Research on a Small Modular Reactor Fault Diagnosis System Based on the Attention Mechanism
Abstract
1. Introduction
2. PCTRAN-SMR
2.1. SMART
2.2. PCTRAN-SMR Software
2.3. SMR and PWR LOCA Accident Simulation Analysis
3. CNN–LSTM–Attention Neural Network Model
3.1. Convolutional Neural Network
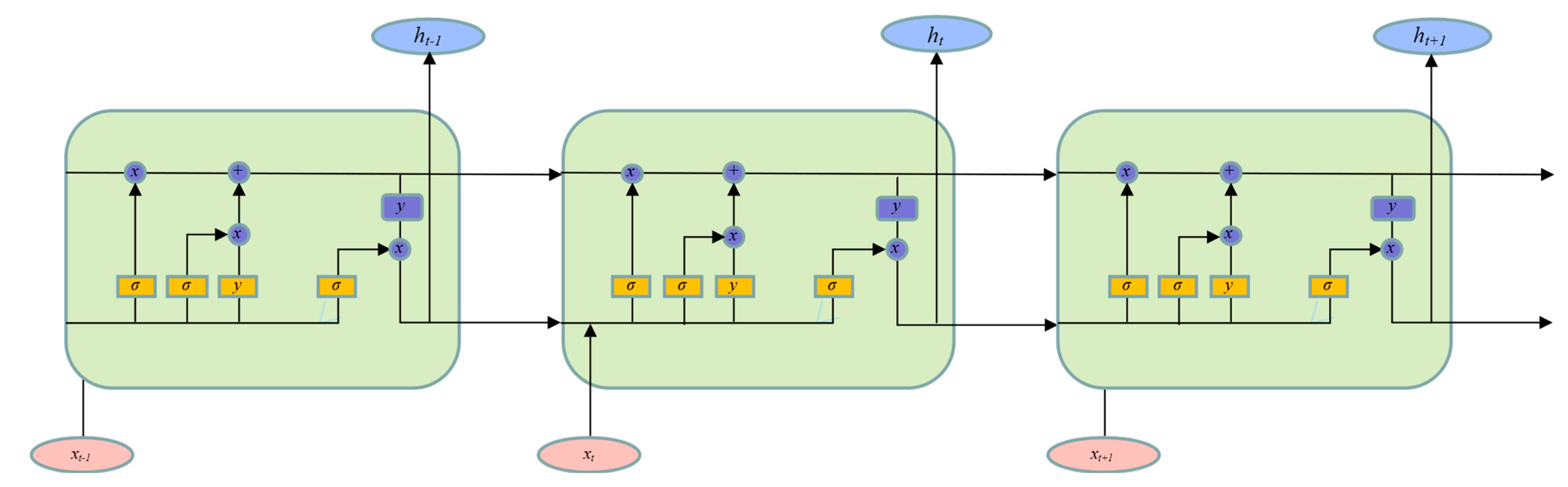
3.2. Long Short-Term Memory Neural Network
3.3. Attention Mechanism
4. SMR Fault Diagnosis
4.1. Data Preprocessing
4.2. Model Training and Prediction
5. Conclusions
Author Contributions
Funding
Data Availability Statement
Conflicts of Interest
References
- Hamilton, I.; Kennard, H.; McGushin, A.; Höglund-Isaksson, L.; Kiesewetter, G.; Lott, M.; Milner, J.; Purohit, P.; Rafaj, P.; Sharma, R.; et al. The public health implications of the Paris Agreement: A modelling study. Lancet Planet. Health 2021, 5, e74–e83. [Google Scholar]
- He, R.; Luo, L.; Shamsuddin, A.; Tang, Q. Corporate carbon accounting: A literature review of carbon accounting research from the Kyoto Protocol to the Paris Agreement. Account. Financ. 2022, 62, 261–298. [Google Scholar]
- Falkner, R. The Paris Agreement and the new logic of international climate politics. Int. Aff. 2016, 92, 1107–1125. [Google Scholar]
- Babak, V.; Babak, S.; Zaporozhets, A. Tasks and Main Methods of Statistical Diagnostics of Electric Power Equipment. In Statistical Diagnostics of Electric Power Equipment; Springer Nature: Cham, Switzerland, 2024; pp. 1–50. [Google Scholar]
- Lei, J.; Chen, Z.; Zhou, J.; Yang, C.; Ren, C.; Li, W.; Xie, C.; Ni, Z.; Huang, G.; Li, L.; et al. Research on the preliminary prediction of nuclear core design based on machine learning. Nucl. Technol. 2022, 208, 1223–1232. [Google Scholar]
- Babak, V.; Babak, S.; Zaporozhets, A. Tasks for Creating the Environmental Monitoring Systems for Energy Objects. In Statistical Diagnostics of Electric Power Equipment; Springer Nature: Cham, Switzerland, 2024; pp. 345–386. [Google Scholar]
- Babak, V.; Babak, S.; Zaporozhets, A. Linear Periodic Random Processes in Constructing Models Characterizing the Operation of Electrical Equipment. In Statistical Diagnostics of Electric Power Equipment; Springer Nature: Cham, Switzerland, 2024; pp. 123–144. [Google Scholar]
- Babak, V.; Zaporozhets, A.; Kovtun, S.; Kuts, Y.; Fryz, M.; Scherbak, L. The Concept of Research of the Electric Power Facilities Functioning. In Systems, Decision and Control in Energy VI: Volume I: Energy Informatics and Transport; Springer Nature: Cham, Switzerland, 2024; pp. 3–33. [Google Scholar]
- Höhne, N.; Gidden, M.J.; den Elzen, M.; Hans, F.; Fyson, C.; Geiges, A.; Jeffery, M.L.; Gonzales-Zuñiga, S.; Mooldijk, S.; Hare, W.; et al. Wave of net zero emission targets opens window to meeting the Paris Agreement. Nat. Clim. Change 2021, 11, 820–822. [Google Scholar]
- Babak, V.; Fialko, N.; Shchepetov, V.; Kharchenko, S. Physical Model of Structural Self-Organization of Tribosystems. In Systems, Decision and Control in Energy IV: Volume, I. Modern Power Systems and Clean Energy; Springer Nature: Cham, Switzerland, 2023; pp. 309–318. [Google Scholar]
- Ma, J.; Jiang, J. Applications of fault detection and diagnosis methods in nuclear power plants: A review. Prog. Nucl. Energy 2011, 53, 255–266. [Google Scholar]
- Zhan, L.; Bo, Y.; Lin, T.; Fan, Z. Development and outlook of advanced nuclear energy technology. Energy Strategy Rev. 2021, 34, 100630. [Google Scholar]
- Rehm, T.E. Advanced nuclear energy: The safest and most renewable clean energy. Curr. Opin. Chem. Eng. 2023, 39, 100878. [Google Scholar]
- Mathew, M.D. Nuclear energy: A pathway towards mitigation of global warming. Prog. Nucl. Energy 2022, 143, 104080. [Google Scholar]
- Muellner, N.; Arnold, N.; Gufler, K.; Kromp, W.; Renneberg, W.; Liebert, W. Nuclear energy-The solution to climate change? Energy Policy 2021, 155, 112363. [Google Scholar]
- Hassan, S.T.; Wang, P.; Khan, I.; Zhu, B. The impact of economic complexity, technology advancements, and nuclear energy consumption on the ecological footprint of the USA: Towards circular economy initiatives. Gondwana Res. 2023, 113, 237–246. [Google Scholar]
- Michaelson, D.; Jiang, J. Review of integration of small modular reactors in renewable energy microgrids. Renew. Sustain. Energy Rev. 2021, 152, 111638. [Google Scholar]
- Vinoya, C.L.; Ubando, A.T.; Culaba, A.B.; Chen, W.-H. State-of-the-art review of small modular reactors. Energies 2023, 16, 3224. [Google Scholar]
- Sam, R.; Sainati, T.; Hanson, B.; Kay, R. Licensing small modular reactors: A state-of-the-art review of the challenges and barriers. Prog. Nucl. Energy 2023, 164, 104859. [Google Scholar]
- Bhowmik, P.K.; Perez, C.E.E.; Fishler, J.D.; Prito, S.A.B.; Reichow, I.D.; Johnson, J.T.; Sabharwl, P.; O'BRien, J.E. Integral and separate effects test facilities to support water cooled small modular reactors: A review. Prog. Nucl. Energy 2023, 160, 104697. [Google Scholar]
- Poudel, B.; Gokaraju, R. Small modular reactor (SMR) based hybrid energy system for electricity & district heating. IEEE Trans. Energy Convers. 2021, 36, 2794–2802. [Google Scholar]
- Vanatta, M.; Stewart, W.R.; Craig, M.T. The role of policy and module manufacturing learning in industrial decarbonization by small modular reactors. Nat. Energy 2025, 10, 77–89. [Google Scholar]
- Ohba, T.; Tanigawa, K.; Liutsko, L. Evacuation after a nuclear accident: Critical reviews of past nuclear accidents and proposal for future planning. Environ. Int. 2021, 148, 106379. [Google Scholar]
- Chen, W.; Zou, S.; Qiu, C.; Dai, J.; Zhang, M. Invulnerability analysis of nuclear accidents emergency response organization network based on complex network. Nucl. Eng. Technol. 2024, 56, 2923–2936. [Google Scholar]
- Liu, Y.; Guo, X.Q.; Li, S.W.; Zhang, J.-M.; Hu, Z.-Z. Discharge of treated Fukushima nuclear accident contaminated water: Macroscopic and microscopic simulations. Natl. Sci. Rev. 2022, 9, nwab209. [Google Scholar]
- López-Estrada, F.R.; Theilliol, D.; Astorga-Zaragoza, C.M.; Ponsart, J.; Valencia-Palomo, G.; Camas-Anzueto, J. Fault diagnosis observer for descriptor Takagi-Sugeno systems. Neurocomputing 2019, 331, 10–17. [Google Scholar]
- López-Estrada, F.R.; Astorga-Zaragoza, C.M.; Theilliol, D.; Ponsart, J.C.; Valencia-Palomo, G.; Torres, L. Observer synthesis for a class of Takagi–Sugeno descriptor system with unmeasurable premise variable. Application to fault diagnosis. Int. J. Syst. Sci. 2017, 48, 3419–3430. [Google Scholar]
- Liu, B.; Lei, J.; Xie, J.; Zhou, J. Development and Validation of a Nuclear Power Plant Fault Diagnosis System Based on Deep Learning. Energies 2022, 15, 8629. [Google Scholar] [CrossRef]
- López, C.; Naranjo, Á.; Lu, S.; Moore, K.J. Hidden Markov model based stochastic resonance and its application to bearing fault diagnosis. J. Sound Vib. 2022, 528, 116890. [Google Scholar]
- Tuerxun, W.; Chang, X.; Hongyu, G.; Zhijie, J.; Huajian, Z. Fault diagnosis of wind turbines based on a support vector machine optimized by the sparrow search algorithm. IEEE Access 2021, 9, 69307–69315. [Google Scholar]
- Wang, B.; Qiu, W.; Hu, X.; Wang, W. A rolling bearing fault diagnosis technique based on recurrence quantification analysis and Bayesian optimization SVM. Appl. Soft Comput. 2024, 156, 111506. [Google Scholar]
- Lei, J.; Ren, C.; Li, W.; Fu, L.; Li, Z.; Ni, Z.; Li, Y.; Liu, C.; Zhang, H.; Chen, Z.; et al. Prediction of crucial nuclear power plant parameters using long short-term memory neural networks. Int. J. Energy Res. 2022, 46, 21467–21479. [Google Scholar]
- Ren, C.; Lei, J.; Liu, J.; Hong, J.; Hu, H.; Fang, X.; Yi, C.; Peng, Z.; Yang, X.; Yu, T. Research on an Intelligent Fault Diagnosis Method for Small Modular Reactors. Energies 2024, 17, 4049. [Google Scholar] [CrossRef]
- Lei, J.C.; Zhou, J.D.; Zhao, Y.N.; Chen, Z.; Zhao, P.; Xie, C.; Ni, Z.; Yu, T.; Xie, J. Prediction of burn-up nucleus density based on machine learning. Int. J. Energy Res. 2021, 45, 14052–14061. [Google Scholar]
- Qi, B.; Liang, J.; Tong, J. Fault diagnosis techniques for nuclear power plants: A review from the artificial intelligence perspective. Energies 2023, 16, 1850. [Google Scholar] [CrossRef]
- Pérez-Pérez, E.J.; Puig, V.; López-Estrada, F.R.; Valencia-Palomo, G.; Santos-Ruiz, I. Neuro-fuzzy Takagi Sugeno observer for fault diagnosis in wind turbines. IFAC-Pap. 2023, 56, 3522–3527. [Google Scholar]
- Pérez-Pérez, E.J.; López-Estrada, F.R.; Puig, V.; Valencia-Palomo, G.; Santos-Ruiz, I. Fault diagnosis in wind turbines based on ANFIS and Takagi—Sugeno interval observers. Expert Syst. Appl. 2022, 206, 117698. [Google Scholar]
- Khan, S.U.D.; Almutairi, Z.; Alanazi, M. Techno-economic assessment of fuel cycle facility of system integrated modular advanced reactor (SMART). Sustainability 2021, 13, 11815. [Google Scholar] [CrossRef]
- Yao, Y.; Han, T.; Yu, J.; Xiet, M. Uncertainty-aware deep learning for reliable health monitoring in safety-critical energy systems. Energy 2024, 291, 130419. [Google Scholar]
- Purwono, P.; Ma’arif, A.; Rahmaniar, W.; Fathurrahman, H.I.K.; Frisky, A.Z.K.; Haq, Q.M.U. Understanding of convolutional neural network (cnn): A review. Int. J. Robot. Control. Syst. 2022, 2, 739–748. [Google Scholar]
- Gupta, J.; Pathak, S.; Kumar, G. Deep learning (CNN) and transfer learning: A review. J. Phys. Conf. Series. 2022, 2273, 012029. [Google Scholar]
- Gülmez, B. Stock price prediction with optimized deep LSTM network with artificial rabbits optimization algorithm. Expert Syst. Appl. 2023, 227, 120346. [Google Scholar]
- Lindemann, B.; Maschler, B.; Sahlab, N.; Weyrich, M. A survey on anomaly detection for technical systems using LSTM networks. Comput. Ind. 2021, 131, 103498. [Google Scholar]
- Niu, Z.; Zhong, G.; Yu, H. A review on the attention mechanism of deep learning. Neurocomputing 2021, 452, 48–62. [Google Scholar]
- Pérez-Pérez, E.J.; Puig, V.; López-Estrada, F.R.; Valencia-Palomo, G.; Santos-Ruiz, I.; Osorio-Gordillo, G. Robust fault diagnosis of wind turbines based on MANFIS and zonotopic observers. Expert Syst. Appl. 2024, 235, 121095. [Google Scholar]
- Lei, J.; Yang, C.; Ren, C.; Li, W.; Liu, C.; Sun, A.; Li, Y.; Chen, Z.; Yu, T. Development and validation of a deep learning-based model for predicting burnup nuclide density. Int. J. Energy Res. 2022, 46, 21257–21265. [Google Scholar]
- Lei, J.; Ni, Z.; Peng, Z.; Hu, H.; Hong, J.; Fang, X.; Yi, C.; Ren, C.; Wasaye, M.A. An intelligent network framework for driver distraction monitoring based on RES-SE-CNN. Sci. Rep. 2025, 15, 6916. [Google Scholar]
- Pérez-Pérez, E.J.; López-Estrada, F.R.; Valencia-Palomo, G.; Torres, L.; Puig, V.; Mina-Antonio, J. Leak diagnosis in pipelines using a combined artificial neural network approach. Control. Eng. Pract. 2021, 107, 104677. [Google Scholar]
- Naidu, G.; Zuva, T.; Sibanda, E.M. A review of evaluation metrics in machine learning algorithms. In Computer Science On-Line Conference; Springer Nature: Cham, Switzerland, 2023; pp. 15–25. [Google Scholar]
- Yacouby, R.; Axman, D. Probabilistic extension of precision, recall, and f1 score for more thorough evaluation of classification models. In Proceedings of the First Workshop on Evaluation and Comparison of NLP Systems, Punta Cana, Dominican Republic, 16 March–15 July 2020; pp. 79–91. [Google Scholar]
- Chicco, D.; Jurman, G. The advantages of the Matthews correlation coefficient (MCC) over F1 score and accuracy in binary classification evaluation. BMC Genom. 2020, 21, 1–13. [Google Scholar]
- Chen, H.; Wang, N.; Du, X.; Mei, K.; Zhou, Y.; Cai, G.; Ağbulut, Ü. Classification prediction of breast cancer based on machine learning. Comput. Intell. Neurosci. 2023, 2023, 6530719. [Google Scholar]















| Classification | Category A | Category B |
|---|---|---|
| Predicted as Category A | TN | FN |
| Predicted as Category B | FP | TP |
| Model Type | CNN | LSTM | CNN–LSTM | CNN–LSTM–Attention |
|---|---|---|---|---|
| Input Dimension | (None, 7, 6) (7 time steps, 6 features) | (None, 7, 6) (7 time steps, 6 features) | (None, 7, 6) (7 time steps, 6 features) | (None, 7, 6) (7 time steps, 6 features) |
| Convolutional Layer Configuration | 2 Conv1D layers Layer 1: 64 filters Layer 2: 32 filters | No convolutional layers | 1 Conv1D layers Layer 1: 64 filters | 1 Conv1D layers Layer 1: 64 filters |
| Pooling Layer Configuration | 2 MaxPooling1D layers | No pooling layers | 1 MaxPooling1D layer | 1 MaxPooling1D layer |
| LSTM Layer Configuration | No LSTM layers | 3 LSTM layers Layer 1: 64 hidden units Layer 2: 32 hidden units Layer 3: 16 hidden units | 1 LSTM layer 32 hidden units | 1 LSTM layer 32 hidden units |
| Attention Layer Configuration | No attention layers | No attention layers | No attention layers | 1 attention mechanism Weight calculation: cosine similarity Output dimension = 32 |
| Fully Connected Layer Configuration | 1 dense layer 6 neurons | 1 dense layer 6 neurons | 1 dense layer 6 neurons | 1 dense layer 6 neurons |
| Activation Functions | ReLU after convolutional layers Softmax in output layer | Tanh in hidden layers Softmax in output layer | ReLU after convolutional layers Softmax in output layer | ReLU after convolutional layers Softmax in output layer |
| Regularization | No explicit regularization | 1 Dropout layer Dropout rate = 0.3 | No explicit regularization | 2 Dropout layer Dropout rate = 0.3 |
| Batch Normalization | 2 BatchNormalization layers | No batch normalization | 1 BatchNormalization layer | 1 BatchNormalization layer |
| Training Parameters | Optimizer: Adam Loss function: Categorical cross-entropy Evaluation metric: Accuracy | Optimizer: Adam Loss function: Categorical cross-entropy Evaluation metric: Accuracy | Optimizer: Adam Loss function: Categorical cross-entropy Evaluation metric: Accuracy | Optimizer: Adam Loss function: Categorical cross-entropy Evaluation metric: Accuracy |
| Constructed Model | Prediction Accuracy | Constructed Model | Prediction Accuracy |
|---|---|---|---|
| CNN | 88.83% | LSTM | 90.83% |
| CNN–LSTM | 93.67% | CNN–LSTM–Attention | 95.67% |
| Model | TP RATE | FP RATE | Precision | Recall |
|---|---|---|---|---|
| CNN | 0.888 | 0.112 | 0.902 | 0.888 |
| LSTM | 0.908 | 0.092 | 0.911 | 0.908 |
| CNN–LSTM | 0.937 | 0.064 | 0.942 | 0.937 |
| CNN–LSTM–Attention | 0.957 | 0.043 | 0.960 | 0.957 |
Disclaimer/Publisher’s Note: The statements, opinions and data contained in all publications are solely those of the individual author(s) and contributor(s) and not of MDPI and/or the editor(s). MDPI and/or the editor(s) disclaim responsibility for any injury to people or property resulting from any ideas, methods, instructions or products referred to in the content. |
© 2025 by the authors. Licensee MDPI, Basel, Switzerland. This article is an open access article distributed under the terms and conditions of the Creative Commons Attribution (CC BY) license (https://creativecommons.org/licenses/by/4.0/).
Share and Cite
Wan, S.; Lei, J. Research on a Small Modular Reactor Fault Diagnosis System Based on the Attention Mechanism. Energies 2025, 18, 3621. https://doi.org/10.3390/en18143621
Wan S, Lei J. Research on a Small Modular Reactor Fault Diagnosis System Based on the Attention Mechanism. Energies. 2025; 18(14):3621. https://doi.org/10.3390/en18143621
Chicago/Turabian StyleWan, Sicong, and Jichong Lei. 2025. "Research on a Small Modular Reactor Fault Diagnosis System Based on the Attention Mechanism" Energies 18, no. 14: 3621. https://doi.org/10.3390/en18143621
APA StyleWan, S., & Lei, J. (2025). Research on a Small Modular Reactor Fault Diagnosis System Based on the Attention Mechanism. Energies, 18(14), 3621. https://doi.org/10.3390/en18143621

