Thermal Performance Analysis of Nanofluids for Heat Dissipation Based on Fluent
Abstract
1. Introduction
2. Model Development and Validation
2.1. Physical Model
2.2. Mathematical Model
2.2.1. Assumptions and Scope of the Model
2.2.2. Model Boundary Conditions and Calculation Method Settings
- (1)
- The inlet boundary is set as a velocity inlet with a temperature of 299.5 K;
- (2)
- The outlet boundary is set with a pressure of standard atmospheric pressure;
- (3)
- The bottom surface is fixed with a heat flux density of 10,000 W/m2, and no-slip boundary conditions are applied to the walls;
- (4)
- The SIMPLE algorithm is used for solving the equations.
2.2.3. Calculation of Nanofluid Physical Property Parameters
2.3. Model Validation
2.3.1. Subsubsection
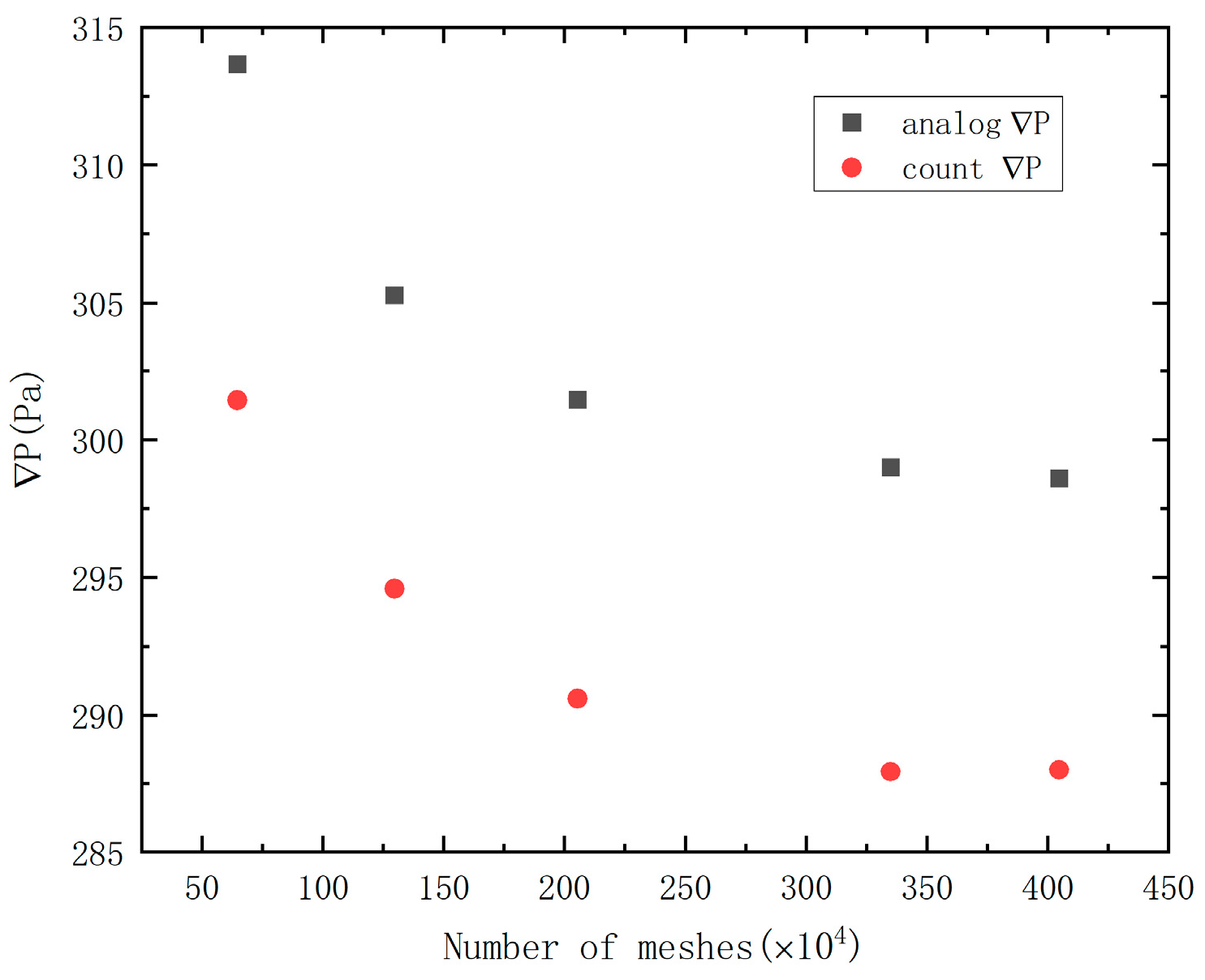
2.3.2. Model Accuracy Verification
2.4. Parameter Definitions
3. Results and Analysis
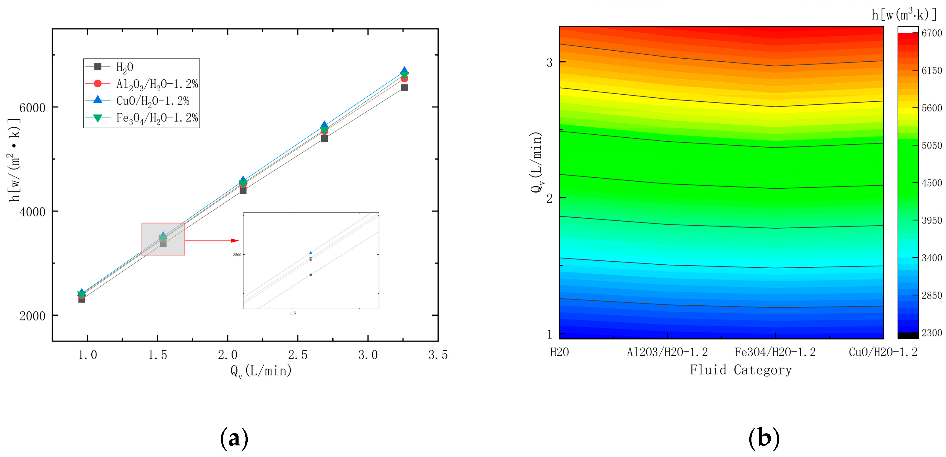
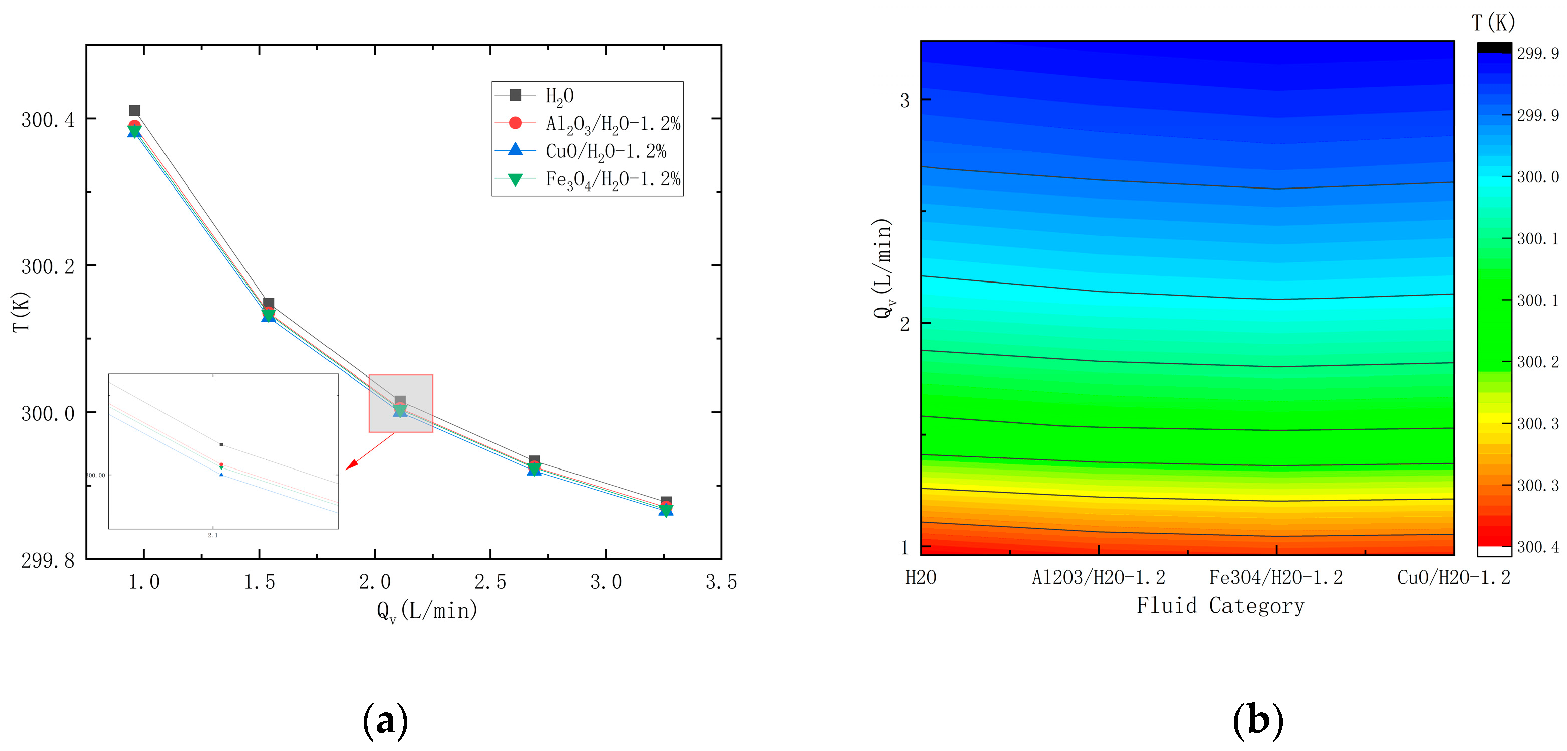
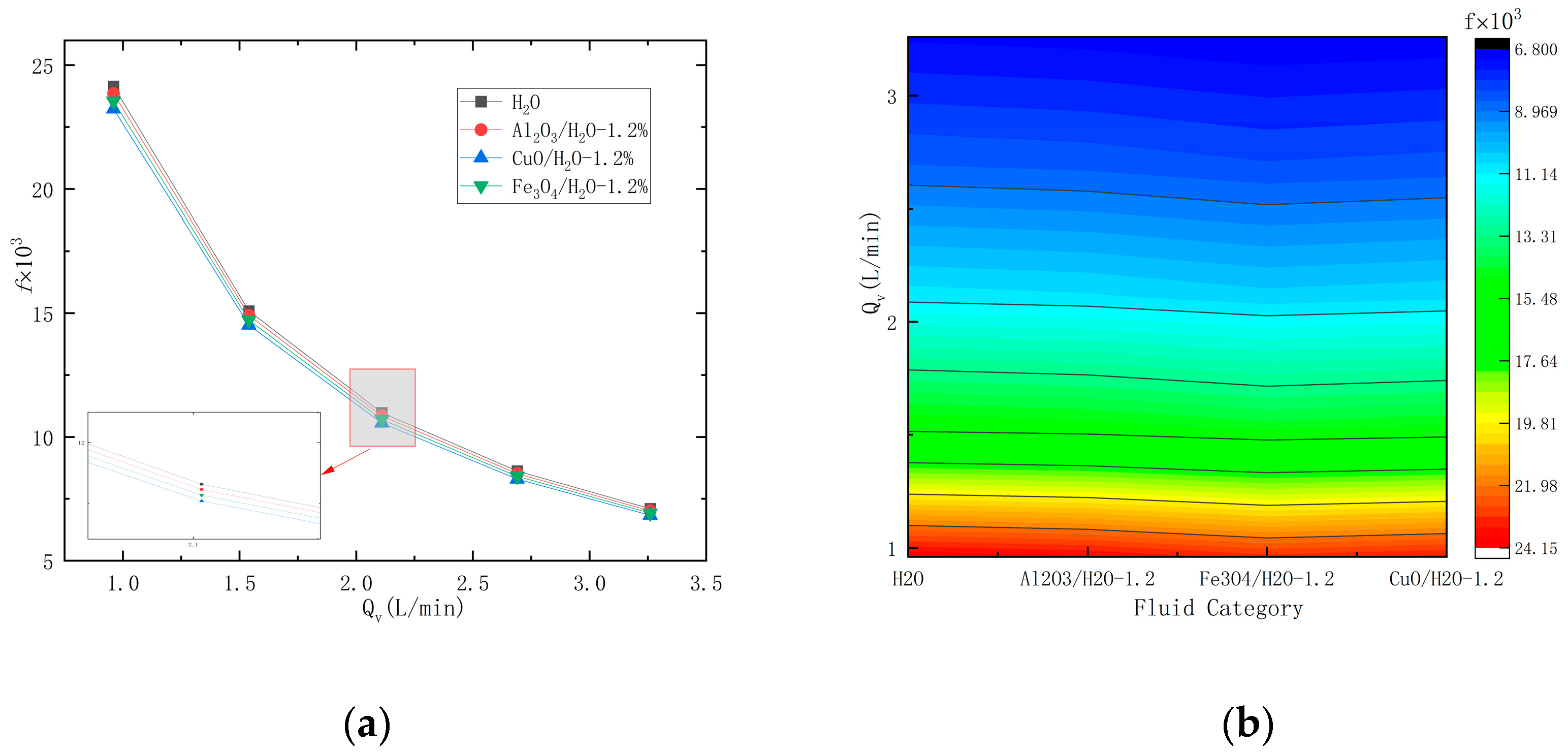
3.1. Effect of Different Types of Nanofluids on Flow and Heat Transfer Performance
3.2. Effect of Different Nanoparticle Concentrations on Flow and Heat Transfer Performance
4. Discussion
- (1)
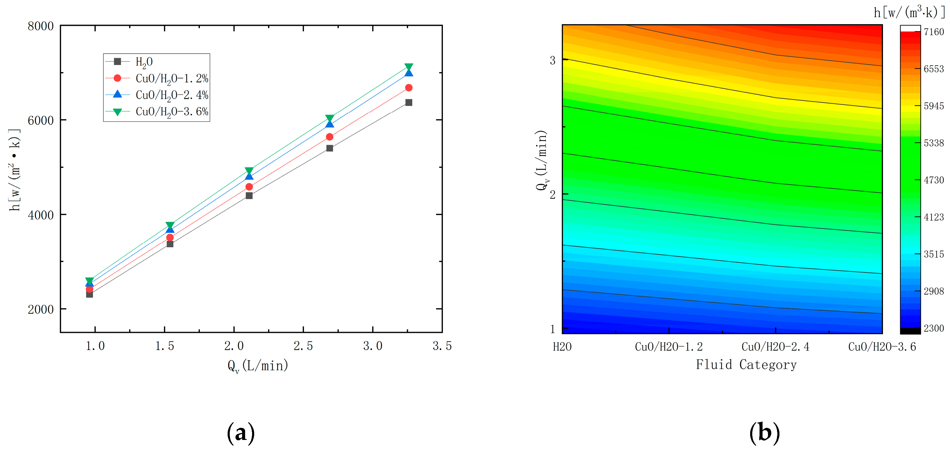
- The effect of flow velocity on heat transfer performance: As flow velocity increases, the convective heat transfer coefficient and Nusselt number for different types of cooling fluids exhibit a linear growth trend, with an accelerating growth rate. This phenomenon can be attributed to the enhanced turbulence intensity caused by higher flow velocities, which thins the thermal boundary layer and promotes energy and momentum mixing. Consequently, the efficiency of convective heat transfer is improved, leading to a rapid increase in both the convective heat transfer coefficient and Nusselt number.
- (2)
- Comparison of heat transfer performance among different nanofluids: At the same concentration, CuO-H2O nanofluid demonstrates superior heat transfer performance compared to other cooling fluids, while Al2O3-H2O, due to its relatively poor particle dispersion, fails to surpass pure water in heat transfer effectiveness. The likely reason is that the high thermal conductivity and excellent dispersion of CuO-H2O contribute to its outstanding performance, whereas the particle agglomeration and poor dispersion of Al2O3-H2O hinder its ability to significantly enhance thermal conductivity.
- (3)
- Effect of concentration on the performance of nanofluids: With an increase in the volume fraction of CuO-H2O nanofluid, the convective heat transfer coefficient exhibits an upward trend. At a concentration of 3.6%, the heat transfer efficiency improves by 12.91% compared to pure water. However, at higher concentrations (e.g., 2.4% and 3.6%), a decrease in the Nusselt number is observed. The likely explanation is that at low concentrations, nanoparticles enhance thermal conductivity and heat transfer performance. In contrast, at higher concentrations, the increased viscosity inhibits fluid flow, leading to a reduction in the Nusselt number.
- (4)
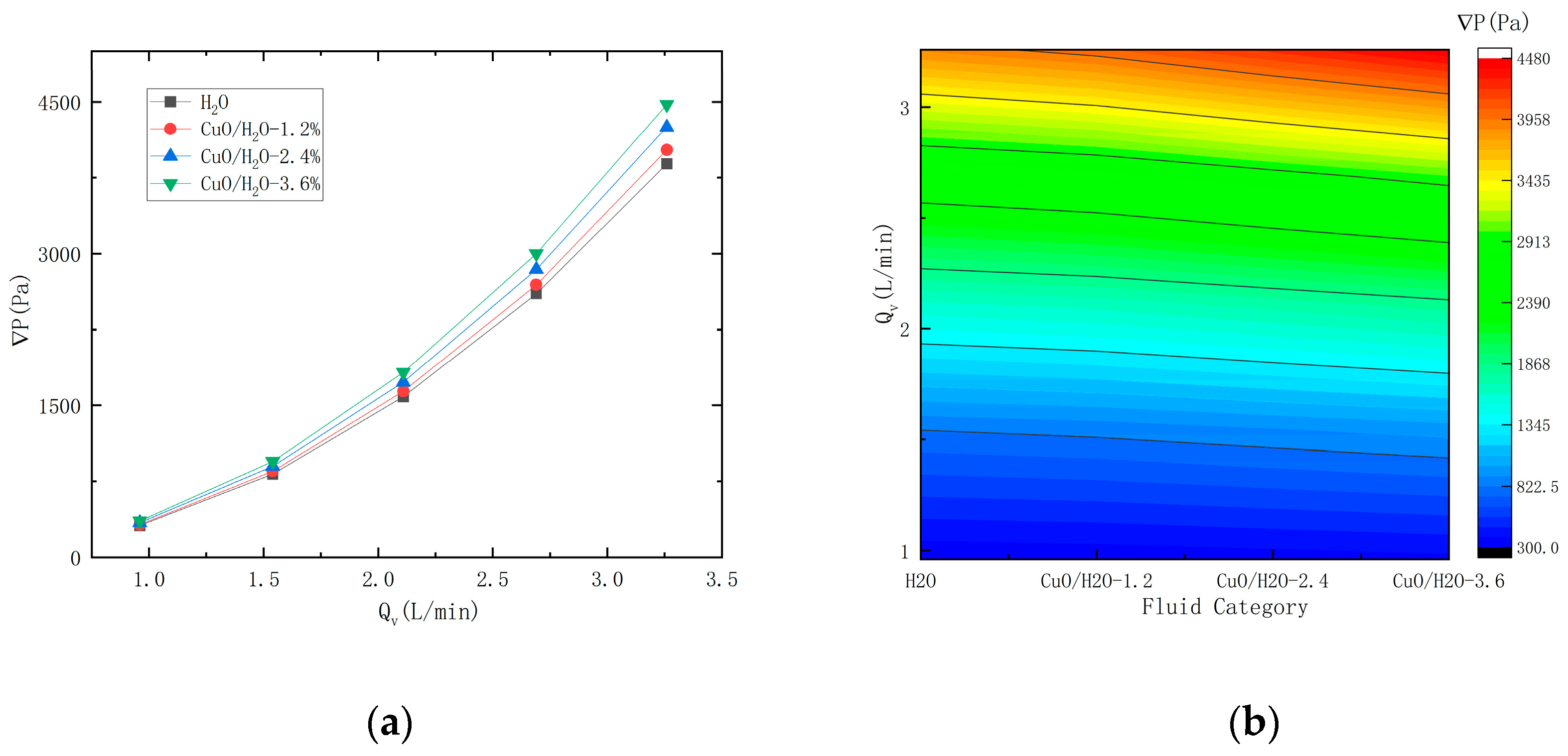
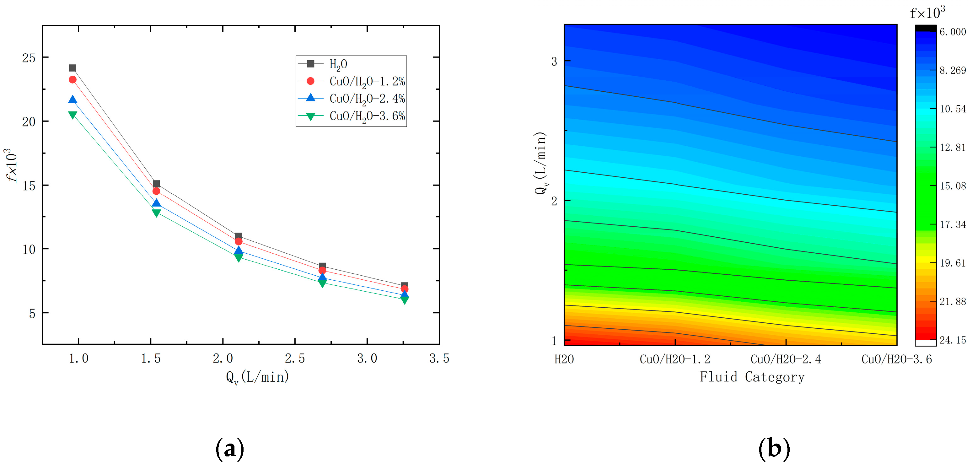
- Effect of flow velocity on pressure drop and frictional resistance: As flow velocity increases, the pressure drop and friction factor of nanofluids are significantly higher than those of pure water, particularly for CuO-H2O nanofluid, indicating the pronounced impact of particle density and distribution on flow resistance. However, increasing flow rate contributes to a reduction in the friction factor, thereby improving flow performance. This can be attributed to the intensified wall shear stress and resistance caused by higher flow velocities, coupled with the notable influence of nanoparticle density and distribution on flow resistance. At higher flow velocities, the friction factor decreases, enhancing overall flow performance.
- (5)
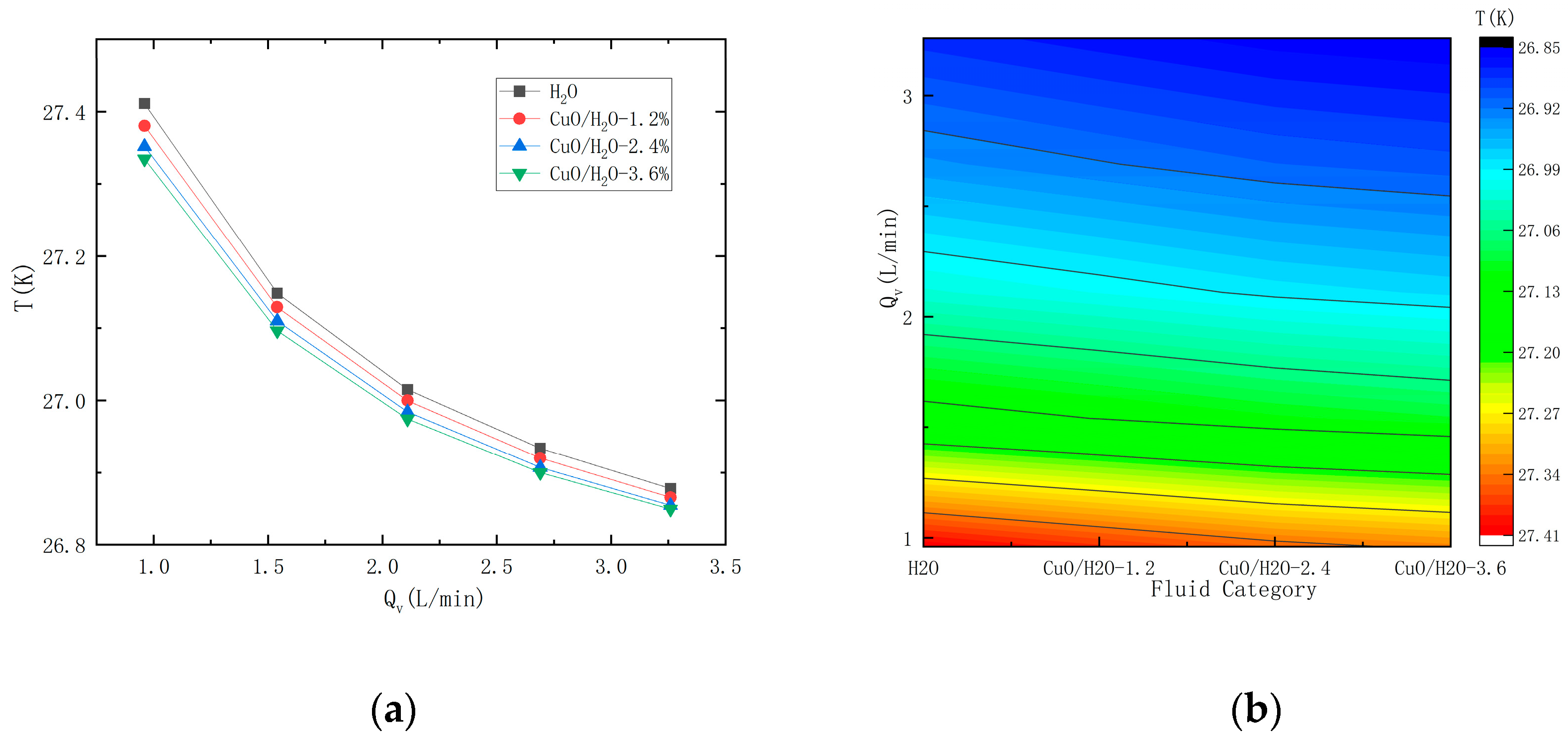
- Relationship between wall temperature variation and flow velocity: As flow velocity increases, the wall temperature of the heat exchanger gradually decreases, and a higher CuO concentration significantly lowers the wall temperature, indicating that nanofluids effectively enhance thermal conduction efficiency. However, at excessively high flow velocities, the wall temperature difference tends to stabilize. The likely explanation is that higher flow velocities intensify heat transfer, reducing the wall temperature. However, when the flow velocity becomes too high, the temperature gradient stabilizes, limiting further improvements in heat transfer performance.
5. Outlook
Author Contributions
Funding
Data Availability Statement
Conflicts of Interest
References
- Wen, D.; Lin, G.; Vafaei, S.; Zhang, K. Review of nanofluids for heat transfer applications. Particuology 2009, 7, 141–150. [Google Scholar] [CrossRef]
- Sarkar, J.; Ghosh, P.; Adil, A. A review on hybrid nanofluids: Recent research, development and applications. Renew. Sustain. Energy Rev. 2015, 43, 164–177. [Google Scholar] [CrossRef]
- Lenin, R.; Joy, P.A.; Bera, C. A review of the recent progress on thermal conductivity of nanofluids. J. Mol. Liq. 2021, 338, 116929. [Google Scholar] [CrossRef]
- Tuckerman, D.B.; Pease, R.F.W. High-performance heat sinking for VLSI. IEEE Electron Device Lett. 1981, 2, 126–129. [Google Scholar] [CrossRef]
- Guo, Z.Y. Current Hotspots in the International Heat Transfer Field—Cooling of Microelectronic Devices; China Science Fundation: Beijing, China, 1988; Volume 2, pp. 20–25. [Google Scholar] [CrossRef]
- Zhang, J.X.; Hou, Z.Q. Application of CPL technology in spacecraft. J. Eng. Thermophys. 2001, 3, 340–343. [Google Scholar]
- Sajid, M.U.; Ali, H.M. Thermal conductivity of hybrid nanofluids: A critical review. Int. J. Heat Mass Transf. 2018, 126, 211–234. [Google Scholar] [CrossRef]
- Sundar, L.S.; Ramana, E.V.; Graça, M.; Singh, M.K.; Sousa, A.C. Nanodiamond-Fe3O4 nanofluids: Preparation and measurement of viscosity, electrical and thermal conductivities. Int. Commun. Heat Mass Transf. 2016, 73, 62–74. [Google Scholar] [CrossRef]
- Wen, Y.H.; Zhu, R.Z.; Zhou, F.X.; Wang, C.Y. Main techniques of molecular dynamics simulation. Prog. Mech. 2003, 33, 65–73. [Google Scholar]
- Narankhishig, Z.; Ham, J.; Lee, H.; Cho, H. Convective heat transfer characteristics of nanofluids including the magnetic effect on heat transfer enhancement—A review. Appl. Therm. Eng. 2021, 193, 116987. [Google Scholar] [CrossRef]
- Choi, S.U.S.; Eastman, J.A. Enhancing Thermal Conductivity of Fluids with Nanoparticles: ANL/MSD/CP-84938; CONF-951135-29; Argonne National Lab. (ANL): Argonne, IL, USA, 1995. Available online: https://www.osti.gov/biblio/196525 (accessed on 9 October 2023).
- Ge, Z.C. Numerical simulation study of forced convection characteristics of Cu-H2O nanofluid in a microchannel. Mater. Dev. Appl. 2020, 5, 18–26. [Google Scholar] [CrossRef]
- Nejad, A.S.; Barzoki, M.F.; Rahmani, M.; Kasaeian, A.; Hajinezhad, A. Simulation of the heat transfer performance of Al2O3–Cu/water binary nanofluid in a homogeneous copper metal foam. J. Therm. Anal. Calorim. 2022, 147, 12495–12512. [Google Scholar] [CrossRef]
- Chakraborty, S.; Panigrahi, P.K. Stability of nanofluids: A review. Appl. Therm. Eng. 2020, 174, 115259. [Google Scholar] [CrossRef]
- Wu, J.; Hou, J.; Ma, L.; Huang, L.; Hao, N. Research progress on nanofluids for battery thermal management. Chin. J. Eng. 2024, 46, 1498–1508. [Google Scholar] [CrossRef]
- Li, J.; Zhang, H. Progress in the application of nanofluids in electronic cooling. Energy Res. Inf. 2022, 38, 117–123. [Google Scholar]
- Bin Harun, M.A.; Gunnasegaran, P.A.; Sidik, N.A.C.; Beriache, M.; Ghaderian, J. Experimental investigation and optimization of loop heat pipe performance with nanofluids. J. Therm. Anal. Calorim. 2021, 144, 1435–1449. [Google Scholar] [CrossRef]
- Bazdar, H.; Toghraie, D.; Pourfattah, F.; Akbari, O.A.; Nguyen, H.M.; Asadi, A. Numerical investigation of turbulent flow and heat transfer of nanofluid inside a wavy microchannel with different wavelengths. J. Therm. Anal. Calorim. 2020, 139, 2365–2380. [Google Scholar] [CrossRef]
- Ho, C.; Peng, J.-K.; Yang, T.-F.; Rashidi, S.; Yan, W.-M. On the assessment of the thermal performance of microchannel heat sink with nanofluid. Int. J. Heat Mass Transf. 2023, 201, 123572. [Google Scholar] [CrossRef]
- Aydin, D.Y.; Gürü, M.; Sözen, A.; Çiftçi, E. Investigation of the effects of base fluid type of the nanofluid on heat pipe performance. Proc. Inst. Mech. Eng. Part A J. Power Energy 2021, 235, 124–138. [Google Scholar] [CrossRef]
- Coşkun, T.; Çetkin, E. Heat transfer enhancement in a microchannel heat sink: Nanofluids and/or micro pin fins. Heat Transf. Eng. 2020, 41, 1818–1828. [Google Scholar] [CrossRef]
- Awais, A.A.; Kim, M.H. Experimental and numerical study on the performance of a minichannel heat sink with different header geometries using nanofluids. Appl. Therm. Eng. 2020, 171, 115125. [Google Scholar] [CrossRef]
- Manay, E. Experimental investigation of mixed convection heat transfer of ferrite-based nanofluids in multiple microchannels. Heat Mass Transf. 2019, 55, 533–546. [Google Scholar] [CrossRef]
- Zhang, X.; Zhang, Y.; Yang, C.; Liu, J.; Liu, B.; Zhou, Z. Study of flow and heat transfer performance of nanofluids in curved microchannels with different curvatures. Numer. Heat Transf. Part A Appl. 2024, 2, 8–10. [Google Scholar] [CrossRef]
- Apmann, K.; Fulmer, R.; Scherer, B.; Good, S.; Wohld, J.; Vafaei, S. Nanofluid Heat Transfer: Enhancement of the Heat Transfer Coefficient inside Microchannels. Nanomaterials 2022, 12, 615. [Google Scholar] [CrossRef]
- Guo, X.; Yang, M.; Li, F.; Zhu, Z.; Cui, B. Investigation on Cryogenic Cavitation Characteristics of an Inducer Considering Thermodynamic Effects. Energies 2024, 17, 3627. [Google Scholar] [CrossRef]
- Tan, Y.; Ni, Y.; Wu, J.; Li, L.; Tan, D. Machinability evolution of gas–liquid-solid three-phase rotary abrasive flow finishing. Int. J. Adv. Manuf. Technol. 2024, 131, 2145–2164. [Google Scholar] [CrossRef]
- Baranovskii, E.S. The Stationary Navier–Stokes–Boussinesq System with a Regularized Dissipation Function. Math. Notes 2024, 115, 670–682. [Google Scholar] [CrossRef]
- Baranovskii, E.S.; Shishkina, O.Y. Generalized Boussinesq System with Energy Dissipation: Existence of Stationary Solutions. Mathematics 2024, 12, 756. [Google Scholar] [CrossRef]
- Steinke, M.E.; Kandlikar, S.G. Single-phase liquid friction factors in microchannels. Int. J. Therm. Sci. 2006, 45, 1073–1083. [Google Scholar] [CrossRef]
- Chao, H.; Wang, Y.; Sun, X.; Sun, Y.; Yan, F.; Liu, H. Study on Flow and Heat Transfer Characteristics of Different Nanofluids in Microchannels. Low Temp. Supercond. 2023, 4, 25–32. [Google Scholar] [CrossRef]














| Physical Parameter | Al2O3 | CuO | Fe3O4 |
|---|---|---|---|
| ρ (kg/m3) | 3950 | 6500 | 5200 |
| cp (J/(kg·k)) | 765 | 540 | 670 |
| K (w/(m·k)) | 35 | 25 | 9.7 |
Disclaimer/Publisher’s Note: The statements, opinions and data contained in all publications are solely those of the individual author(s) and contributor(s) and not of MDPI and/or the editor(s). MDPI and/or the editor(s) disclaim responsibility for any injury to people or property resulting from any ideas, methods, instructions or products referred to in the content. |
© 2025 by the authors. Licensee MDPI, Basel, Switzerland. This article is an open access article distributed under the terms and conditions of the Creative Commons Attribution (CC BY) license (https://creativecommons.org/licenses/by/4.0/).
Share and Cite
Xu, J.; Shang, Z.; Qing, S. Thermal Performance Analysis of Nanofluids for Heat Dissipation Based on Fluent. Energies 2025, 18, 204. https://doi.org/10.3390/en18010204
Xu J, Shang Z, Qing S. Thermal Performance Analysis of Nanofluids for Heat Dissipation Based on Fluent. Energies. 2025; 18(1):204. https://doi.org/10.3390/en18010204
Chicago/Turabian StyleXu, Junqiang, Zemin Shang, and Shan Qing. 2025. "Thermal Performance Analysis of Nanofluids for Heat Dissipation Based on Fluent" Energies 18, no. 1: 204. https://doi.org/10.3390/en18010204
APA StyleXu, J., Shang, Z., & Qing, S. (2025). Thermal Performance Analysis of Nanofluids for Heat Dissipation Based on Fluent. Energies, 18(1), 204. https://doi.org/10.3390/en18010204
