Robust Wireless Power Transfer for EVs by Self-Oscillating Controlled Inverters and Identical Single-Coil Transmitting and Receiving Pads
Abstract
1. Introduction
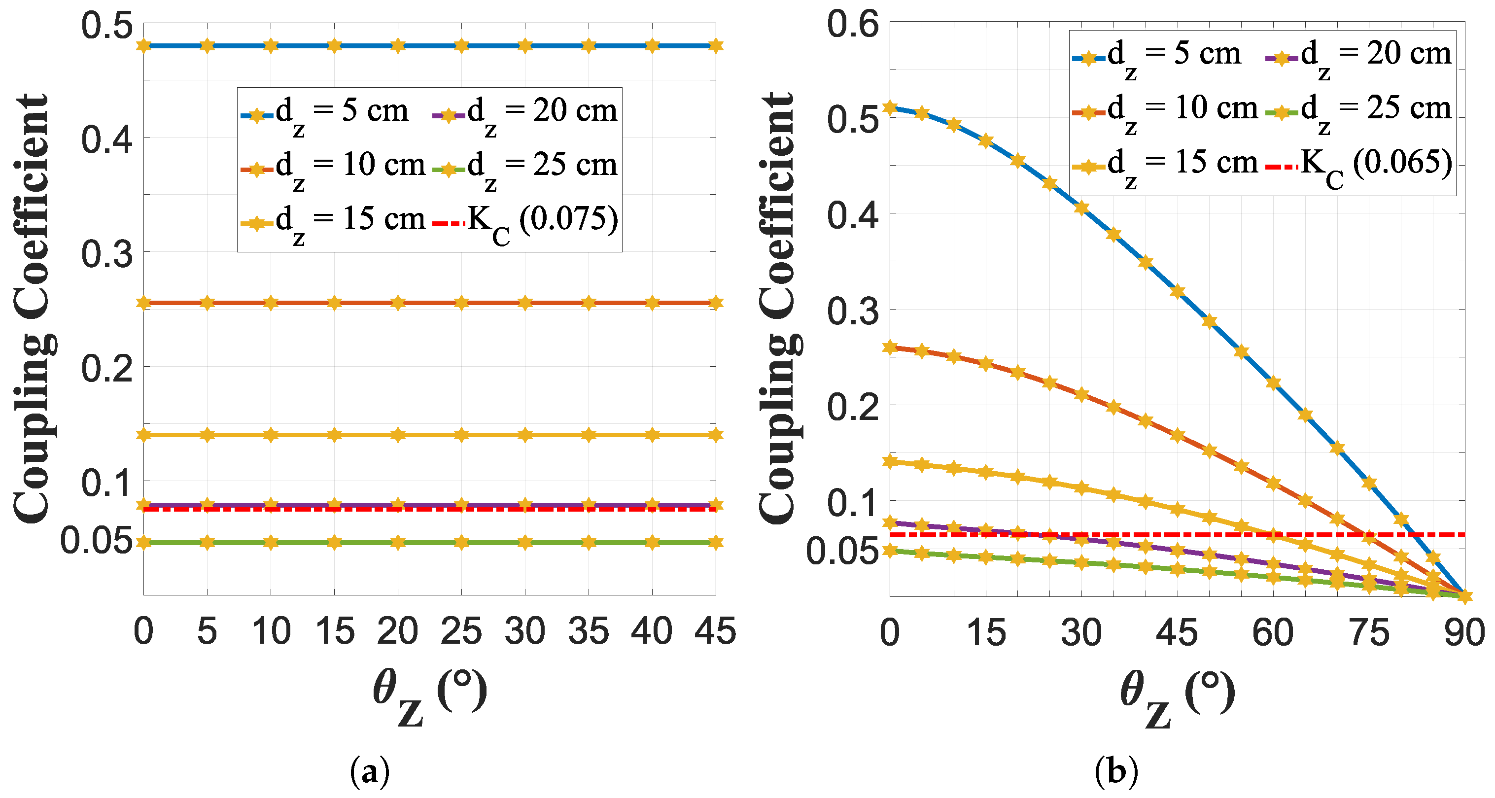
- The TP and RS magnetic pads are identical with a single coil, and there is no magnetic cross-coupling between multiple RS coils or between them and the TP, which leads to the following benefits:
- -
- Significantly longer robust air gap length.
- -
- All-around lateral misalignment tolerance.
- -
- Rotational misalignment tolerance.
- -
- Tolerance to TP and RS coils’ self-inductance changes.
- -
- Increased efficiency and power stability.
- A more compact design with single-coil magnetic pads.
- A lower operating frequency that is more compatible with IWPT system standards for EV applications (79–90 kHz).
2. Equivalent Electrical Circuit Modeling and Analysis
2.1. Robust Region
2.2. Non-Robust Region
3. Design and Simulations
3.1. Design Process and the Proposed Magnetic Couplers
3.2. Magnetic Property Simulation
4. System Implementation and Results
4.1. The Proposed IWPT System Prototype
4.2. Results
5. Conclusions
Author Contributions
Funding
Data Availability Statement
Conflicts of Interest
References
- Rim, C.T.; Mi, C. Introduction to Mobile Power Electronics. In Wireless Power Transfer for Electric Vehicles and Mobile Devices; Wiley-IEEE Press: Hoboken, NJ, USA, 2017; pp. 3–17. [Google Scholar] [CrossRef]
- Rim, C.T.; Mi, C. Introduction to Wireless Power Transfer (WPT). In Wireless Power Transfer for Electric Vehicles and Mobile Devices; Wiley-IEEE Press: Hoboken, NJ, USA, 2017; pp. 19–42. [Google Scholar] [CrossRef]
- Feng, H.; Tavakoli, R.; Onar, O.C.; Pantic, Z. Advances in High-Power Wireless Charging Systems: Overview and Design Considerations. IEEE Trans. Transp. Electrif. 2020, 6, 886–919. [Google Scholar] [CrossRef]
- Rim, C.T.; Mi, C. Introduction to Electric Vehicles (EVs). In Wireless Power Transfer for Electric Vehicles and Mobile Devices; Wiley-IEEE Press: Hoboken, NJ, USA, 2017; pp. 43–49. [Google Scholar] [CrossRef]
- Ahmad, A.; Alam, M.S.; Chabaan, R. A Comprehensive Review of Wireless Charging Technologies for Electric Vehicles. IEEE Trans. Transp. Electrif. 2018, 4, 38–63. [Google Scholar] [CrossRef]
- Mohamed, N.; Aymen, F.; Alharbi, T.E.; El-Bayeh, C.Z.; Lassaad, S.; Ghoneim, S.S.; Eicker, U. A Comprehensive Analysis of Wireless Charging Systems for Electric Vehicles. IEEE Access 2022, 10, 43865–43881. [Google Scholar] [CrossRef]
- Rituraj, G.; Kushwaha, B.K.; Kumar, P. A Unipolar Coil Arrangement Method for Improving the Coupling Coefficient Without Ferrite Material in Wireless Power Transfer Systems. IEEE Trans. Transp. Electrif. 2020, 6, 497–509. [Google Scholar] [CrossRef]
- Zhang, Z.; Pang, H.; Georgiadis, A.; Cecati, C. Wireless Power Transfer—An Overview. IEEE Trans. Ind. Electron. 2019, 66, 1044–1058. [Google Scholar] [CrossRef]
- Mouftah, H.T.; Erol-Kantarci, M.; Sorour, S. Connected and Autonomous Vehicles in Smart Cities; CRC Press: Boca Raton, FL, USA, 2020; Available online: https://www.routledge.com/Connected-and-Autonomous-Vehicles-in-Smart-Cities/Mouftah-Erol-Kantarci-Sorour/p/book/9780367637002 (accessed on 18 December 2024).
- Sagar, A.; Kashyap, A.; Nasab, M.A.; Padmanaban, S.; Bertoluzzo, M.; Kumar, A.; Blaabjerg, F. A Comprehensive Review of the Recent Development of Wireless Power Transfer Technologies for Electric Vehicle Charging Systems. IEEE Access 2023, 11, 83703–83751. [Google Scholar] [CrossRef]
- Rahulkumar, J.; Narayanamoorthi, R.; Vishnuram, P.; Bajaj, M.; Blazek, V.; Prokop, L.; Misak, S. An Empirical Survey on Wireless Inductive Power Pad and Resonant Magnetic Field Coupling for In-Motion EV Charging System. IEEE Access 2023, 11, 4660–4693. [Google Scholar] [CrossRef]
- Choi, B.H.; Lee, E.S.; Sohn, Y.H.; Jang, G.C.; Rim, C.T. Six Degrees of Freedom Mobile Inductive Power Transfer by Crossed Dipole Tx and Rx Coils. IEEE Trans. Power Electron. 2016, 31, 3252–3272. [Google Scholar] [CrossRef]
- Eikani, A.; Mosammam, B.M.; Mirsalim, M.; Khorsandi, A. Six Degrees of Freedom Wireless Power Transfer by Crossed Dipole Transmitting Coils and the Minimum Number of Receiving Coils. In Proceedings of the 2022 13th Power Electronics, Drive Systems, and Technologies Conference (PEDSTC), Tehran, Iran, 1–3 February 2022; pp. 587–591. [Google Scholar] [CrossRef]
- Mosammam, B.M.; Mirsalim, M. New Integrated Tripolar Pad Using Double-Sided LCC Compensation for Wireless Power Transfer. IEEE Trans. Veh. Technol. 2020, 69, 15633–15643. [Google Scholar] [CrossRef]
- Chen, Y.; He, S.; Yang, B.; Chen, S.; He, Z.; Mai, R. Reconfigurable Rectifier-Based Detuned Series-Series Compensated IPT System for Anti-Misalignment and Efficiency Improvement. IEEE Trans. Power Electron. 2023, 38, 2720–2729. [Google Scholar] [CrossRef]
- Zhou, M.; Liu, F.; Li, S.; Chen, X. A 1-kW and 100-cm Distance Magnetically Coupled Resonant WPT System Achieving 80% Efficiency. IEEE Trans. Transp. Electrif. 2022, 8, 4001–4013. [Google Scholar] [CrossRef]
- Wang, C.; Wang, J. A Hybrid LCC-SP Compensation Network with Adjustable Impedance Angle Used for Single-Stage Wireless Power Transfer. IEEE Trans. Transp. Electrif. 2022, 9, 3452–3463. [Google Scholar] [CrossRef]
- Rasekh, N.; Kavianpour, J.; Mirsalim, M. A Novel Integration Method for a Bipolar Receiver Pad Using LCC Compensation Topology for Wireless Power Transfer. IEEE Trans. Veh. Technol. 2018, 67, 7419–7428. [Google Scholar] [CrossRef]
- Li, H.; Xu, J.; Gao, F.; Zhang, Y.; Yang, X.; Tang, H. Duty Cycle Control Strategy for Dual-Side LCC Resonant Converter in Wireless Power Transfer Systems. IEEE Trans. Transp. Electrif. 2022, 8, 1944–1955. [Google Scholar] [CrossRef]
- Zhao, L.; Thrimawithana, D.J.; Madawala, U.K. Hybrid Bidirectional Wireless EV Charging System Tolerant to Pad Misalignment. IEEE Trans. Ind. Electron. 2017, 64, 7079–7086. [Google Scholar] [CrossRef]
- Ke, G.; Chen, Q.; Xu, L.; Ren, X.; Zhang, Z. Analysis and Optimization of a Double-Sided S-LCC Hybrid Converter for High Misalignment Tolerance. IEEE Trans. Ind. Electron. 2021, 68, 4870–4881. [Google Scholar] [CrossRef]
- Feng, H.; Dayerizadeh, A.; Lukic, S.M. A Coupling-Insensitive X-Type IPT System for High Position Tolerance. IEEE Trans. Ind. Electron. 2021, 68, 6917–6926. [Google Scholar] [CrossRef]
- Liu, Y.; Feng, H. Maximum Efficiency Tracking Control Method for WPT System Based on Dynamic Coupling Coefficient Identification and Impedance Matching Network. IEEE J. Emerg. Sel. Top. Power Electron. 2020, 8, 3633–3643. [Google Scholar] [CrossRef]
- Babaki, A.; Vaez-Zadeh, S.; Zakerian, A. Performance Optimization of Dynamic Wireless EV Charger Under Varying Driving Conditions Without Resonant Information. IEEE Trans. Veh. Technol. 2019, 68, 10429–10438. [Google Scholar] [CrossRef]
- Li, Y.; Dong, W.; Yang, Q.; Zhao, J.; Liu, L.; Feng, S. An Automatic Impedance Matching Method Based on the Feedforward-Backpropagation Neural Network for a WPT System. IEEE Trans. Ind. Electron. 2019, 66, 3963–3972. [Google Scholar] [CrossRef]
- Jeong, S.Y.; Park, J.H.; Hong, G.P.; Rim, C.T. Autotuning Control System by Variation of Self-Inductance for Dynamic Wireless EV Charging with Small Air Gap. IEEE Trans. Power Electron. 2019, 34, 5165–5174. [Google Scholar] [CrossRef]
- Assawaworrarit, S.; Yu, X.; Fan, S. Robust wireless power transfer using a nonlinear parity–time-symmetric circuit. Nature 2017, 546, 387–390. Available online: https://www.nature.com/articles/nature22404 (accessed on 18 December 2024). [CrossRef] [PubMed]
- Assawaworrarit, S.; Fan, S. Robust and efficient wireless power transfer using a switch-mode implementation of a nonlinear parity–time symmetric circuit. Nat. Electron. 2020, 3, 273–279. Available online: https://www.nature.com/articles/s41928-020-0399-7 (accessed on 18 December 2024). [CrossRef]
- Zhou, J.; Zhang, B.; Xiao, W.; Qiu, D.; Chen, Y. Nonlinear Parity-Time-Symmetric Model for Constant Efficiency Wireless Power Transfer: Application to a Drone-in-Flight Wireless Charging Platform. IEEE Trans. Ind. Electron. 2019, 66, 4097–4107. [Google Scholar] [CrossRef]
- Wu, L.; Zhang, B.; Jiang, Y.; Zhou, J. A Robust Parity-Time-Symmetric WPT System with Extended Constant-Power Range for Cordless Kitchen Appliances. IEEE Trans. Ind. Appl. 2022, 58, 1179–1189. [Google Scholar] [CrossRef]
- Shu, X.; Zhang, B.; Wei, Z.; Rong, C.; Sun, S. Extended-Distance Wireless Power Transfer System with Constant Output Power and Transfer Efficiency Based on Parity-Time-Symmetric Principle. IEEE Trans. Power Electron. 2021, 36, 8861–8871. [Google Scholar] [CrossRef]
- Wu, L.; Zhang, B.; Jiang, Y. Robust Parity-Time-Symmetric WPT System with Reduced Switching-Frequency and Improved Step-Down Conversion Ratio. IEEE Trans. Transp. Electrif. 2022, 9, 2090–2103. [Google Scholar] [CrossRef]
- Jiang, Y.; Zhao, X.; Chen, D.; Shu, X.; Zhou, Y. Autonomous Wireless Power Transfer System with Constant Output Voltage in a Wide Load Range. Energies 2023, 16, 8026. [Google Scholar] [CrossRef]
- Eikani, A.; Amirkhani, M.; Jafari, H.; Vaez-Zadeh, S.; Mirsalim, M.; Khaburi, D.A. Robust Wireless Power Transfer by Self-Oscillating Controlled Inverter and Circular Pads. In Proceedings of the 2023 3rd International Conference on Electrical Machines and Drives (ICEMD), Tehran, Iran, 20–21 December 2023; pp. 1–6. [Google Scholar] [CrossRef]
- Eikani, A.; Amirkhani, M.; Jafari, H.; Abdoli, H.; Vaez-Zadeh, S.; Rezazadeh, G. Robust Wireless Power Transfer by Self-Oscillating Controlled Inverter and Double-D Pads. In Proceedings of the 2024 32nd International Conference on Electrical Engineering (ICEE), Tehran, Iran, 14–16 May 2024; pp. 1–6. [Google Scholar] [CrossRef]
- Wu, L.; Zhang, B.; Zhou, J. Efficiency Improvement of the Parity-Time-Symmetric Wireless Power Transfer System for Electric Vehicle Charging. IEEE Trans. Power Electron. 2020, 35, 12497–12508. [Google Scholar] [CrossRef]
- Eikani, A.; Mosammam, B.M.; Mirsalim, M. Robust Wireless Power Transfer by Self-Oscillating Controlled Inverter and Tripolar Receiving Pad. In Proceedings of the 2022 30th International Conference on Electrical Engineering (ICEE), Tehran, Iran, 17–19 May 2022; pp. 1021–1026. [Google Scholar] [CrossRef]
- Okasili, I.; Elkhateb, A.; Littler, T. A Review of Wireless Power Transfer Systems for Electric Vehicle Battery Charging with a Focus on Inductive Coupling. Electronics 2022, 11, 1355. [Google Scholar] [CrossRef]
- Triviño, A.; González-González, J.M.; Aguado, J.A. Wireless Power Transfer Technologies Applied to Electric Vehicles: A Review. Energies 2021, 14, 1547. [Google Scholar] [CrossRef]
- Mahesh, A.; Chokkalingam, B.; Mihet-Popa, L. Inductive Wireless Power Transfer Charging for Electric Vehicles—A Review. IEEE Access 2021, 9, 137667–137713. [Google Scholar] [CrossRef]
- SAE International. SAE J2954: Wireless Power Transfer for Light-Duty Plug-In/Electric Vehicles and Alignment Methodology; SAE International: Warrendale, PA, USA, 2020. [Google Scholar]
- ISO 19363; Electrically Propelled Road Vehicles—Magnetic Field Wireless Power Transfer—Safety and Interoperability Requirements. International Organization for Standardization: Geneva, Switzerland, 2021.
- IEC 61980-1; Electric Vehicle Wireless Power Transfer Systems—General Requirements. International Electrotechnical Commission: Geneva, Switzerland, 2019.
- ISO 11452; Road Vehicles—Component Test Methods for Electrical Disturbances from Narrowband Radiated Electromagnetic Energy. ISO: Geneva, Switzerland, 2002.
- IEEE P2877; Draft Standard for Wireless Power Transfer Systems for Electric Vehicles. IEEE Standards Association: Piscataway, NJ, USA, 2023.
- IEEE C95.1-2019; IEEE Standard for Safety Levels with Respect to Human Exposure to Radio Frequency Electromagnetic Fields, 3 kHz to 300 GHz. IEEE: Piscataway, NJ, USA, 2019.
- CHAdeMO Association. Guideline for Wireless Power Transfer; CHAdeMO Association: Paris, France, 2022. [Google Scholar]
- Mai, R.; Liu, Y.; Li, Y.; Yue, P.; Cao, G.; He, Z. An Active-Rectifier-Based Maximum Efficiency Tracking Method Using an Additional Measurement Coil for Wireless Power Transfer. IEEE Trans. Power Electron. 2018, 33, 716–728. [Google Scholar] [CrossRef]
- Wang, C.S.; Covic, G.A.; Stielau, O.H. Power transfer capability and bifurcation phenomena of loosely coupled inductive power transfer systems. IEEE Trans. Ind. Electron. 2004, 51, 148–157. Available online: https://ieeexplore.ieee.org/document/1265794 (accessed on 18 December 2024). [CrossRef]




















| Technique | Principle | Key Features | Advantages | Challenges |
|---|---|---|---|---|
| Inductive Power Transfer | Magnetic coupling between transmitter and receiver coils | High efficiency over short distances; widely used in EV applications | Robust, efficient, compatible with standards | Sensitive to misalignment and air gap variations |
| Capacitive Power Transfer (CPT) [5] | Electric field coupling between conductive plates | Suitable for short-range applications; operates at lower frequencies | Simple structure, lightweight | Lower power density; higher losses at increased power levels |
| Resonant Inductive Coupling [6] | Resonance between transmitter and receiver circuits | Enhanced range compared to IPT; improved tolerance to misalignment | Higher efficiency over medium distances | Complex design; requires precise tuning |
| Microwave Power Transfer (MWPT) [5] | Transmission of power using microwave-frequency electromagnetic waves | Long-distance power transmission; independent of alignment | Capable of long-distance power transfer | Low efficiency; safety concerns |
| Laser Power Transfer (LPT) [5] | Laser-based energy transmission to a photovoltaic receiver | Highly directional; suitable for specific applications requiring precise targeting | Potential for long-distance, high-power transfer | Complex, expensive; safety concerns |
| Aspect | Commercial Power Range |
|---|---|
| Light-Duty Vehicles | Up to 3.6–7.4 kW (e.g., residential or slow wireless charging stations) |
| Standard EVs (Passenger Cars) | 11–22 kW (typical commercial static wireless charging setups) |
| High-End EVs/Buses | 50–300 kW (dynamic charging or high-speed bus charging systems) |
| Heavy-Duty EVs | >300 kW, designed for dynamic wireless charging of heavy trucks or high-capacity fleets |
| Dynamic Wireless Charging | 22–200 kW for vehicles in motion (freight, transit systems) |
| Future Systems | >800 kW for specialized applications like high-speed transit systems |
| Standard | Charging Power | Frequency | EMI Specifications | EMF Exposure Limits |
|---|---|---|---|---|
| SAE J2954 [41] | Up to 22 kW | 85 kHz ± 2.5 kHz | EMI must not exceed 54 dBμV/m at 10 m | Maximum of 27 μT (ICNIRP guidelines) |
| IEC 61980-1 [42] | Up to 22 kW | 79–90 kHz | Complies with CISPR 11 for EMC, limiting interference to 30–37 dBμV/m | Up to 27 μT (ICNIRP standards) |
| ISO 19363 [43] | Up to 11 kW | 85 kHz ± 5 kHz | Ensures EMI compatibility with ISO 11452 standards [44] | Maximum exposure limit set at 27 μT |
| IEEE P2877 [45] | Up to 250 kW | Not specified | Adheres to FCC Part 15 for EMC | EMF limits based on IEEE C95.1 standards [46] |
| CHAdeMO [47] | Up to 50 kW | 85 kHz | EMI below 40 dBμV/m at 10 m | Maximum exposure set at 27 μT |
| Parameter | Value | Parameter | Value |
|---|---|---|---|
| Resonant frequency () | 80 kHz | ∼0.8 | |
| Input DC voltage | 170 V | 7.5 nF | |
| ∼550 μH | 6.5 nF | ||
| ∼650 μH | 20 | ||
| ∼0.7 | 24.67 |
| Parameter | Value |
|---|---|
| Ferrite bar dimensions (mm) | 55 × 13 × 5 |
| Litz strand diameter (mm) | 0.08 |
| Litz strand number | 250 |
| Compensating capacitors | KEMET R77 |
| CP turn number | 35 |
| DDP turn number | 25 |
| Inverter switches | IPW60R041P6 |
| Gate drivers | HCPL3120 |
| DSP microcontroller | LAUNCHXL-F28379D |
| Rectifier diodes | MUR1560 |
| Magnetic Couplers | DDP-BPP [36] | DDP-TPP [37] | 2DDP | 2CP |
|---|---|---|---|---|
| () | 0.005 | 0.0034 | 0.01 | 0.007 |
| () | 0.01 | 0.006 | 0.011 | 0.004 |
| () | 0 | 0 | 0.0056 | 0.004 |
| Number of coils on the RS pad | 2 | 3 | 1 | 1 |
| All-around lateral misalignment tolerance | No | No | Yes | Yes |
| Rotary misalignment tolerance | No | No | Yes (limited angles) | Yes |
| Robustness to TP/RS coil self-inductance fluctuations | No | No | Yes | Yes |
| Multiple RS coils–TP coupling robustness | No | No | Yes | Yes |
| Multiple RS coils magnetic cross-coupling robustness | No | No | Yes | Yes |
| Output power (kW) | 1 | 1 | 1 | 1 |
| Transfer efficiency (%) | 96 | - | 92 | 93 |
| Resonant frequency () (kHz) | 94.6 | 100 | 80 | 80 |
| Operating frequency at a 10 cm air gap (kHz) | 120 | 123 | 93 | 92 |
Disclaimer/Publisher’s Note: The statements, opinions and data contained in all publications are solely those of the individual author(s) and contributor(s) and not of MDPI and/or the editor(s). MDPI and/or the editor(s) disclaim responsibility for any injury to people or property resulting from any ideas, methods, instructions or products referred to in the content. |
© 2025 by the authors. Licensee MDPI, Basel, Switzerland. This article is an open access article distributed under the terms and conditions of the Creative Commons Attribution (CC BY) license (https://creativecommons.org/licenses/by/4.0/).
Share and Cite
Eikani, A.; Amirkhani, M.; Farmahini Farahani, E.; Pickert, V.; Mirsalim, M.; Vaez-Zadeh, S. Robust Wireless Power Transfer for EVs by Self-Oscillating Controlled Inverters and Identical Single-Coil Transmitting and Receiving Pads. Energies 2025, 18, 211. https://doi.org/10.3390/en18010211
Eikani A, Amirkhani M, Farmahini Farahani E, Pickert V, Mirsalim M, Vaez-Zadeh S. Robust Wireless Power Transfer for EVs by Self-Oscillating Controlled Inverters and Identical Single-Coil Transmitting and Receiving Pads. Energies. 2025; 18(1):211. https://doi.org/10.3390/en18010211
Chicago/Turabian StyleEikani, Alireza, Mohammad Amirkhani, Ehsan Farmahini Farahani, Volker Pickert, Mojtaba Mirsalim, and Sadegh Vaez-Zadeh. 2025. "Robust Wireless Power Transfer for EVs by Self-Oscillating Controlled Inverters and Identical Single-Coil Transmitting and Receiving Pads" Energies 18, no. 1: 211. https://doi.org/10.3390/en18010211
APA StyleEikani, A., Amirkhani, M., Farmahini Farahani, E., Pickert, V., Mirsalim, M., & Vaez-Zadeh, S. (2025). Robust Wireless Power Transfer for EVs by Self-Oscillating Controlled Inverters and Identical Single-Coil Transmitting and Receiving Pads. Energies, 18(1), 211. https://doi.org/10.3390/en18010211

