Next Article in Journal
Advanced Rectifier Technologies for Electrolysis-Based Hydrogen Production: A Comparative Study and Real-World Applications
Previous Article in Journal
Multi-Objective Operation Optimization of Park Microgrid Based on Green Power Trading Price Prediction in China
 
 
Font Type:
Arial Georgia Verdana
Font Size:
Aa Aa Aa
Line Spacing:
Column Width:
Background:
Article

Timing Optimization Method for Pumped Storage Plant Construction Considering Capital Expenditure Capacity Feedback

1
State Grid Sichuan Economic Research Institute, Chengdu 610041, China
2
State Grid Power Company of Sichuan Province, Chengdu 610041, China
3
School of Economics and Management, North China Electric Power University, Beijing 102206, China
*
Author to whom correspondence should be addressed.
Energies 2025, 18(1), 47; https://doi.org/10.3390/en18010047
Submission received: 6 November 2024 / Revised: 10 December 2024 / Accepted: 13 December 2024 / Published: 27 December 2024

Abstract

With the extensive integration of renewable energy into the power grid, pumped storage power plants have become an essential component in the development of modern power systems due to their rapid response capabilities, advanced technology, and other beneficial features. However, high construction costs and irrational capital expenditure and construction schedules have constrained the robust and sustainable growth of pumped storage plants. Therefore, this paper proposes a pumped storage plant construction timing optimization method considering capital expenditure capacity feedback. Initially, an analysis is conducted on the factors that influence the capital expenditure costs of pumped storage power plants throughout their lifecycle. Next, the value of investing in pumped storage plants is assessed across three different aspects: economics, environment, and reliability. Finally, according to the principle of dynamic planning combined with the actual needs and capital expenditure potential of pumped storage plants, the sum of the capital expenditure effectiveness values in each stage is used as the indicator function of each stage to construct the pumped storage plants project capital expenditure timing optimization model, and a simulation analysis is carried out with Province Z as an example to verify the validity and applicability of the proposed model. The findings indicate that the suggested model is effective in balancing the implementation time of individual projects to achieve the maximum cumulative capital expenditure performance over the entire planning period.

1. Introduction

In light of the “dual-carbon” target and the development of a new power system [1], the extensive integration of renewable energy sources into the grid has led to a significant surge in the demand for grid flexibility [2,3], and pumped storage has become an essential component in the establishment of a modern power system, leveraging its rapid response capabilities and well-established technology [4].
The pumped storage plant construction cycle is long, involving capital, environment, labor, and other aspects of resource consumption. Capital expenditure costs are huge, and capital expenditure decision mistakes will bring immeasurable losses [5]. Simultaneously, capital expenditure decisions regarding pumped storage facilities are a multi-objective optimization problem, requiring the measurement of the overall advantages of capital expenditure actions across different dimensions [6]. In capital expenditure decision making, on the one hand, it is necessary to consider the counteracting effect of capital expenditure activities on the maximum capital expenditure capacity of the grid, and, on the other hand, it is imperative to focus on the impact of the construction sequence of capital expenditure projects on the overall efficiency. A reasonable capital expenditure and construction sequence is crucial to minimize the duplicity and blindness of power grid resources and improve the scope of sustainable development.
Currently, both domestic and international researchers have conducted several research studies on the construction of and solution to power grid project capital expenditure optimization models and the evaluation of capital expenditure benefits. In terms of grid project capital expenditure optimization model construction, Yang et al. [7] developed a multi-objective framework capital expenditure timing decision optimization model for grid infrastructure capital expenditure by considering the dual objectives of capital expenditure efficiency and risk equilibrium. Liu et al. [8] used the system dynamic method combined with the actual operation of a company to establish an optimization model for the capital expenditure scale of a distribution network under the transmission and distribution tariff reform, and they verified the efficacy of the suggested approach in solving the actual problem. On the basis of the literature [8], Zhang et al. [9] used system dynamics to analyze the impact of grid capital expenditure scale and capital expenditure timing on transmission and distribution tariffs. The methods often used for model solving mainly include classical mathematical optimization methods [10,11] and intelligent optimization algorithms [12]. Chang et al. [13] based their method on dynamic planning decision analysis techniques to obtain the optimal capital expenditure scale of power grid construction. When a project is more complex, the difficulty of traditional mathematical optimization methods to solve it increases; based on this, Ouyang et al. [14] proposed a non-dominated sorting method and genetic algorithm combination, effectively solving the multi-objective power grid planning problem. Zhang et al. [15] utilized relational graph convolutional neural networks to improve the dynamic adaptation and accuracy of project capital expenditure.
In the assessment of the benefits of capital expenditure in power grid projects, initially, research only focused on the economics and reliability of a project; there was a lack of consideration of the overall benefits [16]. In response to this, Zhang et al. [17,18], using a variety of perspectives aiming to establish an indicator system, sought to achieve a comprehensive benefit assessment of a capital expenditure project. While most of the indicators to determine the weights of a hierarchical analysis method follow the Delphi method [19], it is difficult to achieve a comprehensive benefit assessment of capital expenditures in a number of projects. Liu et al. [20] proposed a grid planning capital expenditure decision making method and combined a preference model with an evaluation method to rank capital expenditures after screening the optimal portfolio of a project pool based on the financial situation. Shen et al. [21] addressed the problem of project preference with less consideration of the impact of inter-project relationships on performance by establishing the interdependencies and timing correlations of distribution network planning project benefits and measuring the benefits in terms of the amount of outage losses. He et al. [22] proposed a capital expenditure evaluation process for power grid projects that balances security and economy, using the current-tracking method and the postage stamp method. In order to verify the validity of the model, Liu [23] compared the proposed method with a traditional method and concluded that the proposed method could bring greater investment capacity improvement and investment effectiveness output to the grid enterprise during the planning period.
In the above literature, there are both single-objective optimization methods that consider only economic benefits and multi-objective optimization methods that consider social and environmental benefits, but most of the studies do not consider the construction sequential timing problem on the time scale, and there is a lack of research results directly targeting pumped storage facilities. In light of this, this paper firstly analyzes the influencing elements of the capital expenditure cost of a pumped storage energy station plant and measures the capital effectiveness from the three dimensions of economic effectiveness, environmental effectiveness, and reliability effectiveness; then, according to the principle of dynamic planning, this paper combines the actual demand of the power system for a pumped storage energy station plant and the capital expenditure capacity to construct the optimization model of the capital expenditure sequence of the pumped storage facility project; finally, it carries out a case study on a pumped storage planning scheme for a certain provincial power grid to validate the effectiveness and advancement of the proposed model. Finally, an example analysis of a provincial power grid pumped storage planning scheme is carried out, verifying the validity and advancement of the suggested framework.

2. Analysis of the Elements Affecting the Capital Expenditure Cost of a Pumped Storage Energy Facility

In this section, when considering the capital expenditure of pumped storage facilities, the comprehensive construction lifecycle cost and operation of the pumped storage facility are taken into account, and according to the interim measures for the economical evaluation of pumped storage facilities, the total expenditure of the pumped storage facility includes the total capital expenditure and the cost of generating electricity.
  • Total Capital Expenditure
The total capital expenditure in economic costs encompasses the capital expenditure on infrastructure and the working capital. The capital expenditure on infrastructure is the cost incurred in the construction and acquisition of fixed assets, generally using the results of the project estimate; the working capital indicates the funds that exist in the form of current assets during the life of the project, flow from week to week, and, at the end of the liquidity lifecycle, exit the production and circulation of money in the form of money funds to recover.
2.
Power Generation Costs
According to the executable methods and argument list for the evaluation of the economics of construction projects (third edition) and the economic evaluation methods for pumped storage facilities that are currently commonly used, it is more conducive to economic evaluation to adopt a classification based on economic content, according to which the cost of generating electricity from a pumped storage facility includes the items below.
The depreciation of fixed assets refers to the period-by-period amortization of the value of fixed assets formed by capital expenditure in a pumped storage facility project, regularly measured according to the original value of the fixed assets, expected residual value, depreciation method, etc. The pumping tariffs are calculated on the basis of the amount of electricity pumped by the power station and the price of pumping, and the insurance premiums generally refer to the insurance of fixed assets. The total capital expenditure, depreciation of fixed assets, pumping charges, and insurance premiums are ultimately determined during the operating period and do not change significantly.
The material cost refers to the consumable materials and accidental spare parts used by the pumped storage facility to provide services, including the material consumption which occurs due to the power station’s own organization of equipment overhaul, emergency repair, and daily maintenance and the cost of the material that needs to be purchased by the enterprise by entrusting external social units to overhaul the power station, while the maintenance costs consist of the predetermined repair fee and the scalable repair charge, the fixed repair cost is the repair cost that must be paid for the power station’s operating time and operating conditions, mainly the major repair cost, and the variable repair cost is the minor repair cost related to the power station’s operating time and operating conditions. The fixed repair cost is the repair cost that is not closely related to the operating time and operating conditions of the power station but must be spent, mainly in relation to the major repair cost; the variable repair cost is the minor repair cost related to the operating time and operating conditions of the power station; the labor cost refers to the salary expenditure incurred by the employees engaged in the operation and maintenance of the pumped storage facility, including the total salary (including allowances and subsidies), employee benefits, employee education expenses, labor union funds, social insurance costs, housing fund, etc. Other costs refer to the normal operation of the pumped storage facility, except for the material cost, repair cost, and other expenses incurred. Other expenses refer to expenses other than the material, repair, and labor costs incurred in the normal operation of the pumped storage power plant.
The annual costs of materials, repairs, labor, and other costs are greatly affected by uncertainties, and the analysis of the influencing factors focuses on these four costs. Considering the quantifiability and ease of quantification of the factors, and based on the connotations and characteristics of the various costs, the influencing factors of the various costs are initially determined as shown in Figure 1.

3. Measuring the Effectiveness of Capital Expenditure in Pumped Storage Facilities

The effectiveness of the capital expenditure value of pumped storage facility projects is a comprehensive evaluation of the effects and benefits achieved by a grid company’s capital expenditure behavior in a specific operating cycle. This evaluation is not only an important basis for the capital expenditure decisions of the grid company but also an important reference index for measuring whether the capital expenditure behavior is reasonable and efficient. In terms of the purpose of the capital expenditure and the social responsibility undertaken, the interests created by the capital expenditure action can be classified into the financial benefits associated with expansion, the revenue of transmission and allocation business, advantages in terms of the enhanced grid stability and security provided by a robust grid framework, and the environmental benefits represented by reducing the carbon footprint of heat power generators. Therefore, this portion constructs the capital expenditure effectiveness index system from the three-dimensionality of economic effectiveness, environmental effectiveness, and dependability effectiveness to ensure the scientificity, rationality, and effectiveness of capital expenditure decisions.

3.1. Economic Effectiveness Indicators

The economic effectiveness of a pumped storage project can be demonstrated by the economic net present value of the project. The economic net present value, ENPV, refers to the sum of the present value of the net benefits of a project for each year of the calculation period, discounted from the beginning of the construction period according to the social discount rate. The ENPV can reflect the net contribution of a construction project to the national economy, according to the net present value being positive or negative, the size of the decision of the project, and program trade-offs. Its expression is as follows:
E N P V = t = 1 n C I C O t 1 + i t
In this paper, we select the weighted average cost of capital (WACC) of an enterprise as the discount rate because it accurately reflects the average cost paid by an enterprise for all sources of capital, including debt and equity, and thus provides an appropriate benchmark for assessing the true economic value of an investment project. In addition, the WACC helps to ensure that the assessment results are consistent with market conditions and investors’ expected returns, which enhances the rationality and comparability of the analysis. In this paper, 8% is selected based on existing research results [6]. The larger the discount rate, the lower the present value of cash inflow will be, which may lead to the ENPV of some projects being changed from positive to negative, affecting the feasibility of the project. C I is the economic benefit flow of a pumped storage facility; C O is the economic cost flow of a pumped storage facility. These can be expressed as follows:
C I t = R C A P , t + R E L E , t
C O t = C I , t + C O , t
where R C A P , t and R E L E , t are the volume gain and electricity revenue of the pumped storage facility in the first year, respectively.  C I , t and C O , t represent the total capital expenditure and generation expenditure of the pumped storage facility in the first year, respectively.
In accordance with the operating period pricing strategy in the Approved Approach for Pumped Storage Capacity Tariff, the model for calculating the capacity gains of a pumped storage facility is represented by
t = 1 n R C A P , t C O t 1 + 6.5 % t + R V 1 + 6.5 % n = 0
where R C A P , t is the capacity gain of the pumped storage facility in the first year; R V is the earnings from the recovery value of capitalized assets; and C O t is the economic costs in the first year.
In addition, since 20% of the revenue derived in such a manner during the preceding regulatory phase (including the revenue produced from the application of pumping tariffs and the price of electricity) will be jointly enjoyed by the pumped storage facility and the remaining 80% will need to be reduced in line with the capacity tariffs of the stations approved for the next regulatory cycle, the capacity benefit will also need to be reduced by 80% of the revenue produced by the pumped storage facility in the previous regulatory period.
The pumped storage facility benefits refer to the benefits of pumped power generation. At present, pumped storage facilities are mainly operated under the fixed benchmark price model, whereby the pumping tariff can be activated at 75% of the reference price for coal-fired electricity, the feed-in tariff is implemented at the standard price for coal-generated electricity, and the formula for calculating the benefit of the power benefit is as follows:
R E L E , t b e n c h m a r k   = P b a s e Q t g e n e 75 % P b a s e Q t p u m p = η P b a s e Q t p u m p 75 % P b a s e Q t p u m p = η 75 % P b a s e Q t p u m p
where R E L E , t b e n c h m a r k   is the yearly power efficiency of a pumped storage facility following the set benchmark price model; P b a s e is the reference price for coal electricity generation; Q t g e n e and Q t p u m p are the average annual generation of electricity and pumping power of the powerhouse, respectively; and η is the operational productivity of the powerhouse. The data regarding pumped storage efficiency used in the formula were derived from Chinese national policies and economic evaluation documents of pumped storage projects, and the sensitivity analysis of these factors will improve the robustness of the model to a certain extent.
Then, one should calculate the economic net present value of a pumped storage facility construction project. When the E N P V is greater than zero, it means that project implementation requires the national economy to pay the price, which can be obtained in line with the requirements of the social discount rate of social surplus; the greater the ENPV, the greater the economic benefits of the project.

3.2. Environmental Effectiveness Indicators

The environmental effectiveness is mainly reflected in the fact that a system’s coal consumption is reduced by increasing the load factor of the thermal power units in the system, thus reducing the emission of pollutants such as carbon dioxide, sulfide, and nitrogen oxides. Pumped storage facilities utilize hydroelectric power to generate electricity instead of coals. Although there is an increase in the number of pumped storage facilities in this system, the total coal consumption is reduced due to the improved operating conditions of thermal power units, resulting in a reduction in the pollutants emitted from the power system into the atmosphere. This part of the benefits can be calculated by quantitative methods. Simultaneously, over time, the construction of pumped storage power plants in different periods will produce different environmental effects; the power structure of each region will change with time, and the local introduction of energy storage to regulate the output of thermal power units and consume renewable energy sources will reduce the environmental effects of the newly constructed pumped storage power plant. If the local power structure does not change, the longer a pumped storage power plant has been built for, the lower the environmental effects of the overall operating period of said pumped storage plant.
Summarizing the above analysis, pumped storage facilities can reduce pollutant emissions by reducing system coal consumption and promoting new energy consumption to replace fuel combustion in thermal power units. Based on the saved and substituted coal consumption and air pollutant emission factors, the reduction in pollutant emissions due to power generation in a pumped storage facility can be calculated as follows:
G t φ = B T + Q t C E × δ t ¯ × η t φ
B T = 365 × ( B f + B g B p )
where φ indicates SO2, Nox, or CO2; G t φ indicates the pollutant emissions reduced by the pumped storage facility in the first year; B T is the amount of coal saved by reducing the coal consumption of the system; Q t C E is the amount of new energy power consumed; δ t ¯ is the average rate of coal consumption; and η t φ is the emission factor of air pollutants, that is, the pollutant emissions generated by the combustion of a unit of coal.
The environmental cost of an air pollutant can be calculated by combining pollutant emissions and environmental values. The sum of the environmental costs of each air pollutant and CO2 corresponds to the environmental benefits of a pumped storage facility, which can be expressed as follows:
R E , t = ( G t φ × v t φ )
where R E , t indicates the environmental benefits of the pumped storage facility; and v t φ corresponds to the environmental values of pollutant φ .

3.3. Reliability Performance Indicators

As a flexible regulating power source, pumped storage facilities can improve the security and stability of the power grid by participating in auxiliary services in the power system, bringing reliability benefits. The types of auxiliary services provided by pumped storage generally include the FM auxiliary services, reactive auxiliary services, standby auxiliary services, black start auxiliary services, etc. The reliability of a pumped storage project can be obtained from the benefits of the auxiliary services, as shown below:
R D , t = R F R , t + R R E , t + R E R , t + R B S , t
where R D , t is the reliability of the pumped storage facility in the first year; and R F R , t , R P M , t , R E R , t , and R B S , t represent the FM benefit, reactive power benefit, accidental standby benefit, and black start benefit of the pumped storage facility in the first year, respectively.

4. Pumped Storage Facility Investment Timing Optimization Model

In the process of designing our pumped storage facility investment timing optimization model according to the principles and ideas of dynamic planning, combined with the actual needs and investment capacity of a provincial power system for pumped storage facility, fully considering the effectiveness of project investment and the problems encountered in the investment process, the investment timing problem is transformed into a mathematical expression, and a dynamic planning model combining realism, usability, and theory is established to guide the planning of the province’s pumped storage facility.

4.1. Status and Decision Variables

Using each year of the planning period as a phase, the entire planning horizon is divided in m phases. Each phase has corresponding state variables and decision variables.
3.
State Variables
The commissioning of a pumped-storage facility project at the start of phase K is used as the status variable, denoted as X k .
X k = x k 1 x k 2 x k n
where X k is the building of the n pumped storage facility projects in stage k , which contains the invested pumped storage project cluster D and the uninvested pumped storage project cluster G, respectively. The value of x k i is between 0 and 1. When x k i = 1 , it means that, at stage k , pumped storage project i exists, i D , and the investment has been completed. Meanwhile, x k i = 0  means that, at stage k , pumped storage project i does not exist, i G , and the investment in construction has not yet begun. When 0 < x k i < 1 , it means that, at stage k , pumped storage project i is being constructed, and the overall investment in x k i has been completed.
4.
Decision Variables
The decision variable represents the investment in a pumped storage facility project in stage k , denoted as U k . For pumped storage projects with multi-year investment periods, it is assumed that they are built at the same rate each year and that investment starts at the beginning of each year.
U k = u k 1 u k 2 u k n
where U k is also an n -dimensional vector with the same number of dimensions as the state vector X k . When u k i = 1, it means that the investment in pumped storage project i  started in phase k , and all construction was completed in the same year; when u k i = 0, it means that no investment was made in the pumped storage project i during phase  k .
5.
State Transfer Equation
The state transfer equation is used to determine the evolution of a process from one state to another. From the expression of state variables and decision variables, the state transfer equation is given by the following:
X k + 1 = X k + U k

4.2. Objective Function

The indicator function guides decision making at all stages of the process and later sub-processes. In this paper, the sum of the value of the effectiveness of each investment in each stage is chosen as the indicator function; the specific form is shown below:
V k X k , U k = v k x k , u k + V k + 1 X k + 1 , U k + 1 v k x k , u k = α × E N P V k + β × R E , k + δ × R D , k / ( 1 + ρ ) k
where V k X k , U k is the indicator function that signals the completion of stage k to stage m ; v k x k , u k is the indicator feature for stage k , which represents the status of the investment and the benefits of the investment under the decision at that stage;  E N P V k ,   R E , k and R D , k  represent the economic effectiveness, environmental effectiveness, and reliability effectiveness of the investment under the investment status and decision in phase k , respectively; α , β , and δ are weighting factors for economic, environmental, and reliability effectiveness, respectively.
When x k , i = 1 , after the pumped storage facility i is completed and operational, its operating income, environmental benefits, increased grid reliability, and other indicators can be aggregated due to the fact that the raw values of the indicators have clear time properties. In order to maintain this characteristic and make the calculation results more accurate, we add the calculation of the discount rate ρ to the formula, corresponding to 6.5 %.
The weighting factors for economic, environmental, and reliability effectiveness can be obtained using expert scoring method. In this study, the expert scoring method is used to assign weights to the above three effectiveness indicators according to the actual situation of the project, with the aim of reflecting the preferences of the experts for the key effectiveness of the project on the basis of their subjective evaluation of the different indicators. The steps are as follows:
Step 1: Determine the level of importance of the effectiveness indicators, which is usually categorized into five levels, from lowest to highest: not at all important, not important, average, important, and very important.
Step 2: Invite a number of experts in the field to evaluate the importance of the three effectiveness indicators.
Step 3: Summarize and analyze the results of the expert evaluations to calculate the weights of the subjective factors for each effectiveness indicator u j .
S j = i S i j n
u j = S j j = 1 m S j
where S i j is the rating of the jth effectiveness indicator by the ith expert, and the above five evaluation levels can be scored 1, 2, 3, 4, and 5, respectively; S j is the final evaluation result for the jth effectiveness indicator; and n is the number of experts.
One should also define the optimal value of the indicator function V k X k , U k as the optimal value function, denoting the value of the indicator function obtained using the optimal strategy from the start state of phase k to the termination state of phase m , denoted as F k X k , then
F k X k = max V k X k , U k

4.3. Restrictive Condition

6.
Investment Constraints
During the investment process, the final construction cost, taking into account depreciation, should be kept within the maximum investment limit:
i L t T C i × X i , t X i , t 1 1 + r d i s c t 1 × 1 r d e p r e n d e p r e × ( T t ) C t o t a l
where T is the sum number of investment stages; t is the current investment stage; r d i s c is the discount rate; r d e p r e is the depreciation rate for investment equipment; n d e p r e is the total useful life; and C t o t a l is the total investment over the life of the investment, including depreciation.
7.
Commissioning Time Constraints
Project i must be commissioned before investment stage k due to, for example, the urgent power needs of customers:
d = 1 k u d i = 1 d = k + 1 m u d i = 0
where u d i is the decision variable for project i at investment stage d .
8.
Number of Investment Project Constraints
Subject to human resources, capital investment, and other factors, a region cannot invest in more than a certain number of projects at the same time during a certain investment phase k . The constraints on the number of investment projects are shown below.
i Ω u k i H
where Ω is the pool of projects for investment in the region; and  H is the constant indicating the maximum number of projects available for investment in the region during phase  k .
9.
Immediately Following Relationship Constraints
These constraints are found in an investment process in which two investment projects may be immediately preceding or following one another and in which investment in project j can only be scheduled after project i . This is calculated as shown in Equation (20):
u k j = x k i
where u k j denotes the decision variable of project j in phase k ; x k i denotes the state value of project i in phase k ; and u k j = x k i denotes that u k j is the largest integer that is less than or equal to x k j .

4.4. Dynamic Programming Algorithms for Solving

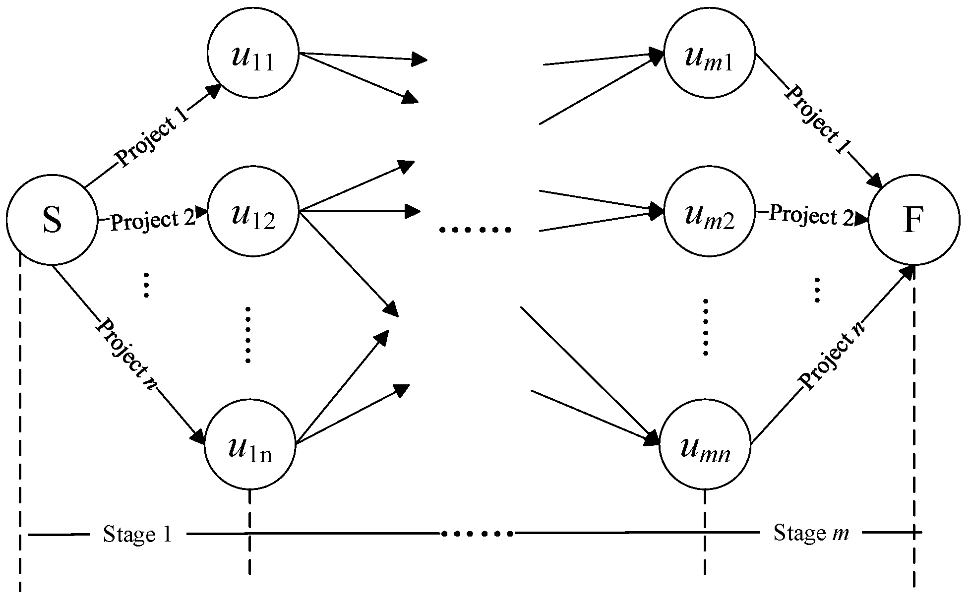
According to the principle of dynamic planning, the multi-stage investment time sequence optimization process of pumped storage facilities is described as a dynamic planning problem in Figure 2, where a sequence of decisions is made at each single stage, from the initial state to the final state, forming a strategy for the whole process, thus obtaining the optimal solution to the multi-stage problem.
The solution process of the dynamic programming algorithm is divided into two phases: the inverse solution process, starting from the final phase of the inverse operation to the initial phase, during which each discrete point of the state variables in the operation process corresponds to the decision variables (investment decision strategy) and the investment effectiveness in the matrix; and the forward optimization phase, during which, given the initial state, one can search for the optimal solution in the matrix and the corresponding control variables to determine the optimal investment path.
The inverse process of dynamic programming is solved segment by segment according to the recursive relationship provided by the basic equations of the optimization object, as follows and as shown in Figure 3:
10.
When k = m , obtain V m X m , U m from state X k in phase m and then obtain U m from it;
11.
According to Equation (13) and V k X k , U k , obtain the state variable X k 1 in stage k 1 , search for different pumping station portfolios to obtain the optimal decision variable U k 1 , and obtain V k 1 X k 1 , U k 1 .
12.
Iterate these steps backwards to obtain k = k 1 . If 0 < k m 1 , return to step 2; otherwise, the backward solving process ends, and the optimal effectiveness values and corresponding investment decisions for all stages are stored in the matrix.
The forward optimization process of dynamic programming is as follows: starting from the initial state, find the optimal investment performance in the matrix to determine the optimal investment decision in the first stage; through state transfer, find the optimal investment performance in each stage in succession to determine the optimal investment decision at each stage; repeat this process until the last stage; and, finally, obtain the optimal investment path and the maximum investment performance.

5. Example Analyses

Province Z, as one of the provinces preparing to develop pumped storage plants, has a large number of building plans for pumped storage plants whose construction has not yet started and has a greater need to optimize the construction sequence, which is the ideal scenario for the proposed method. Therefore, Province Z has been selected as an example to verify the validity of the proposed model in this paper. Out of the ten projects in the approved plan for the Fourteenth Five-Year Plan of Province Z, three have already received approval, so the investment time sequence study of seven pumped-storage facility will be carried out to provide Province Z with investment decision making suggestions for its pumped storage facilities. Table 1 presents the current status of the pumped storage facilities in Province Z not included in the Fourteenth Five-Year Plan.
Outcome 1: The constraints are that the total investment should not exceed CNY 80 billion and that no more than two projects in the same region should start construction at the same time, in the same year.
Outcome 2: The constraints are that no more than CNY 22 billion should be invested each year, and no more than two projects in the same region should start construction at the same time, in the same year.
13.
Calculation of the Economic Effectiveness of the Project
Since the total investment in the project is estimated at the current planning stage and is often greater than what is actually required for construction, and since the impact of fluctuations in market prices for materials, labor, and so on is taken into account in the investment estimates, changes in the total investment over time are not taken into account in investment time sequence planning.
In measuring the ENPV of the project, the annual net cash outflow mainly considers the depreciation expense of the pumped storage facility project and the pumped storage operation and maintenance fee; the depreciation expense is calculated in accordance with the straight-line depreciation method, with an operation period of 50 years and a depreciation of 2% per year; the insurance premium is taken to be 2.5 per thousand. Measuring the project revenue mainly refers to feasibility study reports of similar pumped storage power stations, as well as actual data of pumped storage power stations which had already been put into operation in previous years, and the project’s ENPV, alongside the results of the normalization process, which are shown in Figure 4 and Figure 5, respectively.
In order to visualize the sensitivity of the ENPV to key variables, a sensitivity analysis is carried out with the initial investment cost as the sensitivity factor, and the results of the ENPV sensitivity analysis, obtained with 5% and 10% changes in the investment cost, are shown in Figure 6.
14.
Calculation of the Environmental Effectiveness of the Project
The environmental effect corresponds to the emission reduction benefits brought about by a pumped storage project. The participation of a pumped storage facility in peak fill–valley modeling can reduce the coal consumption of thermal power units and, thus, the emission of harmful substances, generating emission reduction benefits. According to existing information, for a pumped storage power station with a 10,000 kw capacity per year, assuming peak filling, the amount of coal combustion would be reduced by 0.274 million tons, and, by substituting these values into the formula in order to calculate the environmental benefits, one obtains annual sulfur dioxide emission reduction benefits of CNY 295,920, annual nitrogen oxide emission reduction benefits of CNY 175,360, and annual carbon dioxide emission reduction benefits of CNY 94,860 for each 10,000 kw pumped storage power station installed.
Since this paper is a study on the construction time sequence of pumped storage plants in Province Z in China, the data related to the pollutant emission factors were derived from the industry standard “Technical Specification for Environmental Impact Assessment of Pumped Storage Power Plants”, issued by the National Energy Administration of China, which refers to internationally recognized figures and adjusts them according to China’s actual situation. Table 2 shows the pollutant emission factors and environmental value standards.
The operating lifespan of a pumped storage facility is estimated to be 50 years, and the overall environmental benefits of projects are derived from the initial value of the equivalent annuity. With the increase in the proportion of new energy systems installed, the emission reduction effect will continue to improve. The overall environmental effectiveness of the calculation results and the normalization results are shown in Figure 7 and Figure 8 below.
15.
Calculation of Project Reliability Effectiveness
Reliability effectiveness refers to the investment benefits of a pumped storage facility through the provision of ancillary services, enhancing the security and stability of the power system. Since there is no mature regulatory framework for pumped storage facilities to participate in the ancillary service market in China, it is estimated, by referring to existing studies, that the reliability effect of pumped storage facilities of the same capacity will be greater in areas with more new energy system installations and will increase over time. The results of reliability effectiveness calculations and normalization are shown in Figure 9 and Figure 10 below.
16.
Cumulative Investment Effectiveness Calculation
After evaluating the economic, environmental, and reliability benefits of the projects, the results of the decentralized effectiveness calculations can be summarized to quantify the overall value that can be achieved through the optimal investment timeline over the entire planning period. The calculation of the cumulative investment effectiveness of each project over the years is shown in Figure 11.
17.
Dynamic Planning Results
In this example, the economic, environmental, and reliability performance indicators are weighted equally. The dynamic planning solution process uses the sum of the economic, environmental, and reliability benefits of each phase as an indicator function, aiming to maximize the cumulative investment effectiveness over the entire planning period, which is directly related to the three benefits. The optimal investment time sequence of seven pumped storage facility projects in Province Z over the following five years is found, as shown in Figure 12 and Figure 13.
The findings show that, when the total investment is CNY 80 billion, the maximum cumulative investment effectiveness value of each stage can be achieved when investing in pumped storage facility Project 6 in 2025, Project 2 in 2026, Project 3 in 2027, Project 4 in 2028, and both Project 1 and Project 5 in 2029, with a cumulative investment effectiveness value of CNY 10.9517 billion.
The findings show that, when investing in pumped storage facility Project 7 in 2025, Project 3 in 2026, Project 4 and Project 6 in 2027, Project 2 and Project 5 in 2028, and Project 1 in 2029, the maximum cumulative value of the effectiveness of the investment in each phase of these seven projects can be achieved, and the cumulative value of the effectiveness of the investment is CNY 11.3433 billion.
18.
Sensitivity Analysis
A further sensitivity analysis of the investment constraint amount for the two scenarios has been conducted to derive the change in the cumulative investment effectiveness value with the investment constraint amount, as shown in Figure 14 below.
As can be seen from Figure 14, for Outcome 1, when the total investment constraint grows in steps of CNY 100,000, the cumulative investment effectiveness shows a trend of first remaining unchanged, growing, and then remaining unchanged. The reason for this is that, when the total investment reaches CNY 84 billion, Project 7 can be included in the construction, resulting in an increase in the value of the benefits. For Outcome 2, when the annual investment is forced to grow in steps of CNY 100,000, the cumulative investment effectiveness value shows a trend of gently increasing, and the construction schedule also changes accordingly.
The fluctuation in coal price also has a certain impact on investment and construction, with steps of 5% fluctuation in the sensitivity analysis of the investment constraint amount.
As can be seen from Figure 15, when the coal price fluctuates by 5%, the cumulative investment effectiveness of Outcome 1 and Outcome 2 shows a small increase. In addition, for the two outcomes, the investment and construction timeline do not change with the fluctuation in coal prices. The reason for this is that the fluctuation in coal and electricity prices leads to the economic effectiveness of the projects growing along the same direction as the fluctuations, without exceeding the constraints of the construction cost. As such, the model has good stability.
19.
Comparative Analysis
In order to verify the effectiveness of the investment timing optimization model constructed in this paper considering a return on investment, we propose to set up two different investment scenarios for simulation and analysis: Scenario 1 is the investment timing optimization strategy proposed in this paper, and Scenario 2 is the timing strategy under the traditional grid investment decision making method [23], arranging the timing of the investment in accordance with the comprehensive effectiveness of each project and conducting a comparative analysis in terms of the calculation rate of the model as well as the comprehensive efficiency of the investment. The comparative analysis of the model calculation rate and the comprehensive efficiency of investment show the investment comprehensive efficiency calculation index in Equation (21).
min d 1 I I i = 1 S i X i o s . t . 1 = d + 1 J J j = 1 S j + Y j o M m = 1 , m o X i l Λ l S i X i o d i = 1 , 2 , , I M m = 1 , m o Y j l Λ l S j + Y j o d j = 1 , 2 , , J
where I denotes the total number of infrastructure portfolio categories in the individual; Xil denotes the investment size of the ith infrastructure portfolio category of the lth individual; Yjl denotes the value of the jth construction effectiveness of the lth individual; and λl denotes the impact factor of the lth individual. S i denotes the relaxation of the ith type of infrastructure portfolio category investment scale, and S j + denotes the jth type of construction effectiveness value of the relaxation. When S i is 0, it means that reducing the ith type of infrastructure portfolio category to reduce the investment scale of S i can achieve the same output. When S j + is not 0, it means that, under the same scale of investment in grid infrastructure, the jth type of construction effectiveness index value can also be increased by S j + . Therefore, this paper adopts S i + S j + to measure the efficiency of performance: the smaller the value of the solution, the better the comprehensive efficiency of grid investment.
According to the data in Table 3, relative to the traditional investment timing method, the pumped storage investment and construction timing optimization method proposed in this paper, which considers the feedback of the investment capacity, can have an advantage in both the model computation rate and the comprehensive efficiency, proving the validity of the proposed model in pumped storage investment and construction timing.

6. Conclusions

This paper analyzes the investment costs and benefits of pumped storage facilities based on guaranteeing the sustainable development of electrical network investments. It also proposes a method for optimizing the sequence of the construction process of a pumped storage facility, taking into account the feedback of the investment capacity, and analyzes it with Province Z as an example, verifying the validity and benefits of the proposed model. The primary conclusions are the following:
20.
Under the constraint that the total investment must not exceed CNY 80 billion, the optimal investment time sequence from 2025 to 2029 can achieve a cumulative investment effectiveness value of CNY 10.9517 billion, as calculated by the dynamic planning model. The proposed model is shown to be effective in balancing the implementation time of individual projects to achieve the maximum cumulative return on investment over the entire planning period.
21.
The construction and operation of a pumped storage facility can bring economic benefits as well as significant environmental benefits. For example, the environmental benefits of Project 1 in 2029 have been estimated to be CNY 2.2047 billion, while the environmental benefits of Project 7 in 2025 have been estimated at CNY 0.2915 billion. This shows that effective environmental protection and development can be achieved without sacrificing economic efficiency through a reasonable timing of investments.
22.
For a number of planned pumped storage power plant projects, under the condition that there are financial constraints each year, the model proposed in this paper can be used to optimize the sequence of investment in the individual projects to achieve the best return on investments.
23.
The investment timing optimization model proposed in this paper is not only applicable to the investment and construction of pumped storage projects but also to the timing analysis of other types of investment projects of the grid company. In the analysis of the economic effectiveness of an investment, returns can be calculated through the form of transmission and distribution prices, and reliability indicators can be used in calculating the electricity production ratio for the shortage of power loss that needs to be measured.

Author Contributions

All the authors contributed to the research in this paper. Conceptualization, J.J. and X.L.; data curation, P.H. and G.Y.; formal analysis, W.R. and S.Q.; funding acquisition, J.J.; investigation, Q.W. and G.Y.; methodology, J.J and X.L.; resources, S.Q.; software, J.J. and W.R.; supervision, J.J., P.H. and Q.W.; validation, X.L.; visualization, G.Y.; writing—original draft, J.J.; and writing—review and editing, J.J. and X.L. All authors have read and agreed to the published version of the manuscript.

Funding

This study was supported by the Science and Technology Program of the State Grid Sichuan Electric Power Company, “Technical Service for Research on the Mechanism of Sichuan Pumped Storage Participation in Market Trading and Impacts on Provincial Electricity Prices in 2024 by State Grid Sichuan Economic Research Institute”. The funder was Puyu He, with contract no. SGSCJY00JJJS2400017.

Data Availability Statement

The original contributions of this study are included in this article; further inquiries can be directed to the corresponding author.

Conflicts of Interest

Author Xiaoquan Lei was employed by the State Grid Power Company of the Sichuan Province. The remaining authors declare that this research was conducted in the absence of any commercial or financial relationships that could be construed as potential conflicts of interest.

References

  1. Li, B.; Liu, B.; Li, C. A review of thermal safety management techniques for lithium-ion energy storage power plants under new power systems. New Power Syst. 2024, 2, 126–139. [Google Scholar]
  2. Zheng, Q.; Yang, P.; Wu, Y.; Xu, Z.; Zhang, P. Optimal Dispatch and Control Strategy of Park Micro-Energy Grid in Electricity Market. Sustainability 2023, 15, 15100. [Google Scholar] [CrossRef]
  3. Zhu, H.; Ju, L.W.; Yang, H.; Qi, X.; Qu, B. A novel two-stage robust allocation optimisation model for flexibility resources taking uncertainty into account. Power Constr. 2024, 45, 1–11. [Google Scholar]
  4. Li, X.; Zhou, Y.; Li, S.; Lu, Z.; Wang, S.; Gao, Z. Study on the impact of the share of pumped-storage facility in the grid system. People’s Yangtze River 2024, 1–11. Available online: http://kns.cnki.net/kcms/detail/42.1202.TV.20240913.1407.018.html (accessed on 12 December 2024).
  5. Yuan, F. A Study on Project Cost Management of Pumped Storage Power Station. Master’s Thesis, Dalian University of Technology, Dalian, China, 2021. [Google Scholar] [CrossRef]
  6. Jin, Z.; Li, H.; Li, S.; Deng, J.; Yin, S.; Lu, Y. An investment timing optimisation method for grid planning projects considering investment capacity feedback. Power Autom. Equip. 2022, 42, 168–174. [Google Scholar]
  7. Yang, Q.X. Research on Power Grid Infrastructure Investment Portfolio and Timing Optimisation Strategy Considering Investment Efficiency and Risk Equilibrium. Master’s Thesis, Hunan University, Changsha, China, 2023. [Google Scholar] [CrossRef]
  8. Liu, Z.; Xie, J.; Huang, C.; Xu, L.; Wang, Y.; Pan, T. Optimization Model of Distribution Network Investment Scale Based on Transmission and Distribution Prices Constraints. IOP Conf. Ser. Earth Environ. Sci. 2019, 252, 032017. [Google Scholar] [CrossRef]
  9. Yang, X.; Yang, H.; Arras, M.; Chong, C.H.; Ma, L.; Li, Z. Study on the linkage model of differentiated grid investment and transmission and distribution tariffs under dual-carbon target. Electr. Meas. Instrum. 2023, 60, 105–112. [Google Scholar]
  10. Zhu, J.; Zhu, W.; Liu, H.; Chen, J.; Zeng, K.; Liu, M. A review of the application of approximate dynamic programming in power system optimal operation. Power Syst. Autom. 2024, 48, 1–22. [Google Scholar]
  11. Chen, C.; Luo, Z.; Wang, B.; Qu, H. A short pour scheduling system for coal on electrified highways based on integer planning. Transp. Energy Conserv. Environ. Prot. 2024, 20, 12–17. [Google Scholar]
  12. Putra, L.A.; Köstler, M.; Grundwürmer, M.; Li, L.; Huber, B.; Gaderer, M. State estimation of a biogas plant based on spectral analysis using a combination of machine learning and metaheuristic algorithms. Appl. Energy 2025, 377, 124447. [Google Scholar] [CrossRef]
  13. Chang, Y.; Chen, W.; Zhao, G. Quantitative Analysis Techniques and Models for Power Grid Investment Decision—Empirical Forecasting Based on Dynamic Planning Methods. Tech. Econ. 2012, 31, 56–62+107. [Google Scholar]
  14. Ouyang, T.; Zhang, H.L.; Liang, Y. Optimal scheduling of isolated microgrids based on NSGA-II algorithm. Softw. J. 2020, 19, 184–188. [Google Scholar]
  15. Zhang, Y.Y. Multi-Objective Grid Project Preference Decision-Making Model and Method Considering Dynamic Investment Timing. Master’s Thesis, Hunan University, Changsha, China, 2022. [Google Scholar]
  16. Chai, Y.X.; Xiang, Y.; Liu, J.Y. Reliability improvement oriented association rule-driven distribution network investment planning preference model and method. Power Autom. Equip. 2020, 40, 85–92. [Google Scholar]
  17. Zhang, H.; Wen, F.; Zhang, C.; Tian, C. A multi-attribute decision-making method for power grid construction project portfolio based on prospect theory. Power Syst. Autom. 2016, 40, 8–14. [Google Scholar]
  18. Ma, Q.; Wang, Z.; Pan, X.; Liu, X. Evaluation method of grid investment decision based on utility function under new electricity reform environment. Power Autom. Equip. 2019, 39, 198–204. [Google Scholar]
  19. Tetteh, A.T.; Moomen, A.W.; Yevugah, L.L.; Tengnibuor, A. Geospatial approach to pluvial flood-risk and vulnerability assessment in Sunyani Municipality. Heliyon 2024, 10, e38013. [Google Scholar] [CrossRef]
  20. Liu, H.W. Research on Project Portfolio Preference and Comprehensive Assessment Method for Power Grid Planning. Master’s Thesis, Huazhong University of Science and Technology, Wuhan, China, 2019. [Google Scholar]
  21. Shen, M.; Hu, Z.; Liu, Z.; Dai, P.; Huang, J.; Yang, L. Multi-stage double-Q preference for distribution network planning projects considering benefit coupling and timing correlation characteristics. Power Autom. Equip. 2020, 40, 22–28+48. [Google Scholar]
  22. He, K.; Wang, J.; Wang, J.; Li, Q.; Wang, Y.; Xing, Y.; Zhong, H. Evaluation and preference of grid planning schemes based on full-cost tariff. China Electr. Power 2020, 53, 66–75. [Google Scholar]
  23. Liu, H. Research on the Optimization of Grid Business Investment Timing Considering Return on Investment. Master’s Thesis, North China Electric Power University, Beijing, China, 2024. [Google Scholar]
Figure 1. Quantitative influences on production costs.
Figure 1. Quantitative influences on production costs.
Energies 18 00047 g001
Figure 2. Schematic diagram of investment timing optimization.
Figure 2. Schematic diagram of investment timing optimization.
Energies 18 00047 g002
Figure 3. Schematic diagram of the optimal path for dynamic planning.
Figure 3. Schematic diagram of the optimal path for dynamic planning.
Energies 18 00047 g003
Figure 4. Economic effectiveness of the projects for 2025–2029.
Figure 4. Economic effectiveness of the projects for 2025–2029.
Energies 18 00047 g004
Figure 5. Results of the normalization of the economic effectiveness of the projects.
Figure 5. Results of the normalization of the economic effectiveness of the projects.
Energies 18 00047 g005
Figure 6. Results of ENPV sensitivity analysis.
Figure 6. Results of ENPV sensitivity analysis.
Energies 18 00047 g006
Figure 7. Environmental effectiveness of the projects for 2025–2029.
Figure 7. Environmental effectiveness of the projects for 2025–2029.
Energies 18 00047 g007
Figure 8. Results of the normalization of the environmental effectiveness of the projects.
Figure 8. Results of the normalization of the environmental effectiveness of the projects.
Energies 18 00047 g008
Figure 9. Projects’ reliability benefits for 2025-2029.
Figure 9. Projects’ reliability benefits for 2025-2029.
Energies 18 00047 g009
Figure 10. Normalized project reliability effectiveness for 2025–2029.
Figure 10. Normalized project reliability effectiveness for 2025–2029.
Energies 18 00047 g010
Figure 11. Cumulative investment effectiveness by project over the years.
Figure 11. Cumulative investment effectiveness by project over the years.
Energies 18 00047 g011
Figure 12. Optimal investment timing for pumped storage plants in 2025–2029.
Figure 12. Optimal investment timing for pumped storage plants in 2025–2029.
Energies 18 00047 g012
Figure 13. Optimal investment time sequence for pumped storage facilities in 2025–2029.
Figure 13. Optimal investment time sequence for pumped storage facilities in 2025–2029.
Energies 18 00047 g013
Figure 14. Cumulative investment effectiveness value sensitivity analysis results.
Figure 14. Cumulative investment effectiveness value sensitivity analysis results.
Energies 18 00047 g014
Figure 15. Cumulative investment effectiveness value with coal price fluctuation sensitivity analysis results.
Figure 15. Cumulative investment effectiveness value with coal price fluctuation sensitivity analysis results.
Energies 18 00047 g015
Table 1. Basic information on seven planned pumped storage facilities in Province Z.
Table 1. Basic information on seven planned pumped storage facilities in Province Z.
Item No.Installed Capacity (Million kWh)Total Investment (Billion CNY)
Item 1390 (13 × 30)21.65
Item 2120 (6 × 20)8.4
Item 3180 (6 × 30)18.61
Item 4140 (4 × 35)12.29
Item 5140 (4 × 35)12.19
Item 660 (2 × 30)5.1
Item 760 (2 × 30)5.4
Table 2. Pollutant emission factors and environmental value criteria.
Table 2. Pollutant emission factors and environmental value criteria.
License HolderSO2Nitrogen OxideCO2
Environmental value (CNY/kg)680.02
Emission factor (kg/t)1881731
Table 3. Comparison results of different optimization models.
Table 3. Comparison results of different optimization models.
MethodsIndicator
Calculation RateComprehensive Efficiency
Return on investment methodology by phase2.1 s0.75
Combined effectiveness ranking methodology3.8 s0.61
Disclaimer/Publisher’s Note: The statements, opinions and data contained in all publications are solely those of the individual author(s) and contributor(s) and not of MDPI and/or the editor(s). MDPI and/or the editor(s) disclaim responsibility for any injury to people or property resulting from any ideas, methods, instructions or products referred to in the content.

Share and Cite

MDPI and ACS Style

Jiao, J.; Lei, X.; He, P.; Wang, Q.; Yu, G.; Ren, W.; Qi, S. Timing Optimization Method for Pumped Storage Plant Construction Considering Capital Expenditure Capacity Feedback. Energies 2025, 18, 47. https://doi.org/10.3390/en18010047

AMA Style

Jiao J, Lei X, He P, Wang Q, Yu G, Ren W, Qi S. Timing Optimization Method for Pumped Storage Plant Construction Considering Capital Expenditure Capacity Feedback. Energies. 2025; 18(1):47. https://doi.org/10.3390/en18010047

Chicago/Turabian Style

Jiao, Jie, Xiaoquan Lei, Puyu He, Qian Wang, Guangxiu Yu, Wenshi Ren, and Shaokang Qi. 2025. "Timing Optimization Method for Pumped Storage Plant Construction Considering Capital Expenditure Capacity Feedback" Energies 18, no. 1: 47. https://doi.org/10.3390/en18010047

APA Style

Jiao, J., Lei, X., He, P., Wang, Q., Yu, G., Ren, W., & Qi, S. (2025). Timing Optimization Method for Pumped Storage Plant Construction Considering Capital Expenditure Capacity Feedback. Energies, 18(1), 47. https://doi.org/10.3390/en18010047

Note that from the first issue of 2016, this journal uses article numbers instead of page numbers. See further details here.

Article Metrics

Back to TopTop