Abstract
To enhance the operational dependability of renewable energy power systems with high proportions, this study proposes a multi-timescale optimization strategy based on the inertia evaluation model. Firstly, the inertia evaluation model is established based on the factors influencing the inertia demand of the power system, and the concept of the inertia margin coefficient is introduced. Secondly, to address the uncertainties associated with sustainable energy output and the cost of carbon emissions, a multi-timescale optimization operation model is formulated for day-ahead, intraday, and real-time operations, aimed at economic optimization. The output status of each unit is obtained and adjusted in a timely manner in the next stage, while meeting the system’s inertia demand, to derive the final scheduling strategy. Lastly, a sensitivity analysis of the inertia margin coefficient is conducted through simulations to validate the effectiveness and cost-efficiency of the proposed scheduling strategy.
1. Introduction
In pursuit of reducing the reliance on traditional fossil energy sources and promoting renewable energy utilization, China strives to reach the peak of carbon dioxide emissions by 2030 and attain carbon neutrality by 2060. The establishment of a renewable power system anchored on sustainable energy sources is a critical step towards achieving this dual-carbon objective [1,2]. As of 2021, China’s photovoltaic installed capacity stands at 306 million kilowatts, while the grid-connected capacity for wind power is 330 million kilowatts [3].
The reduction of system inertia engenders an escalation in frequency changes triggered by disturbances, thus gravely threatening the safe operation of units. Countries such as Australia and the United Kingdom have witnessed widespread power outages caused by inertia shortages. For instance, in September 2016, southern Australia experienced a power outage lasting nearly 10 h, with the power supply restored to 80–90% load after 7.5 h and complete restoration after 50 h, resulting in a loss of 1.83 GW [4]. Similarly, in August 2019, large parts of England and Wales, including London, experienced a severe power outage lasting around 1.5 h, with a loss of load estimated at 0.9 GW [5]. In both cases, photovoltaic and wind power generation constituted a significant portion of the grid structure, with thermal units declining over time. This has led to a decrease in the inertia level of the system and a weakened supporting capacity, as numerous synchronous units are replaced by sustainable energy units. Consequently, power grids with low inertia exhibit a weak resistance to power disturbances, and the system’s frequency adjustment capacity is inadequate, leading to power grid instability. Therefore, assessing the inertia level of high-proportion renewable energy power systems is crucial to enhancing the power grid’s stable operation capability during fault impacts.
In recent years, the gradual integration of a high proportion of new energy into the power system has resulted in low-inertia features, thereby making inertia evaluation a critical research issue. In [6], the effective inertia of the system in the dynamics between active power and frequency has been estimated using the polymerization region frequency. However, this approach is known to be computationally expensive and time-consuming. According to the authors of [7], the minimum inertia demand of the system was assessed by incorporating the rate of change of frequency (RoCoF) and the lowest frequency constraint. However, this approach did not account for the impact of new energy penetration on the system. In [8], a closed-loop identification technique has been employed to estimate the equivalent inertia constant of the power system at the connection node. This method maximizes the signal-to-noise ratio of the inertia response in the frequency and active power signals. Nevertheless, this approach necessitates the use of large detection signals to achieve an acceptable signal-to-noise ratio in the detection response, which may jeopardize system security. Considering the constraints of inertia, the authors of [9] proposed a unit combination model for economic scheduling. To enhance the stability of power systems while considering the impact of wind uncertainty on system dynamics, a mixed-integer linear programming approach was employed in [10] to simultaneously optimize the scheduling of generation, reserve capacity, and the inertia-dependent fast frequency response. By incorporating inertia constraints into the unit commitment model, the system operation could be effectively optimized while ensuring economic feasibility. As documented in [11], a two-stage, distributed, robust microgrid scheduling model was developed utilizing synthetic energy synthesis, taking into account the uncertainty of non-critical load rejection in the island. The work presented in [12] introduces a nodal equivalent inertia index, which incorporates the spatial distribution characteristics of frequency and the virtual inertia of renewable energy. This index allows for optimization of the system’s unit combination, thereby altering the spatial distribution uniformity of the system’s inertia. In [13], the conventional virtual inertia controller (VIC) is improved, and an adaptive VIC is proposed. The designed VIC controller not only reduces the influence of the decrease of variable speed wind turbines’ efficiency on the frequency stability, but also makes the proportional and differential control parameters adaptive to change, improving the performance of the VIC. The authors of [14] proposed an improved two-stage robust optimal scheduling model for a multi-energy system (MES) considering the uncertainty of wind power and thermal inertia uncertainty (TIU), and analyzed the influence of different TIU on the MES. The authors of [15] analyzed the influence of wind power and the energy storage system under virtual inertia control on frequency variation of the power grid and proposed analytical constraints for a secure post-fault frequency evolution in a Stochastic Unit Commitment (SUC) model. A new inertia distribution model is derived and an online inertia recognition method using PMUs of active power and frequency is proposed, and the system inertia distribution can be tracked in real time [16].
The multi-timescale optimization operation model developed in this paper, which is based on the minimum inertia evaluation model of a high-proportion renewable energy power system, comprises three stages: day-ahead, intraday, and real-time coordination. To account for the uncertainty of renewable energy output, a fuzzy chance constraint is constructed. In the day-ahead scheduling stage, mixed-integer nonlinear programming is used to determine the on/off state and the power generation of each unit based on predicted output values of the wind farms and photovoltaics, with gas turbines added to adjust for the changing load. This stage is followed by the intraday short-term correction stage, with a timescale of 15 min, where the output of each unit is further adjusted according to the forecast value of the scenery, while gas turbines provide inertia for the system. The real-time coordination correction stage, with a timescale of 5 min, utilizes energy storage devices based on the time-of-use pricing (ToU) [17] to adjust for load variation. At each stage, the required inertia of the system under different power gaps can be determined according to the inertia evaluation model [18,19].
Based on the above, this paper is organized as follows: In Section 2, the demand evaluation model of inertia is established, and the inertia margin coefficient is put forward. In Section 3, the multi-timescale operation model aiming at economic optimization is established, and the system operation strategies under different conditions are formulated, respectively. Section 4 demonstrates the procedure and numerical results, and Section 5 summarizes the conclusions.
2. Inertia Evaluation
Inertia, as a fundamental physical concept, describes an object’s natural tendency to maintain its motion state. In the context of power systems, inertia represents the system’s resistance to changes in frequency [20]. Adequate levels of inertia are crucial for mitigating frequency deviation and maintaining frequency stability, thus ensuring the safe operation of the power system. However, the integration of renewable energy sources and the increasing use of power electronic devices have led to a decline in the system’s inertia. As a result, developing an effective and reliable method to assess the system’s inertia has become a critical aspect of ensuring the safety and stability of modern power systems.
The inertia of a synchronous unit is solely dependent on its start-up state. However, due to the unpredictable nature of renewable energy sources such as wind and solar power, the environmental factors that drive these sources, such as wind speed and sunshine intensity, are subject to constant change. In order to satisfy the load demand during each time period, the system’s inertia for each period is determined by solving for the on/off states of each unit.
Consider the following expression for computing the maximum frequency change rate in the event of a disturbance in the system [21]:
where is the maximum of the rate of change of frequency, is the initial frequency of the system, Hz, and is the power shortage of the system, MW.
The minimum inertia of the system is shown as follows:
where is the minimum inertia demand of the power system, MW·s, is the inertia of the system at time interval, and , , and are the rated power, inertia time constant, and running state of the synchronous generator. , , and represent the rated power, inertia time constant, and the running state of the wind farm. , , and are the rated power, inertia time constant, and the running state of the gas turbine. , , and are the rated power, inertia time constant, and the running state of the energy storage device.
To account for the instability of the inertia source and the potential occurrence of adverse conditions, this study proposes an inertia margin coefficient that incorporates system inertia, disturbance power, and other factors. Setting aside a sufficient amount of inertia reserve through this coefficient ensures the power system’s safe operation, even in the event of significant faults. The formula for the inertia margin coefficient is as follows:
3. Multi-Timescale Coordinated Scheduling Model
In response to the challenges posed by the significant integration of renewable energy sources, the conventional day-ahead scheduling approach has proven insufficient in ensuring system security and stability. As a result, this study drew upon the multi-timescale scheduling paradigm and proposed a three-stage optimization operation model, encompassing day-ahead, intraday, and real-time stages, grounded in the minimum inertia evaluation of the power system. To account for the uncertainties in sustainable energy output, a fuzzy chance constraint approach was employed, with fuzzy parameters introduced to ensure the constraint conditions meet or exceed a certain level of confidence [22,23]. The load prediction and output of wind farm and photovoltaic power are expressed by triangular fuzzy parameters:
where is the fuzzy parameter in the system, is the predicted value, are the membership parameters, and are the scale parameters.
The set of uncertain factors is constructed, as shown in Equation (6):
where , , and are the values of the wind farm, photovoltaics, and the load, , , and are the membership parameters of the wind farm, , , and are the membership parameters of photovoltaics, , , and are the membership parameters of load, and , , and are, respectively, the predicted values of the wind farm, photovoltaics, and the load.
To enhance the carbon emission control of conventional units, this study introduces a stepped carbon emission cost model [24]:
where is the actual carbon emissions of the system, is the system carbon emission quota, is the carbon trading price, is the length of the carbon emission interval, is the increase in the price of carbon trading, is the distribution coefficient of carbon dioxide emission per unit of electricity, and is the carbon emission intensity of thermal units.
3.1. Day-Ahead Scheduling Model
A day-ahead scheduling plan was formulated using short-term predictions of wind farms and photovoltaic output, as well as the predicted load demand, with a timescale of 1 h and an execution cycle of 24 h. The objective function of the optimization model was to minimize the total operation cost of the power system [25].
3.1.1. Objective Function
The objective function comprises various cost components, such as start-up and shut-down costs of thermal units, operation costs of thermal units, penalties incurred due to penalty costs of curtailment of wind and PV power generation, and carbon emission costs:
where is the number of time slots in the day-ahead scheduling period. , , and are the generation cost coefficients of the thermal unit, and are start-up and shut-down costs of thermal units, is the total number of thermal units, is the actual output of the thermal unit, and is the on/off state of thermal unit in period ( = 1 indicates that the unit is powered on, = 0 indicates that the unit is in the shut-down state). and are the penalty coefficients of wind and light abandonment, and are the projected output of wind farm and photovoltaic power, and and are the actual output of wind farm and photovoltaic power.
3.1.2. Constraints
Generator output power constraint:
where and are the minimum and maximum output values of the thermal unit .
Generator ramp constraint:
where and are the uphill and downhill speeds of unit .
Constraint on the power unit opening and shut-down time:
where and are the minimum start-up and shut-down times of unit .
Renewable energy output power constraint:
where is the upper limit of wind farm power, and is the upper limit of photovoltaic power.
Load-balancing constraint:
Rotation reserve constraint:
3.2. Intraday Scheduling Model
To address the scheduling challenge for the upcoming four hours, the intraday short-term correction model incorporates data from the day-ahead scheduling plan and forecasts the output from wind and photovoltaic power plants. Unlike the day-ahead scheduling model, the intraday model adjusts only the actual output of thermal units and compensates for the shortfall in power and inertia using gas turbines. The on/off state of thermal units is not considered in the day-ahead scheduling model.
3.2.1. Objective Function
The intraday scheduling model focuses on the operation cost of thermal units, the gas turbine operation cost, the penalty cost of curtailment of wind and PV power generation, and the carbon emission cost. Unlike the day-ahead scheduling model, it does not consider the on/off state of thermal units. The corresponding objective function can be expressed as:
where is the number of time slots in the day-ahead scheduling period, is the gas cost, and is the actual output of the gas turbine.
3.2.2. Constraints
Constraints on the power output of thermal units and renewable energy units often do not account for the shut-down or supply of thermal units. Therefore, adjustments to the climbing constraint, rotation reserve constraint, and power-balance constraint are necessary when changing the timescale. Furthermore, with the increase of gas turbines, power-balance constraints may require modification.
Climbing constraint of thermal units:
Gas turbine constraints:
where and are the upper and lower limits of the gas turbine output, and and are the upper and lower climbing limits of the gas turbines.
Load-balancing constraint:
where is the on/off state of the gas turbines.
Rotation reserve constraint:
3.3. Real-Time Scheduling Model
To optimize the scheduling strategy at a real-time scale of 5 min, the system inertia under normal and fault conditions is considered to minimize the comprehensive operation cost of the system, taking into account the time-of-use electricity price.
3.3.1. Objective Function
During the real-time dispatching stage, the unit’s on/off status and output are not altered, and load errors are corrected using energy storage stations. The objective function primarily comprises electricity purchase and sale costs based on time-of-use prices, energy storage operation costs, and wind and solar abandonment costs:
where is the number of time slots in the real-time scheduling period, is the number of storage devices, is the unit operating cost of energy storage, and are the energy storage charging and discharging power at time interval, and and are the price of electricity purchased and the price of electricity sold at time interval.
3.3.2. Constraints
The load-balancing constraint in the real-time scheduling phase needs to be modified for energy storage. Since the timescale of real-time scheduling is too small, rotation reserve is not considered.
Storage energy-balance constraints [26]:
where and are the charging and discharging states of energy storage, and are the maximum charging and discharging power of energy storage, and , respectively, are the actual charging and discharging power of the energy storage device, and , respectively, are the charging state and the discharge state of the energy storage device, and and are the upper and lower limits of the charged state of stored energy.
Load-balancing constraint:
4. Case Studies
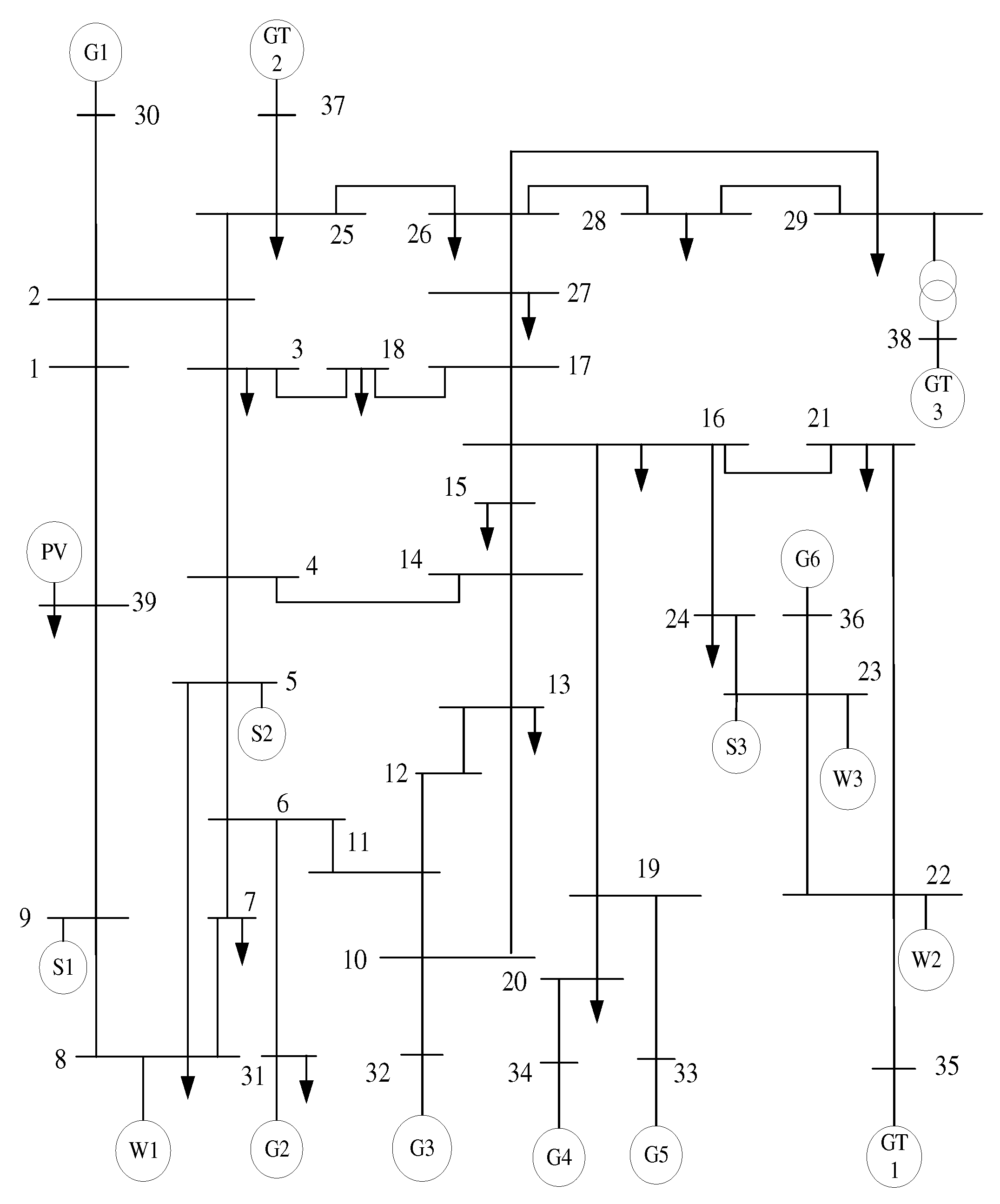
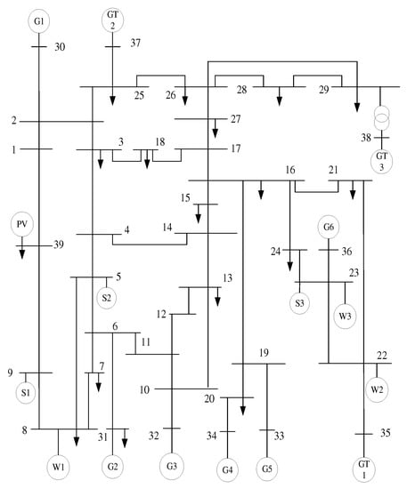
To demonstrate the effectiveness and superiority of the proposed approach, this study utilized an enhanced IEEE 39 bus system for analysis, which is illustrated in Figure 1. The system consists of 6 thermal units and incorporates wind farms at nodes 8, 19, and 22, while node 39 connects to a photovoltaic power station. Additionally, gas turbines are placed at nodes 35, 37, and 38, while energy storage power stations are set up at nodes 5, 9, and 23. System data were taken from [27,28], and the simulation environment was the MATLAB simulation platform. Figure 2 illustrates the specific solution process. The forecasted output for wind farms and photovoltaics are shown in Appendix A.
Figure 1.
Modified IEEE 39 bus system.
Figure 2.
Flow chart of the multi-timescale scheduling strategy.
4.1. Day-Ahead Scheduling Result Analysis
The analysis of the day-ahead scheduling results is shown in Figure 3.
Figure 3.
(a) Results for day-ahead scheduling. (b) Inertia demand for different power deficits in the day-ahead scheduling period.
Figure 3 illustrates that the minimum required inertia of the system in each period increased as the power deficit increased. When the system experienced a power deficit of 5–8%, the minimum inertia value for each period was less than the actual inertia of the system, thus fulfilling the minimum inertia requirements during disturbances. However, when the power deficit reached 9%, there were some periods with insufficient inertia, such as time periods 11, 12, and 21. When the power deficit reached 10%, the periods with inertia deficiency increased to include time periods 8–14 and 20–21. It can be observed that as the power deficit increased, the duration of the periods with inertia deficiency also increased.
4.2. Intraday Scheduling Result Analysis
The analysis of the intraday scheduling results is shown in Figure 4.
Figure 4.
(a) Results for intraday scheduling. (b) Inertia demand for different power deficits in the intraday scheduling period.
The results in Figure 4 demonstrate that the actual system inertia satisfied the minimum inertia demand value for each period under a power deficit of 5–8%. When the power deficit was 9%, the minimum inertia requirement for time period 48 was lower than the actual system inertia. Moreover, when the power deficit increased to 10%, a larger number of periods, such as time periods 40–58 and 79–84, exhibited insufficient inertia.
4.3. Real-Time Scheduling Result Analysis
The analysis of the real-time scheduling results is shown in Figure 5.
Figure 5.
(a) Results for real-time scheduling. (b) Inertia demand for different power deficits in the real-time scheduling period.
In the real-time dispatching stage, the energy storage station was used to adjust the load changes. Figure 5 indicates that the actual inertia of the system met the minimum inertia demand values for each time period under a power deficit of 5–8%. However, under a power deficit of 9%, the minimum inertia demand for time periods 129–157 exceeded the actual system inertia. With a 10% power deficit, the system experienced insufficient inertia during the time periods 87–96, 99–108, 112–180, 232–247, and 253–259.
4.4. Inertia Demand Analysis
A sensitivity analysis was conducted to evaluate the impact of the inertia margin coefficient on the system’s inertia. The power system optimization operation model was set up to consider the minimum inertia demand constraint of the inertia margin coefficient under different scenarios. The inertia evaluation model was used to obtain the minimum inertia demand and the actual inertia at each stage of the system when the power deficit ranged from 9% to 10% of the load demand. The range of the inertia margin coefficient was assumed to be from 1.1 to 1.2, and the effect of different coefficient values on the system’s inertia was analyzed.
Scenario 1: Minimum inertia demand when the inertia margin coefficient is 1.1.
Scenario 2: Minimum inertia demand when the inertia margin coefficient is 1.15.
Scenario 3: Minimum inertia demand when the inertia margin coefficient is 1.2.
Considering the operating conditions of the system in the above three scenarios, the advantages of the inertia margin coefficient were analyzed as follows.
Figure 6 illustrates that at a 10% power deficit, the inertia margin coefficient of 1.1 failed to meet the minimum inertia requirements of time periods 11, 12, 20, and 21. With the inertia margin coefficient of 1.15, only time period 12 could not meet the minimum inertia demand. When the inertia margin coefficient was 1.2, it satisfied the minimum inertia demand of the system for all time periods.
Figure 6.
Results with different inertia margin coefficients for day-ahead scheduling.
Table 1 illustrates that a higher inertia margin coefficient requires more thermal units to provide inertia, leading to an increase in start/stop costs. Although Scenarios 1 and 2 have lower costs, they failed to meet the minimum inertia demand at all times. In contrast, Scenario 3 has a higher cost but could fulfill the inertia demand throughout the system operation. Thus, the system can tolerate a larger power deficit.
Table 1.
Results for day-ahead scheduling costs.
Figure 7 shows that when the power deficit was 10%, the minimum inertia demand for time periods 47–49 was not met by an inertia margin coefficient of 1.1. When the inertia margin coefficient was 1.15 and 1.2, the minimum inertia demand could be satisfied at all times.
Figure 7.
Results with different inertia margin coefficients for intraday scheduling.
Based on the results in Table 2, increasing the inertia margin coefficient from 1.1 to 1.15 led to an increase in the total cost of USD 34,947. However, further increasing the inertia margin coefficient from 1.15 to 1.2 only increased the total cost by USD 389. While Scenario 2 can meet the system’s inertia demand, the choice of 1.2 as the inertia margin coefficient may be more appropriate when the cost difference is small, and when the system has a larger reserve of inertia.
Table 2.
Results for intraday scheduling costs.
As can be seen from Figure 8, when the system was under a 10% power deficit, the minimum inertia demand of time periods 127–159, 232–247, and 253–259 could not be met with the inertia margin coefficient of 1.1. With an inertia margin coefficient of 1.15, the minimum inertia demand of the time periods 136–149 still could not be satisfied. Only when the inertia margin coefficient was increased to 1.2 could the minimum inertia requirements of the system be met at all times.
Figure 8.
Results with different inertia margin coefficients for real-time scheduling.
Based on Table 3, it can be observed that Scenario 1 had a relatively lower cost. However, it was unable to satisfy the inertia demand in certain time periods when the power deficit increased. On the other hand, Scenarios 2 and 3 have the same total cost, but Scenario 3 was capable of providing more spare inertia, thus enabling it to meet the inertia demand in all time periods.
Table 3.
Results for real-time scheduling costs.
The aforementioned analysis substantiates that to ensure the power system’s resilience against greater power perturbations, while considering the economy of system operation, the optimum value of the inertia margin coefficient is 1.2.
5. Conclusions
This paper proposed a multi-timescale optimization operation strategy based on the assessment of inertia demand for power systems with a high proportion of renewable energy sources. This strategy utilizes the unique operation characteristics of each unit to formulate and optimize their output plans, thereby reducing the overall operational cost of the system while fulfilling the inertia demand. The simulation results of various scenarios were analyzed, leading to the following conclusions:
- (1)
- Drawing upon various factors, such as the frequency index, active power, and anticipated faults, the present study has developed an evaluation model for determining inertia demand. Additionally, the inertia margin coefficient has been introduced, which serves to reserve excess inertia capacity to account for the occurrence of substantial system faults. By combining the aforementioned model and coefficient, a dual-level guarantee has been established to ensure the secure operation of the power system.
- (2)
- The present study employed day-ahead, intraday, and real-time scheduling techniques to optimize the utilization of various scheduling resources. Thermal units primarily serve as the principal source of inertia during the day-ahead stage, and gas turbines provide the requisite inertia during the intraday stage. In the real-time stage, the energy storage supplements the system’s inertia capacity to offset any insufficiencies. This comprehensive approach ensures the maximal efficacy of scheduling resources and maintains the stability of the power system.
- (3)
- The stepped carbon emission cost adopted in this paper served to limit the output of thermal units and gas turbines. To account for the unpredictability of renewable energy output, a fuzzy opportunity constraint was utilized. The overarching objective was to mitigate the risk level of the system, augment the utilization of renewable energy sources, and optimize the economic operation of the power system.
This paper only considered the overall inertia level of the power system. With the expansion of the scale of renewable energy units, the spatial and temporal distribution characteristics of inertia in the power grid will become more obvious. Based on the unit commitment model, it is important to carry out the research on scheduling strategies considering the spatiotemporal distribution characteristics of inertia and the regional minimum inertia demand, and to comprehensively coordinate different types of inertia resources in the power system.
Author Contributions
Conceptualization, Z.Z. (Zhenghui Zhao); methodology, Y.W. (Yang Wang); investigation, Z.H.; validation, Z.Z. (Zhiquan Zhou); formal analysis, Y.W. (Yifan Wang); writing—original draft preparation, Y.W. (Yifan Wang); writing—review and editing, Y.W. (Yang Wang) and Z.Z. (Zhenghui Zhao); supervision, Y.W. (Yang Wang). All authors have read and agreed to the published version of the manuscript.
Funding
This work was supported by the Scientific Research Start-up Fund for Senior Talents of Jiangsu University, Grant/Award Number: 4111140011, and the Jiangsu Innovation and Entrepreneurship Program (JSSCBS20210974).
Data Availability Statement
Not applicable.
Conflicts of Interest
The authors declare no conflict of interest.
Appendix A

Figure A1.
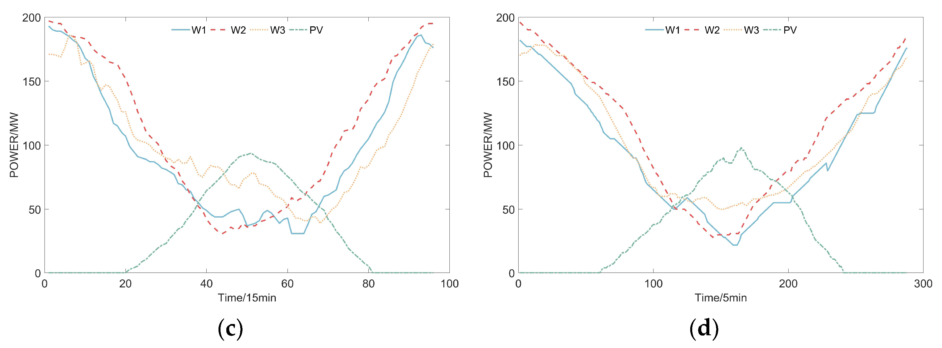
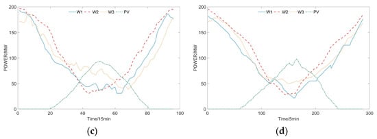
(a) Load prediction, (b) prediction of wind farms and photovoltaics in the day-ahead scheduling period, (c) prediction of wind farms and photovoltaics in the intraday scheduling period, and (d) prediction of wind farms and photovoltaics in the real-time scheduling period.
Figure A1.
(a) Load prediction, (b) prediction of wind farms and photovoltaics in the day-ahead scheduling period, (c) prediction of wind farms and photovoltaics in the intraday scheduling period, and (d) prediction of wind farms and photovoltaics in the real-time scheduling period.


References
- Shu, Y.B.; Chen, G.P.; He, J.B. Research on constructing new power system framework with new energy as main body. Eng. Sci. 2021, 23, 61–69. [Google Scholar]
- Zhang, W.Q.; Wen, Y.F.; Chi, F.D. Research framework and prospect of inertia evaluation of power system. Proc. CSEE 2021, 41, 6842–6856. [Google Scholar]
- National Energy Administration. Available online: http://www.nea.gov.cn/2022-01/20/c_1310432517.htm (accessed on 20 January 2022).
- Zeng, H.; Sun, F.; Li, T. Analysis of “9.28” power outage in Australia and enlightenment to China. Autom. Electr. Power Syst. 2017, 41, 1–6. [Google Scholar]
- Sun, H.D.; Xu, T.; Guo, Q.; Li, Y.L.; Lin, W.F.; Yi, J.; Li, W.F. Analysis of "8·9" power outage in Britain and enlightenment to China Power Grid. Proc. CSEE 2019, 39, 6183–6192. [Google Scholar]
- Tuttelberg, K.; Kilter, J.; Wilson, D. Estimation of power system inertia from ambient wide area measurements. IEEE Trans. Power Syst. 2018, 33, 7249–7257. [Google Scholar] [CrossRef]
- Wang, B.C.; Sun, H.D.; Li, W.F.; Yan, J.F.; Yu, Z.H.; Yang, C. Evaluation of minimum inertia for power systems considering dynamic frequency constraints. Proc. CSEE 2022, 42, 114–127. [Google Scholar]
- Zhang, J.B.; Xu, H. Online identification of power system equivalent inertia constant. IEEE Trans. Ind. Electron. 2017, 64, 8098–8107. [Google Scholar] [CrossRef]
- Daly, P.; Qazi, H.W.; Flynn, D. RoCoF-constrained scheduling incorporating non-synchronous residential demand response. IEEE Trans. Power Syst. 2019, 34, 3372–3383. [Google Scholar] [CrossRef]
- Teng, F.; Trovato, V.; Strbac, G. Stochastic scheduling with inertia-dependent fast frequency response requirements. IEEE Trans. Power Syst. 2015, 31, 1557–1566. [Google Scholar] [CrossRef]
- Chu, Z.D.; Zhang, N.; Teng, F. Frequency-constrained resilient scheduling of microgrid: A distributionally robust approach. IEEE Trans. Smart Grid 2021, 12, 4914–4925. [Google Scholar] [CrossRef]
- Liu, J.H.; Wang, C.; Bi, T.S. Node equivalent inertia index for frequency spatiotemporal dynamics of new energy power system and its application. Proc. CSEE 2022, 1–16. [Google Scholar]
- Ashouri-Zadeh, A.; Toulabi, M. Adaptive virtual inertia controller for DFIGs considering nonlinear aerodynamic efficiency. IEEE Trans. Sustain. Energy 2021, 12, 1060–1067. [Google Scholar] [CrossRef]
- Sun, P.; Teng, Y.; Chen, Z. Robust coordinated optimization for multi-energy systems based on multiple thermal inertia numerical simulation and uncertainty analysis. Appl. Energy 2021, 296, 116982. [Google Scholar] [CrossRef]
- Badesa, L.; Teng, F.; Strbac, G. Simultaneous scheduling of multiple frequency services in stochastic unit commitment. IEEE Trans. Power Syst. 2019, 34, 3858–3868. [Google Scholar] [CrossRef]
- Zeng, F.H.; Zhang, J.B. Online Identification of Inertia Distribution in Normal Operating Power System. IEEE Trans. Power Syst. 2020, 35, 3301–3304. [Google Scholar] [CrossRef]
- Zhao, Z.Z.; Cai, W.L.; Wang, Y.; Xiong, J.; Liu, W.L. Day-ahead electricity pricing mechanism considering the conflict between distribution network congestion and renewable produce. Electr. Energy Syst. 2021, 22, e13218. [Google Scholar] [CrossRef]
- Gu, H.; Yan, R.; Saha, T.K. System Strength and Inertia Constrained Optimal Generator Dispatch Under High Renewable Penetration. IEEE Trans. Sustain. Energy 2020, 11, 2392–2406. [Google Scholar] [CrossRef]
- Mi, Y.; Chen, Y.; Yuan, M.; Li, Z.; Tao, B.; Han, Y. Multi-Timescale Optimal Dispatching Strategy for Coordinated Source-Grid-Load-Storage Interaction in Active Distribution Networks Based on Second-Order Cone Planning. Energies 2023, 16, 1356. [Google Scholar] [CrossRef]
- Sun, H.D.; Wang, B.C.; Li, W.F. Study on inertia system of frequency response of high proportion power electronic power System. Proc. CSEE 2020, 40, 5179–5192. [Google Scholar]
- Wen, Y.F.; Lin, X.H. Minimum inertia demand evaluation of microgrid in isolated island and grid-connected mode. Proc. CSEE 2021, 41, 2040–2053. [Google Scholar]
- Xiong, H.; Xiang, T.Y.; Chen, H.K. Research on Fuzzy chance-constrained Unit combination with large-scale intermittent power supply. Proc. CSEE 2013, 33, 36–44. [Google Scholar]
- Liang, B.H.; Liao, J.H. A fuzzy-optimization approach for generation scheduling with wind and solar energy systems. IEEE Trans. Power Syst. 2007, 22, 1665–1674. [Google Scholar] [CrossRef]
- Cui, Y.; Zeng, P.; Wang, Z.; Wang, M.C.; Zhang, J.T.; Zhao, Y.T. A time-scale scheduling strategy for wind abjection consumption considering energy transfer characteristics of carbon capture power plants. Proc. CSEE 2021, 41, 945–961. [Google Scholar]
- Zhao, Z.Z.; Joseph, M. Optimal Conductor Size Selection in Distribution Networks with High Penetration of Distributed Generation Using Adaptive Genetic Algorithm. Energies 2019, 12, 2065. [Google Scholar] [CrossRef]
- Wang, Y.; Lai, K.X.; Chen, F.Y.; Li, Z.M.; Hu, C.H. Shadow price based co-ordination methods of microgrids and battery swapping stations. Appl. Energy 2019, 253, 113510. [Google Scholar] [CrossRef]
- Carrión, M.; Arroyo, J.M. A Computationally Efficient Mixed-Integer Linear Formulation for the Thermal Unit Commitment Problem. IEEE Trans. Power Syst. 2006, 21, 1371–1378. [Google Scholar] [CrossRef]
- Ren, S.H.; Dou, X.; Wang, Z.; Wang, J.; Wang, X.Y. Medium- and Long-Term Integrated Demand Response of Integrated Energy System Based on System Dynamics. Energies 2020, 13, 710. [Google Scholar] [CrossRef]
Disclaimer/Publisher’s Note: The statements, opinions and data contained in all publications are solely those of the individual author(s) and contributor(s) and not of MDPI and/or the editor(s). MDPI and/or the editor(s) disclaim responsibility for any injury to people or property resulting from any ideas, methods, instructions or products referred to in the content. |
© 2023 by the authors. Licensee MDPI, Basel, Switzerland. This article is an open access article distributed under the terms and conditions of the Creative Commons Attribution (CC BY) license (https://creativecommons.org/licenses/by/4.0/).







