A New Design for the Peer-to-Peer Electricity and Gas Markets Based on Robust Probabilistic Programming
Abstract
:1. Introduction
1.1. Related Works
- A fully-decentralized P2P market model and a fully-decentralized P2P market-clearing approach: In a group of previous studies, the players do not negotiate bilaterally in a P2P manner. Furthermore, some studies have used centralized methods or methods that do not have decentralized characteristics to clear the market.
- A dynamic and flexible model: Many past studies lack a dynamic, flexible model and use conventional demand response programs, including load curtailment and shift. Nevertheless, the presence of energy coupling equipment and storage units and the use of various energy sources have contributed to the high flexibility of this model. Likewise, the participation of several prosumers and retailers ensures the dynamicity of the model.
- Considering the uncertainties of the wholesale electricity market price and prosumers’ demand: One key weakness of the previous studies is their failure to address the existing uncertainties. Considering the uncertainties has a huge implication for realistic modeling and can cause the players to have more robustness in the face of the uncertainties.
1.2. The Contribution of This Paper
- A dynamic and flexible market for electricity and gas transactions among energy hub prosumers and retailers is modeled. The retailers are equipped with electrical storage and self-generation units and can sell power to the upstream network in addition to prosumers.
- The uncertainties of wholesale electricity market price and prosumers’ electrical demand are considered using the robust possibilistic programming (RPP) approach.
- A fully decentralized ADMM is utilized to clear the proposed electricity and gas market, guaranteeing the global solution for all players without needing a supervisory node. The obtained results are compared to those of a centralized approach.
1.3. Paper Organization
2. Problem Definition
3. Mathematical Modeling
3.1. Assumptions
- The proposed market is assumed to comprise of retailers and prosumers.
- The prosumers cannot sell electricity to retailers and only have the “buyer” role. In other words, they are only price-takers and supply their required electricity and gas from the retailers.
- The retailers can concurrently play the “buyer” and “seller” roles and purchase electricity and gas from the wholesale market to sell it to the prosumers. They can act as producers and trade energy with the upstream network and prosumers.
- There is a bilateral P2P relationship between retailers and prosumers. All market players behave in a free and independent manner and manage their energy sources and loads to satisfy their objectives.
3.2. The Deterministic Model of the Retailer
3.3. The Deterministic Model of the Prosumer
3.4. Uncertainty Modeling
3.5. Fuzzy Robust Model of the Retailer
3.6. The Design of a Market Clearing Algorithm for the Proposed Decentralized Energy Trading
Coupling Constraints
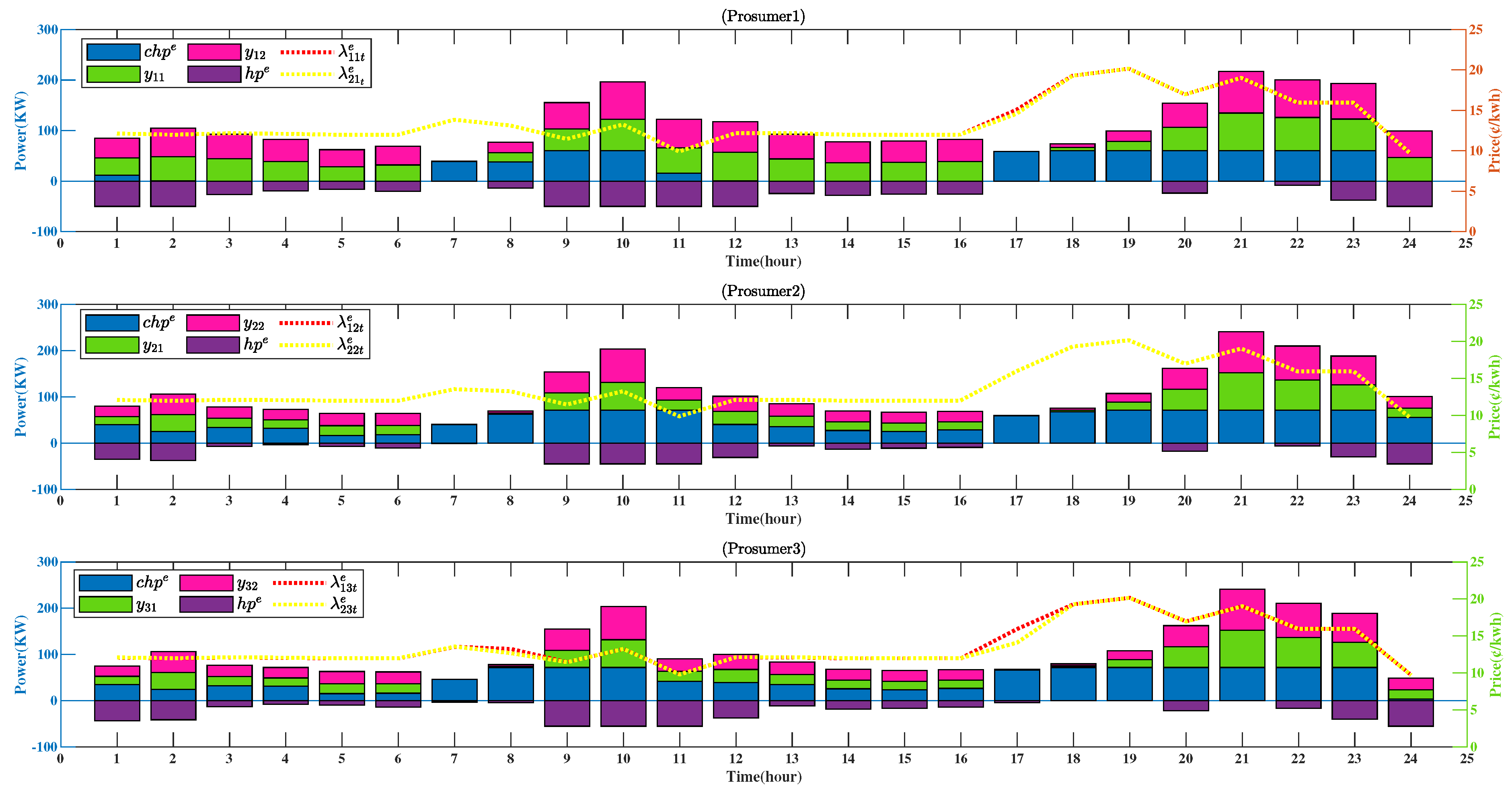
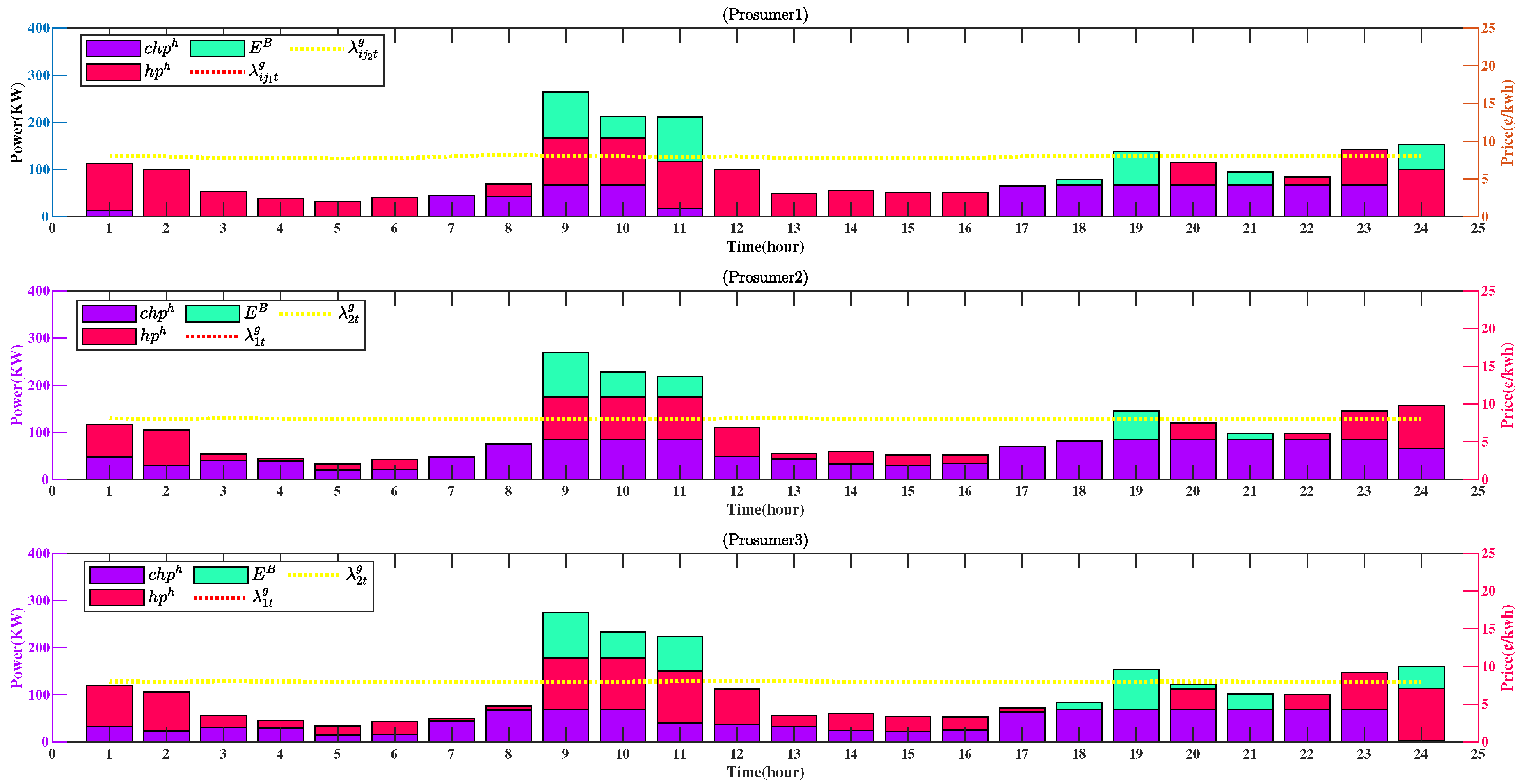
4. Simulation
- Case study 1: P2P electrical energy and gas trading between retailers and prosumers without considering uncertainties of wholesale electricity market price and prosumers’ electrical demand (deterministic programming).
- Case study 2: P2P electrical energy and gas trading between retailers and prosumers considering uncertainties of wholesale electricity market price and prosumers’ electrical demand (robust possibilistic programming).
4.1. Case Study 1
4.2. Case Study 2
5. Conclusions
- Analyze the human factor impacts and human energy consumption on distribution networks.
- Design a business model for P2P energy trading, which should provide proper incentives to participate in a market, especially a suitable pricing mechanism.
- Considering the electricity and gas network constraints.
Author Contributions
Funding
Data Availability Statement
Conflicts of Interest
Nomenclature
| Indexes | Defintion | Unit |
| t | Time index | h |
| i | Retailer index | - |
| j | Prosumer index | - |
| k | Repetition index | - |
| Parameters | ||
| and | Cost function parameters for retailer i | $/kWh/kWh, $ |
| Maximum of charging/discharge power of electrical energy storage system | kW | |
| Efficiency of gas consumed by the CHP unit | - | |
| Efficiency of gas consumed by the boiler unit | - | |
| Efficiency of electrical consumed by the heat pump unit | - | |
| The gas prices of the wholesale market | ¢/m | |
| Efficiency of charging/discharging of storage system | - | |
| the penalty parameter | - | |
| the confidence level | - | |
| Losses rate of storage system | % | |
| Variables | ||
| The gas and electricity cost of prosumer j | ¢ | |
| Revenue of retailern i | ¢ | |
| The quantities of electricity sold to each prosumer | kW | |
| The quantities of gas sold to each prosumer | m | |
| Energy purchased from the wholesale market by retailer i at time t | kW | |
| Gas purchased from the wholesale market by retailer i at time t | m | |
| The electricity trading price between retailers and prosumers | ¢/kW | |
| The constant fluctuation of wholesale market price | - | |
| The gas trading price between retailers and prosumers | ¢/m | |
| The power of self-generation units | kW | |
| Charging/discharging power of electrical energy storage system | kW | |
| ) | The cost function of a self-generator belonging to retailer i | ¢ |
| Binary variable for determining the state of charging/discharging of system storage | - | |
| Gas consumed by boiler units | m | |
| Gas consumed by CHP units | m | |
| Electricity consumed by the heat pump units | kW | |
References
- Gottwalt, S.; Gärttner, J.; Schmeck, H.; Weinhardt, C. Modeling and valuation of residential demand flexibility for renewable energy integration. IEEE Trans. Smart Grid 2016, 8, 2565–2574. [Google Scholar] [CrossRef]
- Soto, E.A.; Bosman, L.B.; Wollega, E.; Leon-Salas, W.D. Peer-to-peer energy trading: A review of the literature. Appl. Energy 2021, 283, 116268. [Google Scholar] [CrossRef]
- Vincent, F.Y.; Le, T.H.A.; Gupta, J.N.D. Sustainable microgrid design with multiple demand areas and peer-to-peer energy trading involving seasonal factors and uncertainties. Renew. Sustain. Energy Rev. 2022, 161, 112342. [Google Scholar]
- Guo, Z.; Pinson, P.; Chen, S.; Yang, Q.; Yang, Z. Chance-constrained peer-to-peer joint energy and reserve market considering renewable generation uncertainty. IEEE Trans. Smart Grid 2020, 12, 798–809. [Google Scholar] [CrossRef]
- Oh, E.; Son, S.Y. Peer-to-peer energy transaction mechanisms considering fairness in smart energy communities. IEEE Access 2020, 8, 216055–216068. [Google Scholar] [CrossRef]
- Qiu, H.; You, F. Decentralized-distributed robust electric power scheduling for multi-microgrid systems. Appl. Energy 2020, 269, 115146. [Google Scholar] [CrossRef]
- Hu, M.; Wang, Y.W.; Lin, X.; Shi, Y. A decentralized periodic energy trading framework for pelagic islanded microgrids. IEEE Trans. Ind. Electron. 2019, 67, 7595–7605. [Google Scholar] [CrossRef]
- Zepter, J.M.; Lüth, A.; del Granado, P.C.; Egging, R. Prosumer integration in wholesale electricity markets: Synergies of peer-to-peer trade and residential storage. Energy Build. 2019, 184, 163–176. [Google Scholar] [CrossRef]
- Chen, T.; Bu, S.; Liu, X.; Kang, J.; Yu, F.R.; Han, Z. Peer-to-Peer Energy Trading and Energy Conversion in Interconnected Multi-Energy Microgrids Using Multi-Agent Deep Reinforcement Learning. IEEE Trans. Smart Grid 2021, 13, 715–727. [Google Scholar] [CrossRef]
- Liu, W.; Qi, D.; Wen, F. Intraday residential demand response scheme based on peer-to-peer energy trading. IEEE Trans. Ind. Inform. 2019, 16, 1823–1835. [Google Scholar] [CrossRef]
- Nguyen, D.H.; Ishihara, T. Distributed peer-to-peer energy trading for residential fuel cell combined heat and power systems. Int. J. Electr. Power Energy Syst. 2021, 125, 106533. [Google Scholar] [CrossRef]
- Lin, W.T.; Chen, G.; Li, C. Risk-averse energy trading among peer-to-peer based virtual power plants: A stochastic game approach. Int. J. Electr. Power Energy Syst. 2021, 132, 107145. [Google Scholar] [CrossRef]
- Tsao, Y.C.; Thanh, V.V. Toward sustainable microgrids with blockchain technology-based peer-to-peer energy trading mechanism: A fuzzy meta-heuristic approach. Renew. Sustain. Energy Rev. 2021, 136, 110452. [Google Scholar] [CrossRef]
- Xia, Y.; Xu, Q.; Qian, H.; Cai, L. Peer-to-Peer energy trading considering the output uncertainty of distributed energy resources. Energy Rep. 2022, 8, 567–574. [Google Scholar] [CrossRef]
- Nikmehr, N. Distributed robust operational optimization of networked microgrids embedded interconnected energy hubs. Energy 2020, 199, 117440. [Google Scholar] [CrossRef]
- Wang, X.; Liu, Y.; Liu, C.; Liu, J. Coordinating energy management for multiple energy hubs: From a transaction perspective. Int. J. Electr. Power Energy Syst. 2020, 121, 106060. [Google Scholar] [CrossRef]
- Li, J.; Zhang, C.; Xu, Z.; Wang, J.; Zhao, J.; Zhang, Y.J.A. Distributed transactive energy trading framework in distribution networks. IEEE Trans. Power Syst. 2018, 33, 7215–7227. [Google Scholar] [CrossRef]
- Khaligh, V.; Ghezelbash, A.; Mazidi, M.; Liu, J.; Ryu, J.H.; Na, J. A stochastic agent-based cooperative scheduling model of a multi-vector microgrid including electricity, hydrogen, and gas sectors. J. Power Sources 2022, 546, 231989. [Google Scholar] [CrossRef]
- Khaligh, V.; Ghezelbash, A.; Mazidi, M.; Liu, J.; Ryu, J.H. P-robust energy management of a multi-energy microgrid enabled with energy conversions under various uncertainties. Energy 2023, 271, 127084. [Google Scholar] [CrossRef]
- Pishvaee, M.; Razmi, J.; Torabi, S. Robust possibilistic programming for socially responsible supply chain network design: A new approach. Fuzzy Sets Syst. 2012, 206, 1–20. [Google Scholar] [CrossRef]
- Qu, S.; Shu, L.; Yao, J. Optimal pricing and service level in supply chain considering misreport behavior and fairness concern. Comput. Ind. Eng. 2022, 174, 108759. [Google Scholar] [CrossRef]
- Hayes, B.P.; Thakur, S.; Breslin, J.G. Co-simulation of electricity distribution networks and peer to peer energy trading platforms. Int. J. Electr. Power Energy Syst. 2020, 115, 105419. [Google Scholar] [CrossRef]
- Malik, S.; Duffy, M.; Thakur, S.; Hayes, B.; Breslin, J. A priority-based approach for peer-to-peer energy trading using cooperative game theory in local energy community. Int. J. Electr. Power Energy Syst. 2022, 137, 107865. [Google Scholar] [CrossRef]
- Aghamohammadloo, H.; Talaeizadeh, V.; Shahanaghi, K.; Aghaei, J.; Shayanfar, H.; Shafie-khah, M.; Catalão, J.P.S. Integrated Demand Response programs and energy hubs retail energy market modelling. Energy 2021, 234, 121239. [Google Scholar] [CrossRef]
- Esmat, A.; de Vos, M.; Ghiassi-Farrokhfal, Y.; Palensky, P.; Epema, D. A novel decentralized platform for peer-to-peer energy trading market with blockchain technology. Appl. Energy 2021, 282, 116123. [Google Scholar] [CrossRef]
- Wang, L.; Zhang, Y.; Song, W.; Li, Q. Stochastic Cooperative Bidding Strategy for Multiple Microgrids With Peer-to-Peer Energy Trading. IEEE Trans. Ind. Inform. 2021, 18, 1447–1457. [Google Scholar] [CrossRef]
- Davoudi, M.; Moeini-Aghtaie, M. Local energy markets design for integrated distribution energy systems based on the concept of transactive peer-to-peer market. IET Gener. Transm. Distrib. 2022, 16, 41–56. [Google Scholar] [CrossRef]
- Mehdinejad, M.; Shayanfar, H.; Mohammadi-Ivatloo, B. Peer-to-peer decentralized energy trading framework for retailers and prosumers. Appl. Energy 2022, 308, 118310. [Google Scholar] [CrossRef]
- Shen, Z.; Wu, L.; Sedgh, S.A.; Radmehr, F. Optimal operation scheduling of a microgrid using a novel scenario-based robust approach. Eng. Optim. 2023, 1–22. [Google Scholar] [CrossRef]
- Seyfi, M.; Mehdinejad, M.; Mohammadi-Ivatloo, B.; Shayanfar, H. Deep learning-based scheduling of virtual energy hubs with plug-in hybrid compressed natural gas-electric vehicles. Appl. Energy 2022, 321, 119318. [Google Scholar] [CrossRef]
- Sahebi, A.; Jadid, S. A robust model of local energy market under a security constraint-based approach for distribution system operator and multi-energy microgrids. Electr. Power Syst. Res. 2023, 217, 109164. [Google Scholar] [CrossRef]
- Babagheibi, M.; Jadid, S.; Kazemi, A. An Incentive-based robust flexibility market for congestion management of an active distribution system to use the free capacity of Microgrids. Appl. Energy 2023, 336, 120832. [Google Scholar] [CrossRef]
- Boyd, S.; Parikh, N.; Chu, E.; Peleato, B.; Eckstein, J. Distributed optimization and statistical learning via the alternating direction method of multipliers. Found. Trends® Mach. Learn. 2011, 3, 1–122. [Google Scholar]
- Mehdinejad, M.; Shayanfar, H.A.; Mohammadi-Ivatloo, B.; Nafisi, H. Designing a robust decentralized energy transactions framework for active prosumers in peer-to-peer local electricity markets. IEEE Access 2022, 10, 26743–26755. [Google Scholar] [CrossRef]
- Mehdinejad, M.; Shayanfar, H.; Mohammadi-Ivatloo, B. Decentralized blockchain-based peer-to-peer energy-backed token trading for active prosumers. Energy 2022, 244, 122713. [Google Scholar] [CrossRef]
- Khazaei, H.; Aghamohammadloo, H.; Habibi, M.; Mehdinejad, M.; Mohammadpour Shotorbani, A. Novel Decentralized Peer-to-Peer Gas and Electricity Transaction Market between Prosumers and Retailers Considering Integrated Demand Response Programs. Sustainability 2023, 15, 6165. [Google Scholar] [CrossRef]









| Profit (¢) | Cost (¢) | Total Cost (¢) | Total Profit (¢) | |||||
|---|---|---|---|---|---|---|---|---|
| Retailer | Prosumer | |||||||
| R1 | R2 | U1 | U2 | U3 | ||||
| Robust | Centralized | 13,474.1 | 15,122.2 | −58,763.3 | −61,540.8 | −66,341.9 | 186,646 | 28,596.3 |
| Decentralized | 12,726.7 | 15,240.9 | −58,821.4 | −61,623.2 | −66,372.9 | 186,817.5 | 27,967.6 | |
| Deterministic | Centralized | 14,655.6 | 17,362.8 | −46,509.9 | −48,192.5 | −51,900.9 | 146,603.3 | 32,018.4 |
| Decentralized | 14,584.8 | 17,249.7 | −46,472.9 | −48,209.9 | −51,913.3 | 146,596.1 | 3183.5 | |
Disclaimer/Publisher’s Note: The statements, opinions and data contained in all publications are solely those of the individual author(s) and contributor(s) and not of MDPI and/or the editor(s). MDPI and/or the editor(s) disclaim responsibility for any injury to people or property resulting from any ideas, methods, instructions or products referred to in the content. |
© 2023 by the authors. Licensee MDPI, Basel, Switzerland. This article is an open access article distributed under the terms and conditions of the Creative Commons Attribution (CC BY) license (https://creativecommons.org/licenses/by/4.0/).
Share and Cite
Sedgh, S.A.; Aghamohammadloo, H.; Khazaei, H.; Mehdinejad, M.; Asadi, S. A New Design for the Peer-to-Peer Electricity and Gas Markets Based on Robust Probabilistic Programming. Energies 2023, 16, 3464. https://doi.org/10.3390/en16083464
Sedgh SA, Aghamohammadloo H, Khazaei H, Mehdinejad M, Asadi S. A New Design for the Peer-to-Peer Electricity and Gas Markets Based on Robust Probabilistic Programming. Energies. 2023; 16(8):3464. https://doi.org/10.3390/en16083464
Chicago/Turabian StyleSedgh, Seyed Amin, Hossein Aghamohammadloo, Hassan Khazaei, Mehdi Mehdinejad, and Somayeh Asadi. 2023. "A New Design for the Peer-to-Peer Electricity and Gas Markets Based on Robust Probabilistic Programming" Energies 16, no. 8: 3464. https://doi.org/10.3390/en16083464
APA StyleSedgh, S. A., Aghamohammadloo, H., Khazaei, H., Mehdinejad, M., & Asadi, S. (2023). A New Design for the Peer-to-Peer Electricity and Gas Markets Based on Robust Probabilistic Programming. Energies, 16(8), 3464. https://doi.org/10.3390/en16083464

