors: A review. Hydrogen 2021, 2, 33–57. [Google Scholar] [CrossRef]
- Janus, M.C.; Richards, G.A.; Yip, M.J.; Robey, E.H. Effects of Ambient Conditions and Fuel Composition on Combustion Stability. In Proceedings of the Turbo Expo: Power for Land, Sea, and Air, Orlando, FL, USA, 2–5 June 1997; Volume 78699, p. V002T06A035. [Google Scholar]
- Figura, L.; Lee, J.G.; Quay, B.D.; Santavicca, D.A. The effects of fuel composition on flame structure and combustion dynamics in a lean premixed combustor. In Proceedings of the Turbo Expo: Power for Land, Sea, and Air, Montreal, Canada, 14–17 May 2007; Volume 47918, pp. 181–187. [Google Scholar]
- Lee, M.C.; Yoon, J.; Joo, S.; Kim, J.; Hwang, J.; Yoon, Y. Investigation into the cause of high multi-mode combustion instability of H2/CO/CH4 syngas in a partially premixed gas turbine model combustor. Proc. Combustion Inst. 2015, 35, 3263–3271. [Google Scholar] [CrossRef]
- Karlis, E.; Liu, Y.; Hardalupas, Y.; Taylor, A.M.K.P. H2 enrichment of CH4 blends in lean premixed gas turbine combustion: An experimental study on effects on flame shape and thermoacoustic oscillation dynamics. Fuel 2019, 254, 115524. [Google Scholar] [CrossRef]
- Lee, T.; Kim, K.T. Combustion dynamics of lean fully-premixed hydrogen-air flames in a mesoscale multinozzle array. Combust. Flame 2020, 218, 234–246. [Google Scholar] [CrossRef]
- Kang, H.; Kim, K.T. Combustion dynamics of multi-element lean-premixed hydrogen-air flame ensemble. Combust. Flame 2021, 233, 111585. [Google Scholar] [CrossRef]
- Choi, Y.; Kim, K.T. Strong flame interaction-induced collective dynamics of multi-element lean-premixed hydrogen flames. Int. J. Hydrogen Energy 2023, 48, 2030–2043. [Google Scholar] [CrossRef]
- Park, D.; Lee, T.; Kim, K.T. Rotational symmetry-driven modal dynamics of high-frequency transverse instabilities in a lean-premixed multislit hydrogen combustor. Combust. Flame 2022, 245, 112356. [Google Scholar] [CrossRef]
- Brokof, P.; Guzmán-Iñigo, J.; Morgans, A.S.; Son, M.; Armbruster, W.; Hardi, J.S. Injection-coupling instabilities in the BKD combustor: Acoustic analysis of the isolated injectors. AIAA J. 2023, 61, 2581–2590. [Google Scholar] [CrossRef]
- Giannotta, A.; Cherubini, S.; De Palma, P. The effect of hydrogen enrichment on thermoacoustic instabilities in laminar conical premixed methane/air flames. Int. J. Hydrogen Energy 2023, 48, 37654–37665. [Google Scholar] [CrossRef]
- Dupuy, A.; Douasbin, Q.; Poinsot, T. Control of Intrinsic ThermoAcoustic instabilities for methane and hydrogen air flames: DNS and network analysis. Proc. Combust. Inst. 2024, 40, 105217. [Google Scholar] [CrossRef]
- Joo, S.; Kwak, S.; Lee, J.; Yoon, Y. Thermoacoustic instability and flame transfer function in a lean direct injection model gas turbine combustor. Aerosp. Sci. Technol. 2021, 116, 106872. [Google Scholar] [CrossRef]
- Kang, H.; Yoon, C.; Kim, K.T. Experimental and numerical investigations of forced response of multi-element lean-premixed hydrogen flames. Combust. Flame 2023, 258, 113079. [Google Scholar] [CrossRef]
- Qi, H.; Tian, X.; Feng, Z.; Yang, Y.; Liu, D.; Wang, Q.; Wang, G.; Xu, L.; Xia, X. Investigation of longitudinal self-excited combustion instability in a micromix hydrogen combustor. Proc. Combust. Inst. 2024, 40, 105762. [Google Scholar] [CrossRef]
- Faure-Beaulieu, A.; Dharmaputra, B.; Schuermans, B.; Wang, G.; Caruso, S.; Zahn, M.; Noiray, N. Measuring acoustic transfer matrices of high-pressure hydrogen/air flames for aircraft propulsion. Combust. Flame 2024, 270, 113776. [Google Scholar] [CrossRef]
- Jung, J.; Kim, M.; Hwang, J.; Kang, D.; Lee, W.; Kim, H.; Kim, D. Combustion instability characteristics via fuel nozzle modification in a hydrogen and natural gas Co-firing gas turbine combustor. Int. J. Hydrogen Energy 2024, 79, 962–973. [Google Scholar] [CrossRef]
- Æsøy, E.; Dawson, J.R.; Moeck, J.P. Systematic modulation of the flame transfer function and its effect on thermoacoustic stability. Combust. Flame 2024, 265, 113494. [Google Scholar] [CrossRef]
- Lim, Z.; Li, J.; Morgans, A.S. The effect of hydrogen enrichment on the forced response of CH4/H2/air laminar flames. Int. J. Hydrogen Energy 2021, 46, 23943–23953. [Google Scholar] [CrossRef]
- Æsøy, E.; Indlekofer, T.; Gant, F.; Cuquel, A.; Bothien, M.R.; Dawson, J.R. The effect of hydrogen enrichment, flame-flame interaction, confinement, and asymmetry on the acoustic response of a model can combustor. Combust. Flame 2022, 242, 112176. [Google Scholar] [CrossRef]
- Kim, T.; Ahn, M.; Lim, D.; Yoon, Y. Flame describing function and combustion instability analysis of non-premixed coaxial jet flames. Exp. Therm. Fluid Sci. 2022, 136, 110642. [Google Scholar] [CrossRef]
- Tian, Y.; Nan, J.; Yang, L.; Li, J. The effect of hydrogen enrichment on the conical premixed methane–air flame response and thermoacoustic modes coupling. Combust. Flame 2024, 270, 113742. [Google Scholar] [CrossRef]
- Ni, S.; Zhao, D.; Wu, W.; Guan, Y. NOx emission reduction reaction of ammonia-hydrogen with self-sustained pulsating oscillations. Therm. Sci. Eng. Prog. 2020, 19, 100615. [Google Scholar] [CrossRef]
- Katoch, A.; Guiberti, T.F.; de Campos, D.V.; Lacoste, D.A. Dual-fuel, dual-swirl burner for the mitigation of thermoacoustic instabilities in turbulent ammonia-hydrogen flames. Combust. Flame 2022, 246, 112392. [Google Scholar] [CrossRef]
- Guan, Y.; Zhao, D. Enhancing ammonia combustion with minimum hydrogen blended in presence of self-excited intermittent pulsating oscillations. Phys. Fluids 2023, 35, 054102. [Google Scholar] [CrossRef]
- Ilbas, M.; Kumuk, O.; Alabas, B. Experimental investigation of the combustion instability behaviors and NOx emissions in an ammonia/methane fueled low eddy premixed burner. J. Energy Inst. 2023, 108, 101241. [Google Scholar] [CrossRef]
- Shi, X.; Lian, T.; Liu, Z.; Yang, X.; Li, W.; Li, Y. Impact of carbon-free fuels addition on self-excited combustion oscillations in partially premixed CH4/air swirl flames. Proc. Combust. Inst. 2024, 40, 105568. [Google Scholar] [CrossRef]
- Wei, D.; Fang, H.; Tang, H.; Wang, Y.; Wei, G.; Zhou, H. Experimental study of combustion instability and emission characteristics of ethanol/ammonia co-firing swirl flame. Fuel 2024, 362, 130786. [Google Scholar] [CrossRef]
- Hong, S.; Shanbhogue, S.J.; Speth, R.L.; Ghoniem, A.F. On the phase between pressure and heat release fluctuations for propane/hydrogen flames and its role in mode transitions. Combust. Flame 2013, 160, 2827–2842. [Google Scholar] [CrossRef]
- Bernier, D.; Lacas, F.; Candel, S. Instability mechanisms in a premixed prevaporized combustor. J. Propuls. Power. 2004, 20, 648–656. [Google Scholar] [CrossRef]
- Liu, C.; Yang, H.; Li, X.; Ruan, C.; Yu, L.; Lu, X. Attenuation of thermoacoustic instabilities in a swirl-stabilized NH3–CH4–air combustor with secondary air injection. Exp. Fluids 2024, 65, 88. [Google Scholar] [CrossRef]
- Ånestad, A.; Sampath, R.; Moeck, J.; Gruber, A.; Worth, N.A. The structure and stability of premixed CH4, H2, and NH3/H2 flames in an axially staged can combustor. J. Eng. Gas Turbines Power 2024, 146, 051002. [Google Scholar] [CrossRef]



| Dimension | Plenum Figure 2a-A | Converging Section Figure 2a-B | Injection Tube Figure 2a-C | Combustor Figure 2a-D |
|---|---|---|---|---|
| Length, l [mm] | 224 | 60 | 56 | 400 |
| Diameter [mm] | 60 | 35 | 22 | 70 |
| Dimension | Plenum Figure 3a-A | Slit Hole Figure 3a-B | Ambient Environment Figure 3a-C |
|---|---|---|---|
| Length, l [mm] | 5 | 1 | 20 |
| Diameter [mm] | 10 | 2 | 10 |
Disclaimer/Publisher’s Note: The statements, opinions and data contained in all publications are solely those of the individual author(s) and contributor(s) and not of MDPI and/or the editor(s). MDPI and/or the editor(s) disclaim responsibility for any injury to people or property resulting from any ideas, methods, instructions or products referred to in the content. |
© 2025 by the authors. Licensee MDPI, Basel, Switzerland. This article is an open access article distributed under the terms and conditions of the Creative Commons Attribution (CC BY) license (https://creativecommons.org/licenses/by/4.0/).
Share and Cite
Guk, S.; Lee, J.; Kim, J.; Lee, M. Advances and Challenges in Thermoacoustic Network Modeling for Hydrogen and Ammonia Combustors. Energies 2025, 18, 346. https://doi.org/10.3390/en18020346
Guk S, Lee J, Kim J, Lee M. Advances and Challenges in Thermoacoustic Network Modeling for Hydrogen and Ammonia Combustors. Energies. 2025; 18(2):346. https://doi.org/10.3390/en18020346
Chicago/Turabian StyleGuk, Seungmin, Jaehoon Lee, Juwon Kim, and Minwoo Lee. 2025. "Advances and Challenges in Thermoacoustic Network Modeling for Hydrogen and Ammonia Combustors" Energies 18, no. 2: 346. https://doi.org/10.3390/en18020346
APA StyleGuk, S., Lee, J., Kim, J., & Lee, M. (2025). Advances and Challenges in Thermoacoustic Network Modeling for Hydrogen and Ammonia Combustors. Energies, 18(2), 346. https://doi.org/10.3390/en18020346

