A Review of Wind Turbine Icing and Anti/De-Icing Technologies
Abstract
1. Introduction
2. Wind Turbine Icing Formation and Influencing Factors
2.1. Formation and Types of Turbine Icing
2.2. Turbine Blade Icing Calculation Model
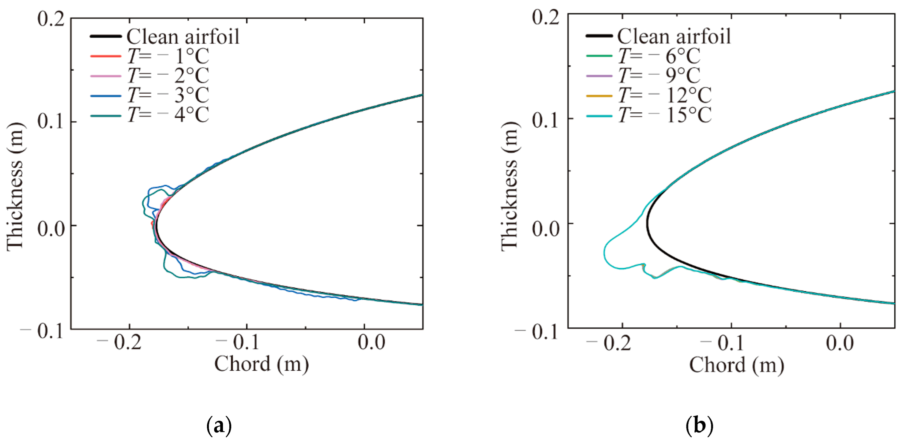
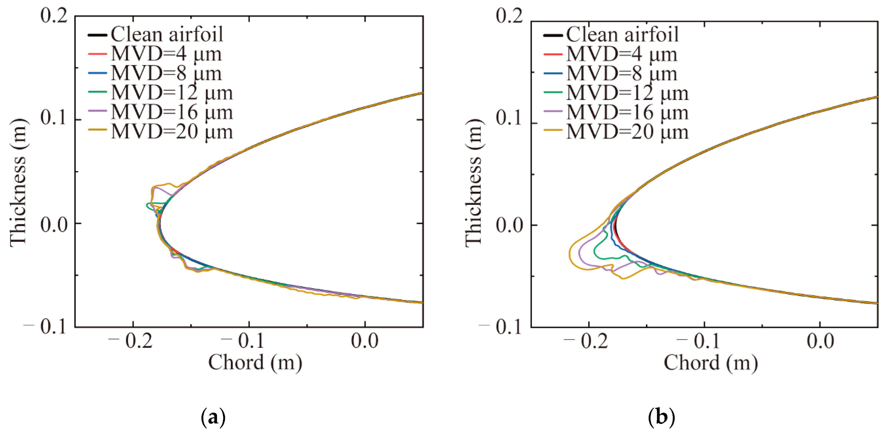
2.3. Influence Factors of Turbine Blade Icing
- (1)
- Geometrical characteristic
- (2)
- Temperature
- (3)
- Wind speed
- (4)
- Liquid Water Content (LWC) in the air
- (5)
- MVD of water droplets
- (6)
- Attack angle
3. The Influence of Icing on Wind Power Generation
3.1. Mechanical Operation
3.2. Power Output Efficiency
3.3. Cost and Economic Benefit Analysis of Power Failure Accident
4. Wind Turbine Icing Defense Technologies
4.1. Icing Monitoring and Safety Status Assessment
4.2. Anti/De-Icing Methods
4.2.1. Anti-Icing Coating
4.2.2. Thermal Deicing
4.2.3. Ultrasonic De-Icing
4.2.4. Electric Pulse Deicing
4.2.5. Other Anti/De-Icing Methods
5. Conclusions
Author Contributions
Funding
Conflicts of Interest
References
- Hu, Q.; Wang, H.; Shu, L.; Jiang, X.; Xia, H. Wind turbine blades under the condition of ice prevention/deicing method review. J. Electrotech. 2023, 22, 1–14. (In Chinese) [Google Scholar] [CrossRef]
- WindEurope. Wind Energy in Europe: Scenarios for 2030. Report. 2017. Available online: https://windeurope.org/about-wind/reports/wind-energy-in-europe-scenarios-for-2030/ (accessed on 31 March 2024).
- Board, N.E. Canada’s Energy Future: Energy Supply and Demand Projections to 2035. An Energy Market Assessment 2011. 2011. Available online: https://www.cer-rec.gc.ca/en/data-analysis/canada-energy-future/archive/2011/nrgsppldmndprjctn2035-eng.pdf (accessed on 1 February 2024).
- Bevrani, H.; Afzal, F.; Virk, M.S. Review of Icing Effects on Wind Turbine in Cold Regions. E3S Web Conf. 2018, 72, 01007. [Google Scholar] [CrossRef]
- Castellani, F.; Astolfi, D. Editorial on Special Issue “Wind Turbine Power Optimization Technology”. Energies 2020, 13, 1796. [Google Scholar] [CrossRef]
- Tarhan, C.; Çil, M.A. The use of wind turbines and the problem of icing. Wind. Eng. 2021, 45, 1680–1688. [Google Scholar] [CrossRef]
- Li, Y.; Fang, F.; Sheng, M.; Wen, Q.; Kotaro, T. Wind Tunnel Test on Icing on a Straight Blade for Vertical Axis Wind Turbine. Adv. Mater. Res. 2011, 301, 1735–1739. [Google Scholar] [CrossRef]
- Rastayesh, S.; Long, L.; Dalsgaard Sørensen, J.; Thöns, S. Risk Assessment and Value of Action Analysis for Icing Conditions of Wind Turbines Close to Highways. Energies 2019, 12, 2653. [Google Scholar] [CrossRef]
- Lehtomäki, V.; Rissanen, S.; Wadham-Gagnon, M.; Sandel, K.; Moser, W.; Jacob, D. Fatigue loads of iced turbines: Two case studies. J. Wind. Eng. Ind. Aerodyn. 2016, 158, 37–50. [Google Scholar] [CrossRef]
- Gantasala, S.; Luneno, J.-C.; Aidanpää, J.-O. Influence of Icing on the Modal Behavior of Wind Turbine Blades. Energies 2016, 9, 862. [Google Scholar] [CrossRef]
- Drapalik, M.; Zajicek, L.; Purker, S. Ice aggregation and ice throw from small wind turbines. Cold Reg. Sci. Technol. 2021, 192, 103399. [Google Scholar] [CrossRef]
- Gao, L.; Hu, H. Wind turbine icing characteristics and icing-induced power losses to utility-scale wind turbines. Proc. Natl. Acad. Sci. USA 2021, 118, e2111461118. [Google Scholar] [CrossRef]
- Davis, N.; Hahmann, A.N.; Clausen, N.-E.; Žagar, M. Forecast of Icing Events at a Wind Farm in Sweden. J. Appl. Meteorol. Climatol. 2014, 53, 262–281. [Google Scholar] [CrossRef]
- ICING BLADES, Project: Research of Advanced Techniques to Remove and Prevent the Ice on the Blades of the Wind Turbines; Spainish Govertment, Innpacto Research Program; 2014; Ref.: IPT-2012-0563-120000.
- Pérez, J.M.P.; Márquez, F.P.G.; Hernández, D.R. Economic viability analysis for icing blades detection in wind turbines. J. Clean. Prod. 2016, 135, 1150–1160. [Google Scholar] [CrossRef]
- Madi, E.; Pope, K.; Huang, W.; Iqbal, T. A review of integrating ice detection and mitigation for wind turbine blades. Renew. Sustain. Energy Rev. 2019, 103, 269–281. [Google Scholar] [CrossRef]
- Li, Y.; Shen, H.; Guo, W. Simulation and Experimental Study on the Ultrasonic Micro-Vibration De-Icing Method for Wind Turbine Blades. Energies 2021, 14, 8246. [Google Scholar] [CrossRef]
- Makkonen, L.; Poots, G. Models for the growth of rime, glaze, icicles and wet snow on structures. Philos. Trans. R. Soc. London. Ser. A Math. Phys. Eng. Sci. 2000, 358, 2913–2939. [Google Scholar] [CrossRef]
- Jiang, X.; Yi, H. Transmission Line Icing and Protection; China Electric Power Publisher: Beijing, China, 2002. (In Chinese) [Google Scholar]
- Zhang, Z.; Zhang, H.; Yue, S.; Zeng, W. A Review of Icing and Anti-Icing Technology for Transmission Lines. Energies 2023, 16, 601. [Google Scholar] [CrossRef]
- Zhang, Z.; Zhang, H.; Yue, S.; Zhang, X.; Li, C.; Zeng, W. Growth characteristics and influence analysis of insulator strings in natural icing. Electr. Power Syst. Res. 2024, 228, 110097. [Google Scholar] [CrossRef]
- Imai, I. Studies on Ice Accretion. Res. Snow Ice 1954, 3, 35–44. [Google Scholar]
- Han, X.; Jiang, X. Analysis of critical condition for dry and wet growth icing on insulators. Electr. Power Syst. Res. 2021, 192, 107006. [Google Scholar] [CrossRef]
- Shu, L.; Liang, J.; Hu, Q.; Jiang, X.; Ren, X.; Qiu, G. Study on small wind turbine icing and its performance. Cold Reg. Sci. Technol. 2017, 134, 11–19. [Google Scholar] [CrossRef]
- Yang, X.; Bai, X.; Cao, H. Influence analysis of rime icing on aerodynamic performance and output power of offshore floating wind turbine. Ocean. Eng. 2022, 258, 111725. [Google Scholar] [CrossRef]
- Chuang, Z.; Yi, H.; Chang, X.; Liu, H.; Zhang, H.; Xia, L. Comprehensive Analysis of the Impact of the Icing of Wind Turbine Blades on Power Loss in Cold Regions. J. Mar. Sci. Eng. 2023, 11, 1125. [Google Scholar] [CrossRef]
- Han, W.; Kim, J.; Kim, B. Study on correlation between wind turbine performance and ice accretion along a blade tip airfoil using CFD. J. Renew. Sustain. Energy 2018, 10, 023306. [Google Scholar] [CrossRef]
- Roberge, P.; Lemay, J.; Ruel, J.; Bégin-Drolet, A. Understanding ice accretion on wind turbines with field data. Cold Reg. Sci. Technol. 2023, 210, 103853. [Google Scholar] [CrossRef]
- Cai, C.; Guo, J.; Song, X.; Zhang, Y.; Wu, J.; Tang, S.; Jia, Y.; Xing, Z.; Li, Q. Review of Data-Driven Approaches for Wind Turbine Blade Icing Detection. Sustainability 2023, 15, 1617. [Google Scholar] [CrossRef]
- Yang, X.; Huang, X.; Gao, X.; Zhang, Y. Icing diagnosis model for wind turbine blade based on feature optimization and 1D-convolutional neural network. J. Renew. Sustain. Energy 2022, 14, 033303. [Google Scholar] [CrossRef]
- Roberge, P.; Lemay, J.; Ruel, J.; Bégin-Drolet, A. Field analysis, modeling and characterization of wind turbine hot air ice protection systems. Cold Reg. Sci. Technol. 2019, 163, 19–26. [Google Scholar] [CrossRef]
- Wallenius, T.; Antikainen, P.; Peltola, E.; Dilingh, J. Design Principles of VTT Ice Prevention System; VTT Technical Research Centre: Espoo, Finland, 2012. [Google Scholar]
- Hildebrandt, S.; Sun, Q. Evaluation of operational strategies on wind turbine power production during short icing events. J. Wind. Eng. Ind. Aerodyn. 2021, 219, 104795. [Google Scholar] [CrossRef]
- Etemaddar, M.; Hansen, M.O.L.; Moan, T. Wind turbine aerodynamic response under atmospheric icing conditions. Wind Energy 2014, 17, 241–265. [Google Scholar] [CrossRef]
- Hochart, C.; Fortin, G.; Perron, J.; Ilinca, A. Wind turbine performance under icing conditions. Wind Energy 2008, 11, 319–333. [Google Scholar] [CrossRef]
- Yu, D.; Si, G.; Kong, X.; Wen, J.; Chen, F.; Zhang, D.; Cao, T. Icing mechanism and prediction analysis of fan blades. Chin. J. Comput. Mech. 2021, 38, 327–336. (In Chinese) [Google Scholar]
- Han, X.; Wu, H.; Guo, S.; Jiang, X.; Wang, Y. Research on Diameter Selection Method of Rotating Multi-Conductor for Measurement of Icing Environmental Parameters. Trans. China Electrotech. Soc. 2022, 37, 3973–3980. [Google Scholar] [CrossRef]
- Goodwin, E.J.; Mozer, J.D.; Gioia, A.M.D. Predicting Ice and Snow Loads for Transmission Line Design. In Proceedings of the First International Workshop on Atmospheric Icing of Structures, Hanover, NH, USA, 1–3 June 1982; United States Army, Corps of Engineers: Washington, DC, USA, 1983. [Google Scholar]
- Bragg, M.B. Rime Ice Accretion and Its Effect on Airfoil Performance; Report No. NASA-CR-165599; The Ohio State University: Columbus, OH, USA, 1982. [Google Scholar]
- Wang, Q.; Yi, X.; Liu, Y.; Ren, J.; Li, W.; Wang, Q.; Lai, Q. Simulation and analysis of wind turbine ice accretion under yaw condition via an Improved Multi-Shot Icing Computational Model. Renew. Energy 2020, 162, 1854–1873. [Google Scholar] [CrossRef]
- Wang, Z.; Zhu, C. Numerical simulation for in-cloud icing of three-dimensional wind turbine blades. Simulation 2017, 94, 31–41. [Google Scholar] [CrossRef]
- Yirtici, O.; Tuncer, I.H.; Ozgen, S. Ice Accretion Prediction on Wind Turbines and Consequent Power Losses. J. Phys. Conf. Ser. 2016, 753, 022022. [Google Scholar] [CrossRef]
- Habibi, H.; Cheng, L.; Zheng, H.; Kappatos, V.; Selcuk, C.; Gan, T.-H. A dual de-icing system for wind turbine blades combining high-power ultrasonic guided waves and low-frequency forced vibrations. Renew. Energy 2015, 83, 859–870. [Google Scholar] [CrossRef]
- Zeng, J.; Song, B. Research on experiment and numerical simulation of ultrasonic de-icing for wind turbine blades. Renew. Energy 2017, 113, 706–712. [Google Scholar] [CrossRef]
- Ibrahim, G.M.; Pope, K.; Muzychka, Y.S. Effects of blade design on ice accretion for horizontal axis wind turbines. J. Wind. Eng. Ind. Aerodyn. 2018, 173, 39–52. [Google Scholar] [CrossRef]
- Hann, R.; Hearst, R.J.; Sætran, L.R.; Bracchi, T. Experimental and Numerical Icing Penalties of an S826 Airfoil at Low Reynolds Numbers. Aerospace 2020, 7, 46. [Google Scholar] [CrossRef]
- Jin, J.Y.; Virk, M.S. Experimental study of ice accretion on S826 & S832 wind turbine blade profiles. Cold Reg. Sci. Technol. 2020, 169, 102913. [Google Scholar] [CrossRef]
- Johnson, E.L.; Hsu, M.-C. Isogeometric analysis of ice accretion on wind turbine blades. Comput. Mech. 2020, 66, 311–322. [Google Scholar] [CrossRef]
- Yirtici, O.; Tuncer, I.H. Aerodynamic shape optimization of wind turbine blades for minimizing power production losses due to icing. Cold Reg. Sci. Technol. 2021, 185, 103250. [Google Scholar] [CrossRef]
- Chen, L.; Zhang, Y.; Liu, Z. Optimization design and simulationanalysis of composite material anti-/deicing component for wind turbine blade. In IOP Conference Series: Earth and Environmental Science; IOP Publishing: Bristol, UK, 2019; Volume 227, p. 032035. [Google Scholar] [CrossRef]
- Lin, W.; Lin, X.; Wang, C.; Wu, T.; Meng, Z.; Cai, A.; Shen, H.; Li, Y.; Feng, F. Wind Tunnel Tests of Surface Icing Distribution on Aluminum Alloy and Carbon Fiber-Reinforced Polymer Blades for Wind Turbines. Coatings 2023, 13, 810. [Google Scholar] [CrossRef]
- Li, Y.; Sun, C.; Jiang, Y.; Yi, X.; Xu, Z.; Guo, W. Temperature effect on icing distribution near blade tip of large-scale horizontal-axis wind turbine by numerical simulation. Adv. Mech. Eng. 2018, 10, 1–13. [Google Scholar] [CrossRef]
- Cao, H.-q.; Bai, X.; Ma, X.-d.; Yin, Q.; Yang, X.-y. Numerical Simulation of Icing on Nrel 5-MW Reference Offshore Wind Turbine Blades Under Different Icing Conditions. China Ocean. Eng. 2022, 36, 767–780. [Google Scholar] [CrossRef]
- Yirtici, O.; Ozgen, S.; Tuncer, I.H. Predictions of ice formations on wind turbine blades and power production losses due to icing. Wind Energy 2019, 22, 945–958. [Google Scholar] [CrossRef]
- Mu, Z.; Guo, W.; Li, Y.; Tagawa, K. Wind tunnel test of ice accretion on blade airfoil for wind turbine under offshore atmospheric condition. Renew. Energy 2023, 209, 42–52. [Google Scholar] [CrossRef]
- Gao, L.; Liu, Y.; Hu, H. An experimental investigation of dynamic ice accretion process on a wind turbine airfoil model considering various icing conditions. Int. J. Heat Mass Transf. 2019, 133, 930–939. [Google Scholar] [CrossRef]
- Li, Y.; Tagawa, K.; Feng, F.; Li, Q.; He, Q. A wind tunnel experimental study of icing on wind turbine blade airfoil. Energy Convers. Manag. 2014, 85, 591–595. [Google Scholar] [CrossRef]
- Kangash, A.; Virk, M.S.; Maryandyshev, P. Numerical study of icing impact on the performance of pitch-regulated large wind turbine. Wind. Eng. 2022, 47, 334–346. [Google Scholar] [CrossRef]
- Contreras Montoya, L.T.; Lain, S.; Ilinca, A. A Review on the Estimation of Power Loss Due to Icing in Wind Turbines. Energies 2022, 15, 1083. [Google Scholar] [CrossRef]
- Martini, F.; Ilinca, A.; Rizk, P.; Ibrahim, H.; Issa, M. A Survey of the Quasi-3D Modeling of Wind Turbine Icing. Energies 2022, 15, 8998. [Google Scholar] [CrossRef]
- Homola, M.C.; Virk, M.S.; Nicklasson, P.J.; Sundsbø, P.A. Performance losses due to ice accretion for a 5 MW wind turbine. Wind Energy 2011, 15, 379–389. [Google Scholar] [CrossRef]
- Goshima, N.; Maeda, T.; Kamada, Y.; Tada, T.; Hanamura, M.; Pham, H.H.; Iwai, K.; Fujiwara, A.; Hosomi, M. Study on influence of blade icing on operational characteristics of wind turbine at cold climate. J. Phys. Conf. Ser. 2020, 1618, 052021. [Google Scholar] [CrossRef]
- Kabardin, I.K.; Meledin, V.G.; Dvoinishnikov, S.V.; Naumov, I.V. Remote monitoring of ice loading on wind turbine blades based on total internal reflection. J. Eng. Thermophys. 2016, 25, 504–508. [Google Scholar] [CrossRef]
- Sedaghat, A.; Samani, I.; Ahmadi-Baloutaki, M.; El Haj Assad, M.; Gaith, M. Computational study on novel circulating aerofoils for use in Magnus wind turbine blades. Energy 2015, 91, 393–403. [Google Scholar] [CrossRef]
- Biswas, S.; Taylor, P.; Salmon, J. A model of ice throw trajectories from wind turbines. Wind Energy 2011, 15, 889–901. [Google Scholar] [CrossRef]
- Hacıefendioğlu, K.; Başağa, H.B.; Yavuz, Z.; Karimi, M.T. Intelligent ice detection on wind turbine blades using semantic segmentation and class activation map approaches based on deep learning method. Renew. Energy 2022, 182, 1–16. [Google Scholar] [CrossRef]
- Zhang, L.; Liu, K.; Wang, Y.; Omariba, Z. Ice Detection Model of Wind Turbine Blades Based on Random Forest Classifier. Energies 2018, 11, 2548. [Google Scholar] [CrossRef]
- Andre, J.; Kiremidjian, A.; Georgakis, C.T. Statistical Modeling of Time Series for Ice Accretion Detection on Bridge Cables. J. Cold Reg. Eng. 2018, 32, 04018004. [Google Scholar] [CrossRef]
- Anthony Ikiades, A.; Spasopoulos, D.; Amoiropoulos, K.; Richards, T.; Howard, G.; Pfeil, M. Detection and rate of growth of ice on aerodynamic surfaces using its optical characteristics. Aircr. Eng. Aerosp. Technol. 2013, 85, 443–452. [Google Scholar] [CrossRef]
- Bagherzadeh, S.A.; Asadi, D. Detection of the ice assertion on aircraft using empirical mode decomposition enhanced by multi-objective optimization. Mech. Syst. Signal Process. 2017, 88, 9–24. [Google Scholar] [CrossRef]
- Tabatabai, H.; Aljuboori, M. A Novel Concrete-Based Sensor for Detection of Ice and Water on Roads and Bridges. Sensors 2017, 17, 2912. [Google Scholar] [CrossRef] [PubMed]
- Roberge, P.; Lemay, J.; Ruel, J.; Bégin-Drolet, A. Evaluation of meteorological measurements made on the nacelle of wind turbines in cold climate. Cold Reg. Sci. Technol. 2022, 203, 103658. [Google Scholar] [CrossRef]
- Zhou, Z.; Yi, X.; Jiang, W.; Chen, Y.; Tian, X.; Li, W.; Wang, K.; Ma, H. Quantitative detection method for icing of horizontal-axis wind turbines. Wind Energy 2018, 22, 433–446. [Google Scholar] [CrossRef]
- Dae-gil, K.; Umesh, S.; Hyunjin, K.; Minho, S. A fiber-optic ice detection system for large-scale wind turbine blades. In Optical Modeling and Performance Predictions IX; SPIE: San Diego, CA, USA, 2017; Volume 103740B. [Google Scholar] [CrossRef]
- Rizk, P.; Younes, R.; Ilinca, A.; Khoder, J. Wind turbine ice detection using hyperspectral imaging. Remote Sens. Appl. Soc. Environ. 2022, 26, 100711. [Google Scholar] [CrossRef]
- Rizk, P.; Al Saleh, N.; Younes, R.; Ilinca, A.; Khoder, J. Hyperspectral imaging applied for the detection of wind turbine blade damage and icing. Remote Sens. Appl. Soc. Environ. 2020, 18, 100291. [Google Scholar] [CrossRef]
- Yousuf, A.; Jin, J.Y.; Sokolov, P.; Virk, M.S. Study of ice accretion on wind turbine blade profiles using thermal infrared imaging. Wind. Eng. 2020, 45, 872–883. [Google Scholar] [CrossRef]
- Ghani, R.; Virk, M.S. Experimental study of atmospheric ice detection on wind turbine blade using thermal infrared technique. Wind. Eng. 2013, 37, 71–78. [Google Scholar] [CrossRef]
- Owusu, K.P.; Kuhn, D.C.S.; Bibeau, E.L. Capacitive probe for ice detection and accretion rate measurement: Proof of concept. Renew. Energy 2013, 50, 196–205. [Google Scholar] [CrossRef]
- Gómez Muñoz, C.Q.; García Márquez, F.P.; Sánchez Tomás, J.M. Ice detection using thermal infrared radiometry on wind turbine blades. Measurement 2016, 93, 157–163. [Google Scholar] [CrossRef]
- Wang, X.; Zheng, Z.; Jiang, G.; He, Q.; Xie, P. Detecting Wind Turbine Blade Icing with a Multiscale Long Short-Term Memory Network. Energies 2022, 15, 2864. [Google Scholar] [CrossRef]
- Lai, Z.; Cheng, X.; Liu, X.; Huang, L.; Liu, Y. Multiscale Wavelet-Driven Graph Convolutional Network for Blade Icing Detection of Wind Turbines. IEEE Sens. J. 2022, 22, 21974–21985. [Google Scholar] [CrossRef]
- Gantasala, S.; Luneno, J.-C.; Aidanpää, J.-O. Identification of ice mass accumulated on wind turbine blades using its natural frequencies. Wind. Eng. 2018, 42, 66–84. [Google Scholar] [CrossRef]
- Skrimpas, G.A.; Kleani, K.; Mijatovic, N.; Sweeney, C.W.; Jensen, B.B.; Holboell, J. Detection of icing on wind turbine blades by means of vibration and power curve analysis. Wind Energy 2016, 19, 1819–1832. [Google Scholar] [CrossRef]
- Stotsky, A.; Egardt, B. Data-driven estimation of the inertia moment of wind turbines: A new ice-detection algorithm. Proc. Inst. Mech. Eng. Part I J. Syst. Control. Eng. 2013, 227, 552–555. [Google Scholar] [CrossRef]
- Lu, C.; He, G.; Shou, C.; Wu, Y.; Shen, Y.; Zhu, J. Blade icing detection of wind turbine based on multi-feature and multi-classifier fusion. Wind. Eng. 2022, 46, 1236–1246. [Google Scholar] [CrossRef]
- Hu, Q.; Xu, X.; Leng, D.; Shu, L.; Jiang, X.; Virk, M.; Yin, P. A method for measuring ice thickness of wind turbine blades based on edge detection. Cold Reg. Sci. Technol. 2021, 192, 103398. [Google Scholar] [CrossRef]
- Jin, X.; Zhang, X.; Cheng, X.; Jiang, G.; Masisi, L.; Huang, W. A Physics-Based and Data-Driven Feature Extraction Model for Blades Icing Detection of Wind Turbines. IEEE Sens. J. 2023, 23, 3944–3954. [Google Scholar] [CrossRef]
- Xu, J.; Tan, W.; Li, T. Predicting fan blade icing by using particle swarm optimization and support vector machine algorithm. Comput. Electr. Eng. 2020, 87, 106751. [Google Scholar] [CrossRef]
- Hacıefendioglu, K.; Basaga, H.B.; Selen, A.; Karimi, M.T. Automatic Detection of Icing Wind Turbine Using Deep Learning Method. Wind. Struct. 2022, 34, 511–523. [Google Scholar] [CrossRef]
- Kreutz, M.; Alla, A.A.; Eisenstadt, A.; Freitag, M.; Thoben, K.-D. Ice Detection on Rotor Blades of Wind Turbines using RGB Images and Convolutional Neural Networks. Procedia CIRP 2020, 93, 1292–1297. [Google Scholar] [CrossRef]
- Yang, X.; Ye, T.; Wang, Q.; Tao, Z. Diagnosis of Blade Icing Using Multiple Intelligent Algorithms. Energies 2020, 13, 2975. [Google Scholar] [CrossRef]
- Li, F.; Cui, H.; Su, H.; Iderchuluun; Ma, Z.; Zhu, Y.; Zhang, Y. Icing condition prediction of wind turbine blade by using artificial neural network based on modal frequency. Cold Reg. Sci. Technol. 2022, 194, 103467. [Google Scholar] [CrossRef]
- Cheng, X.; Shi, F.; Zhao, M.; Li, G.; Zhang, H.; Chen, S. Temporal Attention Convolutional Neural Network for Estimation of Icing Probability on Wind Turbine Blades. IEEE Trans. Ind. Electron. 2022, 69, 6371–6380. [Google Scholar] [CrossRef]
- Li, T.; Xu, J.; Liu, Z.; Wang, D.; Tan, W. Detecting Icing on the Blades of a Wind Turbine Using a Deep Neural Network. Comput. Model. Eng. Sci. 2023, 134, 767–782. [Google Scholar] [CrossRef]
- Yi, H.; Jiang, Q. Discriminative feature learning for blade icing fault detection of wind turbine. Meas. Sci. Technol. 2020, 31, 115102. [Google Scholar] [CrossRef]
- Feng, F.; Wang, R.; Yuan, W.; Li, Y. Study on Anti-Icing Performance of Biogas-Residue Nano-Carbon Coating for Wind-Turbine Blade. Coatings 2023, 13, 814. [Google Scholar] [CrossRef]
- Arshad; Momen, G.; Farzaneh, M.; Nekahi, A. Properties and applications of superhydrophobic coatings in high voltage outdoor insulation: A review. IEEE Trans. Dielectr. Electr. Insul. 2017, 24, 3630–3646. [Google Scholar] [CrossRef]
- Qu, B.; Sun, Z.; Feng, F.; Li, Y.; Tong, G.; Noor, R.S. Preparation and Anti-Icing of Hydrophobic Polypyrrole Coatings on Wind Turbine Blade. Int. J. Rotating Mach. 2020, 2020, 8626457. [Google Scholar] [CrossRef]
- Li, X.; Li, X.; Mu, Z.; Li, Y.; Feng, F. An Experimental Study on Biochar/Polypyrrole Coating for Blade Anti-Icing of Wind Turbines. Coatings 2023, 13, 759. [Google Scholar] [CrossRef]
- Xu, K.; Hu, J.; Jiang, X.; Meng, W.; Lan, B.; Shu, L. Anti-Icing Performance of Hydrophobic Silicone–Acrylate Resin Coatings on Wind Blades. Coatings 2018, 8, 151. [Google Scholar] [CrossRef]
- Wang, F.; Li, C.; Lv, Y.; Lv, F.; Du, Y. Ice accretion on superhydrophobic aluminum surfaces under low-temperature conditions. Cold Reg. Sci. Technol. 2010, 62, 29–33. [Google Scholar] [CrossRef]
- Menini, R.; Ghalmi, Z.; Farzaneh, M. Highly resistant icephobic coatings on aluminum alloys. Cold Reg. Sci. Technol. 2011, 65, 65–69. [Google Scholar] [CrossRef]
- Peng, C.; Xing, S.; Yuan, Z.; Xiao, J.; Wang, C.; Zeng, J. Preparation and anti-icing of superhydrophobic PVDF coating on a wind turbine blade. Appl. Surf. Sci. 2012, 259, 764–768. [Google Scholar] [CrossRef]
- Liu, B.; Liu, Z.; Li, Y.; Feng, F. A Wind Tunnel Test of the Anti-Icing Properties of MoS2/ZnO Hydrophobic Nano-Coatings for Wind Turbine Blades. Coatings 2023, 13, 686. [Google Scholar] [CrossRef]
- Liu, Y.; Wu, Y.; Liu, Y.; Xu, R.; Liu, S.; Zhou, F. Robust Photothermal Coating Strategy for Efficient Ice Removal. ACS Appl. Mater. Interfaces 2020, 12, 46981–46990. [Google Scholar] [CrossRef]
- Fan, J.; Long, Z.; Wu, J.; Gao, P.; Wu, Y.; Si, P.; Zhang, D. Electrothermal superhydrophobic epoxy nanocomposite coating for anti-icing/deicing. J. Coat. Technol. Res. 2023, 20, 1557–1568. [Google Scholar] [CrossRef]
- Wang, P.; Yao, T.; Li, Z.; Wei, W.; Xie, Q.; Duan, W.; Han, H. A superhydrophobic/electrothermal synergistically anti-icing strategy based on graphene composite. Compos. Sci. Technol. 2020, 198, 108307. [Google Scholar] [CrossRef]
- Mayer, C.; Ilinca, A.; Fortin, G.; Perron, J. Wind tunnel study of electro-thermal de-icing of wind turbine blades. Int. J. Offshore Polar Eng. 2007, 17, 182–188. [Google Scholar]
- Seifert, H.; Dewi, W. Technical Requirements for Rotor Blades Operating in Cold Climate. Eng. Environ. Sci. 2003, 10, 1–13. [Google Scholar]
- Li, C.L.; Cui, X.; Wu, Z.H.; Zeng, J.C.; Xing, S.L. A Method of Eliminating Ice on Wind Turbine Blade by Using Carbon Fiber Composites. Adv. Mater. Res. 2013, 774–776, 1322–1325. [Google Scholar] [CrossRef]
- Zhao, Y.; Wang, X.; Zhou, Q.; Wang, Z.; Bian, X. Numerical Study of Lightning Protection of Wind Turbine Blade with De-Icing Electrical Heating System. Energies 2020, 13, 691. [Google Scholar] [CrossRef]
- Li, X.-J.; Guo, W.-F.; Li, Y.; Xu, Z.; Feng, F. Wind tunnel test of an anti-icing approach by heat pipe for wind turbine bladesunder the rime ice condition. Therm. Sci. 2021, 25, 4485–4493. [Google Scholar] [CrossRef]
- Xu, B.; Yu, J. Research on Structure of self-controlled anti-icing and deicing blade based on electric heating Method. Appl. Energy Technol. 2012, 2012, 44–46. [Google Scholar]
- Shu, L.; Qi, J.; Hu, Q.; Jiang, X.; Qiu, G.; Li, H. Experimental study on Deicing of Fan Blade by Electric Heating and Layout of Resistance Wire. Proc. CSEE 2017, 37, 3816–3822. [Google Scholar] [CrossRef]
- Parent, O.; Ilinca, A. Anti-icing and de-icing techniques for wind turbines: Critical review. Cold Reg. Sci. Technol. 2011, 65, 88–96. [Google Scholar] [CrossRef]
- Xu, B.; Lu, F.; Song, G. Experimental Study on Anti-Icing and Deicing for Model Wind Turbine Blades with Continuous Carbon Fiber Sheets. J. Cold Reg. Eng. 2018, 32, 04017024. [Google Scholar] [CrossRef]
- Sollén, S.; Kumar Eppanapelli, L.; Casselgren, J.; Pettersson, J.; Ukonsaari, J.; Attermo, P. Experimental Investigation of an Infrared Deicing System for Wind Power Application in a Cold Climate. J. Cold Reg. Eng. 2022, 36, 04022008. [Google Scholar] [CrossRef]
- Daniliuk, V.; Xu, Y.; Liu, R.; He, T.; Wang, X. Ultrasonic de-icing of wind turbine blades: Performance comparison of perspective transducers. Renew. Energy 2020, 145, 2005–2018. [Google Scholar] [CrossRef]
- Wang, Y.; Xu, Y.; Huang, Q. Progress on ultrasonic guided waves de-icing techniques in improving aviation energy efficiency. Renew. Sustain. Energy Rev. 2017, 79, 638–645. [Google Scholar] [CrossRef]
- Yin, C.; Zhang, Z.; Wang, Z.; Guo, H. Numerical simulation and experimental validation of ultrasonic de-icing system for wind turbine blade. Appl. Acoust. 2016, 114, 19–26. [Google Scholar] [CrossRef]
- Wang, Y.; Xu, Y.; Lei, Y. An effect assessment and prediction method of ultrasonic de-icing for composite wind turbine blades. Renew. Energy 2018, 118, 1015–1023. [Google Scholar] [CrossRef]
- Liu, T.; Meng, W.; Dai, C.; Fu, Q.; Liu, L. An overview of wind turbine generator anti-freezing and deicing. Hubei Electr. Power 2019, 43, 10–17. (In Chinese) [Google Scholar] [CrossRef]
- Petrenko, V.; Higa, M.; Starostin, M.; Deresh, L. Pulse electrothermal de-icing. In Proceedings of the 13th International Offshore and Polar Engineering Conference (ISOPE-2003), Honolulu, HI, USA, 25–30 May 2003; Volume 1, pp. 435–438. [Google Scholar]
- Chen, Y.; Jiang, X.; Huang, T.; Jiang, T.; Hu, Q. Study of the effect of pulsed coil structures on transient electromagnetic fields for aircraft and wind turbine blade de-icing. Trans. China Electrotech. Soc. 2023, 38, 4221–4232. (In Chinese) [Google Scholar] [CrossRef]
- Wang, Y.; Jiang, X. Design Research and Experimental Verification of the Electro-Impulse De-Icing System for Wind Turbine Blades in the Xuefeng Mountain Natural Icing Station. IEEE Access 2020, 8, 28915–28924. [Google Scholar] [CrossRef]
- Levin, I.A. USSR electric impulse de-icing system design. Aircr. Eng. Aerosp. Technol. 1972, 44, 7–10. [Google Scholar] [CrossRef]
- Zhang, Z.; Shen, X.; Lin, G.; Yuan, Q.; Tian, S. Dynamic Response Analysis of Multi-Excitation Structure of Electro-Impulse Deicing System. In Proceedings of the IEEE/CSAA International Conference on Aircraft Utility Systems (AUS), Beijing, China, 10–12 October 2016; pp. 955–960. [Google Scholar]
- Huang, T. Ice on the surface of the metal electromagnetic pulse de-icing method research. Master’s Thesis, Chongqing University, Chongqing, China, 2022. (In Chinese). [Google Scholar] [CrossRef]
- Shu, L.; Yu, Z.; Hu, Q.; Jiang, X. Numerical and Experimental Investigations of Deicing Performance for the Pneumatic Impulse Deicing Method. J. Mar. Sci. Eng. 2023, 11, 1371. [Google Scholar] [CrossRef]
- Gao, L.; Liu, Y.; Ma, L.; Hu, H. A hybrid strategy combining minimized leading-edge electric-heating and superhydro-/ice-phobic surface coating for wind turbine icing mitigation. Renew. Energy 2019, 140, 943–956. [Google Scholar] [CrossRef]
- Xie, Z.; Wang, H.; Geng, Y.; Li, M.; Deng, Q.; Tian, Y.; Chen, R.; Zhu, X.; Liao, Q. Carbon-Based Photothermal Superhydrophobic Materials with Hierarchical Structure Enhances the Anti-Icing and Photothermal Deicing Properties. ACS Appl. Mater. Interfaces 2021, 13, 48308–48321. [Google Scholar] [CrossRef] [PubMed]
- He, J.; Tian, H.; Yang, K.; Jie, J.; Chen, B.; Shu, Z.; Bao, J.; Pu, M.; Panda, D.K. Study on Lubrication-Photothermal Synergistic Deicing of CNT Coating on Wind Turbine Blades. Int. J. Photoenergy 2022, 2022, 6094360. [Google Scholar] [CrossRef]
- Luo, R.; Chen, X.; Guo, J. Design of deicing device for wind turbine blade based on microwave and ultrasonic wave. J. Phys. Conf. Ser. 2021, 1748, 062018. [Google Scholar] [CrossRef]
- Liu, Z.; Feng, F.; Li, Y.; Sun, Y.; Tagawa, K. A corncob biochar-based superhydrophobic photothermal coating with micro-nano-porous rough-structure for ice-phobic properties. Surf. Coat. Technol. 2023, 457, 129299. [Google Scholar] [CrossRef]












































Disclaimer/Publisher’s Note: The statements, opinions and data contained in all publications are solely those of the individual author(s) and contributor(s) and not of MDPI and/or the editor(s). MDPI and/or the editor(s) disclaim responsibility for any injury to people or property resulting from any ideas, methods, instructions or products referred to in the content. |
© 2024 by the authors. Licensee MDPI, Basel, Switzerland. This article is an open access article distributed under the terms and conditions of the Creative Commons Attribution (CC BY) license (https://creativecommons.org/licenses/by/4.0/).
Share and Cite
Zhang, Z.; Zhang, H.; Zhang, X.; Hu, Q.; Jiang, X. A Review of Wind Turbine Icing and Anti/De-Icing Technologies. Energies 2024, 17, 2805. https://doi.org/10.3390/en17122805
Zhang Z, Zhang H, Zhang X, Hu Q, Jiang X. A Review of Wind Turbine Icing and Anti/De-Icing Technologies. Energies. 2024; 17(12):2805. https://doi.org/10.3390/en17122805
Chicago/Turabian StyleZhang, Zhijin, Hang Zhang, Xu Zhang, Qin Hu, and Xingliang Jiang. 2024. "A Review of Wind Turbine Icing and Anti/De-Icing Technologies" Energies 17, no. 12: 2805. https://doi.org/10.3390/en17122805
APA StyleZhang, Z., Zhang, H., Zhang, X., Hu, Q., & Jiang, X. (2024). A Review of Wind Turbine Icing and Anti/De-Icing Technologies. Energies, 17(12), 2805. https://doi.org/10.3390/en17122805
