Next Article in Journal
Research on the Configuration of a 100% Green Electricity Supplied Zero-Carbon Integrated Energy Station
Previous Article in Journal
The Economics of Electric Vehicles with Application to Electricity Grids
Previous Article in Special Issue
The Concentrator for Single-Phase Inverters with Three-Phase Output Using Magnetically Coupled Reactors
 
 
Font Type:
Arial Georgia Verdana
Font Size:
Aa Aa Aa
Line Spacing:
Column Width:
Background:
Article

Back-to-Back Inverter for Induction Machine Drive with Harmonic Current Compensation and Reactive Power Tolerance to Voltage Sags

by
Maria R. L. Oliveira
,
Luccas T. F. Soares
and
Aurélio L. M. Coelho
*
Instituto de Ciências Tecnológicas—ICT, Universidade Federal de Itajubá—UNIFEI, Itabira 35903-087, Brazil
*
Author to whom correspondence should be addressed.
Energies 2024, 17(16), 4110; https://doi.org/10.3390/en17164110
Submission received: 18 July 2024 / Revised: 7 August 2024 / Accepted: 10 August 2024 / Published: 19 August 2024
(This article belongs to the Special Issue Advances in Power Quality and Electrical Machines)

Abstract

The widespread use of static converters for controlling electrical machines and the concern for electrical power quality in industrial environments provide an opportunity for utilizing these devices to enhance the power quality. In this context, this work presents a back-to-back converter model for driving induction machines. The converter is designed to correct the power factor of the point common coupling (PCC), compensate for harmonic currents (acting as an active filter), and withstand voltage sags. The necessary control system models were developed, and an alternative implementation for these functions in the converter was proposed. The results demonstrate the technical feasibility of this solution, as the converter operated within its nominal limits by compensating for harmonics and reactive power. Moreover, the equipment showed resilience to severe voltage sags. The contribution of this paper focuses on the multifunctionality of the frequency converter for driving induction machines. It emphasizes the advantage of the inverter in improving power quality in industrial environments through reactive power compensation and harmonic current compensation, thus functioning as an active power filter. Additionally, it is worth highlighting its ability to handle voltage dips. In this regard, this paper contributes by providing an operational strategy for driving the induction machine during such transients.

1. Introduction

The industry’s need for equipment that converts electrical energy into mechanical energy to drive machines and manufacture products is reflected in the high demand for induction motors, particularly three-phase ones. These machines are employed because they require little maintenance and have relatively low costs [1]. In this context, in the United States, in the year 2018, approximately 52% of the energy consumed in the industrial sector was allocated to machine drive systems [2]. Therefore, frequency inverters are used, aiming for greater energy efficiency and more precise control of the drive [3].
This growing demand for energy efficiency and the integration of additional functions in drive systems has driven the development of technologies that combine various functionalities into a single device. The back-to-back converter offers a promising solution to meet these needs, providing not only efficient machine drive control but also the ability to correct power factors and compensate for network harmonics. The use of this type of converter allows for the optimization of system operation, reducing the costs associated with the installation of additional equipment and minimizing issues related to power quality [4].
Among the numerous frequency inverter topologies available in the market, there is the back-to-back topology. Unlike the classical topology, which employs a diode rectifier, the back-to-back topology uses two transistorized bridges that share the same DC bus. This enables bidirectional power exchange between the grid and the drive system. Furthermore, the use of an active rectifier interfacing with the grid allows this equipment to operate with a high power factor, low harmonic distortion, and greater tolerance to voltage dips compared to the classical topology [5,6].
The concern regarding harmonic pollution and operating with a low power factor in industrial electrical networks becomes evident because non-compliance with electrical quality standards can lead to problems with consumer installation. Therefore, methods should be employed to mitigate these effects, such as power filters for harmonics and capacitors for local power factor correction [7,8,9]. However, the simultaneous use of these solutions can lead to issues such as resonance in the power factor correction capacitors [10,11].
Voltage sags are also concerning for the operation of drives powered by inverters, as these disturbances can trigger equipment shutdowns due to internal protection mechanisms. Consequently, the driven load may be affected, potentially leading to an industrial process shutdown and resulting in financial losses.
In many cases, variable speed drives controlled by frequency inverters operate in an oversized or idle manner [12]. Various factors can impact the equipment’s operating regime, such as the process characteristics in which they are integrated and variability in mechanical load on the motor, among others. Therefore, the idle power margin in a back-to-back frequency converter could be utilized for performing additional functions to mitigate harmonic currents and correct the power factor of the installation they are part of.
In the technical literature, it is possible to find some studies that aim to explore harmonic and reactive power compensation in back-to-back frequency converters for machine drives. In this regard, ref. [13] presents a back-to-back converter equipped with special control that allows for compensation of reactive power and harmonic currents from the point of common coupling (PCC). However, this study did not assess the need for dynamic power saturation of the converter during machine operation. Thus, during compensation operation, the equipment could potentially overload. Additionally, this study did not address the inverter’s ability to withstand voltage sags.
On the other hand, ref. [14] addresses harmonic current compensation in the PCC using the aforementioned topology. This study defines the compensation limits without overloading the inverter. However, direct and simultaneous power factor correction alongside harmonic compensation is not addressed. Additionally, this study does not discuss techniques for the inverter’s ability to withstand voltage sags.
References [15,16,17] utilize an external active rectifier bridge alongside the machine drive inverter for harmonic compensation. In this case, installing this equipment increases costs compared to using the drive itself for additional functions. Furthermore, these studies also do not address the inverter’s ability to withstand voltage sags.
Regarding the inverter’s resilience to voltage sags, ref. [18] analyzes a classical converter with an energy storage system using batteries connected to its DC bus. The proposed solution is effective for severe and prolonged voltage sags, but its implementation cost may be relatively high.
Ref. [19] proposes adaptive control for a back-to-back converter to maintain the DC bus voltage within acceptable limits during a voltage sag. However, during the sag, to keep the DC bus voltage constant, the power required by the machine must be supplied by the active rectifier, leading to increased current through the switches due to the voltage drop. Hence, it becomes necessary to undersize the switches for operation in this situation.
References [18,19] solely focus on analyzing techniques for inverter resilience during voltage sags. They do not analyze additional functions that the converter could perform, such as harmonic compensation and power factor correction.
Therefore, this work proposes a computational model of a frequency converter based on a back-to-back topology for driving an induction machine. The implementation was performed using PLECS student software. The converter’s functions include driving the machine, compensating for current harmonics in the local installation acting as an active filter, correcting the power factor at the PCC, and also supporting momentary voltage sags. Thus, the contribution of this work lies in the multifunctional operation of the converter through the aforementioned functions.

2. Modeling of the System under Study

In this section, an overview of the converter under analysis will be presented, as well as its mathematical modeling necessary for the implementation of the controllers used. Figure 1 shows a general schematic of the back-to-back converter used, including the main control systems to be implemented.
As shown in Figure 1, the proposed converter control can be divided into two main control loops: one for the GSC (grid-side converter) and another for the MSC (machine-side converter). The MSC control loop’s primary objective is to drive the induction motor at the reference speed, which is controlled through the speed control loop. Additionally, the MSC control includes an excitation control loop for the induction machine, as its operation is managed via field-oriented control (FOC). The speed control loop generates the quadrature-axis current reference, while the excitation control loop generates the direct-axis current reference. It is also important to note that, alongside the speed control loop, there is a parallel loop to control the quadrature-axis current reference during transient voltage sags.
The GSC control loop aims to control the DC bus voltage as well as to compensate for harmonic currents and reactive power from the grid, making the GSC function as an active power filter. The GSC control loop consists of a DC bus voltage control loop, which generates the direct-axis current reference for this converter, while the reactive power compensation loop generates the quadrature-axis current reference. These loops are external to a current control loop. It is worth noting that the current control loop not only controls the direct-axis and quadrature-axis currents but also handles harmonic current compensation at the PCC.
For synchronization of the Clarke/Park transformations for both the GSC and MSC, a DDSRF-PLL algorithm and a speed sensor are used, respectively. The aforementioned control loops will be detailed further in the the remaining text.

2.1. Grid-Side Converter: Modeling and Implementation of Basic Controllers

The GSC control is conducted in a synchronous reference frame. Therefore, it is necessary to derive the transfer functions of the relevant plants in this frame. For controlling this converter, current loops, DC bus voltage control, and reactive power loops are employed.
The modeling of the current plant in the synchronous reference frame is achieved using Kirchhoff’s voltage and current laws in the circuit depicted in Figure 2. This circuit represents an equivalent of the LCL filter, where the capacitor and the damping resistor of the active filter are disregarded. In the filter design, this branch is engineered to have high impedance at frequencies close to the fundamental [20].
Applying Kirchhoff’s voltage law to the circuit loop in Figure 2, we can write the following:
V inv = I inv R t + L t d I inv d t + V grid
where V inv is the voltage synthesized by the inverter, V rede is the grid voltage, I inv is the current injected by the inverter, R t is the total resistance of the LCL filter, and L t is the total inductance of the LCL filter.
Considering that the converter is properly synchronized with the electrical grid and synchronization is achieved by aligning the direct axis of the inverter with the voltage vector of the grid, Equation (1) can be rewritten as follows:
V inv _ d = I inv _ d R t + L t d I inv _ d d t + V grid _ d ω L t I inv _ q
V inv _ q = I inv _ q R t + L t d I inv _ q d t + V grid _ q + ω L t I inv _ d
When analyzing Equations (2) and (3), a level of decoupling is observed between the direct ( V inv _ d ) and quadrature ( V inv _ q ) axis voltages of the system; however, there are terms that encompass both systems. The variables presented are as follows: V inv _ d and V inv _ q are the direct and quadrature axis voltages synthesized by the inverter, V grid _ d and V grid _ q are the direct and quadrature axis voltages of the grid, I inv _ d and I inv _ q are the direct and quadrature axis currents injected by the inverter, and ω is the fundamental angular frequency of the grid.
Applying the Laplace transform to Equations (2) and (3) yields the following:
V inv _ d ( s ) = I inv _ d ( s ) ( R t + s L t ) + { V grid _ d ( s ) L t I inv _ q ( s ) }
V inv _ q ( s ) = I inv _ q ( s ) ( R t + s L t ) + { V grid _ q ( s ) + L t I inv _ d ( s ) }
To achieve fully decoupled current control of the converter, the terms in braces must be treated as components of a feedforward strategy in the control loop. Thus, Equations (4) and (5) simplify to the following:
V inv _ d ( s ) = I inv _ d ( s ) ( R t + s L t )
V inv _ q ( s ) = I inv _ q ( s ) ( R t + s L t )
Therefore, the transfer function relating injected current to synthesized voltage is demonstrated in Equation (8):
G c , GSC ( s ) = I inv _ dq V inv _ dq ( s ) = 1 s L t + R t
Regarding the derivation of the transfer function of the DC bus control plant, it is obtained through circuit analysis, as demonstrated in Figure 3.
The variables presented in Figure 3 with subscripts MSC and GSC refer to the currents absorbed and injected by the converters on the machine side and grid side, respectively. The variable with subscript C represents the current flowing through the capacitor. Applying Kirchhoff’s Current Law to the circuit in Figure 3 yields the following:
I GSC = I MSC + I C = I MSC + C d V C d t
Applying the Laplace transform to Equation (9) yields the following:
I GSC ( s ) = I MSC ( s ) + s C V C ( s )
The current drawn by MSC acts as a disturbance to the GSC control. Therefore, it is possible to obtain the transfer function relating GSC current to DC bus voltage.
G vcc , GSC ( s ) = V C I GSC ( s ) = 1 s C
Finally, it is necessary to obtain the transfer function relating to reactive power. The reactive power in synchronous dq0 reference, according to the theory of instantaneous power [21], is given by the following:
Q = 3 2 V grid _ d I inv _ q + V grid _ q I inv _ d
Assuming that the converter is properly synchronized with the electrical grid, the voltage V inv _ q will be zero because the converter’s direct axis is aligned with the grid’s spatial vector. Thus, the reactive power is given by the following:
Q = 3 2 V grid _ d I inv _ q
And its transfer function is as follows:
G Q , GSC ( s ) = Q I inv _ q = 3 2 V grid _ q
From Equations (8), (11) and (14), it is possible to design controllers for the respective plants. In this work, PI controllers will be adopted, and their control loops are shown in Figure 4. The blocks labeled HC refer to harmonic compensation and will be addressed later.
The block diagrams representing the control loops shown in Figure 4 are depicted in Figure 5.
Thus, the gains of the PI controllers shown in Figure 4 can be obtained by analyzing the block diagram depicted in Figure 5. Due to the amount of information, the mathematical procedures for obtaining these gains will not be shown. The equations for calculating the gains are presented below.
K p , c GSC = ω c , GSC L t
K i , c GSC = K p , c GSC R t L t
K p , vdc GSC = 2 ξ ω v c c , GSC 3 2 V grid _ d V dc
K i , vdc GSC = ω v c c , GSC 2 C 3 2 V grid _ d V dc
K p , Q GSC = ω Q , GSC 3 2 V grid _ d
K i , Q GSC = ω Q , GSC 3 2 V grid _ d
The variables shown in Equations (12)–(17) are as follows: K p _ c G S C and K i _ c G S C , proportional and integral gains of the current loop; K p _ v d c G S C and K i _ v c c G S C , proportional and integral gains of the DC bus voltage control loop; K p _ Q G S C and K i _ Q G S C , proportional and integral gains of reactive power; ω c , current loop cutoff frequency (should be at least ten times the switching frequency); ω v d c , DC bus voltage control loop cutoff frequency (should be at least ten times smaller than the current loop cutoff frequency); ω Q G S C , reactive power loop cutoff frequency (should be at least ten times smaller than the current loop cutoff frequency); ζ , damping factor of the DC bus voltage control loop.

2.2. Machine-Side Converter: Modeling and Implementation of Basic Controllers

The control of MSC, like that of GSC, is also carried out in a synchronous reference frame. Therefore, it is necessary to obtain the transfer functions of interest in this reference frame. The equation that models the synchronous reference frame induction machine, expressed by spatial vectors, is shown below.
V sta = R sta I sta + σ L sta d I sta d t + d λ rot d t + j ω σ L sta I sta + j ω L m L sta λ rot
The variables are presented as follows: V sta , spatial vector of stator voltage in the synchronous reference frame; I sta , spatial vector of stator current in the synchronous reference frame; λ rot , spatial vector of rotor flux in the synchronous reference frame; R sta and L sta , resistance and inductance of the stator; L m , magnetizing inductance of the machine; σ , machine’s dispersion coefficient; ω , angular velocity of the supply voltage.
In this work, the machine will be operated using field orientation. Therefore, the direct axis of the MSC will be synchronized with the rotor flux. Additionally, it is assumed that the machine’s flux will not vary, as it will be kept constant through excitation control. Thus, Equation (21) can be rewritten as follows:
V sta = R sta I sta + σ L sta d I sta d t
The flux derivative term will be zero, while the other terms that were present in Equation (21) can be passed through feedforward compensation. Therefore, based on Equation (22), it is possible to obtain the transfer function that relates the voltage synthesized by the MSC to the stator current of the machine.
G c MSC ( s ) = I sta d q ( s ) V sta d q ( s ) = 1 s ( σ L sta ) + R sta
In addition to current control, machine excitation control is also performed. Considering that the converter is synchronized with the machine, as shown in Figure 6, controlling the direct axis current of the converter enables control of the machine’s flux and consequently its excitation.
In this work, the machine excitation will be constant, similar to direct current motors. Speed variation will occur exclusively through changes in the machine torque and consequently through changes in the quadrature current. Therefore, for the correct operation of the machine, the direct axis current should assume the value of the nominal magnetization current. Hence, excitation control is solely determined by the desired direct axis current.
Additionally, the machine speed is also controlled. In a steady state with constant excitation, the electromagnetic torque developed by the motor is given by Equation (24).
T e l = 3 2 · P 2 · ( L m 2 ) L r · I sta d * · I sta q = K ϕ · I sta q
Considering that the modeled system is presented in Figure 7, it is possible to obtain the transfer function relating the quadrature current to the machine speed.
From Figure 7, applying Newton’s second law to the rotational motion yields the following:
T e l T load = J d ω im d t
where T e l is the electromagnetic torque exerted by the machine, T load is the load torque, J is the moment of inertia of the motor plus the load, and ω im is the angular velocity of the induction motor shaft. Applying the Laplace transform to Equation (25) and considering the load torque as a disturbance, we obtain the following:
T e l ( s ) = s J ω im ( s )
Thus, the transfer function relating the motor speed to the electromagnetic torque is obtained.
G v MSC ( s ) = ω im ( s ) T e l ( s ) = 1 s J
Therefore, based on Equations (23) and (27), and considering the assumption made for machine excitation, it is possible to employ controllers for the respective loops. This work will use the control loop topology presented in Figure 8.
The block diagrams representing the loops shown in Figure 8 are depicted in Figure 9.
Based on the analysis of the block diagrams in Figure 9, it is possible to calculate the gains of the controllers used, which are given by the following equations:
K p c MSC = ω c MSC L est σ
K i c MSC = R est ω c MSC
K p vel MSC = 2 ζ ω vel MSC J K ϕ
K i vel MSC = ω vel MSC 2 J K ϕ
where K p c MSC and K i c MSC are the proportional and integral gains of the current loop, K p vel MSC and K i vel MSC are the proportional and integral gains of the velocity control loop, ω c MSC is the cutoff frequency of the current loop (should be at least ten times smaller than the switching frequency), ω vel MSC is the cutoff frequency of the velocity loop (should be at least ten times smaller than the cutoff frequency of the current loop), ζ is the damping constant of the velocity loop.

3. Auxiliary Functions of the Inverter

After modeling the plant and implementing the controllers, the implementation of auxiliary functions of the inverter can be carried out. In this section, the implementation of the three proposed functions will be presented: power factor correction, harmonic compensation, and voltage sag support.

3.1. Power Factor Correction

To implement this function, it is necessary to measure the current of the load for which power factor correction is desired. Subsequently, it is necessary to calculate the reactive power demanded by the load and evaluate the idle power of the GSC. Thus, Figure 10 illustrates the capability curve of the GSC.
As seen in Figure 10, during machine operation, the GSC will remain within an average utilization area of the capability curve in steady-state conditions. This area is defined by the dynamics of the driven load, allowing operation in the lower plane (motor) and upper plane (generator—regenerative braking). Additionally, there is a transient utilization margin defined by the load dynamics or converter over-sizing.
During instances where the load may require a high active power demand (P1), the converter can operate in this region, consequently reducing the available reactive power (Qavai), which should not be exceeded.
Therefore, it is necessary to implement dynamic saturation of the permissible reactive power dispatched by the GSC. The calculation of this power is given by Equation (32):
Q avai = S max 2 P GSC 2
where Qavai is the available reactive power for compensation in the GSC, Smax is the maximum apparent power of this converter, and PGSC is the active power being processed. Thus, the saturation of reactive power is achieved using the algorithm shown in Figure 11.
Based on the analysis of the flowchart in Figure 11, it can be concluded that the reactive power dispatched will always be less than or equal to the reactive power demanded by the load, in an attempt to correct the power factor of the AC system to unity.

3.2. Harmonic Current Compensation

Considering that harmonic currents in synchronous reference are represented by oscillatory components, it is necessary to use controllers that are different from classical PI controllers, as these compensators are not suitable for oscillatory set-point signals. Therefore, PI controllers with resonant components will be used.
The resonant components are given by the following transfer function:
H C ( s ) = 2 · K i h · ω c · s s 2 + 2 · ω c · s + ( h · ω ) 2
where K i h is the gain related to the resonant component, ω c is the bandwidth of the resonant component, and h is the harmonic order to be compensated in synchronous reference. The resonant controllers were implemented according to refs. [22,23].
In this work, two resonant components were used, parameterized for the 6th and 12th harmonics in synchronous reference, representing harmonics of 5th, 7th, 11th, 12th, and 13th orders. It is worth noting that the fundamental frequency is 60 Hz.
The references for the harmonic currents to be compensated are obtained through the loop shown in Figure 12. In this loop, a low-pass filter isolates the DC signal (related to the fundamental), which is subsequently subtracted from the original signal, leaving only the oscillatory components.

3.3. Voltage Dip Ride-through Ability

During normal operation of the drive system, the GSC processes the energy demanded by the CMSC, which in turn processes the energy demanded by the driven mechanical load. Thus, to maintain constant DC bus voltage, all energy demanded by the MSC must be immediately provided by the GSC.
In the event of a voltage dip, the GSC will attempt to supply the power demanded by the MSC. However, due to the decrease in voltage to maintain constant power, the current will increase proportionally to the voltage variation. Additionally, there is a risk of the DC bus experiencing a significant undervoltage, which can impair load operation [24].
Therefore, during a voltage dip, the strategy adopted in this work is to reduce the power demanded by the MSC. Depending on the process and the driven load, during the dip, the MSC will decrease the power delivered to the motor, causing a speed drop whose intensity depends on the duration of the dip and the system’s inertia. By reducing the power demanded by the MSC, the GSC can draw a current within its nominal limits to maintain a constant DC bus voltage and thereby support the voltage dip.
For the implementation of this transient control, the following control loop is used, similar to the method in ref. [25].
As can be seen in Figure 13, during steady-state operation, the reference for quadrature current is generated by the speed loop. However, upon detection of a voltage dip, the control loop will switch, and the reference for quadrature current will be provided by an active power control loop.
The transfer function relating electromagnetic power to quadrature current is shown in Equation (34).
G p e l e ( s ) = P e l e ( s ) I i n v q ( s ) = 3 2 ω I i n v d s D + E s τ r o t + 1
where τ r o t is the rotor time constant, and D and E are constants given by the following:
D = τ r o t σ L e s t + B C
E = B σ L e s t
B = σ L e s t + L m 2 L r o t
C = σ L e s t τ r o t σ L e s t + L m 2 L r o t
Using Equations (34)–(38), it is possible to determine the gains of the transient power PI controller.
K p P e l e = ω P e l e F
K i P e l e = K p P e l e τ r o t
where
F = 3 2 ω I i n v d ( E D ω P e l e )

4. Computational Implementation

In this section, the computational implementation of the system under study will be presented. It will be subdivided into two sections: one regarding GSC and another regarding MSC.

4.1. Computational Implementation of GSC

Firstly, the frequency response of the control loops of GSC will be analyzed. This can be seen in Figure 14.
As seen in Figure 14, the gains of the control loops were designed to meet the design criteria, i.e., the spacing between cutoff frequencies was met. To verify the stability of the system, the step response of these respective loops was plotted, as shown in Figure 15.
The step response observed in Figure 15 justifies the frequency response obtained in Figure 14, thereby confirming the time response lag between the loops.
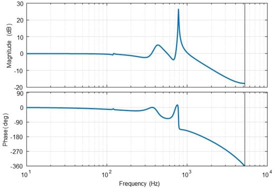
Resonant components must be added to the basic current control loop to perform harmonic current compensation for PCC. During this process, it is important to verify the frequency response of the current control loop as well as its stability under a unit step response. In this context, Figure 16 and Figure 17 demonstrate the frequency response and the step response for the current control loop with resonant components.
In Figure 16 and Figure 17, it is possible to observe that the resonant components impose a gain and phase shift at the frequencies of interest. As a result, the system becomes more oscillatory, as can be seen in Figure 17; however, its stability is still maintained. Table 1 shows the magnitude and phase gain obtained using the resonant components compared to the original current loop.
In Table 1, it is notable that the improvement in both the magnitude and phase was caused by the resonant components, thus proving their effectiveness in enhancing the system’s passband.

4.2. Computational Implementation of MSC

Similar to the GSC control, the frequency response and unit step response of the MSC will be analyzed. In this regard, Figure 18 and Figure 19 demonstrate the frequency response and unit step response of the MSC loops.
As observed in Figure 18 and Figure 19, similar to GSC, for MSC, the controller gains were designed to maintain frequency separation between the system loops. This requirement was confirmed by the unit step response of the system, which remained stable and exhibited the correct time delay in the responses.

5. Results

Figure 20 shows a single-line diagram of the three-phase system implemented computationally.
To validate the additional functions of the inverter presented in this study, a case study depicted in Figure 20 was employed. The system was simulated for a total of 5 s, divided into the following stages:
  • From 0 to 0.5 s, machine magnetization occurs with a speed reference of zero.
  • Starting from 0.5 s, machine ramp-up occurs.
  • At 1.4 s, a voltage sag occurs in the power system.
  • At 1.9 s, the voltage sag ends.
  • From 1.9 s to 3 s, the machine recovers to a desired speed.
  • From 3 s onwards, reactive power compensation occurs.
  • At 3.5 s, an additional load is connected to the power system.
  • At 4 s, harmonic compensation occurs.
The results will be presented and discussed below. Initially, the machine magnetization is examined. Figure 21 shows the direct and quadrature axis currents imposed by the MSC before the speed reference is adjusted. As seen in Figure 21, until 0.5 s, the quadrature axis current remained at zero, while the direct axis current was adjusted to its nominal value, thus magnetizing the machine. It is observed in Figure 21 that only the direct-axis current assumed a value other than zero. This occurs because, during this period, the motor is static and not driving any load. In this sense, there is no need for supplying quadrature-axis current, which is responsible for providing torque to the machine. Thus, only the current responsible for the magnetization of the machine (direct-axis current) is injected into the stator terminals.
After the magnetization of the machine was completed, the speed reference for the induction motor was varied in a ramp-like manner, as seen in Figure 22. Consequently, the motor began its acceleration to drive the mechanical load. The speed increased linearly, as the reference for this variable followed this behavior. However, at 1.4 s, a voltage dip occurred at the PCC. Therefore, at this moment, the MSC switched its speed control mode to power mode, following the transient operation demonstrated in Figure 13. As a result, a decrease in the machine’s speed was observed because the power flow between the MSC and the induction motor reversed. Thus, the energy that was being supplied to the motor is now extracted from the inertia of the motor-load system to maintain the DC bus voltage during the voltage dip.
Once the voltage dip has ceased, the motor is accelerated again, and the MSC’s control mode shifts from the power mode to the speed mode. It is noteworthy that the speed reference now starts from the speed at which the motor is currently operating, rather than from zero, as can be seen in Figure 22. This smooth transition between MSC control modes is achieved due to the transfer bumpless system, as demonstrated in Figure 13, thus avoiding transients between MSC control mode switches. Finally, it is observed that the motor continues to accelerate until the end of its speed ramp.
The sag in question was caused by a sudden load entry into the system (emulating a three-phase short circuit), where the remaining voltage stayed at approximately 20% of the nominal voltage. Figure 23 and Figure 24 depict the instantaneous voltages and currents in the power system. It is evident that at the moment of the sag, there is a significant increase in the current, leading to the voltage sag.
Next, Figure 25 presents the current in the GSC. Examining the behavior of this variable, it can be observed that at the moment the motor accelerates, the current drawn from the grid increases linearly, as the motor is ramped up, which in turn requires a linear amount of power, reflected in the current behavior. During the voltage dip, the current drawn from the grid decreases because, due to the switching of the MSC’s control mode, there is a reduction in the active power demanded by the machine and consequently in the current drawn from the grid. Once the voltage dip is over, the current starts to increase again in a ramp-like manner, corresponding to the motor’s acceleration period. Finally, after the acceleration ramp is complete, the current decreases to a lower value.
It is also observed that after the acceleration ramp ends, the GSC current experiences amplitude variations. This is due to the activation of the GSC control modes, which are reactive power compensation and harmonic current compensation. The results of these modes will be detailed later in the text.
Figure 26 shows the direct-axis and quadrature-axis currents of the machine during the voltage dip. Observing this figure, it is evident that the direct-axis current remains stable throughout the transients, indicating that the machine’s magnetization is unaffected. However, the quadrature-axis current varies abruptly at the moment of the voltage dip. Since this current is responsible for providing torque to the machine and thus has a greater influence on the active power supplied by the MSC, its value drastically decreases during the dip. This reduction occurs because active power is no longer supplied to the motor in order to preserve the DC bus voltage as much as possible. Once the voltage dip ends, this current returns to its previous level and only decreases again at the end of the acceleration ramp.
Upon recovery from the voltage sag, the machine resumes its reference speed. At this moment, there is a quadrature axis current step, as shown in Figure 26, resulting in an increase in active power demanded by the MSC, which consequently leads to an increase in power in the GSC. To accelerate the machine, the GSC temporarily operates in the transient zone of the capability curve, where the available power for compensation is zero at this moment, as demonstrated in Figure 27.
After the machine’s recovery, the GSC returns to operate in the middle zone of the capability curve, and the available power for compensation increases.
At 3 s, reactive power compensation from the PCC is activated. The GSC will inject either the maximum available power or the power demanded by the load. Figure 28 illustrates the reactive power injected by the converter, and Figure 29 shows the reactive power demanded by the load.
Upon analysis of Figure 28 and Figure 29, it is evident that the GSC initially injects the reactive power demanded by the load. However, after the additional load is connected to the PCC at 3.5 s, the power demanded by the load exceeds the available power from the GSC, resulting in reactive power saturation.
Finally, harmonic current compensation is evaluated. It is worth noting that the nonlinear load was modeled as an equivalent of parallel current sources injecting 5th, 7th, 11th, and 13th order harmonics. Figure 30 and Figure 31 depict the current profile in the network for the cases without compensation and with compensation, respectively.
Analyzing Figure 30 and Figure 31, the difference between the two analyzed cases is clearly evident. Figure 30 shows the system without the presence of the resonant control for mitigating the 5th, 7th, 11th, and 13th order harmonics, which justifies the distorted aspect of the measured current. In Figure 31, the system with the resonant control, which starts at 4 s, is presented, where significant mitigation of the distortions in the evaluated signal can be observed.
In order to quantitatively evaluate the attenuation of the harmonics present in the previously presented current signal, Figure 32 and Figure 33 highlight the frequency spectrum of the measured grid current, before and after the action of the resonant control. Additionally, Table 2, Table 3 and Table 4 present the values of the fundamental and harmonic currents for the three phases of the system, before and after compensation.
As can be seen in the frequency spectrum of the signals presented in Figure 32 and Figure 33 and detailed in Table 2, Table 3 and Table 4, there was a slight variation in the fundamental component. However, the 5th, 7th, 11th, and 13th harmonic components were drastically attenuated, thus proving the effectiveness of the proposed control. The harmonics were not completely removed from the current signal because the designed resonant control, whose behavior is highlighted in Figure 16, exhibits gain and phase errors at the frequencies selected for attenuation, which is inherent to the development of this type of system.
Finally, Figure 34 shows the DC bus voltage of the drive system.
Observing Figure 34, it can be seen that at the instant of 0.5 s, there is a momentary decrease in the bus voltage, which occurs due to the start of the machine. However, at 1.4 s, there is a voltage sag at the PCC at the moment of starting, which results in an increase in the DC bus voltage. Then, at 1.9 s, the machine recovers, causing a decrease in the bus voltage. Finally, after 4 s, harmonic compensation occurs, resulting in the observed bus variation. It is worth noting that even with the variations presented during the machine start-up and the entry of the reactive control and harmonic compensation, the DC bus voltage remained close to the desired value of 450 V, thus demonstrating that the system was able to perform the proposed functions in a desired and adequate manner.

6. Conclusions

The main objective of this work was to model and implement a back-to-back converter for the purpose of driving induction machines. This converter was designed to correct the power factor, compensate for harmonic currents (acting as an active filter), and withstand voltage sags. The necessary control systems were modeled, and an alternative for implementing these functions in the converter was proposed.
The results obtained from the computational simulations demonstrated the technical feasibility of the proposed solution. The converter operated within its nominal limits, effectively compensating for harmonics and reactive power. Furthermore, the equipment’s ability to handle severe voltage sags highlighted its robustness and practical utility.
Thus, this study significantly contributes to the optimization of electric machine control as well as the improvement of power quality in industrial environments. The successful computational implementation of the multifunctional converter operation has been demonstrated, as evidenced by the obtained results. These results should be used as a basis for experimental validation of the control strategy proposed in this paper.

Author Contributions

Conceptualization; Methodology; Software; Validation; Formal Analysis; Investigation: M.R.L.O. and L.T.F.S.; Writing, Review and Editing: M.R.L.O., L.T.F.S. and A.L.M.C.; Resources; Visualization; Supervision; Project Administration and Funding Acquisition: A.L.M.C. All authors have read and agreed to the published version of the manuscript.

Funding

This APC was funded in part by Notice 001/2024-Support for Scientific Communication-designated by the Provost for Research and Graduate Studies (PRPPG) of UNIFEI, and in part by the Graduate Program in Electrical Engineering (PPG-E) of UNIFEI.

Data Availability Statement

Data are contained within the article.

Acknowledgments

The authors would like to thank the UNIFEI for the resources to carry out this research.

Conflicts of Interest

The authors declare no conflict of interest.

References

  1. Stewart, M. (Ed.) 12—Overview of commonly used drivers. In Surface Production Operations; Gulf Professional Publishing: Woburn, MA, USA, 2019; pp. 857–897. ISBN 9780128098950. [Google Scholar] [CrossRef]
  2. Electricity Explained: Use of Electricity. U.S. Manufacturing Electricity Consumption by Major End Uses. 2023. Available online: https://www.eia.gov/energyexplained/electricity/use-of-electricity.php (accessed on 17 July 2024).
  3. Shirabe, K.; Swamy, M.; Kang, J.K.; Hisatsune, M.; Wu, Y.; Kebort, D.; Honea, J. Advantages of high frequency PWM in AC motor drive applications. In Proceedings of the 2012 IEEE Energy Conversion Congress and Exposition (ECCE), Raleigh, NC, USA, 15–20 September 2012; pp. 2977–2984. [Google Scholar] [CrossRef]
  4. Crispim, K.S. Study of Back-to-Back Converter Control for Frequency Conversion; Final Course Work, Federal University of Ouro Preto: João Monlevade, Brazil, 2018. [Google Scholar]
  5. Rashid, M.H. Power Electronics: Devices, Circuits, and Applications, 4th ed.; Pearson Education: Upper Saddle River, NJ, USA, 2017. [Google Scholar]
  6. Van Zyl, A.; Spee, R.; Faveluke, A.; Bhowmik, S. Voltage sag ride-through for adjustable speed drives with active rectifiers. In Proceedings of the IAS ’97: Conference Record of the 1997 IEEE Industry Applications Conference Thirty-Second IAS Annual Meeting, New Orleans, LA, USA, 5–9 October 1997; Volume 1, pp. 486–492. [Google Scholar] [CrossRef]
  7. Kalair, A.; Abas, N.; Kalair, A.R.; Saleem, Z.; Khan, N. Review of harmonic analysis, modeling and mitigation techniques. Renew. Sustain. Energy Rev. 2017, 78, 1152–1187. [Google Scholar] [CrossRef]
  8. Park, B.; Lee, J.; Yoo, H.; Jang, G. Harmonic Mitigation Using Passive Harmonic Filters: Case Study in a Steel Mill Power System. Energies 2021, 14, 2278. [Google Scholar] [CrossRef]
  9. Wolff, J.; Guilherme, S. Correção do Fator de Potência e Redução da Distorção Harmônica em planta industrial por meio de Banco de Capacitor Dessintonizado. 2013. [Google Scholar]
  10. Rao, N.D.; Sporea, S.I.; Sawma, A. Analysis of resonance problems and harmonic filter design in power factor correction capacitor applications. In Proceedings of the IEEE Canadian Conference on Electrical and Computer Engineering (Cat. No.98TH8341), Waterloo, ON, Canada, 25–28 May 1998; Volume 1, pp. 293–296. [Google Scholar] [CrossRef]
  11. Pires, D.F.; Pires, V.F.; Antunes, C.H.; Martins, A.G. Passive and Active Anti-Resonance Capacitor Systems for Power Factor Correction. In Proceedings of the 2006 12th International Power Electronics and Motion Control Conference, Portoroz, Slovenia, 30 August–1 September 2006; pp. 1460–1465. [Google Scholar] [CrossRef]
  12. Paes, R.; Toner, B.; Bankay, G.; Agashe, G. Energy Optimization for Adjustable-Speed Drive Applications: Increasing Efficiency to Cut Costs and Preserve Assets. IEEE Ind. Appl. Mag. 2021, 27, 37–46. [Google Scholar] [CrossRef]
  13. Leng, S.; Chung, I.-Y.; Liu, W.; Cartes, D. Reconfigurable active front-end of adjustable speed drives for power quality improvement. In Proceedings of the 2009 IEEE Power & Energy Society General Meeting, Calgary, AB, Canada, 26–30 July 2009; pp. 1–8. [Google Scholar] [CrossRef]
  14. Abrahamsen, F.; David, A. Adjustable speed drive with active filtering capability for harmonic current compensation. In Proceedings of the PESC ’95—Power Electronics Specialist Conference, Atlanta, GA, USA, 18–22 June 1995; Volume 2, pp. 1137–1143. [Google Scholar] [CrossRef]
  15. Sunbul, A.; Alduraibi, A.; Zare, F. Harmonics Mitigation Filter for High-Power Applications. IEEE Access 2022, 10, 111406–111418. [Google Scholar] [CrossRef]
  16. Al-Zamil, A.M.; Torrey, D.A. Harmonic compensation for three-phase adjustable speed drives using active power line conditioner. In Proceedings of the 2000 Power Engineering Society Summer Meeting (Cat. No.00CH37134), Seattle, WA, USA, 16–20 July 2000; Volume 2, pp. 867–872. [Google Scholar] [CrossRef]
  17. David, A.; Pouliquen, H. Adjustable speed drive with an integrated harmonics compensation-braking module. In Proceedings of the 27th Annual IEEE Power Electronics Specialists Conference, Baveno, Italy, 23–27 June 1996; Volume 2, pp. 1575–1580. [Google Scholar] [CrossRef]
  18. Xie, Q.; Zheng, Z.; Xiao, X.; Xu, Z.; Zhou, K.; Guo, Q. A Practical Method to Improve the Immunity of Adjustable Speed Drive to Transient Low Voltage Disturbance. In Proceedings of the 2020 IEEE 3rd Student Conference on Electrical Machines and Systems (SCEMS), Jinan, China, 4–6 December 2020; pp. 746–750. [Google Scholar] [CrossRef]
  19. Van Zyl, A.; Spee, R.; Faveluke, A.; Bhowmik, S. Voltage sag ride-through for adjustable-speed drives with active rectifiers. IEEE Trans. Ind. Appl. 1998, 34, 1270–1277. [Google Scholar] [CrossRef]
  20. Liserre, M.; Blaabjerg, F.; Hansen, S. Design and control of an LCL-filter-based three-phase active rectifier. IEEE Trans. Ind. Appl. 2005, 41, 1281–1291. [Google Scholar] [CrossRef]
  21. Akagi, H.; Watanabe, E.H.; Aredes, M. Instantaneous Power Theory and Applications to Power Conditioning; IEEE Press Series on Power Engineering; Wiley/IEEE Press: Hoboken, NJ, USA, 2007. [Google Scholar]
  22. Teodorescu, R.; Blaabjerg, F.; Liserre, M.; Chiang Loh, P. A new breed of proportional-resonant controllers and filters for grid-connected voltage-source converters. Proc. Inst. Electr. Eng. Electr. Power Appl. 2006, 153, 750–762. [Google Scholar] [CrossRef]
  23. Blaabjerg, F.; Iov, F.; Teodorescu, R.; Chen, Z. Power electronics in renewable energy systems. In Proceedings of the 2006 12th International Power Electronics and Motion Control Conference, Portoroz, Slovenia, 30 August–1 September 2006; pp. 1–17. [Google Scholar]
  24. Khergade, A.; Garg, S.; Satputaley, R.J.; Tembhekar, S. Analysis of Different Types of Voltage Sag and Its Effects on Adjustable Speed Drive. In Proceedings of the 2018 IEEE International Conference on Power Electronics, Drives and Energy Systems (PEDES), Chennai, India, 18–21 December 2018; pp. 1–6. [Google Scholar] [CrossRef]
  25. Orser, D.; Mohan, N. Utilizing inertial energy to extend ride-through for matrix converters in adjustable speed drives. In Proceedings of the 2013 7th IEEE GCC Conference and Exhibition (GCC), Doha, Qatar, 17–20 November 2013; pp. 611–616. [Google Scholar] [CrossRef]
Figure 1. General schematic of the back-to-back converter under analysis.
Figure 1. General schematic of the back-to-back converter under analysis.
Energies 17 04110 g001
Figure 2. Equivalent circuit of the LCL filter for low frequencies.
Figure 2. Equivalent circuit of the LCL filter for low frequencies.
Energies 17 04110 g002
Figure 3. Equivalent circuit of the DC bus capacitor.
Figure 3. Equivalent circuit of the DC bus capacitor.
Energies 17 04110 g003
Figure 4. Control loops of the GSC.
Figure 4. Control loops of the GSC.
Energies 17 04110 g004
Figure 5. Block diagram of the control loops of the GSC.
Figure 5. Block diagram of the control loops of the GSC.
Energies 17 04110 g005
Figure 6. Synchronization of the direct and quadrature axes with the rotor flux vector of the machine.
Figure 6. Synchronization of the direct and quadrature axes with the rotor flux vector of the machine.
Energies 17 04110 g006
Figure 7. Mechanical system under analysis.
Figure 7. Mechanical system under analysis.
Energies 17 04110 g007
Figure 8. Control loops of the MSC.
Figure 8. Control loops of the MSC.
Energies 17 04110 g008
Figure 9. Block diagram of the control loops of the MSC.
Figure 9. Block diagram of the control loops of the MSC.
Energies 17 04110 g009
Figure 10. Capability curve of the GSC.
Figure 10. Capability curve of the GSC.
Energies 17 04110 g010
Figure 11. Flowchart for reactive power saturation of the GSC.
Figure 11. Flowchart for reactive power saturation of the GSC.
Energies 17 04110 g011
Figure 12. Control loop for generating harmonic current references.
Figure 12. Control loop for generating harmonic current references.
Energies 17 04110 g012
Figure 13. Transitory power control of the MSC.
Figure 13. Transitory power control of the MSC.
Energies 17 04110 g013
Figure 14. Frequency response of the control loops of the GSC excluding the resonant components.
Figure 14. Frequency response of the control loops of the GSC excluding the resonant components.
Energies 17 04110 g014
Figure 15. Step response of the control loops of the GSC without the resonant components.
Figure 15. Step response of the control loops of the GSC without the resonant components.
Energies 17 04110 g015
Figure 16. Frequency response of the control loops of the GSC including the resonant components.
Figure 16. Frequency response of the control loops of the GSC including the resonant components.
Energies 17 04110 g016
Figure 17. Step response of the control loops of the GSC.
Figure 17. Step response of the control loops of the GSC.
Energies 17 04110 g017
Figure 18. Frequency response of the control loops of the MSC.
Figure 18. Frequency response of the control loops of the MSC.
Energies 17 04110 g018
Figure 19. Step response of the control loops of the MSC.
Figure 19. Step response of the control loops of the MSC.
Energies 17 04110 g019
Figure 20. Single-line diagram of the implemented system.
Figure 20. Single-line diagram of the implemented system.
Energies 17 04110 g020
Figure 21. Magnetization of the induction motor (direct axis current—green, quadrature axis current—red).
Figure 21. Magnetization of the induction motor (direct axis current—green, quadrature axis current—red).
Energies 17 04110 g021
Figure 22. Speed of the induction motor.
Figure 22. Speed of the induction motor.
Energies 17 04110 g022
Figure 23. Phase voltages in the PCC.
Figure 23. Phase voltages in the PCC.
Energies 17 04110 g023
Figure 24. Phase currents in the PCC.
Figure 24. Phase currents in the PCC.
Energies 17 04110 g024
Figure 25. Phase currents in the GSC.
Figure 25. Phase currents in the GSC.
Energies 17 04110 g025
Figure 26. Current of the induction motor (direct axis current—green, quadrature axis current—red).
Figure 26. Current of the induction motor (direct axis current—green, quadrature axis current—red).
Energies 17 04110 g026
Figure 27. Reactive power available for compensation.
Figure 27. Reactive power available for compensation.
Energies 17 04110 g027
Figure 28. Reactive power injected by the GSC.
Figure 28. Reactive power injected by the GSC.
Energies 17 04110 g028
Figure 29. Reactive power demanded by the load.
Figure 29. Reactive power demanded by the load.
Energies 17 04110 g029
Figure 30. Phase currents in the grid before harmonic compensation.
Figure 30. Phase currents in the grid before harmonic compensation.
Energies 17 04110 g030
Figure 31. Phase currents in the grid after harmonic compensation.
Figure 31. Phase currents in the grid after harmonic compensation.
Energies 17 04110 g031
Figure 32. Phase current spectra before harmonic compensation.
Figure 32. Phase current spectra before harmonic compensation.
Energies 17 04110 g032
Figure 33. Phase current spectra after harmonic compensation.
Figure 33. Phase current spectra after harmonic compensation.
Energies 17 04110 g033
Figure 34. DC bus voltage.
Figure 34. DC bus voltage.
Energies 17 04110 g034
Table 1. Comparison between the magnitude and phase of current control loops.
Table 1. Comparison between the magnitude and phase of current control loops.
Freq. (Hz)System without
Resonant Components
System with
Resonant Components
Magnitude (dB) Phase (°) Magnitude (dB) Phase (°)
360−0.3−420.0889−0.6
720−1.35−83.80.1887−1.431
Table 2. Comparison of current amplitude before and after harmonic compensation in phase A.
Table 2. Comparison of current amplitude before and after harmonic compensation in phase A.
A-Phase Frequency Spectrum
Frenquency (Hz) After Compensation (A) Before Compensation (A)
6079.86486.086
30010.0160.794
4207.9540.975
6605.9880.32
7803.9660.604
Table 3. Comparison of current amplitude before and after harmonic compensation in phase B.
Table 3. Comparison of current amplitude before and after harmonic compensation in phase B.
B-Phase Frequency Spectrum
Frenquency (Hz) After Compensation (A) Before Compensation (A)
6079.95281.136
3009.9850.794
4207.9891.013
6606.0110.38
7803.9920.452
Table 4. Comparison of current amplitude before and after harmonic compensation in phase C.
Table 4. Comparison of current amplitude before and after harmonic compensation in phase C.
C-Phase Frequency Spectrum
Frenquency (Hz) After Compensation (A) Before Compensation (A)
6097.11391.315
30010.0330.634
4208.0190.931
6606.0070.32
7804.0230.634
Disclaimer/Publisher’s Note: The statements, opinions and data contained in all publications are solely those of the individual author(s) and contributor(s) and not of MDPI and/or the editor(s). MDPI and/or the editor(s) disclaim responsibility for any injury to people or property resulting from any ideas, methods, instructions or products referred to in the content.

Share and Cite

MDPI and ACS Style

Oliveira, M.R.L.; Soares, L.T.F.; Coelho, A.L.M. Back-to-Back Inverter for Induction Machine Drive with Harmonic Current Compensation and Reactive Power Tolerance to Voltage Sags. Energies 2024, 17, 4110. https://doi.org/10.3390/en17164110

AMA Style

Oliveira MRL, Soares LTF, Coelho ALM. Back-to-Back Inverter for Induction Machine Drive with Harmonic Current Compensation and Reactive Power Tolerance to Voltage Sags. Energies. 2024; 17(16):4110. https://doi.org/10.3390/en17164110

Chicago/Turabian Style

Oliveira, Maria R. L., Luccas T. F. Soares, and Aurélio L. M. Coelho. 2024. "Back-to-Back Inverter for Induction Machine Drive with Harmonic Current Compensation and Reactive Power Tolerance to Voltage Sags" Energies 17, no. 16: 4110. https://doi.org/10.3390/en17164110

APA Style

Oliveira, M. R. L., Soares, L. T. F., & Coelho, A. L. M. (2024). Back-to-Back Inverter for Induction Machine Drive with Harmonic Current Compensation and Reactive Power Tolerance to Voltage Sags. Energies, 17(16), 4110. https://doi.org/10.3390/en17164110

Note that from the first issue of 2016, this journal uses article numbers instead of page numbers. See further details here.

Article Metrics

Back to TopTop