Study on the Electric Field Distribution Characteristics of 66 kV Dry-Type Transformer Based on Functional Graded Material (FGM) Treatment
Abstract
1. Introduction
2. Model Establishment and Functional Graded Material Setting
2.1. Establishment of Transformer Model
- The influence of wire arrangement on the end electric field of the dry-type transformer, the inter-turn insulation of the transformer windings, and the insulating sleeves in the main air duct are neglected;
- The yoke is the equivalent to an infinitely large flat plate perpendicular to the core;
- The voltage applied to the conductors of the transformer winding is assumed to be constant;
- The model is established only for the upper yoke and spacers.
2.2. Electrode and Boundary Condition Settings
- The voltage of the coil closest to the upper end among the entire high-voltage windings is set to , and the voltage for the remaining coils is set according to the number of turns in the coils;
- The low-voltage winding of the transformer is not processed, and the conductor voltage is still set to 1.14 kV.
2.3. Functional Graded Material Setting
2.3.1. Setting of Functional Graded Materials for Spacers
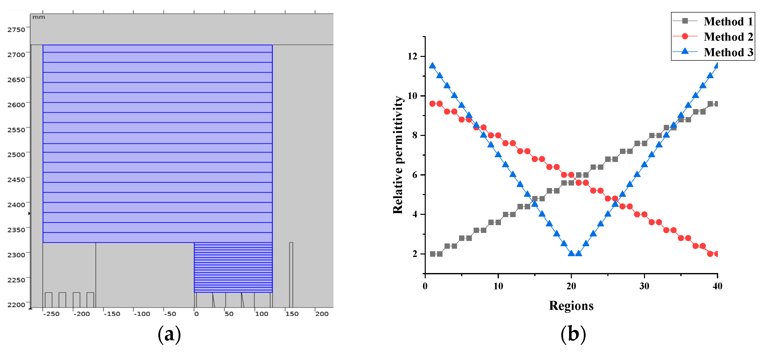
2.3.2. Setting of Functional Graded Materials for Both Spacers and Winding Ends
3. Results and Analysis of the Influence of Different Functional Graded Material Settings on the Electric Field of Transformers
3.1. Distribution of Transformer Electric Field Without Setting Functional Graded Materials
3.2. Distribution of Transformer Electric Field When Only Setting Functional Graded Materials for Spacers
3.3. Distribution of Transformer Electric Field When Setting Functional Graded Materials for Both Spacers and End Windings
4. Conclusions
- Application of FGMs to Spacer Blocks only: Setting functional graded materials only on the spacer blocks will increase the electric field strength on the inner and outer surfaces of the transformer high-voltage coil, regardless of the control method used. When the relative dielectric constant increases from top to bottom, the electric field strength on the inner surface of the transformer high-voltage coil increases by 16.07%, the electric field strength on the outer surface increases by 20.05%, and the electric field strength on the lower surface of the spacer decreases by 27.16%; When the relative dielectric constant decreases from top to bottom, the electric field strength on the inner and outer surfaces of the high-voltage coil and the lower surface of the pad increases by 22.41%, 0.81%, and 41.69%, respectively; When the relative dielectric constant first increases and then decreases, the electric field strength increases by 27.64%, 7.28%, and 47.74%, respectively.
- Application of FGMs to Spacer Blocks and Winding Ends: As the relative dielectric constant increases from top to bottom, the electric field strength on the inner surface of the transformer high-voltage coil and the lower surface of the spacer increases by 29.08% and 49.41%, respectively, while the electric field strength on the outer surface decreases by 34.02%; When the relative dielectric constant decreases from top to bottom, the electric field strength on the inner and outer surfaces of the high-voltage coil and the lower surface of the spacer increases by 81.56%, 101.43%, and 8.98%, respectively; When the relative dielectric constant decreases from both ends to the middle, the electric field strength on the inner surface of the high-voltage coil and the lower surface of the spacer increases by 34.01% and 53.33%, respectively, while the electric field strength on the outer surface decreases by 13.58%. In general, only when the relative dielectric constant gradually increases and first decreases and then increases, will the electric field strength on the outer surface of the high-voltage coil decrease.
Author Contributions
Funding
Data Availability Statement
Acknowledgments
Conflicts of Interest
References
- Liu, Q.; Mei, N.; Wang, Z.; Sun, J.; Zhou, S. Enhanced Transformer Overcurrent Protection via Oil Temperature Acceleration. Energies 2024, 17, 4916. [Google Scholar] [CrossRef]
- Jia, Y.; Ji, S.; Bu, Z.; Yang, X.; Li, S.; Zhu, L. An Insulation Monitoring Method for Transformer Windings Based on Electroluminescence Effect. IEEE Trans. Dielectr. Electr. Insul. 2023, 30, 1294–1301. [Google Scholar] [CrossRef]
- Lu, G.; Zheng, D.; Zhang, Q.; Zhang, P. Effects of Converter Harmonic Voltages on Transformer Insulation Ageing and an Online Monitoring Method for Interlayer Insulation. IEEE Trans. Power Electron. 2022, 37, 3504–3514. [Google Scholar] [CrossRef]
- Jaafar, M.J.; Muhamad, N.A.; Jamil, M.K.M.; Rosle, N. Electric Field and Potential Changes Studies on Cast-Resin Dry-Type Power Transformer Having Misalignment. In Proceedings of the 2021 IEEE International Conference on the Properties and Applications of Dielectric Materials (ICPADM), Johor Bahru, Malaysia, 12–14 July 2021; pp. 37–40. [Google Scholar] [CrossRef]
- González, V.E.; Gómez, P.; Espino-Cortés, F.P. Design of the insulating supports in medium voltage dry-type transformers. In Proceedings of the 2011 Electrical Insulation Conference (EIC), Annapolis, MD, USA, 5–8 June 2011; pp. 45–48. [Google Scholar] [CrossRef]
- Erdogan, M.; Eker, M.K. A Comparative Analysis of Partial Discharge in 13 Combined Insulation Structures of 11 Materials Used in Cast-Resin Dry-Type Transformers. IEEE Trans. Dielectr. Electr. Insul. 2022, 29, 2330–2339. [Google Scholar] [CrossRef]
- Guo, Z.; Rajendran, S.; Tangudu, J.; Khakpour, Y.; Taylor, S.; Xing, L.; Huang, A.Q. A Novel High Insulation 100 kW Medium Frequency Transformer. IEEE Trans. Power Electron. 2023, 38, 112–117. [Google Scholar] [CrossRef]
- Zhang, X.; Guo, R.; Yang, Y.; Hu, Y.; Zhang, Z.; Li, J.; Han, X. Partial Discharge Measurement and Analysis of Transformer Under Oscillating Lightning Impulse Voltage. IEEE Trans. Dielectr. Electr. Insul. 2022, 29, 2303–2311. [Google Scholar] [CrossRef]
- Lesniewska, E. The use of 3-D electric field analysis and the analytical approach for improvement of a combined instrument transformer insulation system. IEEE Trans. Magn. 2002, 38, 1233–1236. [Google Scholar] [CrossRef]
- González, E.; Gómez, P.; Espino-Cortés, F.P. Analysis of the electric field distribution on insulating supports of dry-type transformers under high temperature. IET Electr. Power Appl. 2013, 7, 331–337. [Google Scholar] [CrossRef]
- Saberi, S.; Bigdeli, M.; Azizian, D. Insulation System optimization in Dry-Type Transformer Using Finite Element Method. In Proceedings of the 2022 30th International Conference on Electrical Engineering (ICEE), Tehran, Iran, 17–19 May 2022; pp. 518–523. [Google Scholar] [CrossRef]
- Jin, H.; Lin, H.; Xu, Z. Three-dimensional finite element analysis of electric fields at winding ends of dry-type transformer. In Proceedings of the 2005 International Conference on Electrical Machines and Systems, Nanjing, China, 27–29 September 2005; Volume 3, pp. 2136–2139. [Google Scholar] [CrossRef]
- Dong, J.; Du, B.; Liang, H.; Yao, H. Parameter Design of Functionally Graded Materials for Tri-Post Insulator in HVDC GIL Under Stationary and Transient Conditions. IEEE Trans. Dielectr. Electr. Insul. 2023, 30, 752–760. [Google Scholar] [CrossRef]
- Zhang, Y.; Nie, Y.; Luo, B.; Fu, M.; Hou, S.; Hui, B.; Zhu, W. Optimal Design of Functionally Graded Power Cable Joint Utilizing Silicone Rubber/Carbon Nanotube Composites. IEEE Access 2021, 9, 123689–123703. [Google Scholar] [CrossRef]
- Qiuye, B.; Desheng, S. Analysis of Electric Field Control Characteristics of Dielectric Gradient Insulated Partition Applied to High Voltage Switchgear. In Proceedings of the 2024 9th Asia Conference on Power and Electrical Engineering (ACPEE), Shanghai, China, 11–13 April 2024; pp. 1148–1154. [Google Scholar] [CrossRef]
- Yanze, S.; Qijun, D.; Jun, X.; Huijuan, R.; Guishu, L.; Qing, X. Plasma Etching Constructs Step Gradient Surface Conductivity to Improve the Insulation Properties of Epoxy Resin. IEEE Trans. Dielectr. Electr. Insul. 2024, 31, 2603–2612. [Google Scholar] [CrossRef]
- Dong, J.; Liang, H.; Du, B.; Yao, H. Fabrication of Multidimensional Functionally Graded Insulator for HVDC GIS. In Proceedings of the 2023 IEEE 4th International Conference on Electrical Materials and Power Equipment (ICEMPE), Shanghai, China, 7–10 May 2023; pp. 1–4. [Google Scholar] [CrossRef]
- Yao, H.; Du, B.; Liang, H.; Dong, J. DC/AC Electric Field Relaxation With Multidimensional Functionally Graded Materials (ε/-σ-MFGM) for Offshore Bipolar HVDC GIS Spacer. IEEE Trans. Dielectr. Electr. Insul. 2023, 30, 2059–2066. [Google Scholar] [CrossRef]
- Du, B.X.; Wang, Z.H.; Li, J.; Liang, H.C.; Li, Z.H. Epoxy insulator with surface graded-permittivity by magnetron sputtering for gas-insulated line. IEEE Trans. Dielectr. Electr. Insul. 2020, 27, 197–205. [Google Scholar] [CrossRef]
- Engelen, C.; Lozano, V. On-Site Dry-type Power Transformer Condition Assessment based on Partial Discharge Activity. In Proceedings of the 2019 6th International Advanced Research Workshop on Transformers (ARWtr), Cordoba, Spain, 7–9 October 2019; pp. 93–98. [Google Scholar] [CrossRef]







| Material | Relative Permittivity |
|---|---|
| yoke | 8000 |
| spacer | 3.5 |
| Regulation Method | Inner Surface of High-Voltage Coil | Outer Surface of High-Voltage Coil | Bottom Surface of Spacer | |||
|---|---|---|---|---|---|---|
| Maximum Electric Field Strength | Average Electric Field Strength | Maximum Electric Field Strength | Average Electric Field Strength | Maximum Electric Field Strength | Average Electric Field Strength | |
| Case 1 | +16.07% | 0% | +20.05% | +12.20% | −27.16% | −12.69% |
| Case 2 | +22.41% | −2.20% | +0.81% | +5.79% | +41.69% | +29.01% |
| Case 3 | +27.64% | −0.90% | +7.28% | +7.62% | +47.74% | +37.97% |
| Regulation Method | Inner Surface of High-Voltage Coil | Outer Surface of High-Voltage Coil | Bottom Surface of Spacer | |||
|---|---|---|---|---|---|---|
| Maximum Electric Field Strength | Average Electric Field Strength | Maximum Electric Field Strength | Average Electric Field Strength | Maximum Electric Field Strength | Average Electric Field Strength | |
| Method 1 | +29.08% | −2.20% | −34.02% | −2.13% | +49.41% | +13.71% |
| Method 2 | +81.56% | −0.65% | +101.43% | +13.11% | +8.98% | −7.28% |
| Method 3 | +34.01% | −1.81% | −13.58% | +2.44% | +53.33% | +77.52% |
Disclaimer/Publisher’s Note: The statements, opinions and data contained in all publications are solely those of the individual author(s) and contributor(s) and not of MDPI and/or the editor(s). MDPI and/or the editor(s) disclaim responsibility for any injury to people or property resulting from any ideas, methods, instructions or products referred to in the content. |
© 2024 by the authors. Licensee MDPI, Basel, Switzerland. This article is an open access article distributed under the terms and conditions of the Creative Commons Attribution (CC BY) license (https://creativecommons.org/licenses/by/4.0/).
Share and Cite
Qiao, X.; Zhu, Z.; Zhang, Y.; Yu, L.; Zhang, D.; Zhang, J.; Di, X.; Wang, Y.; Zeng, W. Study on the Electric Field Distribution Characteristics of 66 kV Dry-Type Transformer Based on Functional Graded Material (FGM) Treatment. Energies 2024, 17, 5774. https://doi.org/10.3390/en17225774
Qiao X, Zhu Z, Zhang Y, Yu L, Zhang D, Zhang J, Di X, Wang Y, Zeng W. Study on the Electric Field Distribution Characteristics of 66 kV Dry-Type Transformer Based on Functional Graded Material (FGM) Treatment. Energies. 2024; 17(22):5774. https://doi.org/10.3390/en17225774
Chicago/Turabian StyleQiao, Xinhan, Zishang Zhu, Yuchang Zhang, Le Yu, Dongdong Zhang, Jianwen Zhang, Xinxi Di, Yijiao Wang, and Wengtian Zeng. 2024. "Study on the Electric Field Distribution Characteristics of 66 kV Dry-Type Transformer Based on Functional Graded Material (FGM) Treatment" Energies 17, no. 22: 5774. https://doi.org/10.3390/en17225774
APA StyleQiao, X., Zhu, Z., Zhang, Y., Yu, L., Zhang, D., Zhang, J., Di, X., Wang, Y., & Zeng, W. (2024). Study on the Electric Field Distribution Characteristics of 66 kV Dry-Type Transformer Based on Functional Graded Material (FGM) Treatment. Energies, 17(22), 5774. https://doi.org/10.3390/en17225774

