Study on Windage Response Suppression of Large-Span Transmission Tower-Line System Using a Spring-Pendulum Dynamic Vibration Absorber
Abstract
1. Introduction
2. Windage Response Analysis of Transmission Tower-Line System
2.1. Finite Element Model
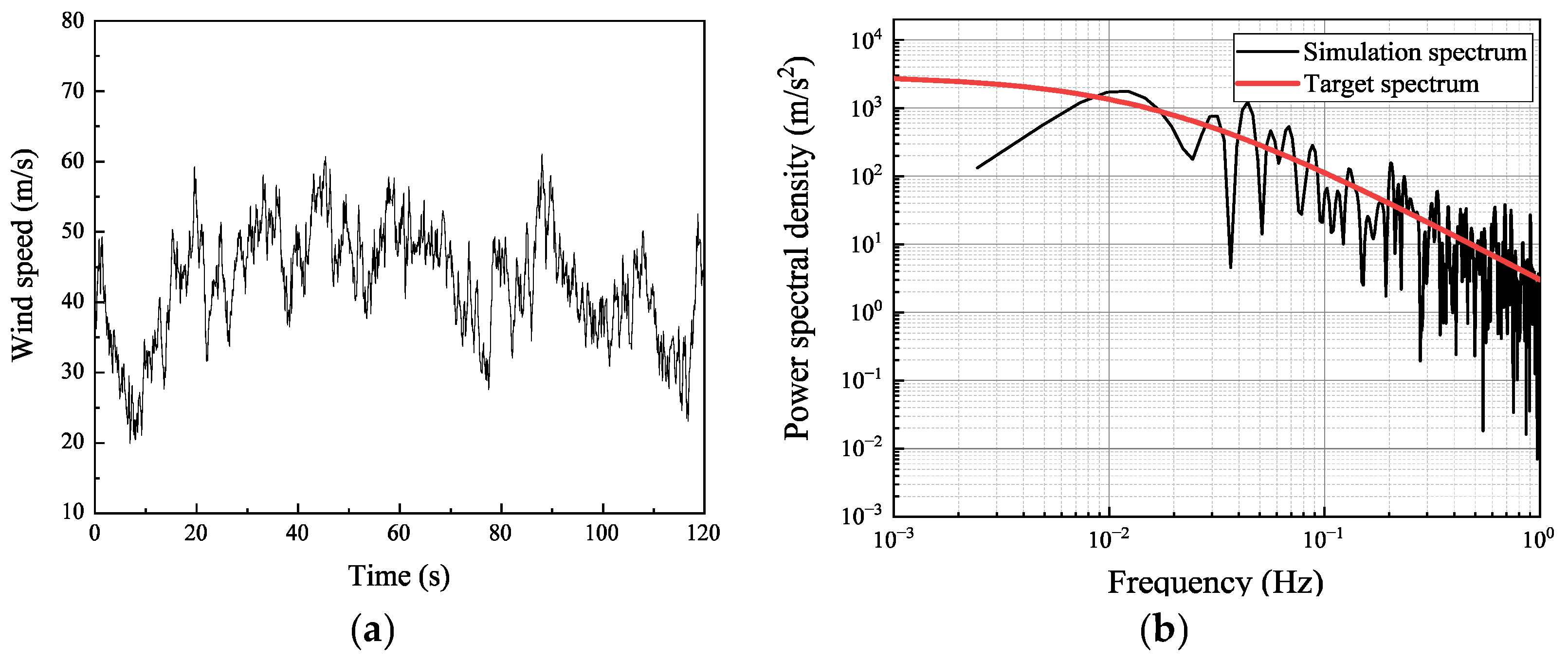
2.2. Wind Load Simulation
2.3. Analysis of Windage Response
3. Windage Response Suppression Analysis
3.1. Spring-Pendulum Dynamic Vibration Absorber
3.2. Windage Suppression Effectiveness
3.3. Impact of Wind Speed
3.4. Impact of Spring Stiffness
3.5. Impact of Mass Block’s Mass
4. Conclusions
- (1)
- As the wind speed increases, the insulator’s windage angle rises linearly. Based on the minimum allowable gap between the charged body and the transmission tower structure specified, the maximum allowable windage angle is 58.39°. In this study, a wind speed of 26 m/s at a height of 10 m is identified as the critical wind speed, as it causes the insulator’s windage angle to exceed the allowable limit.
- (2)
- As the wind speed increases, the peak windage angle and bottom displacement of the insulator rise linearly, while the peak acceleration at the bottom remains largely unchanged. Compared to the heavy hammer method, the SPDVA provides a more effective suppression, achieving a peak windage angle reduction of up to 15.86%. However, installing the SPDVA also increases the insulator’s stress, which must be considered in designing for tensile fracture prevention.
- (3)
- As the stiffness increases, the peak and mean square deviation suppression ratios of the windage angle first increase and then decrease, reaching an optimal stiffness of 10 kN/m. Increasing the mass block’s mass also enhances both the peak and mean square deviation suppression ratios of the windage angle. Importantly, the peak suppression effectiveness surpasses the mean square deviation suppression effectiveness across varying parameter changes.
Author Contributions
Funding
Data Availability Statement
Conflicts of Interest
References
- Li, M.C.; Zhang, Y.L.; Yang, B.G.; Xue, H.; Lv, Y.X.; Zhang, M. Calculation and analysis of suspension insulator strings windage minimum air clearance. Electr. Meas. Instrum. 2012, 49, 7–10. [Google Scholar] [CrossRef]
- Shen, L.; Feng, T.; Liang, S.; Li, C.; Chang, M.; Zhao, Z. Research on the optical fiber monitoring for windage angle of transmission line insulator string. J. Electr. Power Sci. Technol. 2021, 35, 75–81. [Google Scholar] [CrossRef]
- Xu, H.; Zhu, K.J.; Liu, B.; Liu, C.L.; Yang, J.L. A study of influencing parameters on conductor galloping for transmission lines. J. Vibroeng. 2014, 30, 312–323. [Google Scholar] [CrossRef]
- Zhou, L.; Yan, B.; Lu, X.; Liang, M.; Guo, Y.; Yuan, Q. Numerical study on dynamic swing of insulator string in tower-line system under wind load. In Proceedings of the 2012 Asia-Pacific Power and Energy Engineering Conference, Shanghai, China, 27–29 March 2012; pp. 1–4. [Google Scholar] [CrossRef]
- Zhao, S.; Yue, J.; Savory, E.; Yan, Z.; Chen, J.; Zhang, B.; Peng, L. Dynamic windage yaw angle and dynamic wind load factor of a suspension insulator string. Shock. Vib. 2022, 2022, 6822689. [Google Scholar] [CrossRef]
- Wang, J.C.; Zhu, S.W.; Peng, B.; Duan, S.B.; Li, P. Static and dynamic mechanical characteristic comparison research of v-type insulator string under gale condition. IOP Conf. Ser. Earth Environ. Sci. 2017, 61, 012094. [Google Scholar] [CrossRef]
- Yin, X.; Shi, Y.; Xu, X.; Duan, Y.; Jia, Y.; Chen, G.; Yin, F. Research on Wind Deviation Detection Based on DENCLUE abnormal Working Condition Filtering. IOP Conf. Ser. Earth Environ. Sci. 2020, 617, 012015. [Google Scholar] [CrossRef]
- Li, L.; Lin, C.; Wu, X. Research on windage yaw of V-type composite insulators in ultra-high voltage. In Proceedings of the Second International Conference on Mechanics, Materials and Structural Engineering (ICMMSE 2017), Beijing, China, 14–16 April 2017; Atlantis Press: Amsterdam, The Netherlands, 2017. [Google Scholar] [CrossRef]
- An, L.; Guan, Y.; Zhu, Z.; Zhang, R. Research on windage yaw flashovers of transmission lines under wind and rain conditions. Energies 2019, 12, 3728. [Google Scholar] [CrossRef]
- Liu, Y.; Guo, Y.; Wang, B.; Li, Q.; Gao, Q.; Wan, Y. Research on Influencing Factors and Wind Deflection Warning of Transmission Lines Based on Meteorological Prediction. Energies 2024, 17, 2612. [Google Scholar] [CrossRef]
- Stengel, D.; Mehdianpour, M. Finite element modelling of electrical overhead line cables under turbulent wind load. J. Struct. 2014, 2014, 421587. [Google Scholar] [CrossRef]
- Haddadin, S.; Aboshosha, H.; Ansary, A.E.; Damatty, A.E. Sensitivity of wind induced dynamic response of a transmission line to variations in wind speed. In Proceedings of the Resilient Infrastruct, London, UK, 1–4 June 2016; pp. 1–8. [Google Scholar]
- Wang, D.; Chen, X.; Li, J. Prediction of wind-induced buffeting response of overhead conductor: Comparison of linear and nonlinear analysis approaches. J. Wind. Eng. Ind. Aerodyn. 2017, 167, 23–40. [Google Scholar] [CrossRef]
- Li, X.; Zhang, W.; Niu, H.; Wu, Z.Y. Probabilistic capacity assessment of single circuit transmission tower-line system subjected to strong winds. Eng. Struct. 2018, 175, 517–530. [Google Scholar] [CrossRef]
- Mou, Z.; Yan, B.; Lin, X.; Huang, G.; Lv, X. Prediction method for galloping features of transmission lines based on FEM and machine learning. Cold Reg. Sci. Technol. 2020, 173, 103031. [Google Scholar] [CrossRef]
- Fu, X.; Li, H.N.; Li, G.; Dong, Z.Q.; Zhao, M. Failure analysis of a transmission line considering the joint probability distribution of wind speed and rain intensity. Eng. Struct. 2021, 233, 111913. [Google Scholar] [CrossRef]
- Liu, C.N.; Lai, S.K.; Ni, Y.Q.; Chen, L. Dynamic modelling and analysis of a physics-driven strategy for vibration control of railway vehicles. Veh. Syst. Dyn. 2024, 1–31. [Google Scholar] [CrossRef]
- Yang, Y.; Liu, C.N.; Chen, L.; Zhang, X.L. Phase deviation of semi-active suspension control and its compensation with inertial suspension. Acta Mech. Sin. 2024, 40, 523367. [Google Scholar] [CrossRef]
- Xu, Z.G.; Wang, T.; Liu, N.B.; Zhang, Z.H.; Dong, S.X. Study on simulation calculation of wind deviation prevention of 220 kV composite insulators. J. Chongqing Univ. Technol. (Nat. Sci.) 2023, 37, 291–297. [Google Scholar] [CrossRef]
- Rao, B.B.; Xu, C.H.; Zeng, X.; Fu, M.H. Analysis and Countermeasures of Wind Deflection Fault of Transmission Line Conductor to Building. Jiangxi Electr. Power 2023, 47, 1–5. [Google Scholar] [CrossRef]
- Chen, M.; Zhang, M. On application of weights to windage suppression for insulator strings on suspension towers. Guangdong Electr. Power 2000, 6, 18–21. [Google Scholar] [CrossRef]
- Zheng, L.Y.; Zhang, J.; Zhu, D.Y. Measures of Preventing Wind Deflection for 500 kV Transmission Lines. Shandong Electr. Power 2015, 42, 9–13. [Google Scholar] [CrossRef]
- Lu, M.; Lin, C.L.; Li, L.; Wang, G.Z. Research on Design of included Angle of UHV V-shape Composite Insulator. Guangdong Electr. Power 2018, 31, 99–105. [Google Scholar] [CrossRef]
- Tian, L.; Zeng, Y.J. Parametric Study of Tuned Mass Dampers for Long Span Transmission Tower-Line System under Wind Loads. Shock. Vib. 2016, 1, 4965056. [Google Scholar] [CrossRef]
- GB 50665-2011; Code for Design of 1000kV Overhead Transmission Line. Ministry of Housing and Urban-Rural Development of the People’s Republic of China: Beijing, China, 2011.
- GB 50009-2012; Load Code for the Design of Building Structures. Ministry of Housing and Urban-Rural Development of the People’s Republic of China: Beijing, China, 2012.
- Kaimal, J.C.; Wyngaard, J.C.J.; Izumi, Y.; Coté, O.R. Spectral characteristics of surface-layer turbulence. Q. J. R. Meteorol. Soc. 1972, 98, 563–589. [Google Scholar] [CrossRef]
- IEC 60826-2003; Design Criteria of Overhead Transmission Lines. International Electrotechnical Commission: Geneva, Switzerland, 2003.
















| Type | Conductor | Ground Wire |
|---|---|---|
| Name | JLHA1/G4A-500/230 | OPGW-300 |
| Source of equipment | AnHui Electric Group Shares Co., Ltd., Chuzhou, China | AnHui Electric Group Shares Co., Ltd., Chuzhou, China |
| Elastic modulus (GPa) | 97.0 | 170.1 |
| Sectional area (mm2) | 727.93 | 295.4 |
| Outside diameter (mm) | 35.13 | 22.90 |
| Calculated weight (kg/km) | 3173.5 | 2166.0 |
| Expansion coefficient (1/°C) | 16.0 × 10−6 | 13.0 × 10−6 |
| Design Parameter | mc (kg) | k (kN/m) | c (kN/(m/s)) | l0 (m) |
|---|---|---|---|---|
| Value | 6000 | 10 | 10 | 1 |
Disclaimer/Publisher’s Note: The statements, opinions and data contained in all publications are solely those of the individual author(s) and contributor(s) and not of MDPI and/or the editor(s). MDPI and/or the editor(s) disclaim responsibility for any injury to people or property resulting from any ideas, methods, instructions or products referred to in the content. |
© 2024 by the authors. Licensee MDPI, Basel, Switzerland. This article is an open access article distributed under the terms and conditions of the Creative Commons Attribution (CC BY) license (https://creativecommons.org/licenses/by/4.0/).
Share and Cite
Song, P.; Lang, X.; Zhang, S.; Yang, B.; Zhang, S.; Rong, K.; Tian, L. Study on Windage Response Suppression of Large-Span Transmission Tower-Line System Using a Spring-Pendulum Dynamic Vibration Absorber. Energies 2024, 17, 5638. https://doi.org/10.3390/en17225638
Song P, Lang X, Zhang S, Yang B, Zhang S, Rong K, Tian L. Study on Windage Response Suppression of Large-Span Transmission Tower-Line System Using a Spring-Pendulum Dynamic Vibration Absorber. Energies. 2024; 17(22):5638. https://doi.org/10.3390/en17225638
Chicago/Turabian StyleSong, Peng, Xujun Lang, Sixiang Zhang, Bo Yang, Siyao Zhang, Kunjie Rong, and Li Tian. 2024. "Study on Windage Response Suppression of Large-Span Transmission Tower-Line System Using a Spring-Pendulum Dynamic Vibration Absorber" Energies 17, no. 22: 5638. https://doi.org/10.3390/en17225638
APA StyleSong, P., Lang, X., Zhang, S., Yang, B., Zhang, S., Rong, K., & Tian, L. (2024). Study on Windage Response Suppression of Large-Span Transmission Tower-Line System Using a Spring-Pendulum Dynamic Vibration Absorber. Energies, 17(22), 5638. https://doi.org/10.3390/en17225638

