Active Damped Oscillation Calibration Method for Receiving Coil Transition Process Based on Early Acquisition of Pulsed Eddy Current Testing Signal
Abstract
1. Introduction
2. Analysis of Dynamic Characteristics of Receiving Coil
2.1. Analysis of Receiving Coil Response Characteristics
2.2. Analysis of the Accuracy of Receiving Coil Deconvolution
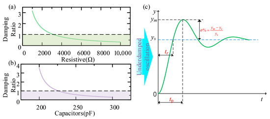
2.3. Active Underdamped Oscillation and Signal Characteristics Analysis
3. Accept Coil Parameter Solution
3.1. Response Signal Feature Extraction and Analysis
3.2. Parameter Solution Based on the Levenberg–Marquardt Algorithm
4. Experimental Testing
5. Conclusions
Author Contributions
Funding
Data Availability Statement
Conflicts of Interest
References
- Safizadeh, M.S.; Lepine, B.A.; Forsyth, D.S.; Fahr, A. Time-Frequency Analysis of Pulsed Eddy Current Signals. J. Nondestruct. Eval. 2001, 20, 73–86. [Google Scholar] [CrossRef]
- Sophian, A.; Tian, G.; Fan, M. Pulsed Eddy Current Non-Destructive Testing and Evaluation: A Review. Chin. J. Mech. Eng. 2017, 30, 500–514. [Google Scholar] [CrossRef]
- Li, Y.; Tian, G.Y.; Simm, A. Fast Analytical Modelling for Pulsed Eddy Current Evaluation. NDT E Int. 2008, 41, 477–483. [Google Scholar] [CrossRef]
- Auld, B.A.; Moulder, J.C. Review of Advances in Quantitative Eddy Current Nondestructive Evaluation. J. Nondestruct. Eval. 1999, 18, 3–36. [Google Scholar] [CrossRef]
- Silva, M.I.; Malitckii, E.; Santos, T.G.; Vilaca, P. Review of Conventional and Advanced Non-Destructive Testing Techniques for Detection and Characterization of Small-Scale Defects. Prog. Mater. Sci. 2023, 138, 101155. [Google Scholar] [CrossRef]
- Sha, J.; Fan, M.; Cao, B.; Liu, B. Noncontact and Nondestructive Evaluation of Heat-Treated Bearing Rings Using Pulsed Eddy Current Testing. J. Magn. Magn. Mater. 2021, 521, 167516. [Google Scholar] [CrossRef]
- Zeng, Z.; Wang, J.; Huang, X.; Zuo, Y.; Liu, Y.; Tian, X.; Pei, F.; Liu, K.; Chen, F.; Wang, X.; et al. Parameter Identification and Transition Process Online Calibration Method of Pulsed Eddy Current Receiving Coil Based on Underdamped Dynamic Response Characteristics. Sensors 2025, 25, 4049. [Google Scholar] [CrossRef]
- Shkatov, P.N. Innovative Surface Eddy Current Probe for Non-Destructive Testing. In Proceedings of the 2023 7th International Conference on Information, Control, and Communication Technologies (ICCT), Astrakhan, Russia, 2–6 October 2023; pp. 1–3. [Google Scholar]
- Shen, X.; Guo, X.; Wang, Z.; Song, M.; Hu, W. Simulation Analysis of Near and Remote Field Pulse Eddy Current Composite Detection Method for Single-Metal Pipeline. IEEE Access 2025, 13, 32434–32442. [Google Scholar] [CrossRef]
- Grochowalski, J.M.; Chady, T. Pulsed Multifrequency Excitation and Spectrogram Eddy Current Testing (PMFES-ECT) for Nondestructive Evaluation of Conducting Materials. Materials 2021, 14, 5311. [Google Scholar] [CrossRef]
- Huang, P.; Pu, H.; Ding, Y.; Li, Z.; Yin, W.; Xu, L.; Xie, Y. A Sensitivity Enhancement PEC Method for Bottom Flaws and Corrosions Detection. Measurement 2022, 202, 111910. [Google Scholar] [CrossRef]
- Zhao, P.; Wang, J.; Sun, L.; Li, Y.; Xia, H.; He, W. Optimal Electrode Configuration and System Design of Compactly-Assembled Industrial Alkaline Water Electrolyzer. Energy Convers. Manag. 2024, 299, 117875. [Google Scholar] [CrossRef]
- Wang, H.; Fu, Z.; Wang, Y.; Tai, H.; Qin, S.; Liao, X. A Time-Domain Feedback Calibration Method for Air-Coil Magnetic Sensor. Measurement 2019, 135, 61–70. [Google Scholar] [CrossRef]
- Ye, C.; Laureti, S.; Malekmohammadi, H.; Wang, Y.; Ricci, M. Swept-Frequency Eddy Current Excitation for TMR Array Sensor and Pulse-Compression: Feasibility Study and Quantitative Comparison of Time and Frequency Domains Processing. Measurement 2022, 187, 110249. [Google Scholar] [CrossRef]
- Xu, Z.; Liao, X.; Liu, L.; Fu, N.; Fu, Z. Research on Small-Loop Transient Electromagnetic Method Forward and Nonlinear Optimization Inversion Method. IEEE Trans. Geosci. Remote Sens. 2023, 61, 5901913. [Google Scholar] [CrossRef]
- Wang, H.; Fu, Z.; Wang, Y.; Tai, H.-M.; Chen, W. On-Site Calibration of Air-Coil Sensor for Transient Electromagnetic Exploration. Geophys. Prospect. 2019, 67, 1595–1610. [Google Scholar] [CrossRef]
- Zhao, P.; Li, L.; Gao, J.; Ma, Y. Method of Standard Field for LF Magnetic Field Meter Calibration. Measurement 2017, 104, 223–232. [Google Scholar] [CrossRef]
- Coillot, C.; Nativel, E.; Zanca, M.; Goze-Bac, C. The Magnetic Field Homogeneity of Coils by Means of the Space Harmonics Suppression of the Current Density Distribution. J. Sens. Sens. Syst. 2016, 5, 401–408. [Google Scholar] [CrossRef]
- Amini, K.; Rostami, F. A Modified Two Steps Levenberg–Marquardt Method for Nonlinear Equations. J. Comput. Appl. Math. 2015, 288, 341–350. [Google Scholar] [CrossRef]
- Choi, H.; Kim, S.D.; Shin, B.-C. Choice of an Initial Guess for Newton’s Method to Solve Nonlinear Differential Equations. Comput. Math. Appl. 2022, 117, 69–73. [Google Scholar] [CrossRef]
- Fan, J. The Modified Levenberg-Marquardt Method for Nonlinear Equations with Cubic Convergence. Math. Comp. 2012, 81, 447–466. [Google Scholar] [CrossRef]
- He, Y.; Xue, G.; Chen, W.; Tian, Z. Three-Dimensional Inversion of Semi-Airborne Transient Electromagnetic Data Based on a Particle Swarm Optimization-Gradient Descent Algorithm. Appl. Sci. 2022, 12, 3042. [Google Scholar] [CrossRef]
- Xu, Z.; Fu, Z.; Fu, N. Firefly Algorithm for Transient Electromagnetic Inversion. IEEE Trans. Geosci. Remote Sens. 2022, 60, 5901312. [Google Scholar] [CrossRef]
- Chen, L. A High-Order Modified Levenberg–Marquardt Method for Systems of Nonlinear Equations with Fourth-Order Convergence. Appl. Math. Comput. 2016, 285, 79–93. [Google Scholar] [CrossRef]
- Wu, Z.; Zhou, T.; Li, L.; Chen, L.; Ma, Y. A New Modified Efficient Levenberg–Marquardt Method for Solving Systems of Nonlinear Equations. Math. Probl. Eng. 2021, 2021, 5608195. [Google Scholar] [CrossRef]













| Receiving Coil Parameters | L (mH) | C (nF) | R (Ω) |
|---|---|---|---|
| Initial Value | 10 | 0.25 | 2.6 |
| True value | 10.09 | 0.2516225 | 2.6 |
| Parameters of the Solution | Iterations | L-Error Improvement | C-Error Improvement | L Relative Error | C Relative Error |
|---|---|---|---|---|---|
| BFGS | 16 | 38.2765 | 8.1584 | 0.00231 | 7.84512 × 10−4 |
| Gauss–Newton | 12 | 8.4596 × 103 | 1.2764 | 1.05443 × 10−5 | 0.00502 |
| LM+Shrinkage | 20 | 59.4516 | 42.2612 | 0.0015 | 1.51457 × 10−4 |
| LM | 13 | 15.4721 | 2.1277 | 0.00577 | 0.00301 |
| Test Results | Iterations | E_C (%) | E_L (%) |
|---|---|---|---|
| Test 1 | 22 | 0.0161 | 0.16 |
| Test 2 | 22 | 0.0154 | 0.154 |
| Test 3 | 21 | 0.0173 | 0.165 |
| Test 4 | 23 | 0.0148 | 0.151 |
| Test 5 | 22 | 0.016 | 0.159 |
| Test 6 | 22 | 0.0157 | 0.161 |
| Mean | 22 | 0.015883 | 0.158333 |
| Standard deviation | 0.632456 | 0.000838 | 0.005046 |
Disclaimer/Publisher’s Note: The statements, opinions and data contained in all publications are solely those of the individual author(s) and contributor(s) and not of MDPI and/or the editor(s). MDPI and/or the editor(s) disclaim responsibility for any injury to people or property resulting from any ideas, methods, instructions or products referred to in the content. |
© 2025 by the authors. Licensee MDPI, Basel, Switzerland. This article is an open access article distributed under the terms and conditions of the Creative Commons Attribution (CC BY) license (https://creativecommons.org/licenses/by/4.0/).
Share and Cite
Wang, F.; Xu, S.; Yin, L.; Hu, X.; Ma, M.; Jia, B.; Wang, J. Active Damped Oscillation Calibration Method for Receiving Coil Transition Process Based on Early Acquisition of Pulsed Eddy Current Testing Signal. Energies 2025, 18, 4602. https://doi.org/10.3390/en18174602
Wang F, Xu S, Yin L, Hu X, Ma M, Jia B, Wang J. Active Damped Oscillation Calibration Method for Receiving Coil Transition Process Based on Early Acquisition of Pulsed Eddy Current Testing Signal. Energies. 2025; 18(17):4602. https://doi.org/10.3390/en18174602
Chicago/Turabian StyleWang, Fei, Su Xu, Liqun Yin, Xiaobao Hu, Ming Ma, Bin Jia, and Jingang Wang. 2025. "Active Damped Oscillation Calibration Method for Receiving Coil Transition Process Based on Early Acquisition of Pulsed Eddy Current Testing Signal" Energies 18, no. 17: 4602. https://doi.org/10.3390/en18174602
APA StyleWang, F., Xu, S., Yin, L., Hu, X., Ma, M., Jia, B., & Wang, J. (2025). Active Damped Oscillation Calibration Method for Receiving Coil Transition Process Based on Early Acquisition of Pulsed Eddy Current Testing Signal. Energies, 18(17), 4602. https://doi.org/10.3390/en18174602

