Next Article in Journal
UV Solar Energy and Erythemal Exposure: Mathematical Models to Assess the Dose on Vertical and Inclined Planes in Different Sky Conditions
Next Article in Special Issue
Computational Fluid Dynamic Modeling of Pack-Level Battery Thermal Management Systems in Electric Vehicles
Previous Article in Journal
Design of Small Permanent-Magnet Linear Motors and Drivers for Automation Applications with S-Curve Motion Trajectory Control and Solutions for End Effects and Cogging Force
Previous Article in Special Issue
Optimizing the Size of a Moving Annular Hollow Laser Heat Source
 
 
Font Type:
Arial Georgia Verdana
Font Size:
Aa Aa Aa
Line Spacing:
Column Width:
Background:
Article

Numerical Prediction of Solid Particle Erosion in Jet Pumps Based on a Calibrated Model

1
College of Metrology Measurement and Instrument, China Jiliang University, Hangzhou 310018, China
2
Huaneng Wuhan Power Generation Co., Ltd., Wuhan 430400, China
*
Authors to whom correspondence should be addressed.
Energies 2024, 17(22), 5720; https://doi.org/10.3390/en17225720
Submission received: 28 October 2024 / Revised: 12 November 2024 / Accepted: 13 November 2024 / Published: 15 November 2024

Abstract

Jet pumps are widely used in petrochemical processes, nuclear cooling, and wastewater treatment due to their simple structure, high reliability, and stable performance under extreme conditions. However, when transporting solid-laden two-phase flows, they face severe erosion problems, leading to reduced efficiency, malfunctions, or even failure. Therefore, optimizing jet pump performance and extending its service life is crucial. In this study, an experimental platform was established to conduct experiments on wall erosion in jet pumps. The CFD-DEM method was used to simulate the solid–liquid two-phase flow in the jet pump, comparing six erosion models for predicting erosion rates. The Grey Wolf Optimization algorithm was applied to calibrate model coefficients. The results indicate that the Neilson erosion model shows the best consistency with the experimental results. The inlet flow rate significantly influenced the erosion rates, while the flow rate ratio had a smaller effect. The particle concentration exhibited a nonlinear relationship with erosion, with diminishing impact beyond a certain threshold. As the factors varied, the erosion distribution tended to be uniform, but high erosion areas remained locally concentrated, indicating intensified localized erosion.

1. Introduction

Jet pumps have no moving parts, featuring a simple structure, good sealing, and easy operation, and maintaining high reliability in harsh environmental conditions such as high temperatures, high pressures, and vacuums. These characteristics make jet pumps widely used in water engineering, petrochemical industries, and nuclear cooling [1]. For example, in natural gas hydrate production wells, jet pumps are employed for gas recovery by combining depressurization and thermal stimulation methods to optimize multiphase flow management and reduce the risk of hydrate reformation [2]. In oilfield operations, they are used to recover associated gas, minimizing environmental impact and increasing the production efficiency of oil–gas mixtures by optimizing placement within wells [3]. In the nuclear sector, jet pumps are investigated as primary circulation pumps in lead-cooled fast reactors (such as the ALFRED reactor) to drive the flow of liquid lead or a lead–bismuth alloy [4]. Jet pumps generate a high-speed jet through a nozzle, creating a low-pressure zone inside the pump, which effectively draws in and transports multiphase fluids, making them suitable for particle-laden mixtures. In river dredging, jet pumps cause less environmental disturbance compared to traditional mechanical equipment and are suitable for complex terrains and sensitive areas [5,6,7]. In oil and gas well lifting operations, jet pumps assist in raising mixed oil–gas fluids while removing entrained sand and other solid impurities. However, when transporting multiphase fluids, solid particles can impact and wear down the inner walls, reducing pump efficiency and lifespan. Therefore, studying the erosion behavior of solid particles in jet pumps is crucial for optimizing design, reducing wear, and enhancing operational reliability.
In recent years, Computational Fluid Dynamics (CFD) has been widely applied to predict the erosion caused by solid particles and is considered a valuable tool for erosion studies. It enables researchers to investigate erosion phenomena with extensive simulations and minimal physical experiments. Gant et al. [8] conducted jet erosion tests using a sand/water mixture, finding nonlinear erosion behaviors in both carbon steel and hard alloys during long-term testing. Padhy [9] identified silt concentration, particle size, jet speed, and operating time as key factors affecting the efficiency loss of impulse turbines, developing functions to relate efficiency loss to these variables. Shen et al. [10] found that larger, angular particles and higher concentrations led to more severe erosion and increased pump performance decline, while particle shape had less effect than size and concentration. Tang [11] used CFD-DEM coupling to simulate solid–liquid flow in a single-channel pump, showing that smaller particles had wider velocity distributions and peaks, whereas larger particles generated higher contact forces. Disk-shaped particles caused the most collisions, while spherical particles had the least. Zhao et al. [12] observed that erosion decreased when more particles gathered near the wall, forming a buffer layer, and found a nonlinear relationship between particle size and erosion, with 1 mm particles causing the most erosion. Most studies have focused on centrifugal pump erosion, while research on jet pump erosion remains limited [13]. Jet pumps differ significantly from centrifugal pumps in flow patterns and structure. Their flow is essentially a coaxial confined jet, characterized by high-speed linear motion, particularly in the mixing chamber and throat, where frequent impacts and intense flow changes occur due to the high-speed jet and solid particle interactions [14]. Additionally, flow velocities are much higher in jet pumps, increasing erosion risk and leading to localized wear [15]. Due to these differences, the erosion mechanisms in jet pumps are fundamentally distinct from those in centrifugal pumps. Existing knowledge cannot fully reveal jet pump erosion behavior, necessitating dedicated numerical simulations and experiments.
Since erosion models are developed based on different flow conditions, wall materials, particle materials, and carrier fluids, each model has a specific applicable range. Therefore, selecting the appropriate erosion model is crucial for ensuring the accuracy of computational results. In gas–solid two-phase flows, particles primarily move with the gas, whereas in liquid–solid flows, particles are influenced by both liquid drag and inertial forces. This necessitates the flexible selection of models based on the actual situation. Gas–solid flow erosion simulation is relatively simpler, and experimental results are more distinct, making the validation of the simulation results easier. As a result, most research has focused on gas–solid flow erosion. Peng [16] predicted erosion rates in 90° bends using eight common erosion models and two particle–wall rebound models, and after comparing the results with experimental data, developed a simplified numerical erosion prediction model for gas–solid flows. Xu et al. [17], using a CFD-DEM coupled approach and a novel erosion model called SIEM, conducted numerical erosion predictions in bends. In contrast, liquid–solid flow erosion simulation is more challenging due to complex fluid–particle interactions, leading to difficulties in achieving convergence. Additionally, most erosion rate models used in current numerical simulations are based on empirical formulas from gas–solid experiments, resulting in significant prediction errors under liquid–solid conditions. Peng [18] found that, although different models produced similar erosion patterns, the Erosion/Corrosion Research Center (E/CRC) model, combined with the Grant and Tabakoff particle–wall rebound model, yielded results closest to the experimental data.
Experimental studies on jet pump erosion remain limited, making it challenging to validate CFD results. Significant gaps exist between current theoretical models and practical applications, with the selection and calibration of optimal erosion models requiring further investigation to improve prediction accuracy. Additionally, the unclear impact of erosion factors hinders structural optimization, making it difficult to balance efficiency with equipment lifespan. This study aims to address the prediction errors in the existing models for liquid–solid two-phase flows by conducting jet pump erosion experiments, comparing erosion models, and calibrating model parameters. This research will provide a theoretical basis for accurately simulating jet pump erosion behavior. By combining experimental data and numerical simulations, the results will offer strong support for the optimization and lifespan prediction of jet pumps, enhancing their operational reliability and extending service life.

2. Materials and Methods

2.1. Experimental Setup and Procedure

The main components of a jet pump include the nozzle, mixing chamber, throat, and diffuser, as shown in Figure 1. The high-speed working fluid enters the jet pump under the action of a power pump, accelerates as it passes through the constricted nozzle, and exits into the pump. The nozzle generates a high-speed jet, creating a low-pressure zone inside the pump that draws in the suction fluid. The two fluids, with different pressures, exchange energy and momentum in the mixing chamber and throat. The pressure of the high-speed working fluid decreases while its velocity slows down, whereas the pressure of the suction fluid increases, and its velocity accelerates. The two fluids gradually mix to form a single stream. Finally, the mixed fluid fully merges at the end of the throat, and part of its kinetic energy is converted into pressure energy in the diffuser before exiting through the outlet pipe.
The basic performance equations of the jet pump pertain to the flow ratio, pressure ratio, and efficiency. These key performance parameters elucidate how the components involved in the internal mass and energy exchange processes impact the operational performance of the pump. The flow rate ratio (q), pressure ratio (h), and efficiency (η) are defined as follows:
q = Q s Q i n ,
h = P o P s P p P o ,
η = q h × 100 % ,
where Q and P represent the mass flow rate and total pressure, respectively, and the subscripts o, p, and s correspond to the jet pump outlet, working fluid inlet, and sucked fluid inlet, respectively.
The design of the jet pump employed in the experiments of this study is depicted in Figure 1, and its main structural parameters are detailed in Table 1.
Jet pump particle wear experiments require testing the wear on the pipe wall and sampling. Existing studies often use methods such as installing internal pipe wall inserts or cutting the pipe after the test, which either affect the internal flow field or incur high costs. This study used a structural design that incorporates slots in the pipe wall, allowing for the replacement of inserts at the slot positions to test material wear. This approach avoids altering the flow field and reduces the cost of multiple pipe modifications. In the wear experiments, slots were made in the jet pump wall to accommodate the inserts that simulate the pipe wall, allowing for particle wear testing. The slots were cut at an angle along the main axis of the jet pump, with a length of 10 mm. The location and cross section of the slot in the mixing chamber and the names of the monitoring surfaces are shown in Figure 2.
A jet pump visualization experiment platform was constructed for particle wear testing. The platform consisted of a power pump, a transparent jet pump, a piping circulation system, a flow and pressure data acquisition system, a particle stirrer, a circulating water tank, and valves. During the experiment, the flow rate ratio in the jet pump was controlled by the valves, with the piping configuration shown in Figure 3. The experimental procedure was as follows: the power pump pressurized and accelerated water from the clean water tank through the inlet pipe into the jet pump, while the particle stirrer mixed the solid–liquid two-phase flow in the sand-filled water tank. The mixture entered the jet pump via the suction pipe, and the combined flow circulated back to the water tank. A filter was installed between the clean and sand-filled tanks to prevent solid particles from entering the jet pump inlet. The water level in the tanks was maintained at 50 cm, and the particle concentration in the sand-filled tank was 50 kg/m3. The wear degree of the inserts was evaluated by measuring their mass loss over time, using a precision analytical balance (accuracy to 0.1 mg) to detect the small mass loss during each test. The insert materials used in this study were 304 pieces of stainless steel. Additionally, a high-speed camera (Revealer X113M, HF Agile Device Co., Ltd., Hefei, China) was used to capture the particle transport process within the jet pump.
The wear particles used in this experiment were white quartz sand particles, with a selected particle size of D = 0.95 mm. The particle properties are shown in Table 2.

2.2. Numerical Modeling

This study used a CFD-DEM coupled approach for modeling, which consisted of three main steps: continuous phase flow simulation, particle trajectory calculation, and erosion rate calculation.

2.2.1. Numerical Theory

The liquid, treated as a continuous phase, satisfied the mass and momentum conservation equations, which are expressed as follows:
ρ t + ( ρ v ) = 0 ,
t ( ρ v ) + ( ρ v v ) = p + τ = + F ,
where ρ is the density, kg/m3; is the fluid velocity, m/s; p is the static pressure, Pa; τ = is the stress tensor; and F is the combined force of the various volumetric forces acting on the fluid, N.
In this study, the SST k-ω turbulence model [19] was used to solve the turbulent flow problem. This model was chosen for its superior performance in predicting boundary layer flows with adverse pressure gradients and flow separation, avoiding the sensitivity to free-stream conditions associated with the standard k-ω model. It can accurately calculate flow separation over smooth surfaces.
The particles, treated as a discrete phase, satisfy the momentum conservation equation, which is given by:
m p d v p d t = F s + F b ,
where mp is the mass of the particle, kg; vp is the instantaneous particle velocity, m/s; Fs is the combined force acting on the surface of the particle, N; Fb is the combined force of the volume force, N.
Since DEM particles have directional properties, their angular momentum also follows the law of conservation. Additionally, DEM modeling considers the contact forces between particles as well as the interaction forces between particles and boundaries.

2.2.2. Erosion Models

The erosion rate is used to quantify the erosion caused by particle impacts. It is defined as the mass of the wall material removed per unit area per unit time. Due to the randomness of the particle impacts on the wall, this study reduced the randomness by averaging the erosion rate over all the time steps. The mathematical expression is given as follows:
E = 1 n i = 1 n e r ,
where n is the total number of simulation time steps; er is the erosion rate calculated by the erosion model in each time step, kg × m−2 × s−1.
Since Finnie [20] proposed the first erosion model, numerous scholars have developed various erosion models based on different mechanisms and experiments. Research has shown that the two most critical factors affecting erosion are particle velocity and impact angle, and the six models chosen in this study account for these factors. Thus, in this work we used the following erosion models: the Archard, the DNV, the Zhang, the Oka, the Neilson, and the Ahlert [21,22,23,24,25,26,27,28]. More detailed information about the used erosion models is presented in Appendix B.

2.2.3. Numerical Setup

The commercial software used in this study is STAR-CCM+ 2302 (18.02.008-R8). In this study, the numerical simulation domain was the three-dimensional fluid domain of the jet pump, with the computational model and geometric parameters consistent with the experimental setup. A polyhedral mesh was used to discretize the computational domain. To ensure accuracy near the wall, finer mesh refinement was applied in the boundary layer, maintaining the y+ value of the near-wall mesh between 1 and 40. Given the high velocity gradients at the nozzle outlet and the throat regions, the mesh was further refined in these areas.
The fluid phase inlet was set as a mass flow inlet, and the outlet was set as a pressure outlet. The particle phase inlet was also set as a mass flow inlet, with particles injected from the suction pipe at the same velocity as the fluid phase. The simulation conditions were consistent with the original experimental setup, with water as the fluid phase and quartz sand particles as the particle phase. The material properties of the media were kept the same as those used in the experiments. In this study, particles were introduced into the computational domain using a surface injection method, which allowed for a more accurate simulation of particle distribution under actual working conditions.
The coupling of pressure and velocity was achieved using the SIMPLE algorithm, with a second-order upwind scheme applied for the convective terms. The transient solution method was used with a time step of 103 s. Convergence was determined when the mass residual fell below 10−4, the velocity component residuals were all below 10−7, and the values at the flow field monitoring points remained stable. In the erosion calculation, to account for the randomness of particle–wall collisions, the wear at the key throat locations were continuously monitored, and the simulation time was extended after convergence. The monitoring surface was located at the same position as the slot in the experiment. The final simulation results were obtained when the erosion rate on the monitoring surface stabilized.
In the discrete element method, the interphase interactions were modeled using the Hertz–Mindlin no-slip contact model, and the contact model parameters are detailed in Table 3. The constants listed here are derived from the research in Reference [29], and these values have been validated under similar experimental or simulation conditions.
In the investigation of the effects of different factors on erosion, the computational conditions are shown in Table 4.

2.2.4. Mesh Independence Verification

The mesh is a critical factor affecting the accuracy of computational results. To ensure the accuracy and reliability of the simulation, mesh independence verification was necessary. Generally, using a finer mesh leads to more accurate results, but as the mesh size decreases, the number of required mesh elements increases, resulting in longer computation times. Therefore, a balance must be struck between accuracy and computation time. In this study, five different mesh sizes were compared, with the details and results shown in Table 5.
From Table 5, it can be observed that the computational results for different mesh schemes remained around 22%, showing no significant variation. As the number of mesh elements increased, the calculated efficiency initially rose gradually, and then stabilized once the mesh count reached 1.17 million.
Figure 4 shows the variation curves of the centerline pressure coefficient (Cp) under different mesh schemes. The definition of Cp is as follows:
C p = p x p s 1 2 ρ v 2 ,
where px is the fluid static pressure, Pa; ps is the suction fluid static pressure, Pa; ρ is the fluid density, kg/m3; and v is the flow velocity at the nozzle, m/s.
As shown in Figure 4, the centerline pressure coefficient curves under different mesh schemes indicate that there was no significant difference overall. At the nozzle outlet, where the flow velocity was higher, the pressure coefficient results for the N1 and N2 mesh schemes were lower, while the results for N3 and N4 were closer, and N5 had the highest pressure coefficient. Considering the balance between the computational resources and time, the N3 mesh scheme was selected for subsequent calculations.
The surface mesh size settings for the main structures in this study (e.g., inlet pipe, suction pipe, diffuser, and outlet pipe) are shown in Table 5. For the regions requiring finer meshing (e.g., nozzle outlet, contraction pipe, and mixing pipe), the mesh size was set to 0.75 mm. The parameters for the boundary layer mesh (including the first layer height, the growth rate, and the number of boundary layers) were calculated based on the formulas in Reference [30] to meet the y+ requirements, the computational domain, and the mesh details as shown in Figure 5. In addition, the average mesh quality of the computational scheme was 0.751 and the average skew angle of the mesh cells was 17.880°.

3. Results

3.1. Experimental Verification

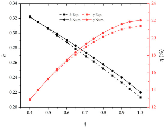
To ensure the adaptability and accuracy of the numerical model, the simulation results needed to be compared with experimental data. Figure 6 shows the comparison between the pressure ratio and the efficiency curves of the jet pump under different flow rate ratios and the experimental results. Table 6 presents the relative error between the simulated efficiency data and the experimental values, with the calculation formula as follows:
e r r o r = η N u m η E x p η E x p ,
As shown in Figure 6, the numerical simulation results were in good agreement with the experimental data. Except for the case of q = 0.4, the experimental performance was generally slightly lower than the simulation results. This discrepancy can be attributed to two main reasons: (1) in the experiment, energy losses occurred due to friction on the jet pump wall, while wall roughness was not considered in the simulation; (2) there may have been dimensional deviations between the experimental model and the theoretical design, and possible misalignment or steps at the joints during assembly, resulting in some energy loss. According to the data in Table 6, although the error increased slightly with the flow rate ratio, the maximum error was only 3.2%, which is within an acceptable range. Therefore, the numerical simulation results were consistent with the actual conditions and exhibited high accuracy.

3.2. Erosion Modeling Results

To ensure that the erosion model’s calculation results were independent of solution time, the erosion rate variations over time at each monitoring surface were plotted, as shown in Figure A1. In the initial stage (1 to 4 s) when particles enter the jet pump, the erosion rates on the monitoring surfaces increased rapidly and then gradually stabilize. After 16 s, the erosion rates showed no significant change. Therefore, a total simulation time of 20 s was considered sufficient to meet the computational needs of this study.
In this study, experimental uncertainty primarily arose from the balance’s measurement error in determining the mass of the erosion test specimens. A precision balance with an accuracy of 0.0001 g was used, and this error was quantified through analysis. First, multiple measurements were taken on the same sample, and the standard deviation of the measurements was calculated to estimate the measurement uncertainty. Additionally, an uncertainty propagation analysis was conducted to assess the effect of the balance’s measurement error on the calculated wear rate. The analysis indicated that the measurement error from the balance was within an acceptable range, exerting minimal influence on the wear rate calculations and having no significant impact on the overall trends or research conclusions. Therefore, the experimental data were considered highly reliable.
Since the absolute values of the predicted results from the different erosion models showed significant differences, the erosion ratio method was used to more effectively compare the experimental results with the performance of each erosion model. The calculation formula was as follows:
Π = E i E i ,
where i is the serial number of the four monitoring surfaces.
As shown in Figure 7, although there were some differences between the erosion models and between the models and the experimental results, the overall trends remained consistent. Specifically, at monitoring surfaces A2 and B2, the simulated erosion ratios were generally higher than the experimental results. In contrast, at monitoring surface B1, the simulated erosion ratios were lower than the experimental observations.
Table 7 presents the average relative error values between each erosion model and the experimental results for different wall materials, ranked from highest to lowest. The calculation formula is as follows:
δ = Π N u m Π E x p Π E x p ,
δ ¯ = 1 n i = 1 n δ i ,
Based on the data in Table 7, the Neilson erosion model demonstrated relatively high predictive accuracy, with an average error 5% lower than that of the second-ranked Archard model. In contrast, the Oka erosion model performed relatively poorly, with an average error rate exceeding 40%, which was 2.65 times that of the Neilson model. This is likely because, at the throat of the jet pump, the wear caused by particle–wall collisions involved not only direct-impact erosion but also abrasive wear due to particles scraping the wall. The Neilson model takes into account both cutting and deformation wear mechanisms, allowing for the more accurate simulation of different types of wear. Additionally, compared to other models, the empirical coefficients of the Neilson erosion model are derived from experiments involving liquid-laden particle systems, whereas other models are mostly based on gas-carrier systems. This difference in the fundamental carrier materials reduces the general applicability of other models in solid–liquid jet pump environments, leading to larger prediction errors.

3.3. Calibration of Erosion Model Parameters

As the previous analysis indicates, the Neilson erosion model shows significant advantages over other models, making it the focus for parameter calibration in this study. The key to this model lies in accurately determining two main coefficients: the cutting coefficient εC and the deformation coefficient εD. These coefficients are crucial for the model’s prediction accuracy, representing the degree of wear when the material is cut by particles or subjected to deformation. By adjusting these parameters, the model’s predictive capability can be enhanced to better match experimental observations, thus improving its accuracy and reliability in practical applications.
Using the lowest relative error values for the four monitoring surfaces and the lowest average relative error as objectives, the Grey Wolf Optimization algorithm [31] was employed to calculate the empirical coefficients suitable for jet pump wall material. The results are shown in Table 8.
After recalculating with the calibrated erosion model, the average relative error between the calibrated Neilson erosion model and the experimental data was found to be 15.704%.

4. Discussion

Erosion on the jet pump wall is a complex phenomenon influenced by multiple factors that affect the erosion rate and morphology on the wall surface. The throat region is a critical area for fluid mixing, with highly complex flow conditions, resulting in significantly higher erosion rates than in other areas. Therefore, this study focused on the throat wall to conduct an in-depth analysis of erosion behavior.
As shown in Figure A2, this study divided the space into three directions: X, Y, and Z, with monitoring surfaces set in each direction to explore erosion characteristics. More detailed information about the spatial division is presented in Appendix A.

4.1. Effect of Inlet Flow Rate of Working Fluid on Erosion

Figure 8 illustrates the impact of the inlet flow rate on the erosion rate. As the flow rate increased, both the maximum and average erosion rates showed an overall upward trend, exhibiting certain nonlinear characteristics. In the low-flow range (0–4 m3/h), the slopes of both of the curves were steeper, indicating that the increase in inlet flow rate significantly intensified the erosion rate. This is because at lower flow rates, the fluid cannot provide sufficient drag to overcome gravity, causing a large number of particles to deposit at the bottom of the throat, primarily sliding or rolling along the wall due to fluid shear force, resulting in sliding wear. With a further increase in flow rate (4–16 m3/h), the flow velocity rose, and the drag force strengthened, causing the particles to detach from the deposit and become suspended in the fluid. In this phase, particles collided with the wall at higher speeds and in irregular patterns, leading to intensified erosion wear.
Table 9 shows the effect of the inlet flow rate variation on the erosion rate ratios of each monitoring surface in three directions. At low flow rates, particle deposition occurred at the bottom of the pipe due to gravity, resulting in a relatively uniform longitudinal erosion distribution. As the flow rate increased, the particle kinetic energy also increased, leading to more frequent high-speed impacts with the mid-section and outlet regions, which raised the erosion ratio in these areas. Similarly, in the Z column data, at higher flow rates, the particles were more evenly distributed across the pipe, leading to a notable increase in the erosion ratio in the Z2 region.
As shown in Figure A3, the erosion rate contour plots at different inlet flow rates of the working fluid revealed an expanding erosion range with increasing flow rates. Additionally, the distribution of the maximum erosion area changed, shifting from being concentrated in the inlet section at the low flow rates to a more uniform distribution at moderate to high flow rates, and ultimately reconcentrating in specific areas at high flow rates. The cause of erosion at low flow rates has been previously analyzed. At moderate flow rates, the increase in turbulence intensity makes particle trajectories more random, leading to a more uniform distribution of the erosion area. At high flow rates, the turbulent structure forms a stable turbulence core region, causing particles to concentrate within this core and frequently collide with the wall at certain locations, resulting in localized high-erosion areas.

4.2. Effect of Flow Rate Ratio on Erosion

Figure 9 illustrates the impact of the flow rate ratio on the erosion rate. As the flow rate ratio increases from 0.6 to 1.4, the maximum erosion rate rises significantly, while the average erosion rate changes more gradually, with only a slight increase observed when the flow rate ratio reaches 1.4. This indicates notable non-uniformity in erosion distribution under different flow rate ratio conditions, with erosion primarily concentrated in certain specific areas.
Table 10 shows the variation trend of erosion rate ratios on different monitoring surfaces in the X, Y, and Z directions as the flow rate ratio changes. As observed in the table, the erosion ratio is higher in the front section of the throat at low flow rate ratios. With an increasing flow rate ratio, the erosion ratio in the mid-section gradually rises and stabilizes. This is because, at low flow rate ratios, the fluid velocity is relatively low, especially near the inlet, where the kinetic energy of the fluid is insufficient. This leads to flow separation near the wall and the formation of local recirculation zones. The recirculation causes a large number of particles to accumulate at the inlet and frequently impact the wall, resulting in a higher erosion rate. As the flow rate ratio increases, the onset of the recirculation shifts toward the mid-section of the throat, and the recirculation phenomenon gradually weakens, extending the erosion area from the low-velocity inlet section to the higher-velocity mid-section and outlet sections.
Figure A4 shows the erosion rate contour plots under different flow rate ratios. As the flow rate ratio increased, the high-erosion areas became more evenly distributed and shifted toward the mid-to-rear section of the throat. This phenomenon aligns with the previous analysis: the increase in flow rate ratio reduces the formation of recirculation zones, causing particles to be more evenly distributed and concentrated in impacting the mid-to-rear sections.

4.3. Effect of Particle Size on Erosion

As shown in Figure 10, particle size has a significant impact on the maximum erosion rate. As the particle size increases, the maximum erosion rate rises sharply, especially when the particle size exceeds 1.0 mm, where the erosion rate exhibits an accelerating growth trend. This phenomenon is mainly due to two factors: first, as a particle’s size increases, its mass also increases, enhancing its kinetic energy in the fluid. Under the same flow velocity, larger particles, due to their greater mass, exert a stronger impact force on the wall during collisions, increasing the local erosion rate. Second, larger particles have greater inertia, making them less likely to change direction with the fluid flow, leading them to follow inertial paths and impact the wall, further intensifying local erosion. Similarly to the flow rate ratio variation discussed in Section 4.2, the average erosion rate changes more gradually. This is because, with constant particle concentration, an increase in particle size reduces the total number of particles; although individual particles have higher erosion rates, the overall collision frequency with the wall decreases, resulting in minimal change in the average erosion rate.
Table 11 shows the trend of erosion rate ratios on the monitoring surfaces in different directions as the particle size varies. It can be observed that, when the particle size is small, erosion is primarily concentrated in the mid-to-rear section of the throat. However, as the particle size increases, the erosion ratio in the front section gradually rises.
From the erosion rate contour plots corresponding to different particle sizes in Figure A5, it can be observed that, as the particle size increased, the high-erosion areas gradually shifted toward the mid-to-rear section of the throat and tended to become more dispersed. This phenomenon is closely related to the flow characteristics in the throat. The flow primarily exhibited a coaxial confined jet, with a high-speed main flow concentrated in the center of the pipe, while the flow velocity near the wall was lower. As the flow distance increased, the jet core region expanded toward the wall and fully mixed with the suction fluid in the mid-to-rear section, increasing the velocity of the suction fluid. For the small particles, their lower inertia made their trajectories more influenced by the fluid flow. At the throat inlet, these particles had lower velocities and lower collision frequencies with the wall. As the jet expanded to the wall, small particles gradually moved toward the wall, where they experienced more collisions in the mid-to-rear section due to increased flow velocity and turbulence intensity, resulting in erosion. In contrast, large particles, with their greater mass and pronounced inertial effects, maintained trajectories less affected by fluid velocity changes, resulting in more random collision distribution with the wall and relatively uniform erosion distribution. Additionally, the high kinetic energy of the large particles enabled significant erosion even in the front section at lower flow speeds upon impact with the wall.

4.4. Effect of Particle Volume Concentration on Erosion

As shown in Figure 11, the particle volume fraction has a significant effect on the erosion rate. It can be observed that, with increasing particle concentration, both the maximum and average erosion rates rose, but the growth rate slowed down once the concentration exceeded 1%. This is mainly because, at high concentrations, particle collisions and interactions become more prominent. The phenomena of particle clustering or aggregation reduced the frequency of direct impacts on the wall, while the collisions between the particles consumed part of their kinetic energy, thereby reducing the impact force on the wall. Additionally, at higher concentrations, some particles may accumulate on the wall, forming a “protective layer” that cushions subsequent impacts, reducing the overall rate of increase in erosion. Consequently, as the particle concentration continues to increase, the erosion rate tends to stabilize. The essence of this phenomenon is similar to the conclusions drawn by Zhao et al. [12], where an increase in the particle accumulation near the wall forms a buffer layer, leading to a reduction in erosion. Additionally, it is important to note that, unlike Zhao’s study, the increase in particle quantity in this study was due to a significant change in the particle volume concentration, rather than a change in the particle size leading to a variation in the number of particles.
Table 12 shows the trend of erosion rate ratios on different monitoring surfaces in the X, Y, and Z directions as the particle concentration varied. It can be observed from the table that, on the Z1 monitoring surface, the erosion ratio increased from 54% to 58% as the particle concentration rose, indicating that the erosion effects were more pronounced in the gravity direction under high concentration conditions. In contrast, the erosion ratios in the longitudinal and lateral flow directions showed minimal change and were almost unaffected by the variations in particle concentration.
Figure A6 presents the erosion rate contour plots under different particle concentration conditions. At low concentrations, due to the limited number of particles, the probability of wall collisions was lower, resulting in a relatively low overall erosion rate. In this case, particles were primarily distributed along the main flow direction of the fluid, with erosion occurring in the mid-section and outlet regions where the flow velocity was higher. As the particle concentration increased, the erosion area expanded, particularly on the gravity side, where erosion became more pronounced. This phenomenon is mainly attributed to the kinetic energy loss and velocity reduction caused by inter-particle collisions, making particles more likely to settle under gravity and impact the bottom of the throat.

5. Conclusions

This study constructed a high-precision coupled model of a solid–liquid jet pump based on the CFD-DEM method and used various erosion models to predict wall erosion in the jet pump. By comparing the predicted results with experimental data, the most suitable model for predicting jet pump wall wear was identified. Subsequently, the model parameters were adjusted and calibrated based on the experimental results to further improve the accuracy of wear prediction. Using the calibrated erosion model, the effects of the four different factors on erosion rate and distribution were investigated. The main work and conclusions were as follows:
  • Among the six different models, the Neilson model exhibited the best consistency with the experimental results, indicating its strong applicability in predicting wall erosion in jet pumps;
  • The GWO intelligent algorithm was used to calibrate the parameters of the Neilson model (cutting coefficient and deformation coefficient) based on experimental data, achieving significant progress. The calibrated model showed an average relative error of 15.704% compared to the experimental results, demonstrating a good fit and providing a more reliable basis for jet pump erosion prediction;
  • The effects of the different factors on erosion in the jet pump throat were investigated, and the results indicated that among the four factors—inlet flow rate, flow rate ratio, particle size, and particle concentration—the inlet flow rate had the most significant impact on the erosion rate, while the effect of the flow rate ratio was relatively minor. Changes in the flow rate ratio and particle size had little effect on the average erosion rate. There is a nonlinear growth relationship between particle concentration and erosion rate; beyond a certain threshold, further increases in the particle concentration do not result in proportional increases in the erosion rate;
  • The impact of gravity on erosion is non-negligible, especially under conditions of low inlet flow rate and high particle concentration. As various factors change, the maximum erosion rate and average erosion rate do not vary in sync. In the erosion contour plots, this is reflected by the expansion of the erosion range, while high-erosion areas still exhibit significant localized concentration.

Author Contributions

Conceptualization, M.X. and J.M.; methodology, X.W.; software, M.D.; validation, C.F., X.W. and M.D.; formal analysis, X.W.; investigation, M.X.; resources, J.M.; data curation, X.W.; writing—original draft preparation, X.W.; writing—review and editing, M.X.; visualization, M.D.; supervision, M.X.; project administration, S.H.; funding acquisition, M.X. All authors have read and agreed to the published version of the manuscript.

Funding

This research was funded by the Zhejiang Provincial Natural Science Foundation of China under Grant, No. LGG22E090001 and the Fundamental Research Funds for the Provincial Universities of Zhejiang under Grant, No. 2023YW44.

Data Availability Statement

The original contributions presented in the study are included in the article, further inquiries can be directed to the corresponding author.

Acknowledgments

The authors are very grateful to the Institute of Fluid Equipment and Inspection Technology, China Jiliang University, for supporting this study.

Conflicts of Interest

Author Shuai Han was employed by the Huaneng Wuhan Power Generation Co., Ltd. The remaining authors declare that the research was conducted in the absence of any commercial or financial relationships that could be construed as potential conflicts of interest.

Appendix A

The main content of this appendix is the supplementary explanations and clarifications for the figures in the main text.
  • Time independence of the solution results
Figure A1. Erosion rate versus time curve: (a) Archard erosion model; (b) DNV erosion model; (c) Zhang erosion model; (d) Oka erosion model; (e) Neilson erosion model; (f) Ahlert erosion model.
Figure A1. Erosion rate versus time curve: (a) Archard erosion model; (b) DNV erosion model; (c) Zhang erosion model; (d) Oka erosion model; (e) Neilson erosion model; (f) Ahlert erosion model.
Energies 17 05720 g0a1
2.
The spatial division
The X-axis represents the main flow direction, used to analyze the erosion characteristics and particle kinetic energy changes in the inlet, middle, and outlet regions of the throat, corresponding to X1 (blue), X2 (red), and X3 (green), respectively. The Y-axis represents the lateral direction and is used to evaluate the impact of flow field non-uniformity on particle trajectories and erosion distribution, with Y1 (blue) and Y2 (red) representing the corresponding monitoring surfaces. The Z-axis corresponds to the gravitational direction, used to study the effect of gravity on particle motion and deposition, with Z1 (blue) and Z2 (red) representing the monitoring surfaces. Z1 is located on the side influenced by the positive direction of gravity.
Figure A2. Spatial division of throat with different flow directions and gravity effects: (a) X-axis direction; (b) Y-axis direction; (c) Z-axis direction.
Figure A2. Spatial division of throat with different flow directions and gravity effects: (a) X-axis direction; (b) Y-axis direction; (c) Z-axis direction.
Energies 17 05720 g0a2
3.
Erosion contour plots under different factors
Figure A3. Erosion contour plots for different inlet flow rates: (a) Qp = 1.03 m3/h; (b) Qp = 2.07 m3/h; (c) Qp = 4.14 m3/h; (d) Qp = 8.28 m3/h; (e) Qp = 16.56 m3/h.
Figure A3. Erosion contour plots for different inlet flow rates: (a) Qp = 1.03 m3/h; (b) Qp = 2.07 m3/h; (c) Qp = 4.14 m3/h; (d) Qp = 8.28 m3/h; (e) Qp = 16.56 m3/h.
Energies 17 05720 g0a3
Figure A4. Erosion contour plots for different flow rate ratios: (a) q = 0.6; (b) q = 0.8; (c) q = 1.0; (d) q = 1.2; (e) q = 1.4.
Figure A4. Erosion contour plots for different flow rate ratios: (a) q = 0.6; (b) q = 0.8; (c) q = 1.0; (d) q = 1.2; (e) q = 1.4.
Energies 17 05720 g0a4
Figure A5. Erosion contour plots for different particle sizes: (a) D = 0.5 mm; (b) D = 0.75 mm; (c) D = 1.0 mm; (d) D = 1.25 mm; (e) D = 1.50 mm.
Figure A5. Erosion contour plots for different particle sizes: (a) D = 0.5 mm; (b) D = 0.75 mm; (c) D = 1.0 mm; (d) D = 1.25 mm; (e) D = 1.50 mm.
Energies 17 05720 g0a5
Figure A6. Erosion contour plots for different particle concentrations: (a) Cv = 0.1%; (b) Cv = 0.5%; (c) Cv = 1.0%; (d) Cv = 2.0%; (e) Cv = 5.0%.
Figure A6. Erosion contour plots for different particle concentrations: (a) Cv = 0.1%; (b) Cv = 0.5%; (c) Cv = 1.0%; (d) Cv = 2.0%; (e) Cv = 5.0%.
Energies 17 05720 g0a6

Appendix B

The content of this appendix is the calculation formulas for the six erosion models, as presented below:
  • Archard erosion model
The Archard [21] erosion model is formulated as follows:
e r = a F s ,
where a is the wear coefficient; F is the normal force acting on the wall by the particles, N; and s is the sliding distance of the particles on the wall, m. In addition, in this study, the parameter a = 1.0 × 10−7.
2.
DNV erosion model
Haugen et al. [22] of Det Norske Veritas (DNV) determined the empirical coefficients for the erosion modeling of carbon steel based on a large number of experimental results as well as numerical simulations by varying the impact velocity and angle of the sand particles in the following model equation:
e r = K f α v v n ,
F ( α ) = i = 1 8 ( 1 ) ( i + 1 ) A i α π 180 i ,
where K is the material correlation constant; α is the collision angle between the particle and the wall; v is the relative velocity of the particle with respect to the wall, m/s; v′ is a constant reference velocity, m/s; n is a constant exponent.
3.
Zhang erosion model
Zhang et al. [23] from the University of Tulsa’s Erosion/Corrosion Research Center proposed an erosion model designed to predict the erosion rates of both dry and wet material surfaces. This model is based on erosion experiments that varied the impact angles and particle shapes. The formulation of this erosion model is as follows:
e r = C ( B H ) 0.59 F s V p n F ( α ) ,
F ( α ) = i = 1 5 A i α i ,
where C and n are empirical constants; BH is the Brinell hardness of the wall material; Fs is the particle shape factor; Vp is the particle collision velocity, m/s; α is the particle collision angle; and Ai is the collision angle function coefficient.
4.
Oka erosion model
Oka et al. [24,25] considered not only the effects of the impact angle and the velocity but also a range of additional factors including particle diameter, particle shape, material properties of the particles, and the hardness of the pipe wall material. They proposed a comprehensive erosion model, presented as follows:
e r = K ( a H V ) k 1 b ( v v ) k 2 ( D D ) k 3 F ( α ) ,
F ( α ) = ( sin α ) n 1 ( 1 + H V ( 1 sin α ) ) n 2 ,
where HV is the Vickers hardness of the wall material; K, k1, k3 are constants and indices determined by the particle properties and type; k2 is an index jointly determined by the hardness of the material and the particle properties; v′ and D′ are the standard particle velocities and particle diameters, m/s, m; n1, n2 are the indices determined by the hardness of the material and other impact conditions; and α is the particle collision angle.
5.
Neilson erosion model
Neilson [26,27] proposed an erosion model adapted to small as well as large collision angles based on experimental results. In the following equation, the first term on the right side of the equation is the erosion due to the cutting action and the second term is the erosion due to the deformation action.
e r = v 2 cos 2 α sin π α 2 α 0 2 ε C + v 2 sin 2 α 2 ε D α < α 0 v 2 cos 2 α 2 ε C + v 2 sin 2 α 2 ε D α α 0 ,
where α0 is the critical angle; εC and εD are the cutting and deformation coefficients, respectively.
6.
Ahlert erosion model
Ahlert [28] proposed an erosion model for AISI 1018 steel in the following form:
e r = A ( B H ) 0.59 F s v 1.73 F ( α ) ,
F ( α ) = a α 2 + b α α < α 0 x cos 2 α sin ( w α ) + y sin 2 α + z α α 0 ,
where A is a constant and α0 is the critical angle.

References

  1. Yan, T.; Zhao, X.; Wang, X.; Yu, J.; Shi, Y. Study on energy conservation water injection system of offshore platform based on jet pump. J. Pet. Sci. Eng. 2018, 170, 368–373. [Google Scholar] [CrossRef]
  2. Ping, X.; Zhang, J.; Han, G.; Chang, J.; Wang, H. Study on the Multiphase Flow Behavior in Jet Pump Drainage and Natural Gas Hydrate Production Wells with Combined Depressurization and Thermal Stimulation Method. Energies 2024, 17, 3842. [Google Scholar] [CrossRef]
  3. Bazaluk, O.; Dubei, O.; Ropyak, L.; Shovkoplias, M.; Pryhorovska, T.; Lozynskyi, V. Strategy of compatible use of jet and plunger pump with chrome parts in oil well. Energies 2021, 15, 83. [Google Scholar] [CrossRef]
  4. Borreani, W.; Alemberti, A.; Lomonaco, G.; Magugliani, F.; Saracco, P. Design and selection of innovative primary circulation pumps for GEN-IV lead fast reactors. Energies 2017, 10, 2079. [Google Scholar] [CrossRef]
  5. Pellegrini, M.; Preda, G.; Saccani, C. Application of an innovative jet pump system for the sediment management in a port channel: Techno-economic assessment based on experimental measurements. J. Mar. Sci. Eng. 2020, 8, 686. [Google Scholar] [CrossRef]
  6. Bianchini, A.; Cento, F.; Guzzini, A.; Pellegrini, M.; Saccani, C. Sediment management in coastal infrastructures: Techno-economic and environmental impact assessment of alternative technologies to dredging. J. Environ. Manag. 2019, 248, 109332. [Google Scholar] [CrossRef]
  7. Liu, C.; Walling, D.E.; He, Y. The International Sediment Initiative case studies of sediment problems in river basins and their management. Int. J. Sediment Res. 2018, 33, 216–219. [Google Scholar] [CrossRef]
  8. Gant, A.; Gee, M.; Plint, G. A new concept in liquid jet erosion: Commissioning and proving trials. Wear 2007, 263, 284–288. [Google Scholar] [CrossRef]
  9. Padhy, M.; Saini, R. Study of silt erosion on performance of a Pelton turbine. Energy 2011, 36, 141–147. [Google Scholar] [CrossRef]
  10. Shen, Z.; Chu, W.; Li, X.; Dong, W. Sediment erosion in the impeller of a double-suction centrifugal pump–A case study of the Jingtai Yellow River Irrigation Project, China. Wear 2019, 422, 269–279. [Google Scholar] [CrossRef]
  11. Tang, C.; Kim, Y.-J. CFD-DEM simulation for the distribution and motion feature of solid particles in single-channel pump. Energies 2020, 13, 4988. [Google Scholar] [CrossRef]
  12. Zhao, R.-J.; Zhao, Y.-L.; Zhang, D.-S.; Li, Y.; Geng, L.-L. Numerical investigation of the characteristics of erosion in a centrifugal pump for transporting dilute particle-laden flows. J. Mar. Sci. Eng. 2021, 9, 961. [Google Scholar] [CrossRef]
  13. Mirza Umar, B.; Wang, Z.; Chitrakar, S.; Thapa, B.; Huang, X.; Poudel, R.; Karna, A. Experimental Erosion Flow Pattern Study of Pelton Runner Buckets Using a Non-Recirculating Test Rig. Energies 2024, 17, 4006. [Google Scholar] [CrossRef]
  14. Ben-Mansour, R.; Badr, H.M.; Araoye, A.A.; Toor, I.U.H. Computational analysis of water-submerged jet erosion. Energies 2021, 14, 3074. [Google Scholar] [CrossRef]
  15. Song, X.-G.; Park, J.-H.; Kim, S.-G.; Park, Y.-C. Performance comparison and erosion prediction of jet pumps by using a numerical method. Math. Comput. Model. 2013, 57, 245–253. [Google Scholar] [CrossRef]
  16. Peng, W.; Cao, X. Numerical prediction of erosion distributions and solid particle trajectories in elbows for gas–solid flow. J. Nat. Gas Sci. Eng. 2016, 30, 455–470. [Google Scholar] [CrossRef]
  17. Xu, L.; Zhang, Q.; Zheng, J.; Zhao, Y. Numerical prediction of erosion in elbow based on CFD-DEM simulation. Powder Technol. 2016, 302, 236–246. [Google Scholar] [CrossRef]
  18. Peng, W.; Cao, X. Numerical simulation of solid particle erosion in pipe bends for liquid–solid flow. Powder Technol. 2016, 294, 266–279. [Google Scholar] [CrossRef]
  19. Wilcox, D. Turbulence Modeling for CFD; DCW Industries: La Canada, CA, USA, 1998. [Google Scholar]
  20. Finnie, I. Erosion of surfaces by solid particles. Wear 1960, 3, 87–103. [Google Scholar] [CrossRef]
  21. Varenberg, M. Adjusting for running-in: Extension of the Archard wear equation. Tribol. Lett. 2022, 70, 59. [Google Scholar] [CrossRef]
  22. Waja, E.A.S.; Kholi, F.K.; Esu-Ejemot Aquah, G.; Tulashie, S.K.; Nyasapoh, M.A. Parametric investigation of sand erosion rates in gas pipeline bends under typical industry conditions using simplified method. Ener. Sour. Part A Rec. Util. Environ. Eff. 2022, 44, 9325–9341. [Google Scholar] [CrossRef]
  23. Shao, C.; Ge, Z.; Zhou, Z.; Liu, W.; Li, Z.; Tian, C.; Chang, W. Experimental and numerical investigation of abrasive water jet nozzle erosion. Powder Technol. 2023, 430, 119031. [Google Scholar] [CrossRef]
  24. El-Emam, M.A.; Zhou, L.; Yasser, E.; Bai, L.; Shi, W. Computational methods of erosion wear in centrifugal pump: A state-of-the-art review. Arch. Comput. Methods Eng. 2022, 29, 3789–3814. [Google Scholar] [CrossRef]
  25. Sun, J.; Ge, X.; Zhou, Y.; Liu, D.; Liu, J.; Li, G.; Zheng, Y. Research on synergistic erosion by cavitation and sediment: A review. Ultrason. Sonochemistry 2023, 95, 106399. [Google Scholar] [CrossRef] [PubMed]
  26. Tarodiya, R.; Levy, A. Surface erosion due to particle-surface interactions-A review. Powder Technol. 2021, 387, 527–559. [Google Scholar] [CrossRef]
  27. Chen, M.; Tan, L. Solid-liquid multiphase flow and erosion in the energy storage pump using modified drag model and erosion model. J. Energy Storage 2023, 73, 108859. [Google Scholar] [CrossRef]
  28. Hong, B.; Li, Y.; Li, X.; Li, G.; Huang, A.; Ji, S.; Li, W.; Gong, J.; Guo, J. Experimental investigation of erosion rate for gas-solid two-phase flow in 304 stainless/L245 carbon steel. Pet. Sci. 2022, 19, 1347–1360. [Google Scholar] [CrossRef]
  29. He, Y. Analysis and Research on Dynamic Characteristics and Structure Optimization of HS210 Sand Screw Conveyer. Master’s Thesis, Lanzhou University of Technology, Lanzhou, China, 2023. [Google Scholar]
  30. Schlichting, H.; Gersten, K. Boundary-Layer Theory; Springer: Berlin/Heidelberg, Germany, 2016. [Google Scholar]
  31. Mirjalili, S.; Mirjalili, S.M.; Lewis, A. Grey wolf optimizer. Adv. Eng. Softw. 2014, 69, 46–61. [Google Scholar] [CrossRef]
Figure 1. Structure and size of jet pump.
Figure 1. Structure and size of jet pump.
Energies 17 05720 g001
Figure 2. Slot hole location and monitoring surface naming: (a) slot hole location and cross section; (b) monitoring surface naming.
Figure 2. Slot hole location and monitoring surface naming: (a) slot hole location and cross section; (b) monitoring surface naming.
Energies 17 05720 g002
Figure 3. Experimental platform. 1—transparent jet pump; 2—power pump; 3—valve; 4—clean water tank; 5—sand-filled water tank; 6—stirrer; 7—inlet flow meter; 8—outlet flow meter; 9—inlet pressure sensor; 10—suction pressure sensor; 11—outlet pressure sensor; 12—high-speed camera.
Figure 3. Experimental platform. 1—transparent jet pump; 2—power pump; 3—valve; 4—clean water tank; 5—sand-filled water tank; 6—stirrer; 7—inlet flow meter; 8—outlet flow meter; 9—inlet pressure sensor; 10—suction pressure sensor; 11—outlet pressure sensor; 12—high-speed camera.
Energies 17 05720 g003
Figure 4. Center pressure coefficient curve.
Figure 4. Center pressure coefficient curve.
Energies 17 05720 g004
Figure 5. Computational domain and mesh details: (a) computational domain mesh; (b) mesh details.
Figure 5. Computational domain and mesh details: (a) computational domain mesh; (b) mesh details.
Energies 17 05720 g005
Figure 6. Jet pump external characteristic curve.
Figure 6. Jet pump external characteristic curve.
Energies 17 05720 g006
Figure 7. Percentage of wear and tear on monitored surfaces.
Figure 7. Percentage of wear and tear on monitored surfaces.
Energies 17 05720 g007
Figure 8. Erosion rate variation with inlet flow rate.
Figure 8. Erosion rate variation with inlet flow rate.
Energies 17 05720 g008
Figure 9. Erosion rate variation with flow rate ratio.
Figure 9. Erosion rate variation with flow rate ratio.
Energies 17 05720 g009
Figure 10. Erosion rate variation with particle size.
Figure 10. Erosion rate variation with particle size.
Energies 17 05720 g010
Figure 11. Erosion rate variation with particle volume concentration.
Figure 11. Erosion rate variation with particle volume concentration.
Energies 17 05720 g011
Table 1. Main structural parameters of jet pump.
Table 1. Main structural parameters of jet pump.
Structural ParametersUnitSize
Inlet pipe diameter Dimm25
Nozzle diameter Dnmm10
Suction pipe diameter Dsmm25
Mixing tube diameter Dmmm25
Outlet pipe diameter Domm50
Area ratio m-6.25
Driving nozzle position Smm19.6
Mixing tube length Lmmm188.8
Shrinkage angle α°40
Diffusion angle β°8
Table 2. Performance parameters of solid particles.
Table 2. Performance parameters of solid particles.
ParametersUnitData
Proportiong/cm32.66
Capacityg/cm31.75
Porosity%43
Moh’s hardness-7.5
SiO2 content%99.6
Uniformity coefficient of filtering media (K80)-≤1.8
Table 3. Solid phase contact parameters.
Table 3. Solid phase contact parameters.
Phase InteractionsRestitution CoefficientStatic Friction CoefficientCoefficient of Rolling Resistance
Particle–Particle0.480.490.03
Particle–Wall0.390.50.01
Table 4. Computational condition settings.
Table 4. Computational condition settings.
FactorUnitSetting
Inlet flow Qpm3/h1.032.074.148.2816.56
Flow rate ratio q/0.60.81.01.21.4
Particle size Dmm0.500.751.001.251.50
Particle volume concentration Cv%0.10.51.02.05.0
Table 5. Mesh independence verification.
Table 5. Mesh independence verification.
Mesh SchemeMesh Size (mm)Number of MeshEfficiency (%)
N11.69703,45621.76
N21.54909,01821.80
N31.401,169,83422.08
N41.271,523,35822.14
N51.161,959,34822.11
Table 6. Error between numerical and experimental results.
Table 6. Error between numerical and experimental results.
qError (%)qError (%)
0.401−0.3560.7471.929
0.4450.0550.7992.192
0.4980.2290.8502.630
0.5480.8570.9002.945
0.6021.0860.9433.138
0.6491.5201.0033.209
0.7071.804//
Table 7. Ranking of average errors of different erosion models.
Table 7. Ranking of average errors of different erosion models.
RankModel δ ¯ (%)
1Neilson16.373
2Archard21.816
3Ahlert30.246
4Zhang32.546
5DNV32.825
6Oka43.397
Table 8. Optimization results of model coefficients.
Table 8. Optimization results of model coefficients.
Coefficient TypeValue
εC3.38 × 105
εD7.85 × 105
Table 9. Erosion ratio variation with inlet flow rate.
Table 9. Erosion ratio variation with inlet flow rate.
Qp (m3/h)Direction
XYZ
X1X2X3Y1Y2Z1Z2
1.03534.50%33.48%32.01%45.00%55.00%98.73%1.27%
2.07019.54%40.72%39.74%35.35%64.65%71.03%28.97%
4.13915.88%43.71%40.41%45.17%54.83%54.51%45.49%
8.27918.22%43.28%38.51%47.09%52.91%50.83%49.17%
16.55718.49%41.22%40.29%41.82%58.18%52.75%47.25%
Table 10. Erosion ratio variation with flow rate ratio.
Table 10. Erosion ratio variation with flow rate ratio.
qDirection
XYZ
X1X2X3Y1Y2Z1Z2
0.632.53%40.86%26.61%45.59%54.41%54.69%45.31%
0.816.49%47.50%36.00%45.64%54.36%54.02%45.98%
1.015.82%42.66%41.52%46.84%53.16%54.95%45.05%
1.223.06%35.85%41.09%45.66%54.34%55.90%44.10%
1.428.63%32.67%38.70%43.54%56.46%55.65%44.35%
Table 11. Erosion ratio variation with particle size.
Table 11. Erosion ratio variation with particle size.
D (mm)Direction
XYZ
X1X2X3Y1Y2Z1Z2
0.506.25%45.11%48.63%47.50%52.50%51.89%48.11%
0.7511.00%44.82%44.18%45.67%54.33%52.94%47.06%
1.0016.14%43.59%40.27%45.02%54.98%53.50%46.50%
1.2519.22%41.40%39.37%44.48%55.52%55.37%44.63%
1.5020.06%40.17%39.78%44.69%55.31%53.88%46.12%
Table 12. Erosion ratio variation with particle volume concentration.
Table 12. Erosion ratio variation with particle volume concentration.
Cv (%)Direction
XYZ
X1X2X3Y1Y2Z1Z2
0.116.07%43.61%40.32%45.11%54.89%53.80%46.20%
0.516.06%43.16%40.79%44.19%55.81%55.05%44.95%
1.015.64%43.35%41.01%43.40%56.60%56.75%43.25%
2.015.92%43.06%41.03%45.15%54.85%57.26%42.74%
5.016.78%41.97%41.25%42.95%57.05%58.40%41.60%
Disclaimer/Publisher’s Note: The statements, opinions and data contained in all publications are solely those of the individual author(s) and contributor(s) and not of MDPI and/or the editor(s). MDPI and/or the editor(s) disclaim responsibility for any injury to people or property resulting from any ideas, methods, instructions or products referred to in the content.

Share and Cite

MDPI and ACS Style

Wan, X.; Dong, M.; Xu, M.; Fan, C.; Mou, J.; Han, S. Numerical Prediction of Solid Particle Erosion in Jet Pumps Based on a Calibrated Model. Energies 2024, 17, 5720. https://doi.org/10.3390/en17225720

AMA Style

Wan X, Dong M, Xu M, Fan C, Mou J, Han S. Numerical Prediction of Solid Particle Erosion in Jet Pumps Based on a Calibrated Model. Energies. 2024; 17(22):5720. https://doi.org/10.3390/en17225720

Chicago/Turabian Style

Wan, Xuanchen, Mengxue Dong, Maosen Xu, Chuanhao Fan, Jiegang Mou, and Shuai Han. 2024. "Numerical Prediction of Solid Particle Erosion in Jet Pumps Based on a Calibrated Model" Energies 17, no. 22: 5720. https://doi.org/10.3390/en17225720

APA Style

Wan, X., Dong, M., Xu, M., Fan, C., Mou, J., & Han, S. (2024). Numerical Prediction of Solid Particle Erosion in Jet Pumps Based on a Calibrated Model. Energies, 17(22), 5720. https://doi.org/10.3390/en17225720

Note that from the first issue of 2016, this journal uses article numbers instead of page numbers. See further details here.

Article Metrics

Back to TopTop