Improving Fuel Consumption Prediction for Marine Diesel Engines Using Hierarchical Neural Networks and Pulsating Exhaust Models
Abstract
1. Introduction
2. Materials and Methods
2.1. Experimental Setup
2.2. Experiment Protocol
2.3. 1D Detailed Engine Model
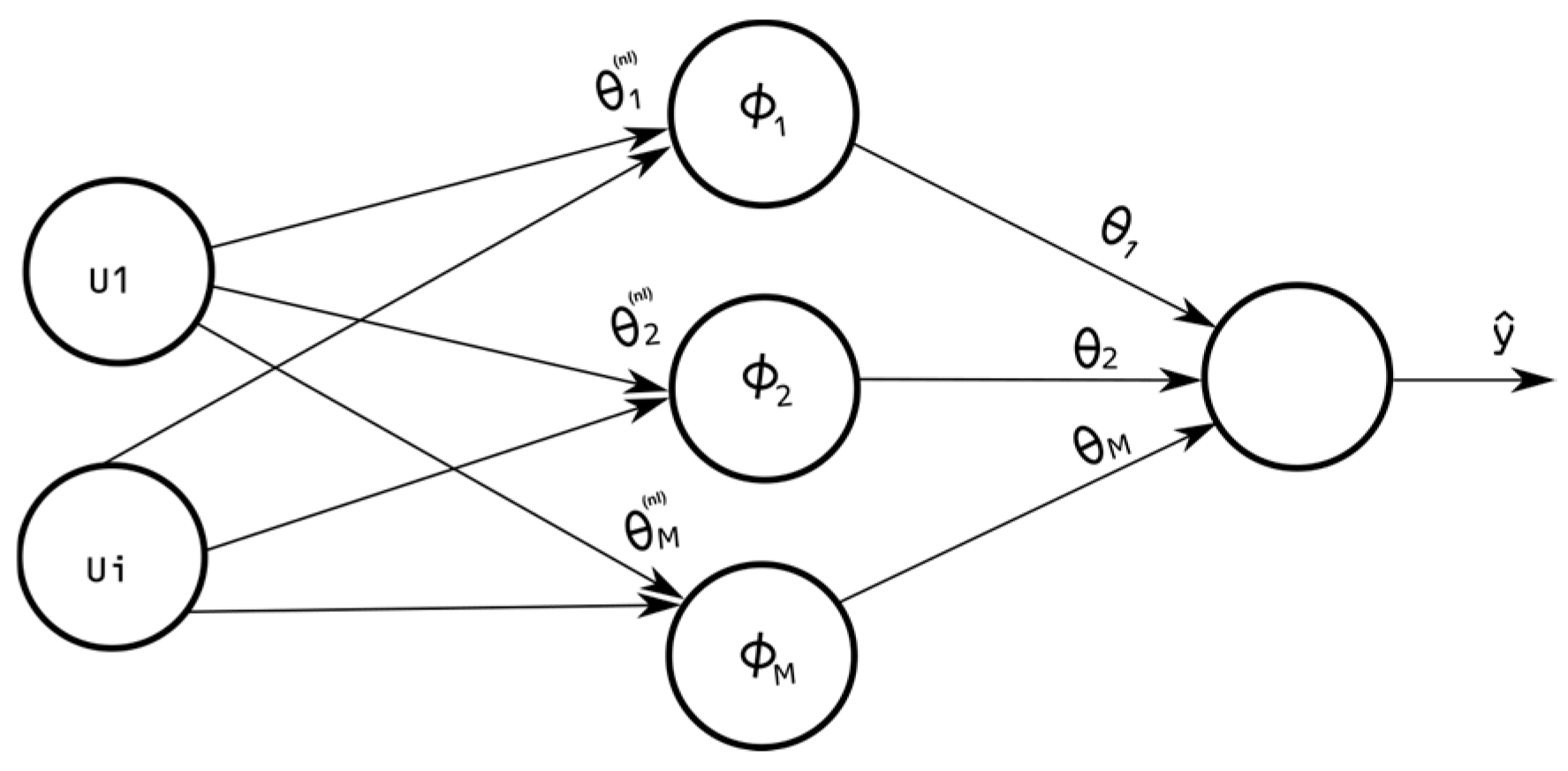
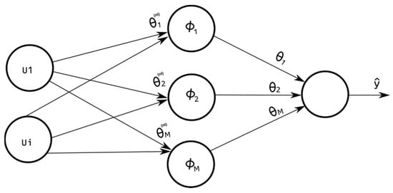
2.4. Engine Metamodel Layout Description
2.5. Surface-Response Method
2.5.1. MLP-Metamodel
2.5.2. Hierarchical Artificial Neuron Networks (HNNs) Arrangement Metamodel
3. Results
3.1. Training Results
3.2. Cross-Validation Results and Comparison of Metamodels
4. Discussion
4.1. Error Reduction Due to Pulsating Mass Flow Rate
4.2. Error Reduction Due to Hierarchical Layer Arrangement
5. Conclusions
Author Contributions
Funding
Data Availability Statement
Acknowledgments
Conflicts of Interest
Abbreviations
| AFRtrapped | Air-to-fuel ratio trapped inside the closed cylinder |
| ANN | Artificial Neural Network |
| BSFC | Brake-specific fuel consumption [g/kWh] |
| CA | Crank angle |
| DOE | Design of Experiments |
| ECU | Electronic Control Unit |
| EVC | Exhaust valve closing shifter value |
| EVO | Exhaust valve opening shifter value |
| HNN | Hierarchical Neural Network |
| ICE | Internal combustion engine |
| ISO | International Standardization Office |
| IVC | Intake valve closing shifter value |
| IVO | Intake valve opening shifter value |
| Reference length of the element | |
| MLP | Multi-layer perceptron |
| Turbine speed [rpm] | |
| Brake power [kW] | |
| Mean-value of pressure waves | |
| RMSE | Root-mean squared error |
| ROM | Reduced-Order Modeling |
| RPM | Revolutions per minute |
| SAE | Society of Automotive Engineers |
| SOI | Start of injection |
| Strouhal number | |
| TDC | Top dead center |
| Amplitude of pressure waves | |
| Mass flow rate of air | |
| Mass flow rate of fuel | |
| Mass flow rate of exhaust gases, instantaneous value | |
| Mass flow rate of exhaust gases, mean value | |
| Heat capacity ratio | |
| Unsteadiness criterion | |
| Pressure amplitude weighting factor | |
| Instantaneous simulated time | |
| Period of the pressure wave inside the element | |
| Instantaneous crank angle | |
| Average speed of the pressure wave along the element |
Appendix A


References
- Schilders, W. Introduction to model order reduction. In Model Order Reduction: Theory, Research Aspects and Applications; Springer: Berlin/Heidelberg, Germany, 2008; pp. 3–32. [Google Scholar]
- Choroszucha, R.B.; Sun, J.; Butts, K. Closed-loop model order reduction and MPC for diesel engine airpath control. In Proceedings of the 2015 American Control Conference (ACC), Chicago, IL, USA, 1–3 July 2015; IEEE: Piscataway, NJ, USA, 2015; pp. 3279–3284. [Google Scholar]
- Stockar, S.; Canova, M.; Guezennec, Y. Model-order reduction for prediction of pressure wave propagation dynamics in the IC engine air path system. In Proceedings of the 2013 American Control Conference, Washington, DC, USA, 17–19 June 2013; IEEE: Piscataway, NJ, USA, 2013; pp. 5201–5206. [Google Scholar]
- Parlak, A.; Islamoglu, Y.; Yasar, H.; Egrisogut, A. Application of artificial neural network to predict specific fuel consumption and exhaust temperature for a diesel engine. Appl. Therm. Eng. 2006, 26, 824–828. [Google Scholar] [CrossRef]
- Togun, N.K.; Baysec, S. Prediction of torque and specific fuel consumption of a gasoline engine by using artificial neural networks. Appl. Energy 2010, 87, 349–355. [Google Scholar] [CrossRef]
- Boruah, D.; Thakur, P.K.; Baruah, D. Artificial neural network based modelling of internal combustion engine performance. Int. J. Eng. Res. Technol. 2016, 5, 568–576. [Google Scholar]
- Boz, T.; Unel, M.; Aran, V.; Yilmaz, M.; Gurel, C.; Bayburtlu, C.; Koprubasi, K. Diesel engine NOx emission modeling with airpath input channels. In Proceedings of the IECON 2015—41st Annual Conference of the IEEE Industrial Electronics Society, Yokohama, Japan, 9–12 November 2015; IEEE: Piscataway, NJ, USA, 2015; pp. 003382–003387. [Google Scholar]
- Mohammadhassani, J.; Khalilarya, S.; Solimanpur, M.; Dadvand, A. Prediction of NOx emissions from a direct injection diesel engine using artificial neural network. Model. Simul. Eng. 2012, 2012, 830365. [Google Scholar]
- Salam, S.; Verma, T.N. Appending empirical modelling to numerical solution for behaviour characterisation of microalgae biodiesel. Energy Convers. Manag. 2019, 180, 496–510. [Google Scholar] [CrossRef]
- Ghobadian, B.; Rahimi, H.; Nikbakht, A.; Najafi, G.; Yusaf, T. Diesel engine performance and exhaust emission analysis using waste cooking biodiesel fuel with an artificial neural network. Renew. Energy 2009, 34, 976–982. [Google Scholar] [CrossRef]
- Kumar, S.; Pai, P.S.; Rao, B.S. Artificial neural network based prediction of performance and emission characteristics of a variable compression ratio CI engine using WCO as a biodiesel at different injection timings. Appl. Energy 2011, 88, 2344–2354. [Google Scholar]
- Arumugam, S.; Sriram, G.; Subramanian, P.S. Application of artificial intelligence to predict the performance and exhaust emissions of diesel engine using rapeseed oil methyl ester. Procedia Eng. 2012, 38, 853–860. [Google Scholar] [CrossRef]
- Rezaei, J.; Shahbakhti, M.; Bahri, B.; Aziz, A.A. Performance prediction of HCCI engines with oxygenated fuels using artificial neural networks. Appl. Energy 2015, 138, 460–473. [Google Scholar] [CrossRef]
- Cho, J.; Song, S. Prediction of hydrogen-added combustion process in T-GDI engine using artificial neural network. Appl. Therm. Eng. 2020, 181, 115974. [Google Scholar] [CrossRef]
- Cervantes-Bobadilla, M.; Escobar-Jiménez, R.F.; Gómez-Aguilar, J.F.; García-Morales, J.; Olivares-Peregrino, V.H. Experimental study on the performance of controllers for the hydrogen gas production demanded by an internal combustion engine. Energies 2018, 11, 2157. [Google Scholar] [CrossRef]
- Cervantes-Bobadilla, M.; García-Morales, J.; Escobar-Jiménez, R.; Hernández-Pérez, J.; Gómez-Aguilar, J.; Olivares-Peregrino, V. Experimental implementation of a new control approach using an inverse neural network to on-demand hydrogen production. Control Eng. Pract. 2020, 105, 104631. [Google Scholar] [CrossRef]
- Yap, W.K.; Ho, T.; Karri, V. Exhaust emissions control and engine parameters optimization using artificial neural network virtual sensors for a hydrogen-powered vehicle. Int. J. Hydrogen Energy 2012, 37, 8704–8715. [Google Scholar] [CrossRef]
- Mehra, R.K.; Duan, H.; Luo, S.; Rao, A.; Ma, F. Experimental and artificial neural network (ANN) study of hydrogen enriched compressed natural gas (HCNG) engine under various ignition timings and excess air ratios. Appl. Energy 2018, 228, 736–754. [Google Scholar] [CrossRef]
- Ho, T.; Karri, V. Basic tuning of hydrogen powered car and artificial intelligent prediction of hydrogen engine characteristics. Int. J. Hydrogen Energy 2010, 35, 10004–10012. [Google Scholar] [CrossRef]
- Syed, J.; Baig, R.U.; Algarni, S.; Murthy, Y.S.; Masood, M.; Inamurrahman, M. Artificial Neural Network modeling of a hydrogen dual fueled diesel engine characteristics: An experiment approach. Int. J. Hydrogen Energy 2017, 42, 14750–14774. [Google Scholar] [CrossRef]
- Yusri, I.; Majeed, A.A.; Mamat, R.; Ghazali, M.; Awad, O.I.; Azmi, W. A review on the application of response surface method and artificial neural network in engine performance and exhaust emissions characteristics in alternative fuel. Renew. Sustain. Energy Rev. 2018, 90, 665–686. [Google Scholar] [CrossRef]
- Hoang, A.T.; Nižetić, S.; Ong, H.C.; Tarelko, W.; Le, T.H.; Chau, M.Q.; Nguyen, X.P. A review on application of artificial neural network (ANN) for performance and emission characteristics of diesel engine fueled with biodiesel-based fuels. Sustain. Energy Technol. Assess. 2021, 47, 101416. [Google Scholar]
- Zhao, J.; Xu, M.; Li, M.; Wang, B.; Liu, S. Design and optimization of an Atkinson cycle engine with the Artificial Neural Network Method. Appl. Energy 2012, 92, 492–502. [Google Scholar] [CrossRef]
- Cavazzuti, M. Optimization Methods: From Theory to Design Scientific and Technological Aspects in Mechanics; Springer Science & Business Media: Berlin/Heidelberg, Germany, 2012. [Google Scholar]
- Zhao, J.; Ma, Y.; Zhang, Z.; Wang, S.; Wang, S. Optimization and matching for range-extenders of electric vehicles with artificial neural network and genetic algorithm. Energy Convers. Manag. 2019, 184, 709–725. [Google Scholar] [CrossRef]
- Zhou, G.; Liu, R.; Zhang, Z.; Yang, C.; Ding, H. Optimization of diesel engine dual-variable geometry turbocharger regulated two-stage turbocharging system based on radial basis function neural network-quantum genetic algorithm. Energy Sources Part A Recovery Util. Environ. Eff. 2021, 1–17. [Google Scholar] [CrossRef]
- Nelles, O. Nonlinear System Identification; IOP Publishing: Bristol, UK, 2002. [Google Scholar]
- Mavrovouniotis, M.L.; Chang, S. Hierarchical neural networks. Comput. Chem. Eng. 1992, 16, 347–369. [Google Scholar] [CrossRef]
- Wang, F.; Devabhaktuni, V.K.; Zhang, Q.-J. A hierarchical neural network approach to the development of a library of neural models for microwave design. IEEE Trans. Microw. Theory Tech. 1998, 46, 2391–2403. [Google Scholar] [CrossRef]
- Sharkey, A.J.C. On combining artificial neural nets. Connect. Sci. 1996, 8, 299–314. [Google Scholar] [CrossRef]
- Jansen, W.J.; Diepenhorst, M.; Nijhuis, J.; Spaanenburg, L. Assembling engineering knowledge in a modular multi-layer perceptron neural network. In Proceedings of the International Conference on Neural Networks (ICNN’97), Houston, TX, USA, 12 June 1997; IEEE: Piscataway, NJ, USA, 1997; Volume 1, pp. 232–237. [Google Scholar]
- Lendaris, G.G.; Rest, A.; Misley, T.R. Improving ANN generalization using a priori knowledge to pre-structure ANNs. In Proceedings of the International Conference on Neural Networks (ICNN’97), Houston, TX, USA, 12 June 1997; IEEE: Piscataway, NJ, USA, 1997; Volume 1, pp. 248–253. [Google Scholar]
- Sediako, A.D.; Andric, J.; Sjoblom, J.; Faghani, E. Heavy Duty Diesel Engine Modeling with Layered Artificial Neural Network Structures; SAE Technical Paper; SAE International: Warrendale, PA, USA, 2018. [Google Scholar]
- Cong, Q.; Yu, W.; Chai, T. Cascade process modeling with mechanism-based hierarchical neural networks. Int. J. Neural Syst. 2010, 20, 1–11. [Google Scholar] [CrossRef]
- Salazar, A.A.; Salameh, G.; Chesse, P.; Bulot, N.; Thevenoux, Y. Impact of Optimization Variables on Fuel Consumption in Large Four-Stroke Diesel Marine Engines with Electrically Divided Turbochargers. Machines 2024, 12, 926. [Google Scholar] [CrossRef]
- Xavier, T.; Cyril, R.; Simon, P.; Pascal, C.; Georges, S. A New Simulation-Based Methodology to Improve Medium-Speed Diesel Engines BSFC/NOx Tradeoff With an Optimized Air Charging System. J. Eng. Gas Turbines Power 2023, 145, 011009. [Google Scholar] [CrossRef]
- ISO 8178-4; Reciprocating Internal Combustion Engines—Exhaust Emission Measurement—Part 4: Steady-State and Transient Test Cycles for Different Engine Applications. ISO: Geneva, Switzerland, 2020.
- Jung, D.; Assanis, D.N. Multi-zone DI diesel spray combustion model for cycle simulation studies of engine performance and emissions. SAE Trans. 2001, 110, 1510–1532. [Google Scholar]
- Hatz, R.; Zhou, H.; Diez, C.; Wachtmeister, G.; Jaensch, M. Investigation and Comparison of the Prediction Capabilities of Multiple 0D/1D Combustion Calibration Strategies Using Different Turbocharger Systems as Calibration Basis; SAE Technical Paper; SAE International: Warrendale, PA, USA, 2022. [Google Scholar]
- Stoumpos, S.; Theotokatos, G.; Boulougouris, E.; Vassalos, D.; Lazakis, I.; Livanos, G. Marine dual fuel engine modelling and parametric investigation of engine settings effect on performance-emissions trade-offs. Ocean Eng. 2018, 157, 376–386. [Google Scholar] [CrossRef]
- GT-Suite. Engine Performance Application Manual; Gamma Technologies: Westmont, IL, USA, 2023. [Google Scholar]
- Watson, N.; Janota, M. Turbocharging the Internal Combustion Engine; Macmillan International Higher Education: London, UK, 1982. [Google Scholar]
- Li, R.; Huang, Y.; Li, G.; Han, K.; Song, H. Calibration and validation of a mean value model for turbocharged diesel engine. Adv. Mech. Eng. 2013, 5, 579503. [Google Scholar] [CrossRef]
- Copeland, C.; Newton, P.; Martinez-Botas, R.; Seiler, M. A comparison of timescales within a pulsed flow turbocharger turbine. In Proceedings of the 10th International Conference on Turbochargers and Turbocharging, London, UK, 15–16 May 2012; pp. 389–404. [Google Scholar]
- Amorim, W.P.; Falcão, A.X.; Papa, J.P.; Carvalho, M.H. Improving semi-supervised learning through optimum connectivity. Pattern Recognit. 2016, 60, 72–85. [Google Scholar] [CrossRef]
- de Nola, F.; Giardiello, G.; Gimelli, A.; Molteni, A.; Muccillo, M.; Picariello, R. Volumetric efficiency estimation based on neural networks to reduce the experimental effort in engine base calibration. Fuel 2019, 244, 31–39. [Google Scholar] [CrossRef]
- Ristow Hadlich, R.; Loprete, J.; Assanis, D. A Deep Learning Approach to Predict In-Cylinder Pressure of a Compression Ignition Engine. J. Eng. Gas Turbines Power 2024, 1–12. [Google Scholar] [CrossRef]
- Liu, J.; Huang, Q.; Ulishney, C.; Dumitrescu, C.E. Machine learning assisted prediction of exhaust gas temperature of a heavy-duty natural gas spark ignition engine. Appl. Energy 2021, 300, 117413. [Google Scholar] [CrossRef]



















| Variable | Value |
|---|---|
| No. of cylinders | 4 in V (60°) |
| Bore | 280 mm |
| Stroke | 330 mm |
| Nominal speed | 1050 RPM |
| Nominal power | 405 kW/cyl |
| Nominal torque | 14,733 Nm at 1050 RPM |
| Air-charging system | 2-parallel free-floating turbochargers |
| Start of injection | 13° before TDCF |
| Intake valve opening (IVO) | 57° before TDC |
| Intake valve closing (IVC) | 81° after BDC |
| Exhaust valve opening (EVO) | 85° before BDC |
| Exhaust valve closing (EVC) | 79° after TDC |
| Location | Unit | Instrument |
|---|---|---|
| Ambient, temperature | [°C] | Meteorological station Manumesure™ 1 |
| Ambient, pressure | [mbar] | Kimo™ CP110 |
| Intake air after filter, temperature (A and B lines) | [°C] | PT100 Sensor |
| Intake air after filter, pressure (A and B lines) | [kPa] | Kistler™ Type 4011A (0–10 bar) |
| Intake air after comp., temperature (A and B lines) | [°C] | PT1000 Sensor |
| Intake air after comp., pressure (A and B lines) | [kPa] | Kistler™ Type 4011A (0–10 bar) |
| Intake air before cooler, temperature | [°C] | PT1000 Sensor |
| Intake air after cooler, temperature | [°C] | PT100 Sensor |
| Intake air after cooler, pressure | [kPa] | Kistler™ Type 4011A (0–10 bar) |
| Water pump suction pressure (LT and WT) | [kPa] | Danfoss™ MBS 5150 (0–6 bar) |
| Water inlet temperature (LT and WT) | [°C] | PT100 Sensor |
| Water inlet pressure (LT and WT) | [kPa] | Danfoss™ MBS 5150 (0–10 bar) |
| Water inlet volumetric flow (LT and WT) | [m3/h] | Endress-Hausser™ Promag P100 |
| Water outlet temperature (LT and WT) | [°C] | PT100 Sensor |
| Water outlet pressure (LT and WT) | [kPa] | Danfoss™ MBS 5150 (0–10 bar) |
| TC turbine inlet temperature (A and B lines) | [°C] | K Type Thermocouple |
| TC turbine inlet pressure (A and B lines) | [kPa] | Kistler™ Type 4011A (0–10 bar) |
| TC turbine outlet temperature (A and B lines) | [°C] | K Type Thermocouple |
| TC turbine outlet pressure (A and B lines) | [mbar] | Kistler™ Type 4011A (0–10 bar) |
| Turbocharger speed (A and B lines) | [RPM] | Hall-effect sensor |
| Engine speed | [RPM] | Baumer™ CH-8501/Hall-effect sensor |
| In-cylinder pressure (cyl.: A1, A2, B1, and B2) | [bar] | Kistler™ 6061C (0–250 bar) |
| In-cylinder temperature (cyl.: A1, A2, B1, and B2) | [°C] | K Type Thermocouple |
| Cylinder A1 | Cylinder A2 | Cylinder B1 | Cylinder B2 | |
|---|---|---|---|---|
| 295 | 475 | 715 | 175 | |
| 25 | 25 | 25 | 25 | |
| 405 | 585 | 105 | 285 | |
| 25 | 25 | 25 | 25 |
| Variable | Minimum | Maximum | Variable Type |
|---|---|---|---|
| Engine speed [RPM] | 300 | 1050 | Decimal |
| Engine power [kW] | 25 | 1620 | Decimal |
| SOI [CA before TDC] | −28 | −12 | Integer |
| Boost pressure P3 [bar] | 1 | 10 | Decimal |
| Backpressure P4 [bar] | 1 | 10 | Decimal |
| IVO Shifter [CA] | −35 | 35 | Integer |
| IVC Shifter [CA] | −35 | 35 | Integer |
| EVO Shifter [CA] | −35 | 35 | Integer |
| EVC Shifter [CA] | −35 | 35 | Integer |
| Variable Output | Training | Validation |
|---|---|---|
| Air mass flow rate [kg/s] | 0.006831 | 0.007645 |
| Exhaust gas temperature T4 [K] | 3.4854 | 4.85883 |
| Maximum in-cylinder pressure [bar] | 0.661399 | 0.717855 |
| BSFC [g/kWh] | 5.26789 | 6.01682 |
| Variable Output | Training | Validation |
|---|---|---|
| Trapping ratio | 0.000603 | 0.000866 |
| Air-to-fuel ratio (trapped) | 0.060616 | 0.098622 |
| Exhaust gas temperature T4 [K] | 3.4854 | 4.85883 |
| Maximum in-cylinder pressure [bar] | 0.661399 | 0.717855 |
| BSFC [g/kWh] | 1.00038 | 3.36016 |
| Variable | Minimum | Maximum | Variable Type |
|---|---|---|---|
| Engine speed [RPM] | 300 | 1050 | Decimal |
| Engine power [kW] | 25 | 1620 | Decimal |
| SOI [CA before TDC] | −28 | −12 | Integer |
| IVO Shifter [CA] | −35 | 35 | Integer |
| IVC Shifter [CA] | −35 | 35 | Integer |
| EVO Shifter [CA] | −35 | 35 | Integer |
| EVC Shifter [CA] | −35 | 35 | Integer |
| Pressure ratio multiplier (compressor) | 0.75 | 1.25 | Decimal |
| Mass flow multiplier (compressor) | 0.75 | 1.25 | Decimal |
| Pressure ratio multiplier (turbine) | 0.75 | 1.25 | Decimal |
| Mass flow multiplier (turbine) | 0.75 | 1.25 | Decimal |
| Variable Output | MLP with Pulses | HNN with Pulses | MLP w/o Pulses | HNN w/o Pulses |
|---|---|---|---|---|
| Injected mass per cycle | 0.9930 | 0.9974 | 0.9876 | 0.9944 |
| Average of maximum cylinder pressures | 0.9956 | 0.9954 | 0.9906 | 0.9889 |
| Boost pressure P3 | 0.9949 | 0.9955 | 0.9894 | 0.9877 |
| Backpressure P4 | 0.9939 | 0.9921 | 0.9843 | 0.9787 |
| Turbocharger speed—line B | 0.9947 | 0.9931 | 0.9870 | 0.9829 |
| Turbine power gas—line B | 0.9945 | 0.9949 | 0.9887 | 0.9843 |
| Compressor power—line B | 0.9946 | 0.9950 | 0.9887 | 0.9843 |
| Turbine efficiency—line B | 0.9914 | 0.9752 | 0.8879 | 0.9012 |
| Compressor efficiency—line B | 0.9721 | 0.9623 | 0.9260 | 0.9338 |
| Turbocharger speed—line A | 0.9947 | 0.9930 | 0.9870 | 0.9830 |
| Turbine power gas—line A | 0.9941 | 0.9939 | 0.9896 | 0.9857 |
| Compressor power—line A | 0.9942 | 0.9941 | 0.9896 | 0.9858 |
| Turbine efficiency—line A | 0.9924 | 0.9770 | 0.8937 | 0.9075 |
| Compressor efficiency—line A | 0.9694 | 0.9593 | 0.9281 | 0.9350 |
| Air mass flow rate | 0.9955 | 0.9957 | 0.9921 | 0.9907 |
| BSFC | 0.9589 | 0.9815 | 0.9381 | 0.9765 |
| Variable Output | Unit | MLP with Pulses | HNN with Pulses | MLP w/o Pulses | HNN w/o Pulses |
|---|---|---|---|---|---|
| Injected mass per cycle | [mg/cycle] | 60.24 | 36.72 | 80.27 | 53.40 |
| Average of maximum cylinder pressures | [bar] | 2.40 | 2.45 | 3.51 | 3.81 |
| Boost pressure P3 | [bar] | 0.05 | 0.04 | 0.07 | 0.07 |
| Backpressure P4 | [bar] | 0.03 | 0.04 | 0.05 | 0.06 |
| Turbocharger speed—line B | [RPM] | 834.99 | 956.44 | 1296.50 | 1502.18 |
| Turbine power gas—line B | [RPM] | 3.52 | 3.41 | 5.09 | 6.02 |
| Compressor power—line B | [kW] | 3.51 | 3.37 | 5.11 | 6.03 |
| Turbine efficiency—line B | [%] | 0.48 | 0.82 | 1.70 | 1.66 |
| Compressor efficiency—line B | [%] | 1.12 | 1.31 | 1.80 | 1.75 |
| Turbocharger speed—line A | [RPM] | 840.48 | 963.43 | 1295.31 | 1498.94 |
| Turbine power gas—line A | [kW] | 3.61 | 3.68 | 4.82 | 5.66 |
| Compressor power—line A | [kW] | 3.58 | 3.63 | 4.84 | 5.67 |
| Turbine efficiency—line A | [%] | 0.45 | 0.79 | 1.65 | 1.60 |
| Compressor efficiency—line A | [%] | 1.17 | 1.35 | 1.76 | 1.72 |
| Air mass flow rate | [kg/s] | 0.04 | 0.04 | 0.05 | 0.05 |
| BSFC | [g/kWh] | 8.80 | 5.90 | 10.58 | 6.76 |
Disclaimer/Publisher’s Note: The statements, opinions and data contained in all publications are solely those of the individual author(s) and contributor(s) and not of MDPI and/or the editor(s). MDPI and/or the editor(s) disclaim responsibility for any injury to people or property resulting from any ideas, methods, instructions or products referred to in the content. |
© 2024 by the authors. Licensee MDPI, Basel, Switzerland. This article is an open access article distributed under the terms and conditions of the Creative Commons Attribution (CC BY) license (https://creativecommons.org/licenses/by/4.0/).
Share and Cite
Salazar, A.A.; Salameh, G.; Chesse, P.; Bulot, N.; Thevenoux, Y. Improving Fuel Consumption Prediction for Marine Diesel Engines Using Hierarchical Neural Networks and Pulsating Exhaust Models. Energies 2025, 18, 17. https://doi.org/10.3390/en18010017
Salazar AA, Salameh G, Chesse P, Bulot N, Thevenoux Y. Improving Fuel Consumption Prediction for Marine Diesel Engines Using Hierarchical Neural Networks and Pulsating Exhaust Models. Energies. 2025; 18(1):17. https://doi.org/10.3390/en18010017
Chicago/Turabian StyleSalazar, Anibal Aguillon, Georges Salameh, Pascal Chesse, Nicolas Bulot, and Yoann Thevenoux. 2025. "Improving Fuel Consumption Prediction for Marine Diesel Engines Using Hierarchical Neural Networks and Pulsating Exhaust Models" Energies 18, no. 1: 17. https://doi.org/10.3390/en18010017
APA StyleSalazar, A. A., Salameh, G., Chesse, P., Bulot, N., & Thevenoux, Y. (2025). Improving Fuel Consumption Prediction for Marine Diesel Engines Using Hierarchical Neural Networks and Pulsating Exhaust Models. Energies, 18(1), 17. https://doi.org/10.3390/en18010017

