Forecast-Based Energy Management for Optimal Energy Dispatch in a Microgrid
Abstract
1. Introduction
- An optimal energy dispatch strategy based on predictions using LSTM neural networks and mixed-integer optimization.
- A technical and financial analysis of the proposed dispatch algorithm.
2. Methodology
2.1. Description of the Simulation Scenario with a Focus on the Case Study
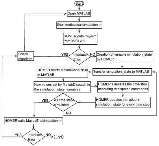
2.1.1. Description of the Microgrid
2.1.2. Description of the Simulation Scenario
- MatlabStartSimulation: This function is responsible for checking possible problems in the communication interface before each simulation and initializing the variables created by the user.
- MatlabDispatch: In this function, the user’s dispatch technique is programmed and called at each sampling instant to update the state of the variables, such as the power delivered to the network and the power extracted from the batteries.
- MatlabEndSimulation: This function is called at the end of each sampling instant that has been simulated. In this way, if it finds any error or warning, it is stored in the variable myerr and is presented at the end of the entire simulation.
2.2. Forecast of the Photovoltaic Power and Load Consumption
2.3. Mixed-Integer Linear Optimization Problem Formulation
2.3.1. Objective Function
2.3.2. Active Power Balance Constraint
2.3.3. Battery System Model
2.3.4. Operational Limits Constraints
2.4. Decision Algorithm
2.5. Peak-Shaving Algorithm (Complementary)
- Mode 1: Operation of the system when the load power is greater than the optimal microgrid generation and the state of charge of the battery is above its minimum value . Thus, the demand is met through the discharge of the BESS and the main grid, and it is governed by the active power balance given by Equation (9):
- Mode 2: This mode operates when the load is greater than the optimal operating point of the microgrid but less than the sum of the extractable power from the grid and the BESS . In this context, the grid fully satisfies the demand while also charging the batteries, thereby governing the power balance through Equation (10):
- Mode 3: This mode is activated when the load power exceeds the combined power of the grid and the battery bank but is less than the extractable capacity from the grid , and the state of charge of the BESS is above its minimum level. The demand power is solely covered through the discharge of the storage system, and dispatch is carried out using Equation (11):
- Mode 4: This scenario occurs when the sum of the consumption power and the power needed to charge the battery is less than the extractable power from the grid . Thus, if the state of charge of the battery is below its maximum limit, the power balance equation is given by (12):
- Mode 5: This operating mode defines a state of inactivity for the BESS equipment. It is activated when the sum of the consumption power plus the battery charging power exceeds the maximum extractable power from the main distribution grid. Additionally, the BESS does not allow discharge, as it is below its minimum operating level. Thus, the microgrid solely meets the demand, and the battery remains resting. The equation for the active power balance is reduced to (13):
- Mode 1: In this operating mode, if the load is greater than the optimal operating point of the microgrid plus the available photovoltaic power , it is assumed that the renewable resource is not sufficient to meet demand. Therefore, the battery power is integrated, and it is verified whether this can cover demand. If possible, demand is fulfilled using these two components, as indicated by the energy balance in Equation (14):
- Mode 2: In this scenario, it is verified whether it is possible to meet demand using renewable resources. Otherwise, if the SoC of the battery allows discharge, the battery power is integrated into the dispatch. If demand can still not be fully met, the remaining part is supplied through the integration of the main distribution system. The following three conditions govern this mode:
- Mode 3: This mode is activated when the photovoltaic solar resource exceeds the load and the battery SoC is below its maximum. In this scenario, the surplus photovoltaic power charges the BESS. Thus, the power balance adheres to Equation (19):
3. Results and Discussion
4. Conclusions
Author Contributions
Funding
Data Availability Statement
Conflicts of Interest
Abbreviations
| RES | Renewable Energy Sources |
| PV | Photovoltaic Power |
| LSTM | Long Short-Term Memory |
| BESS | Battery Energy Storage System |
| SoC | State of Charge |
| Minimum State of Charge | |
| EMS | Energy Management System |
| RMSE | Root-Mean-Square Error |
| Rate per Kw/h for purchasing energy from the grid | |
| Rate per Kw/h for charging the battery | |
| Rate per Kw/h for discharging the battery | |
| Power supplied from the grid | |
| Maximum extractable power from the main distribution grid | |
| Battery’s charging power | |
| Battery’s discharging power | |
| PCC | Point of common coupling |
| Photovoltaic energy generated by the panels | |
| Load power | |
| Power sold to the grid | |
| Battery’s state of charge at the previous time step | |
| Battery’s storage efficiency | |
| Time step between two time instances | |
| Battery’s self-discharge rate | |
| Battery state of charge at the current time step | |
| Battery’s maximum discharging power | |
| Battery’s maximum charging power | |
| Binary variable that selects the operational state of the BESS | |
| Battery’s minimum state of charge | |
| Battery’s maximum state of charge | |
| Coefficient limiting the maximum extractable power from the main distribution grid |
References
- Kheiter, A.; Souag, S.; Chaouch, A.; Boukortt, A.; Bekkouche, B.; Guezgouz, M. Energy Management Strategy Based on Marine Predators Algorithm for Grid-Connected Microgrid. Int. J. Renew. Energy Dev. 2022, 11, 751–765. [Google Scholar] [CrossRef]
- Mirhoseini, P.; Ghaffarzadeh, N. Economic battery sizing and power dispatch in a grid-connected charging station using convex method. J. Energy Storage 2020, 31, 101651. [Google Scholar] [CrossRef]
- Alvarado-Barrios, L.; Álvarez Arroyo, C.; Escaño, J.; Gonzalez-Longatt, F.; Martinez-Ramos, J. Two-level optimisation and control strategy for unbalanced active distribution systems management. IEEE Access 2020, 8, 197992–198009. [Google Scholar] [CrossRef]
- Shouman, N.; Hegazy, Y.; Omran, W. Battery Energy Storage System for Stochastic Based Power Dispatch Incorporating Renewable Energy Sources Uncertainty. In Proceedings of the 2022 International Conference on Electrical, Computer and Energy Technologies, Prague, Czech Republic, 20–22 July 2022; Institute of Electrical and Electronics Engineers Inc.: Piscataway, NJ, USA, 2022. [Google Scholar] [CrossRef]
- Dratsas, P.; Psarros, G.; Papathanassiou, S. Feasibility of Behind-the-Meter Battery Storage in Wind Farms Operating on Small Islands. Batteries 2022, 8, 275. [Google Scholar] [CrossRef]
- Gantayet, A.; Dheer, D. A data-driven multi-objective optimization framework for optimal integration planning of solid-state transformer fed energy hub in a distribution network. Eng. Sci. Technol. Int. J. 2022, 36, 101278. [Google Scholar] [CrossRef]
- Patnaik, S.; Nayak, M.; Viswavandya, M. Optimal Battery Energy Storage System Management with Wind Turbine Generator in Unbalanced Low Power Distribution System. Adv. Electr. Electron. Eng. 2023, 20, 523–536. [Google Scholar] [CrossRef]
- Pavon, W.; Inga, E.; Simani, S.; Nonato, M. A Review on Optimal Control for the Smart Grid Electrical Substation Enhancing Transition Stability. Energies 2021, 14, 8451. [Google Scholar] [CrossRef]
- Tahir, M.F.; Chen, H.; Javed, M.S.; Jameel, I.; Khan, A.; Adnan, S. Integration of Different Individual Heating Scenarios and Energy Storages into Hybrid Energy System Model of China for 2030. Energies 2019, 12, 2083. [Google Scholar] [CrossRef]
- Day-Ahead DSM-Integrated Hybrid-Power-Management-Incorporated CEED of Solar Thermal/Wind/Wave/BESS System Using HFPSO. Sustainability 2022, 14, 1169. [CrossRef]
- Kang, W.; Chen, M.; Lai, W.; Luo, Y. Distributed real-time power management for virtual energy storage systems using dynamic price. Energy 2021, 216, 119069. [Google Scholar] [CrossRef]
- Eltamaly, A.; Alotaibi, M.; Elsheikh, W.; Alolah, A.; Ahmed, M. Novel Demand Side-Management Strategy for Smart Grid Concepts Applications in Hybrid Renewable Energy Systems. In Proceedings of the 2022 4th International Youth Conference on Radio Electronics, Electrical and Power Engineering (REEPE), Moscow, Russia, 17–19 March 2022; Institute of Electrical and Electronics Engineers Inc.: Piscataway, NJ, USA, 2022. [Google Scholar] [CrossRef]
- Uwineza, L.; Kim, H.G.; Kleissl, J.; Kim, C. Technical Control and Optimal Dispatch Strategy for a Hybrid Energy System. Energies 2022, 15, 2744. [Google Scholar] [CrossRef]
- Rana, M.M.; Romlie, M.F.; Abdullah, M.F.; Uddin, M.; Sarkar, M.R. A novel peak load shaving algorithm for isolated microgrid using hybrid PV-BESS system. Energy 2021, 234, 121157. [Google Scholar] [CrossRef]
- Uddin, M.; Romlie, M.F.; Abdullah, M.F.; Tan, C.K.; Shafiullah, G.M.; Bakar, A.H. A novel peak shaving algorithm for islanded microgrid using battery energy storage system. Energy 2020, 196, 117084. [Google Scholar] [CrossRef]
- Huang, Z.; Ma, P.; Wang, M.; Fang, B.; Zhang, M. A Hierarchical Strategy for Multi-Objective Optimization of Distribution Network Considering DGs and V2G-Enabled EVs Integration. Front. Energy Res. 2022, 10, 869844. [Google Scholar] [CrossRef]
- Pal, P.; Krishnamoorthy, P.; Rukmani, D.; Joseph Antony, S.; Ocheme, S.; Subramanian, U.; Elavarasan, R.; Das, N.; Hasanien, H. Optimal dispatch strategy of virtual power plant for day-ahead market framework. Appl. Sci. 2021, 11, 3814. [Google Scholar] [CrossRef]
- Li, Y.; Peng, J.; Jia, H.; Zou, B.; Hao, B.; Ma, T.; Wang, X. Optimal battery schedule for grid-connected photovoltaic-battery systems of office buildings based on a dynamic programming algorithm. J. Energy Storage 2022, 50, 104557. [Google Scholar] [CrossRef]
- Asef, P.; Taheri, R.; Shojafar, M.; Mporas, I.; Tafazolli, R. SIEMS: A Secure Intelligent Energy Management System for Industrial IoT Applications. IEEE Trans. Ind. Inform. 2023, 19, 1039–1050. [Google Scholar] [CrossRef]
- Wang, B.; Zhang, C.; Li, C.; Li, P.; Dong, Z.; Lu, J. Hybrid Interval-Robust Adaptive Battery Energy Storage System Dispatch with SoC Interval Management for Unbalanced Microgrids. IEEE Trans. Sustain. Energy 2022, 13, 44–55. [Google Scholar] [CrossRef]
- Mazzola, S.; Vergara, C.; Astolfi, M.; Li, V.; Perez-Arriaga, I.; Macchi, E. Assessing the value of forecast-based dispatch in the operation of off-grid rural microgrids. Renew. Energy 2017, 108, 116–125. [Google Scholar] [CrossRef]
- Kim, H.; Kim, M. A novel deep learning-based forecasting model optimized by heuristic algorithm for energy management of microgrid. Appl. Energy 2023, 332, 120525. [Google Scholar] [CrossRef]
- Espinoza, J.L.; González, L.G.; Sempértegui, R. Micro grid laboratory as a tool for research on non-conventional energy sources in Ecuador. In Proceedings of the 2017 IEEE International Autumn Meeting on Power, Electronics and Computing (ROPEC), Ixtapa, Mexico, 8–10 November 2017; pp. 1–7. [Google Scholar] [CrossRef]
- Duran, J.F.; Minchala, L.I. A Comparative Study on Time Series Prediction of Photovoltaic-Power Production Through Classic Statistical Techniques and Short-Term Memory Networks. In Proceedings of the 2023 9th International Conference on Control, Decision and Information Technologies (CoDIT), Rome, Italy, 3–6 July 2023; pp. 1512–1517. [Google Scholar] [CrossRef]














| Option | Value | Description |
|---|---|---|
| Training algorithm | Adam | Adaptive moment estimation algorithm. Adjusts learning rates by optimizing the loss function, with consideration of a moment term. |
| MaxEpochs | 100 | Maximum number of epochs. |
| GradientThreshold | 1 | Limits gradient burst to avoid training divergence. |
| InitialLearnRate | 0.005 | Specifies the initial learning rate of the training. |
| LearnRateSchedule | piecewise | Updates the learning rate every certain number of epochs. |
| LearnRateDropPeriod | 50 | Specifies the number of epochs for modifying the learning rate based on the previous parameter. |
| LearnRateDropFactor | 0.2 | Learning rate reduction factor. |
| SequencePaddingDirection | right | Right truncation direction to prevent later time units from influencing earlier time predictions. |
| ValidationFrequency | 10 | The frequency with which the algorithm performs validation tests. |
| Algorithm | Optimization | Peak Shaving | Optim. Peak Shaving | Forecast and Optimization |
|---|---|---|---|---|
| RE penetration (%) | 38.4 | 51.3 | 61.3 | 51.7 |
| emission (kg/year) | 38,495 | 27,196 | 26,725 | 25,766 |
| Purchased energy (kWh/year) | 60,910 | 43,031 | 33,856 | 40,770 |
| Sold energy (kWh/year) | 25,851 | 15,416 | 14,672 | 11,435 |
| Operation cost (USD) | 210,107 | 155,800 | 117,823 | 150,351 |
| Capital cost (USD) | 100,700 | 100,700 | 100,700 | 100,700 |
| fReplacement cost (USD) | 188,569 | 17,659 | 68,844 | 61,555 |
| fSalvage cost (USD) | 0 | 2257 | 305 | 544 |
| BESS penetration (%) | 38.52 | 5.27 | 17.97 | 59.25 |
Disclaimer/Publisher’s Note: The statements, opinions and data contained in all publications are solely those of the individual author(s) and contributor(s) and not of MDPI and/or the editor(s). MDPI and/or the editor(s) disclaim responsibility for any injury to people or property resulting from any ideas, methods, instructions or products referred to in the content. |
© 2024 by the authors. Licensee MDPI, Basel, Switzerland. This article is an open access article distributed under the terms and conditions of the Creative Commons Attribution (CC BY) license (https://creativecommons.org/licenses/by/4.0/).
Share and Cite
Durán, F.; Pavón, W.; Minchala, L.I. Forecast-Based Energy Management for Optimal Energy Dispatch in a Microgrid. Energies 2024, 17, 486. https://doi.org/10.3390/en17020486
Durán F, Pavón W, Minchala LI. Forecast-Based Energy Management for Optimal Energy Dispatch in a Microgrid. Energies. 2024; 17(2):486. https://doi.org/10.3390/en17020486
Chicago/Turabian StyleDurán, Francisco, Wilson Pavón, and Luis Ismael Minchala. 2024. "Forecast-Based Energy Management for Optimal Energy Dispatch in a Microgrid" Energies 17, no. 2: 486. https://doi.org/10.3390/en17020486
APA StyleDurán, F., Pavón, W., & Minchala, L. I. (2024). Forecast-Based Energy Management for Optimal Energy Dispatch in a Microgrid. Energies, 17(2), 486. https://doi.org/10.3390/en17020486

