Next Article in Journal
New Advances in Bioelectrochemical Systems in the Degradation of Polycyclic Aromatic Hydrocarbons: Source, Degradation Pathway, and Microbial Community
Previous Article in Journal
Geometry Optimisation of a Wave Energy Converter
Previous Article in Special Issue
Renewable Solar Energy Facilities in South America—The Road to a Low-Carbon Sustainable Energy Matrix: A Systematic Review
 
 
Font Type:
Arial Georgia Verdana
Font Size:
Aa Aa Aa
Line Spacing:
Column Width:
Background:
Article

Simulation of PEM Electrolyzer Power Management with Renewable Generation in Owerri, Nigeria

by
MacMatthew C. Ahaotu
1,
Chisom E. Ogbogu
2,
Jesse Thornburg
2,3,* and
Isdore Onyema Akwukwaegbu
1
1
Department of Electrical Engineering, School of Electrical Systems and Engineering Technology, Federal University of Technology Owerri, Owerri PMB 1526, Nigeria
2
College of Engineering, Carnegie Mellon University Africa, Kigali BP 6150, Rwanda
3
Grid Fruit, LLC, Austin, TX 78758, USA
*
Author to whom correspondence should be addressed.
Energies 2025, 18(1), 208; https://doi.org/10.3390/en18010208
Submission received: 20 November 2024 / Revised: 15 December 2024 / Accepted: 23 December 2024 / Published: 6 January 2025

Abstract

Proton exchange membrane electrolyzers are an attractive technology for hydrogen production due to their high efficiency, low maintenance cost, and scalability. To receive these benefits, however, electrolyzers require high power reliability and have relatively high demand. Due to their intermittent nature, integrating renewable energy sources like solar and wind has traditionally resulted in a supply too sporadic to consistently power a proton exchange membrane electrolyzer. This study develops an electrolyzer model operating with renewable energy sources at a highly instrumented university site. The simulation uses dynamic models of photovoltaic solar and wind systems to develop models capable of responding to changing climatic and seasonal conditions. The aim therefore is to observe the feasibility of operating a proton exchange membrane system fuel cell year-round at optimal efficiency. To address the problem of feasibility with dynamic renewable generation, a case study demonstrates the proposed energy management system. A site with a river onsite is chosen to ensure sufficient wind resources. Aside from assessing the feasibility of pairing renewable generation with proton exchange membrane systems, this project shows a reduction in the intermittency plaguing previous designs. Finally, the study quantifies the performance and effectiveness of the PEM energy management system design. Overall, this study highlights the potential of proton exchange membrane electrolysis as a critical technology for sustainable hydrogen production and the importance of modeling and simulation techniques in achieving its full potential.

1. Introduction

Integrating renewable energy sources with green hydrogen production has garnered increasing interest as societies aim to achieve a more sustainable energy landscape. Proton exchange membrane (PEM) electrolysis (Figure 1) has emerged as a leading technology for hydrogen production due to its efficiency, durability, and compatibility with renewable sources. Unlike alkaline electrolyzers—which are often limited by complex architecture and lower efficiency—PEM electrolyzers offer a sustainable solution to these challenges, streamlining hydrogen production and enhancing overall system reliability [1].
However, a significant gap remains in reliably addressing energy independence, particularly in sub-Saharan Africa, where the challenges of energy delivery and autonomy persist. Solar photovoltaics (PV) have often been deployed to provide initial electricity access in sub-Saharan Africa’s regions of high solar irradiance, but without storage, these systems prove intermittent and unreliable [2]. These areas, where grid power is often interrupted or altogether unavailable, require integrated energy solutions that draw on both conventional and new renewable sources for resilient, long-term power infrastructure. The addition of wind generation in coordination with solar can provide supply at times even without solar energy, provided sufficient wind velocity is available to address this issue. This project models a PEM electrolyzer in a power system combining onsite wind and solar energy sources with grid connections. The model balances these sources to ensure a stable energy supply, addressing the common challenge of intermittency in renewable energy systems (RES). By combining PV with other sources, the model leverages grid reliability while tapping into the renewable contributions of wind and solar energy. A unique aspect of this study is its focus on seasonal climate variations, with an emphasis on creating a PEM model that maintains efficiency throughout the year, even as climate conditions shift between seasons.
In recent years, simulation tools like MATLAB have proven instrumental in modeling and optimizing PEM electrolyzer systems, especially when integrated with renewable energy sources (RES) [3]. Through these models, researchers simulate key performance metrics such as cell voltage, current density, and overall system efficiency under various operating conditions [1,4,5,6]. Models also incorporate maximum power point tracking (MPPT) to adapt to fluctuating power inputs from RES, ensuring optimal operation even as the solar and wind output varies [7]. By simulating the PEM model like in Figure 1 with changing seasonal data, this study aims to establish an efficient, adaptable system that maximizes hydrogen production while minimizing reliance on grid power, especially during peak renewable production periods.
Figure 1. Chemical reactions of a PEM electrolyzer [8].
Figure 1. Chemical reactions of a PEM electrolyzer [8].
Energies 18 00208 g001
Despite this innovation, the deployment of PEM electrolyzers on a grid remains challenging. With cost as the primary barrier, PEM electrolyzers, which rely on rare materials such as platinum for their catalytic processes, make installation expensive. In the case study considered for this research, the cost and complexity of the PEM will be a significant bottleneck in practice. In practice, innovation in PEM electrolyzers has primarily focused on reducing platinum catalyst loading and modifying the PEM structure to lower the overall costs [1,9]. However, these advancements have encountered significant challenges, particularly regarding the stability and long-term durability of the Membrane Electrode Assembly (MEA) in fuel cell electrolyzer designs [9]. Additionally, integrating PEM systems with renewable sources like wind and solar requires careful management of the electrolyzer’s startup and shutdown cycles, as frequent changes in operation can reduce the overall efficiency [1,10]. While control strategies are evolving to address these issues, efficient hydrogen storage and distribution remain critical concerns, especially in areas where RES solutions are most needed. Building out the necessary infrastructure to support hydrogen compression, storage, and distribution will be vital to unlocking the full potential of PEM technology as a sustainable solution.
With both rural and urban communities in mind, this PEM model holds substantial potential for energy security. For remote or off-grid areas, where traditional grid extensions may be impractical, the hydrogen produced through PEM electrolysis can be stored and used as a dependable energy source during seasonal changes or peak demand [1,11,12]. In urban and smart city settings, hydrogen fuel cells powered by PEM electrolysis offer an alternative to conventional power sources, providing a sustainable, low-emission energy solution that aligns with urban decarbonization goals as well as flexibility to grid expansion during rapid urbanization policies.
Therefore, this research seeks to establish a PEM electrolyzer model that effectively mitigates intermittency by drawing from multiple renewable sources alongside grid power, with an added emphasis on optimizing for seasonal climate changes. Through the integration of wind, solar, and grid sources, the study aims to demonstrate that PEM technology, when appropriately modeled and managed, can serve as a transformative tool in achieving a stable, year-round energy supply. With ongoing advancements in materials, storage solutions, and control strategies, PEM electrolyzers can become a key pillar in decentralized, sustainable energy systems, providing clean energy access to underserved communities in sub-Saharan Africa while reinforcing global efforts toward a low-carbon future.
This research study is structured as follows: the Introduction section provides a background on the importance of proton exchange membrane (PEM) technology, highlighting its role in energy systems. This is followed by the PEM Operation section, which reviews advancements in PEM architecture and system modeling. Next, the Materials and Methods section outlines the case study, providing justifications for the specific design and operation of the solar, grid, and wind components in the proposed energy management system. The Results section presents the findings of the study, focusing on the performance and effectiveness of the PEM energy management system design. Finally, the Conclusion section discusses the implications of the study and the proposed model design while offering recommendations for future research in energy system optimization and PEM development.

PEM Operation with Renewable Energy Sources

The simulation of PEM electrolysis systems (Figure 1) with renewable energy sources using MATLAB has gained significant attention in recent years. A PEM electrolyzer consists of two electrodes, an anode, and a cathode, separated by a polymeric proton exchange membrane used as a solid electrolyte. Madaci et al. present a MATLAB-based model of a standalone PEM electrolysis system powered by renewable energy sources. The model considers wind and solar energy as input sources and optimizes the performance of the electrolysis system. The system described in the article is designed to be independent of the electrical grid and relies solely on renewable energy sources, making it environmentally friendly and sustainable [1]. Although Madaci’s system is environmentally friendly, his generation sources produce intermittent energy that is harmful for certain load types and many long-term applications. Nigam, Laabidi, and their teams propose MATLAB-based hybrid renewable energy system models integrating wind, solar, and hydro-energy sources for hydrogen production, which solves the solution of intermittency but also increases the system’s overall cost [4,12]. This paper builds on their research by proposing, defining, and simulating a power system for the Federal University of Technology Owerri (FUTO), where their proposed system is especially fitting due to the presence of a water body flowing through the school. The model also optimizes the system’s performance and evaluates its economic and environmental benefits. Although this model shows great promise, a new hydroelectric plant is infeasible in Owerri due to the uncertainty of local and political issues that may arise. A 2020 study proposes a novel hybrid particle swarm optimization algorithm to optimize the design of a PEM electrolysis system powered by renewable energy sources. Like in the current study, their optimization is carried out using a MATLAB-based model [7]. For optimum performance, multiple studies suggest powering a PEM electrolysis system with carefully sized and managed renewable energy sources. They consider wind and solar energy as input sources and evaluating the system’s performance in terms of the hydrogen production rate, energy efficiency, environmental impact, and economic feasibility [11,13,14,15,16,17].
Ulleberg used MATLAB to simulate a similar technology, an alkaline electrolyzer system, powered by solar energy. His simulations demonstrated that the system achieved high efficiency and could be used for hydrogen production in remote areas without grid power access [18]. Although Ulleberg’s work on alkaline electrolyzers highlights the challenges with traditional electrolysis technologies under variable power inputs, PEM electrolyzers offer distinct advantages for integration with RES due to their fast response times and ability to operate at high current densities, which allows them to adjust more readily to the intermittent nature of renewable power supplies [19,20]. This finding was corroborated by Rehmani et al., who indicated that local smart grid units with energy infrastructure were sufficient to integrate PEM technology without access to the national grid [21]. Khan et al. agree with this assessment, citing that PEM is also like other renewable energy systems despite it not possessing some of the thriving issues of intermittency [22]. Since grid infrastructure is unnecessary for the installation and efficiency of PEM electrolytes, the effective design of these units is not therefore dependent on smart infrastructure to operate [21]. However, their dependency on an electrical energy source makes the PEM electrolyzers vulnerable to the issues of RES. Grid power in Nigeria consists of three significant sections: the generation station, the transmission station, and the distribution station responsible for generating, transmitting, and distributing electricity in the country [23,24]. Within the grid, different factors have been outlined to be of interest in exploring newer and cleaner energy sources into the grid architecture, of which a PEM electrolyzer is an emerging technology for this purpose [23,25]. While the above-referenced studies look into the technological architectural development and deployment of PEM electrolyzers, very limited sources have been conducted to analyze the effective distribution of this energy source into energy systems for the sustainable operation of a power system [21,22].
Situmbeko investigates optimizing a PEM electrolyzer system using MATLAB and a genetic algorithm and successfully identified the different intricacies that surround the proper deployment of a PEM unit. The study demonstrated that using renewable energy sources such as wind and solar power could significantly improve the efficiency of the electrolyzer system [26]. In their 2019 research study, Hug et al. use MATLAB to simulate a PEM electrolyzer system powered by solar and wind energy. The study finds that combining these two renewable energy sources resulted in a more stable and reliable hydrogen production system [27]. Behzadi et al. similarly simulate a PEM electrolyzer system with renewable energy sources using MATLAB and Simulink [28]. Their study focuses on optimizing the electrolyzer system to reduce energy consumption and improve efficiency. Although most of the literature reviewed in this research study focuses on solely renewable sources in an isolated microgrid setting (no connection to the grid), such setups require that the systems be built from the beginning without existing grid infrastructure [28]. However, designing the system around the pre-existing grid is more economically ideal in cases where the grid already exists. The case study used in this research has a grid-connected system modeled to incorporate the different substation elements. These studies demonstrate the importance of modeling and optimizing such systems for efficient, clean, and economically viable hydrogen production. By integrating renewable energy sources into the electrolysis process, these systems contribute to environmental sustainability and support the transition toward a clean energy future [29,30].
Expanding on previous studies on PEM electrolyzers, this research study provides a novel model of a PEM system that incorporates a storage unit (hydrogen storage tank) and a PEM fuel cell. The PEM system integrates it into a grid-connected solar PV–wind turbine system. The system will use the energy obtained from renewable sources and the grid efficiently, prolonging the life of the PEM electrolyzer system, and reduce the grid electricity dependency. The research study also attempts to develop a model considering seasonal changes to ensure an efficient model is available throughout the year. This project follows in the footsteps of previous studies that use MATLAB and Simulink to model generation and energy management systems in microgrid sites of sub-Saharan Africa (whether islanded or grid-connected power systems) [31,32,33,34].

2. Materials and Methods

In the following sections, each model component will be looked at to give a critical overview of the processes and parameters used when designing the model. These components include the PV array generator, the wind turbine, the induction generator, the proton exchange membrane fuel cell, the electrolyzer engine, the prototype grid system, and the hydrogen storage tank as shown in Figure 2. A standard grid system with different renewables is modeled using MATLAB R2023a. The Transmission Company of Nigeria, Owerri Work Center substation schematics are used as the grid system prototype to give a realistic understanding of the system’s efficiency. Potential problems with the infrastructure of the transmission company are not considered but are assumed to be in good working order, e.g., regarding faulty occurrence, aging mechanisms, energy systems operations from independent control rooms, and different security mechanisms. Only the architecture, operational design (2/3) substation, and CB and CT calibrations are used including the supervisory control and data acquisition (SCADA) system. Operational efficiency in the detection of faults and the regulation of nominal grid data are also considered.

2.1. Research Site

The site selected for this research is the FUTO campus in Owerri, Nigeria. The Otamiri river flows through the school, which provides high-quality wind resources, making it a viable site for the proposed PV–wind model. The FUTO currently has eleven schools, over 20,000 students, and over 2500 staff [10]. The solar site has been part of the Nigerian government’s recent drive to develop off-grid systems for institutions of higher learning.

2.2. Load Estimation

The first step in the power system design is to compute load estimates. The public power supply to the FUTO is through an injection substation consisting of 3 × 2.5 MVA power transformers and 3 11 kV feeders (senate building, hostel, and academic). From the analysis obtained, out of the 7.5 MVA capacity of the transformer, the FUTO has a power consumption of 4.5 MVA, equivalent to 4.05 MW.
R e a l   p o w e r P = I V cos Ø
P = 4.5 × 10 6 × 0.9
P = 4.05   M W
The Figure 3 and Figure 4 below gives us an illustrative representation of the load consumption both in different locations and at varying times.

2.3. A Dynamic Model of PV Generator

The PV array block implements a collection of PV modules. Each string of the array is made up of modules connected in series, with the modules in each string being connected in parallel. The PV array block is a five-parameter model that employs a current source IL (light-generated current), a diode (I0 and n parameters), a series resistance Rs, and a shunt resistance Rsh to represent the temperature-dependent I–V characteristics of the modules that are affected by irradiance [36].
The dynamic model of a PV generator serves as a comprehensive framework for understanding and simulating the behavior of solar power systems over time. This model is essential for optimizing performance, predicting energy output, and ensuring the reliable integration of PV systems into the electrical grid. The shunt resistance required for a free DC-DC is dependent on different factors including the intensity of the sun or the Solar Irradiance Model, which requires different tools like a maximum power point tracking (MPPT) algorithm. This is used to effectively address the insufficiencies that may affect the overall effectiveness of the model. The intensity of sunlight at the FUTO is strong and enables effective conversion to take place, as attested by NASA data on the area’s solar irradiance (see Figure 5) [37]. The power output of the PV cells is as follows:
P o u t = ŋ × A × G
where
  • Pout: power output of the PV cell/module (W);
  • η: efficiency of the PV cell/module;
  • A: area of the PV cell/module (m2);
  • G: solar irradiance of the area (W/m2).
In the Solar Irradiance Model developed in this study, the variability of the Pout was considered if grid connection is to be viable. Several factors affecting PV efficiency, which has plagued most PV/PEM models, were considered and included in this PV–wind–PEM model. The model used in this research considers factors such as time of day, weather conditions, and seasonal changes, which are irregular in the FUTO, providing a foundation for understanding the dynamic nature of solar energy availability and its feasibility for grid applicability.

PV Model Considerations

Solar irradiance fluctuations directly influence the energy output of PV panels, making this a critical aspect of the dynamic model. In the dynamic model, temperature is another pivotal factor influencing PV panel efficiency. The temperature of operation is another part of the model to simulate the impact of temperature variations on the performance of PV panels, which in turn can affect the efficiency of the PEM electrolyzer model to be designed. Higher temperatures eventually lead to reduced efficiency, making it crucial to account for temperature changes in the model to accurately predict power generation. For instance, in the model, two temperatures were used (45 °C and 25 °C) together with the recorded irradiance of the case study. At a temperature of 45 °C, the PV system produced less voltage even at peak irradiance. The current produced remained constant. At 25 °C, the model produced a power of 5 MW with the system experiencing a 0.4 MW loss at a temperature of 45 °C at a 1000 W/m2 irradiation. This relationship between the PV temperature and efficiency can impact the overall PEM.
Khelfaoui et al. designed a PV/PEM model that identified that 60% of the hydrogen produced relies on 77% of PV efficiency. Their study emphasizes the PV/PEM coupling was found to give good results and high efficiency only if the system is working close to the MPPT of the solar PV cell and under direct coupling [38]. In the coupling shown in Figure 2, however, the essential factor of flexibility to be achieved in this model will be altered since the voltage of the PEM is to be integrated in comparison with those of the MPPT and the solar PV panel, which are dependent on different factors such as temperature. This limitation was overcome in the design of Khelfaoui et al. [38] by making the DC wiring more slender and more compatible with the system, which eradicates the effects of costs and the integrity of the system. The resulting system offers higher flexibility, and the DC wiring can be slender, cheaper, and more secure. It was also noted that the solar PV model generally has this issue addressed since modern DC/DC converters have a higher and desirable nominal efficiency, but it will require special control, which will make this model design more complex and more expensive, making it less responsive to real-time application in the case study area. Djafour et al. analyze the performance of solar PV cells, considering the variation in the ambient temperature and solar irradiation of specific areas where respective models are to be installed to combat this limitation [39]. In this regard, the MPPT was identified to be able to determine increases in the performance standards of the solar PV panels, and in turn capable of addressing inefficiencies in the solar PV-PEM electrolyzer models [40]. Noting that the irradiance level of the solar PV model has a considerable effect on the short-circuit current while the temperature impacts negatively on the open-circuit voltage [41], this study included the solar irradiance level (Figure 5) and temperature measurement in the model design. In turn, the relationship between the water inflow into the electrolyzer for the electrolysis and the accessible daylight amount is therefore determined by the variations in the short-circuit current in an open-circuit voltage [40]. Also, the amount of hydrogen produced (output of the PEM electrolyzer) is therefore affected by the factors that influence current production from the solar PV dynamic systems, which is directly related to the solar irradiation of the region in question, which can be addressed by the MPPT systems while increasing the costs and reducing the flexibility of the entire model [38,40].
The MPPT system (Figure 6) introduced into the setup is not only designed to adjust the solar PV panel to the point of maximum solar irradiation but also to adjust the entire solar dynamic system to environmental conditions in real time [38,39]. Moreover, the dynamic model addresses the system’s response to faults and disturbances. This model simulates protective devices and control mechanisms ensure the stability and safety of the PV system under various conditions. Robust control systems are implemented to regulate the voltage, frequency, and power flow, guaranteeing the reliability of the PV generation system with other utilities involved.
The dynamic model of a PV generator, therefore, is a comprehensive framework that captures the different factors influencing solar power generation. Factors such as solar irradiance and temperature to inverter efficiency and grid interaction have different ways of affecting the overall system design, efficiency, and operation. The model used in this study, often known as a single-diode model (SDM) or five-parameters model, provides a holistic view of the PV system (as shown in Figure 7 and Figure 8) behavior over time. This real-time observation ensures the PEM system operates at optimal efficiency and characterizes operation across different seasons and climatic variations. To this end, the model in this case study serves as a platform to experiment with the efficiency of the PEM electrolyzer. The wind power source helps make up for the shortcomings of the solar system since at low solar irradiation, higher winds have been recorded at the FUTO site. Table 1 shows the modelling parameters considered in the PV array system.
The diode I–V characteristics for a single module are defined by the following equations:
I d = I 0 [ exp V d V T 1 ]
V T = k T q × n I × N c e l l
where Id is the diode current, Vd is the diode voltage, I0 is the diode saturation current, n is the diode ideality factor (a number close to 1.0), q = 1.6 × 10−19 is an electron charge, k = 1.38 × 10−23 J/K is Boltzmann’s constant, T is the cell’s working temperature in Kelvin, and Ncell is the number of cells per module [36].

2.4. Dynamic Model of Wind Turbine

A wind turbine and an induction generator make up the wind turbine system. The wind turbine powers the rotor while the stator winding is directly linked to the grid. The induction generator transforms the wind energy into electrical energy, which is then delivered to the grid through the stator winding [42]. The dynamic model of a wind turbine is therefore a comprehensive representation that embodies the operation of mechanical, electrical, and control systems that elucidates the turbine’s behavior under varying environmental conditions [43]. The solar PV-PEM model has been the most common of the models designed and deployed in different settings due to the more popularized issues surrounding the use of solar PV units and the technologies designed to address them [36,40,42]. The wind turbine systems on the other hand have been more constrained in their development and consist of more inflexible parts compared to solar units. The reason for their limited use is also due to the unpredictability of the wind resource that is required to run the turbine system. At its core, the wind turbine’s mechanical model delineates the physical dynamics of the turbine, considering factors such as aerodynamic forces, inertia, and mechanical losses. These aerodynamic forces, which are determined by seasonal and purely unpredictable forces in some cases, are the key basis for the definite operation of the wind turbine systems. Modern research suggests that the wind movements strong enough to pull the turbine blade are mostly generated from areas higher than the sea levels or regions around water bodies [42]. The case study site (FUTO) has a river onsite with a wind speed of approximately 8 m/s, ideal for a wind turbine system (as shown in Figure 9) [42,43]. Parameters such as the moment of inertia and damping coefficients were not considered in this model, as they vary in different wind turbine system designs in practice [43].
Aside from the mechanical model, the electrical counterpart highlights the generator and its connection with the power grid. The grid in this sense being the Transmission Company of Nigeria (TCN), the electrical variations coming from the fluctuations in the core of the turbine influenced by the turbine ratio may affect energy stability within the grid. Vital parameters like the electrical characteristics, power electronics, and the influence of changing wind speeds on electrical output characterize the overall efficiency of the wind turbine systems. In the study of [44], the PEM electrolyzer system in the wind turbine model was affected by the fluctuation from the wind turbine shaft that affects its overall efficiency. In the design model, the factors can reduce the amount of energy produced and the intensity as well since a battery unit is not used [44]. Integral to the dynamic model of the wind turbine system is the inclusion of a sophisticated control system to assist in the effects of fluctuation and disturbances that can affect the system’s efficiency [10,44]. This control system optimizes the turbine’s performance by dynamically adjusting the pitch angle of the blades to maximize power capture, ensuring safe operation within specified limits. Controllers regulating the rotational speed or power output contribute to stability and responsiveness in the face of evolving wind conditions. This present model—as in Figure 10—therefore works with the assessment that in cases of high solar irradiation signaling a higher efficiency of the solar PV model, the wind intensity will be reduced, thereby making wind dynamics of more consideration and in cases of high wind, a corresponding low solar irradiation is anticipated. In this model, the wind speed data varied from 5.0 m/s to 9 m/s, resulting in high wind speeds unusual in the southeastern part of Nigeria due to the site being adjacent to the Otamiri River (see Figure 9 documenting NASA data for the FUTO site) [37].

2.5. Dynamic Model of TCN, Owerri Work Centre (Grid)

To approximate the effect of the Transmission Company of Nigeria (TCN) at the site, Owerri work center (132/33 kV) was used as the prototype grid system. The station comprises three power transformers, which include two 60 MVA transformers named TR1 and TR2 and a 40 MVA transformer named MOBITRA (Mobile Transformer) [31]. In Figure 11, based on the number of 132 kV high tension towers that span between the station, the Alaoji power plant, and transmission installations, the line distance is computed. The transmission station is a 2/3 switchyard, which means three isolators and circuit breaker units that work together to control and protect two transmission lines [31]. With equipment like current transformers, voltage transformers, and circuit breakers, the grid is sufficient to accommodate any power source that does not require any smart utility for operation and proper function [31]. The model to be developed will thus require the complete utility of the transmission station to both regulate the operation of the wind turbine model and ensure the proper functioning of the solar PV model that will define the overall efficiency of the PEM electrolyzer in producing hydrogen gas. The model will therefore consider the two energy sources (solar PV models and the wind turbine model) as the only energy sources in the grid and the PEM electrolyzer as the only output unit to form the model.

2.6. Dynamic Model of a PEM Electrolyzer

The separation of water molecules into hydrogen and oxygen gas is known as the electrolysis of water. Water electrolysis’s electrochemical process is described by the following:
H 2 O ( l i q u i d ) + e l e c t r i c a l   e n e r g y H 2 ( g a s ) + 1 2 O 2
Several studies’ mathematical equations are utilized to represent the PEM electrolyzer, with current serving as the primary source signal for the hydrogen synthesis. To start electrochemical reactions at both the anode and cathode electrodes, a minimum potential of 1.23 V (reversible voltage) is provided across the electrochemical cell [30].
Δ G = η F V r e v
V r e v = Δ G η F
V t n = Δ H 0 η F
η ˙ H 2 = I 2 F
η ˙ O 2 = I 4 F
η ˙ H 2 O = 1.25 I 2 F
where Δ G is the Gibbs free energy, which is equal to 237.178 kJ/K.mole, V t n is the thermoneutral voltage, is the number of electrons, F is the Faraday’s constant, and Δ H 0 is the high heating value (HHV), which is equal to 285.84 kJ/K.mole. The value of the reversible voltage and thermoneutral voltage of the cell may be computed since all the variables in Equations (6)–(10) are known. The values of the hydrogen generated from the setup in Figure 12, according to Equation (8), depend on the total current I in the cell [30].
Volume flowrate can be used to express hydrogen generation:
Q ˙ H = η ˙ H 2 m o l s × 3600   s 1   h × 0.022414   m 3 m o l = m 3 h
As indicated below, the hydrogen volume flowrate may be converted to L/min.
Q ˙ H = m 3 h × 1   h 60   m i n × 1000   L   1   m 3 = L m i n

2.7. Dynamic Model of a Hydrogen Storage Tank

Based on the link between the output power and the hydrogen requirements of the PEMFC system, the electrolyzer system’s output hydrogen is stored in the storage tank and later transferred to the PEMFC (as shown in Figure 13). The dynamic of the storage is determined in this investigation as follows:
P b P b i = z N H 2 × R T b M H 2 × V
where Pb is the tank’s pressure, N H 2 is the hydrogen gas produced by the electrolyzer, R is the Rydberg constant, Tb is the tank’s temperature, M H 2 is the hydrogen gas’s molecular mass, and V is the tank’s total volume. In our calculations, neither the compression dynamics nor the compression energy needs are taken into consideration. The dynamic model disregarded any auxiliary power requirements, including those for pumps and valves. Figure 7 shows the hydrogen storage model’s Simulink representation.

2.8. Dynamic Model of a PEM Fuel Cell

The fuel cell stack block implements a general model that has been parameterized to reflect the most common kinds of hydrogen and air-fueled fuel cell stacks (as shown in Figure 14). To maintain stability, the fuel cell in Figure 8 includes a flowrate regulator that is regulated by the current as a feedback mechanism [35]. This feedback mechanism serves to ensure optimum usage of the reactants, thereby increasing the efficiency and reliability of the fuel cell system.
In their brief review, Patil et al. claim that fuel cells have gradual performance degradation along with time, which influences their efficiency, output power, and service life, and thus the operating costs [45]. According to research works that focus on the degradation prediction of proton exchange membrane fuel cell performance based on a transformer model, degradation results as an effect of several combinations, such as catalyst layer degradation, which is the loss of the activity of the catalyst by platinum particles through either agglomeration or dissolution [45]. According to Patil et al., mechanical stress, chemical attack, and thermal cycling have been discovered to be responsible for the thinning or cracking of the proton-conductive membrane [45]. Gas diffusion layer degradation and contaminant build-up such as impurities in hydrogen and air streams are also concerns that affect the overall working operation of the system, due to their ability to change the porosity and hydrophobicity of the fuel cell, which hinders effective fuel, oxidant transport, poisons the catalyst, and blocks active sites [46,47].
To account for these and other similar effects, deterioration has been modeled as a time-dependent feature in the stack output voltage Eq.: the baseline voltage V will be written as follows:
V t = V 0 Δ V t
where
V0: voltage at nominal conditions.
ΔV(t): voltage drop due to degradation in time, modeled by an exponential decay function:
Δ V t = β 1 e α t
The parameters α and β are determined from empirical data and depend on operating conditions like the humidity, temperature, and load cycles.
Hydrogen storage can allow for the stabilization of fuel supply in PEM fuel cells, particularly under dynamic load conditions. Kim and Kim argued that a strict dynamic relation between hydrogen storage tanks and fuel cells should be guaranteed for reliable system operation [48]. The storage system should ensure a purity of 99.95% to avoid the poisoning of catalysts, directly impacting long-term performance [49]. The fuel cell operates at a nominal hydrogen supply pressure of 1.5 bar. A corresponding pressure regulator is fitted to the storage tank to provide a consistent feed and compensate for the depletion occurring from hydrogen consumption. Storage acts as a buffer during transient conditions, ensuring a steady flow of hydrogen and preventing voltage fluctuations [48].
An integrating approach couples the hydrogen storage system to the PEM fuel cell. The integration is presented in Figure 14, where the storage tank feeds hydrogen to the fuel cell through a controlled pipeline.

3. Results and Discussion

3.1. PV System Simulation Result

During the simulation, the PV system was connected to an inverter (and an inverter controller), which controlled the output of the panel by comparing the outcome of the grid so that the inverter is supplying when the grid is also supplying. Figure 15 shows how the solar irradiance of the PV panel, which begins at 800 W/m2, then falls to about 200 W/m2, before reaching a peak of 1000 W/m2, affects other parameters of the system.
The data provided in Figure 4 show the monthly average solar irradiance values, ranging from a low of 737.1 W/m2 (in August) to a high of 1000 W/m2 (in February). This irradiance variation reflects the seasonal pattern of solar resource availability in Owerri, where irradiance tends to be higher in certain months and lower in others, likely due to climatic patterns like rainy and dry seasons. The seasonal changes in irradiance are crucial for modelling PV system efficiency, as they directly impact the amount of energy the system can generate as shown in Figure 16. Figure 16 shows the need for a stable PV energy supply of 5MW to ensure overall grid stability. Without this factor in place, the resulting rate of change of frequency (RoCoF) could impact grid stability and PEM performance (Figure 17 and Figure 18).

3.2. PV Output Impact on System Performance and Load Support

The fluctuating PV power output has implications for meeting the energy demand of the PEM electrolyzer and any additional load. For instance,
-
Months with High Irradiance: Based on seasonal changes, certain months have consistently higher irradiance than other months. For example, February and November have the highest irradiance levels at 1000 W/m2 and 965.7, respectively. The higher PV power output in these months can be used to maximize hydrogen production through the electrolyzer or reduce reliance on the grid, thus keeping the supply constant, clean, and sustainable.
-
Months with Low Irradiance: In lower irradiance months (e.g., August with 737.1 W/m2), PV power output will be lower. Low irradiance months may require supplemental energy from the grid or wind sources to meet the load and ensure continuous operation of the electrolyzer.

3.3. Electrolyzer System Simulation Result

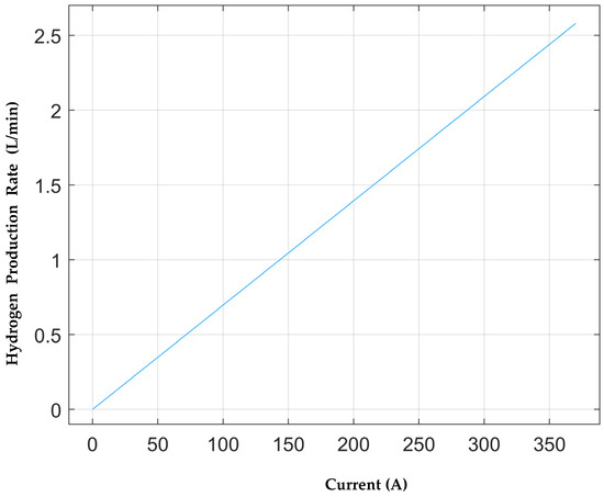
During simulation, we discovered that the rate of hydrogen production varies directly proportional to the current and the voltage of the system has little to no effect; as can been seen Figure 17 and Figure 18, the higher the current level, the higher the hydrogen produced, but a maximum value of about 400 A is considered safe.

3.4. Wind Output

The minimum and maximum of the monthly average wind speed given is 5.22 m/s for May, while the highest is 9.22 m/s for January, as seen in Figure 9. This is most likely a reflection of the seasonal variations in wind speeds in Owerri, which could be due to changes based on rainfall, temperature, and other climatic influences.
These variations need to be understood so that the wind power output could be predicted and the hybrid renewable energy system managed, since wind energy availability has a direct impact on the power supplied to both the electrolyzer and the load. This impact can be seen following the pattern shown in Figure 19.

3.5. Wind Turbine Impact on System Performance and Load Support

Variations in monthly wind speed directly impact the output of wind power and further influence the continuity in meeting the demand through hybrid renewable energy systems.
From the model, it could be observed that months with higher wind speed, i.e., during those months when it receives higher wind speeds, such as month 1 with a speed of 9.22 m/s and month 12 with 7.19 m/s, larger quantities of wind power are produced, as shown in Figure 20. This therefore reduces the consumption of extra energy from the grid or other sources. Low months of wind speed, say 5.22 m/s in month 5, for instance, would result in low output from the wind power and require strong reliance on either the PV system or backup from the grid to meet load demand.

4. Conclusions

This work details a novel simulation of a hybrid renewable energy system, combining solar PV panels and wind turbines with a PEM electrolyzer to present an onsite, clean hydrogen generation possibility at the FUTO. In this paper, we model the performance of the system using MATLAB software in different seasons due to the change in solar irradiance and wind speed. These simulation results indicate that the application of renewable energy sources for hydrogen production is feasible at the FUTO and communities with similar conditions. The relatively high solar irradiance in Owerri, Nigeria, and the moderate wind speeds enable a hybrid system where continuous energy demand for hydrogen production can be met. Seasonal variations show that although most months provide strong solar output, the wind can also supplement energy production, mainly during periods when the solar irradiance is not as great. The hybrid in this way minimizes dependence on the grid, reduces energy costs, and ensures reliability in supply for both the electrolyzer and other connected loads.

4.1. Environmental and Socio-Economic Potential

This could also mean great potential for environmental and socio-economic benefits, should such a system be implemented in the FUTO, its surrounding communities, and sub-Saharan African countries. Hydrogen powered through renewable production sources would reduce greenhouse gas emissions since it provides a clean source opposed to that from the combustion of fossil fuels. Locally produced hydrogen could then be used either for energy storage or also as fuel for local industry and transportation, hence potentially reducing carbon emissions from such activities. This clean energy initiative goes in tandem with the rest of the world’s actions against climate change, and its adoption could inspire similar projects across Nigeria and other African regions.
Beyond that, there are various other such renewable energy projects, with several added opportunities to open up this economic frontier while giving an added layer of energy security to their communities. This would, among other things, allow local communities to save money by reducing their reliance on expensive imported fossil fuels and thus free up financial resources for other pressing development needs, such as healthcare, education, and structural infrastructure. Knowledge and technical skills developed in the management of renewable systems can build local know-how, fostering job creation and further developing Nigeria’s renewables. This becomes particularly relevant in the African energy landscape, which has escalating demand for sustainable, reliable, and homegrown energy solutions. In addition to meeting demand from the populace, this pursuit of locally provided renewable energy serves the United Nations Sustainable Development Goals (SDGs), especially SDG 7 to “ensure access to affordable, reliable, sustainable and modern energy for all” [50].
To that end, this study investigates the viability of a hybrid solar- and wind-powered hydrogen production system, a workable model of decentralized, renewable energy production to reduce dependency on fossil fuels and contribute toward ensuring the energy access needs of several communities in Africa.
Implementation of the modeled system in Africa would not only assist in the continent’s shift to cleaner energy but also contribute toward sustainable economic growth, e.g., through job creation and community empowerment (assisted by higher resilience and energy security). In presenting renewables as feasible energy sources to produce green hydrogen, this paper provides a way in which African countries can address energy poverty and advance socio-economic development in a manner that would be beneficial toward global sustainability efforts.
This, therefore, provides the viability of renewable-powered hydrogen production at the FUTO and locations that are of similar characteristics. If carefully designed to be able to accommodate seasonal variability in solar and wind resources, this hybrid system would surely provide a sustainable, reliable, and environmentally clean solution for meeting local energy needs. Once this approach can provide one means of transition toward renewable energy, it fosters economic and social development of the community and collectively contributes toward a cleaner, resilient future.

4.2. Future Work

This study focused on simulating a renewable energy system that integrates photovoltaic (PV), wind, and grid systems into a PEM electrolyzer architecture using a MATLAB Simulink model. Moving forward, significant opportunities exist for the practical implementation of this system, particularly in sub-Saharan African countries. These regions possess abundant solar and wind resources that can be harnessed to drive PEM electrolyzers for green hydrogen production. However, inefficient and unreliable grid systems in these areas currently hinder energy access and stability. Future work will explore the development and deployment of this integrated system in real-world settings, addressing technical, economic, and infrastructural challenges. Emphasis in this development will be placed on optimizing energy management strategies to ensure reliable operation under intermittent renewable energy supply [51,52]. Additionally, research efforts can focus on enhancing system scalability, improving the durability of PEM electrolyzers, and evaluating the economic feasibility of such solutions to promote energy sustainability and resilience in sub-Saharan Africa.

Author Contributions

Conceptualization, M.C.A. and C.E.O.; methodology, M.C.A. and C.E.O.; software, M.C.A.; validation, C.E.O. and J.T.; formal analysis, M.C.A.; investigation, I.O.A.; resources, J.T.; data curation, J.T.; writing—original draft preparation, M.C.A. and C.E.O.; writing—review and editing, J.T.; visualization, C.E.O.; supervision, J.T. and I.O.A.; project administration, J.T.; funding acquisition, J.T. and C.E.O. All authors have read and agreed to the published version of the manuscript.

Funding

This research was funded by Carnegie Mellon University Africa (CMU-Africa). The APC was funded by Carnegie Mellon University Libraries and CMU-Africa.

Data Availability Statement

The original contributions presented in this study are included in the article. Further inquiries can be directed to the corresponding author.

Conflicts of Interest

Author Jesse Thornburg was employed by the Grid Fruit, LLC. The remaining authors declare that the research was conducted in the absence of any commercial or financial relationships that could be construed as a potential conflict of interest.

References

  1. Madaci, B.; Chenni, R.; Kurt, E.; Hemsas, K.E. Design and control of a stand-alone hybrid power system. Int. J. Hydrog. Energy 2016, 41, 12485–12496. [Google Scholar] [CrossRef]
  2. Dos Santos, F.; Thornburg, J.; Ustun, T.S. Automated planning of rooftop PV systems by aerial image processing. In Proceedings of the IEEE PES Asia-Pacific Power and Energy Engineering Conference, Kota Kinabalu, Malaysia, 7–10 October 2018. [Google Scholar]
  3. Folgado, F.J.; González, I.; Calderón, A.J. PEM Electrolyzer Digital Replica based on internal resistance determination applied to hydrogen energy storage. J. Energy Storage 2024, 75, 109694. [Google Scholar] [CrossRef]
  4. Nigam, A.; Sharma, K.K. Integration of Hybrid Energy Model with Solar PV, Hydro & Wind Turbine by Using MATLAB/Simulink. In Proceedings of the 2022 International Conference on Electronics and Renewable Systems (ICEARS), Online, 15 March 2022. [Google Scholar] [CrossRef]
  5. Hernández-Gómez, Á.; Ramirez, V.; Guilbert, D.; Saldivar, B. Cell voltage static-dynamic modeling of a PEM electrolyzer based on adaptive parameters: Development and experimental validation. Renew. Energy 2021, 163, 1508–1522. [Google Scholar] [CrossRef]
  6. Guilbert, D.; Vitale, G. Dynamic Emulation of a PEM Electrolyzer by Time Constant Based Exponential Model. Energies 2019, 12, 750. [Google Scholar] [CrossRef]
  7. Hassan, Q. Optimisation of solar-hydrogen power system for household applications. Int. J. Hydrog. Energy 2020, 45, 33111–33127. [Google Scholar] [CrossRef]
  8. Falcão, D.S.; Pinto, A.M.F.R. A review on PEM electrolyzer modelling: Guidelines for beginners. J. Clean. Prod. 2020, 261, 121184. [Google Scholar] [CrossRef]
  9. Yu, H.; Bonville, L.; Jankovic, J.; Maric, R. Microscopic insights on the degradation of a PEM water electrolyzer with ultra-low catalyst loading. Appl. Catal. B Environ. Energy 2019, 260, 118194. [Google Scholar] [CrossRef]
  10. Rahimi, S.; Meratizaman, M.; Monadizadeh, S.; Amidpour, M. Techno-economic analysis of wind turbine—PEM (polymer electrolyte membrane) fuel cell hybrid system in standalone area. Energy 2014, 67, 381–396. [Google Scholar] [CrossRef]
  11. Muhammad Lawan, S.; Azlan Wan Zainal Abidin, W. A Review of Hybrid Renewable Energy Systems Based on Wind and Solar Energy: Modeling, Design and Optimization. In Wind Solar Hybrid Renewable Energy System; IntechOpen: Rijeka, Croatia, 2020. [Google Scholar] [CrossRef]
  12. Laabidi, H.; Mami, A. Grid connected Wind-Photovoltaic hybrid system. In Proceedings of the 2015 5th International Youth Conference on Energy (IYCE), Online, 27–30 May 2015. [Google Scholar] [CrossRef]
  13. Khouya, A. Hydrogen production costs of a polymer electrolyte membrane electrolysis powered by a renewable hybrid system. Int. J. Hydrog. Energy 2021, 46, 14005–14023. [Google Scholar] [CrossRef]
  14. Artuso, P. Production of hydrogen via an electrolyser fed by PV cells: Simulation model. In Hysydays: 1st World Congress of Young Scientists on Hydrogen Energy Systems; Begell House: Danbury, CT, USA, 2023. [Google Scholar] [CrossRef]
  15. Tochigi, S.; Dowaki, K. Environmental Impact Assessment of PEM Fuel Cell Combined Heat and Power Generation System for Residential Application Considering Cathode Catalyst Layer Degradation. Energies 2023, 16, 1985. [Google Scholar] [CrossRef]
  16. Peighambardoust, S.J.; Rowshanzamir, S.; Amjadi, M. Review of the proton exchange membranes for fuel cell applications. Int. J. Hydrog. Energy 2010, 35, 9349–9384. [Google Scholar] [CrossRef]
  17. Rajalakshmi, N.; Balaji, R.; Ramakrishnan, S. Recent developments in hydrogen fuel cells: Strengths and weaknesses. In Sustainable Fuel Technologies Handbook; Elsevier: Amsterdam, The Netherlands, 2021; pp. 431–456. [Google Scholar]
  18. Ulleberg, O. Modeling of advanced alkaline electrolyzers: A system simulation approach. Int. J. Hydrog. Energy 2003, 28, 21–33. [Google Scholar] [CrossRef]
  19. Barbir, F. PEM electrolysis for production of hydrogen from renewable energy sources. Sol. Energy 2005, 78, 661–669. [Google Scholar] [CrossRef]
  20. Carmo, M.; Fritz, D.L.; Mergel, J.; Stolten, D. A comprehensive review on PEM water electrolysis. Int. J. Hydrog. Energy 2013, 38, 4901–4934. [Google Scholar] [CrossRef]
  21. Rehmani, M.H.; Reisslein, M.; Rachedi, A.; Erol-Kantarci, M.; Radenkovic, M. Integrating renewable energy resources into the smart grid: Recent developments in information and communication technologies. IEEE Trans. Ind. Inform. 2018, 14, 2814–2825. [Google Scholar] [CrossRef]
  22. Khan, T.; Yu, M.; Waseem, M. Review on recent optimization strategies for hybrid renewable energy system with hydrogen technologies: State of the art, trends and future directions. Int. J. Hydrog. Energy 2022, 47, 25155–25201. [Google Scholar] [CrossRef]
  23. Leahy, P.; Olowosejeje, S.; Morrison, A. The economic cost of unreliable grid power in Nigeria. Afr. J. Sci. Technol. Innov. Dev. 2019, 11, 149–159. [Google Scholar]
  24. Owebor, K.; Diemuodeke, E.O.; Briggs, T.A.; Imran, M. Power Situation and renewable energy potentials in Nigeria—A case for integrated multi-generation technology. Renew. Energy 2021, 177, 773–796. [Google Scholar] [CrossRef]
  25. Vincent, E.N.; Yusuf, S.D. Integrating renewable energy and smart grid technology into the Nigerian electricity grid system. Smart Grid Renew. Energy 2014, 5, 84–92. [Google Scholar] [CrossRef]
  26. Situmbeko, S.M. Towards a Sustainable Energy Future for Sub-Saharan Africa. In Energy Management for Sustainable Development; IntechOpen: Rijeka, Croatia, 2018. [Google Scholar] [CrossRef]
  27. Hug, W.; Divisek, J.; Mergel, J.; Seeger, W.; Steeb, H. Highly efficient advanced alkaline electrolyzer for solar operation. Int. J. Hydrog. Energy 1992, 17, 699–705. [Google Scholar] [CrossRef]
  28. Behzadi, A.; Alirahmi, S.M.; Yu, H.; Sadrizadeh, S. An efficient renewable hybridization based on hydrogen storage for peak demand reduction: A rule-based energy control and optimization using machine learning techniques. J. Energy Storage 2023, 57, 106168. [Google Scholar] [CrossRef]
  29. Nnabuife, S.G.; Hamzat, A.K.; Whidborne, J.; Kuang, B.; Jenkins, K.W. Integration of renewable energy sources in tandem with electrolysis: A technology review for green hydrogen production. Int. J. Hydrog. Energy 2024, 49, 11678–11692. [Google Scholar] [CrossRef]
  30. Mohammadi, A.; Mehrpooya, M. A comprehensive review on coupling different types of electrolyzer to renewable energy sources. Energy 2018, 158, 632–655. [Google Scholar] [CrossRef]
  31. Gerald, O.; Chinedu, A. Load Forecasting Investigation for Efficient Photovoltaic Design in Owerri Metropolis. Int. J. Electr. Electron. Eng. 2023, 10, 106–113. [Google Scholar] [CrossRef]
  32. Thornburg, J.; Krogh, B.H. Simulating energy management strategies for microgrids with smart meter demand management. In Proceedings of the IEEE PES PowerAfrica Conference, Accra, Ghana, 27–30 June 2017; pp. 600–605. [Google Scholar]
  33. Thornburg, J.; Krogh, B.H.; Ustun, T.S. Stochastic simulator for smart microgrid planning. In Proceedings of the 7th Annual Symposium on Computing for Development (ACM DEV ‘16), Nairobi, Kenya, 18–20 November 2016; Association for Computing Machinery: New York, NY, USA, 2016; pp. 1–4. [Google Scholar]
  34. Thornburg, J.; Krogh, B.H. A tool for assessing demand-side management and operating strategies for isolated microgrids. Energy Sustain. Dev. 2021, 64, 15–24. [Google Scholar] [CrossRef]
  35. Opara, R.; Oba, E.; Iroegbu, C. Development of Improved Institutional Distribution Network System for Seamless Energy Integration in Federal University of Technology Owerri, Nigeria. Niger. J. Eng. Sci. Res. 2021, 7, 25–33. [Google Scholar]
  36. MathWorks. PV Array—Implement PV Array Modules. Simulink. Available online: https://www.mathworks.com/help/sps/powersys/ref/pvarray.html?searchHighlight=pv&s_tid=srchtitle_support_results_6_pv (accessed on 11 November 2024).
  37. NASA Power|DAV. Available online: https://power.larc.nasa.gov/data-access-viewer/ (accessed on 17 November 2024).
  38. Khelfaoui, N.; Djafour, A.; Ghenai, C.; Laib, I.; Danoune, M.B.; Gougui, A. Experimental investigation of solar hydrogen production PV/PEM electrolyser performance in the Algerian Sahara regions. Int. J. Hydrog. Energy 2021, 46, 30524–30538. [Google Scholar] [CrossRef]
  39. Djafour, A.; Aida, M.S.; Azoui, B. Photovoltaic assisted fuel cell power systems. Energy Procedia 2014, 50, 306–313. [Google Scholar] [CrossRef]
  40. Clarke, D.P.; Al-Abdeli, Y.M.; Kothapalli, G. The impact of renewable energy intermittency on the operational characteristics of a stand-alone hydrogen generation system with on-site water production. Int. J. Hydrog. Energy 2013, 38, 12253–12265. [Google Scholar] [CrossRef]
  41. Mohamed, B.; Ali, B.; Ahmed, B.; Ahmed, B.; Salah, L.; Rachid, D. Study of hydrogen production by solar energy as tool of storing and utilization renewable energy for the desert areas. Int. J. Hydrog. Energy 2016, 41, 20788–20806. [Google Scholar] [CrossRef]
  42. Alsabah, M.A.; Hasanah, R.N.; Wijono, W.; Martineac, C. Analysis of rotor-side control and grid-side controls for grid voltage improvement in a DFIG-based wind turbine system. J. EECCIS (Electr. Electron. Commun. Control. Inform. Syst.) 2023, 17, 53–58. [Google Scholar] [CrossRef]
  43. Anyanwu, E.E.; Iwuagwu, C.J. Wind characteristics and energy potentials for Owerri, Nigeria. Renew. Energy 1995, 6, 125–128. [Google Scholar] [CrossRef]
  44. Fakehi, A.H.; Ahmadi, S.; Mirghaed, M.R. Optimization of operating parameters in a hybrid wind–hydrogen system using energy and exergy analysis: Modeling and case study. Energy Convers. Manag. 2015, 106, 1318–1326. [Google Scholar] [CrossRef]
  45. Patil, V.; Reshmi, P.V.; Prajna, S.; Haleshappa, D.; Jayarama, A.; Pinto, R. Degradation mechanisms in PEM fuel cells: A brief review. Mater. Today Proc. 2023, in press. [Google Scholar] [CrossRef]
  46. Chu, T.; Wang, Q.; Xie, M.; Wang, B.; Yang, D.; Li, B.; Ming, P.; Zhang, C. Investigation of the reversible performance degradation mechanism of the PEMFC stack during long-term durability test. Energy 2022, 258, 124747. [Google Scholar] [CrossRef]
  47. Qasem, N.A.A. A recent overview of proton exchange membrane fuel cells: Fundamentals, applications, and advances. Appl. Therm. Eng. 2024, 252, 123746. [Google Scholar] [CrossRef]
  48. Kim, J.; Kim, T. Compact PEM fuel cell system combined with all-in-one hydrogen generator using chemical hydride as a hydrogen source. Appl. Energy 2015, 160, 945–953. [Google Scholar] [CrossRef]
  49. PEM Fuel Cell. Hyfindr, February 2023. Available online: https://hyfindr.com/en/hydrogen-knowledge/pem-fuel-cell (accessed on 9 December 2024).
  50. United Nations. Resolution Adopted by the General Assembly on 25 September 2015, Transforming Our World: The 2030 Agenda for Sustainable Development; A/RES/70/1; United Nations: New York, NY, USA, 2015. [Google Scholar]
  51. Thornburg, J. A Tool for Probabilistic Evaluation of Microgrid Operating Strategies with Demand Side Management. Ph.D. Thesis, Carnegie Mellon University, Pittsburgh, PA, USA, December 2018. [Google Scholar]
  52. Thornburg, J.A. A Probabilistic Tool for Modeling Smart Microgrids with Renewable Energy and Demand Side Management. In Proceedings of the International Conference on Computational Intelligence and Sustainable Engineering Solutions (CISES), Greater Noida, India, 20–21 May 2022; pp. 188–195. [Google Scholar] [CrossRef]
Figure 2. Model of the FUTO system including the hybrid PV–wind–PEM electrolyzer.
Figure 2. Model of the FUTO system including the hybrid PV–wind–PEM electrolyzer.
Energies 18 00208 g002
Figure 3. FUTO load consumption across the different buildings [35].
Figure 3. FUTO load consumption across the different buildings [35].
Energies 18 00208 g003
Figure 4. FUTO load demand over a 24 h time frame [35].
Figure 4. FUTO load demand over a 24 h time frame [35].
Energies 18 00208 g004
Figure 5. Monthly average solar irradiance of Owerri, Nigeria in 2022.
Figure 5. Monthly average solar irradiance of Owerri, Nigeria in 2022.
Energies 18 00208 g005
Figure 6. MPPT model with duty cycle for regulating PV’s varying voltage.
Figure 6. MPPT model with duty cycle for regulating PV’s varying voltage.
Energies 18 00208 g006
Figure 7. Circuit diagram of the PV array [36].
Figure 7. Circuit diagram of the PV array [36].
Energies 18 00208 g007
Figure 8. PV generator connected to a buck DC converter and an inverter.
Figure 8. PV generator connected to a buck DC converter and an inverter.
Energies 18 00208 g008
Figure 9. Monthly average wind speed at 50 m height over one year in Owerri, Nigeria.
Figure 9. Monthly average wind speed at 50 m height over one year in Owerri, Nigeria.
Energies 18 00208 g009
Figure 10. Wind turbine and induction generator.
Figure 10. Wind turbine and induction generator.
Energies 18 00208 g010
Figure 11. Simulink model of Owerri 132/33 KV transmission station.
Figure 11. Simulink model of Owerri 132/33 KV transmission station.
Energies 18 00208 g011
Figure 12. Simulink model of a PEM electrolyzer.
Figure 12. Simulink model of a PEM electrolyzer.
Energies 18 00208 g012
Figure 13. Simulink model of a PEM electrolyzer tank.
Figure 13. Simulink model of a PEM electrolyzer tank.
Energies 18 00208 g013
Figure 14. Dynamic model of the fuel cell system.
Figure 14. Dynamic model of the fuel cell system.
Energies 18 00208 g014
Figure 15. PV system output.
Figure 15. PV system output.
Energies 18 00208 g015
Figure 16. Comparison between PV and inverter output.
Figure 16. Comparison between PV and inverter output.
Energies 18 00208 g016
Figure 17. Graph of hydrogen production rate vs. electrical current.
Figure 17. Graph of hydrogen production rate vs. electrical current.
Energies 18 00208 g017
Figure 18. The 5 MW fuel cell power, voltage, and current. The fuel cell with the PV–wind turbine system supplies the needed power despite varying irradiance and wind speed.
Figure 18. The 5 MW fuel cell power, voltage, and current. The fuel cell with the PV–wind turbine system supplies the needed power despite varying irradiance and wind speed.
Energies 18 00208 g018
Figure 19. Average wind speed and wind turbine outputs over twelve months: turbine electrical power output (Te), voltage (v), pitch angle (wr), and total power (P) including mechanical.
Figure 19. Average wind speed and wind turbine outputs over twelve months: turbine electrical power output (Te), voltage (v), pitch angle (wr), and total power (P) including mechanical.
Energies 18 00208 g019
Figure 20. Wind turbine real power output and reactive power output.
Figure 20. Wind turbine real power output and reactive power output.
Energies 18 00208 g020
Table 1. Nominal values of modeling parameters of the PV array [36].
Table 1. Nominal values of modeling parameters of the PV array [36].
S/NParametersValue
1Maximum power (Pmax)315.072 W
2Cells per module (Ncell)96
3Open-circuit voltage (Voc)64.6 V
4Short-circuit current (Isc)6.2 A
5The voltage at maximum power point (Vmp)54.7 V
6Current at maximum power point (Imp)5.82 A
7Parallel strings1763
8Series-connected modules per string9
9Nominal operating cell temperature25 °C
Disclaimer/Publisher’s Note: The statements, opinions and data contained in all publications are solely those of the individual author(s) and contributor(s) and not of MDPI and/or the editor(s). MDPI and/or the editor(s) disclaim responsibility for any injury to people or property resulting from any ideas, methods, instructions or products referred to in the content.

Share and Cite

MDPI and ACS Style

Ahaotu, M.C.; Ogbogu, C.E.; Thornburg, J.; Akwukwaegbu, I.O. Simulation of PEM Electrolyzer Power Management with Renewable Generation in Owerri, Nigeria. Energies 2025, 18, 208. https://doi.org/10.3390/en18010208

AMA Style

Ahaotu MC, Ogbogu CE, Thornburg J, Akwukwaegbu IO. Simulation of PEM Electrolyzer Power Management with Renewable Generation in Owerri, Nigeria. Energies. 2025; 18(1):208. https://doi.org/10.3390/en18010208

Chicago/Turabian Style

Ahaotu, MacMatthew C., Chisom E. Ogbogu, Jesse Thornburg, and Isdore Onyema Akwukwaegbu. 2025. "Simulation of PEM Electrolyzer Power Management with Renewable Generation in Owerri, Nigeria" Energies 18, no. 1: 208. https://doi.org/10.3390/en18010208

APA Style

Ahaotu, M. C., Ogbogu, C. E., Thornburg, J., & Akwukwaegbu, I. O. (2025). Simulation of PEM Electrolyzer Power Management with Renewable Generation in Owerri, Nigeria. Energies, 18(1), 208. https://doi.org/10.3390/en18010208

Note that from the first issue of 2016, this journal uses article numbers instead of page numbers. See further details here.

Article Metrics

Back to TopTop