The Influence of the Reaction Parameters on the Synthesis of Fatty Acid Octyl Esters and Investigation of Applications Properties of Its Blends with Mineral Diesel
Abstract
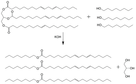
1. Introduction
2. Materials and Methods
3. Results and Discussion
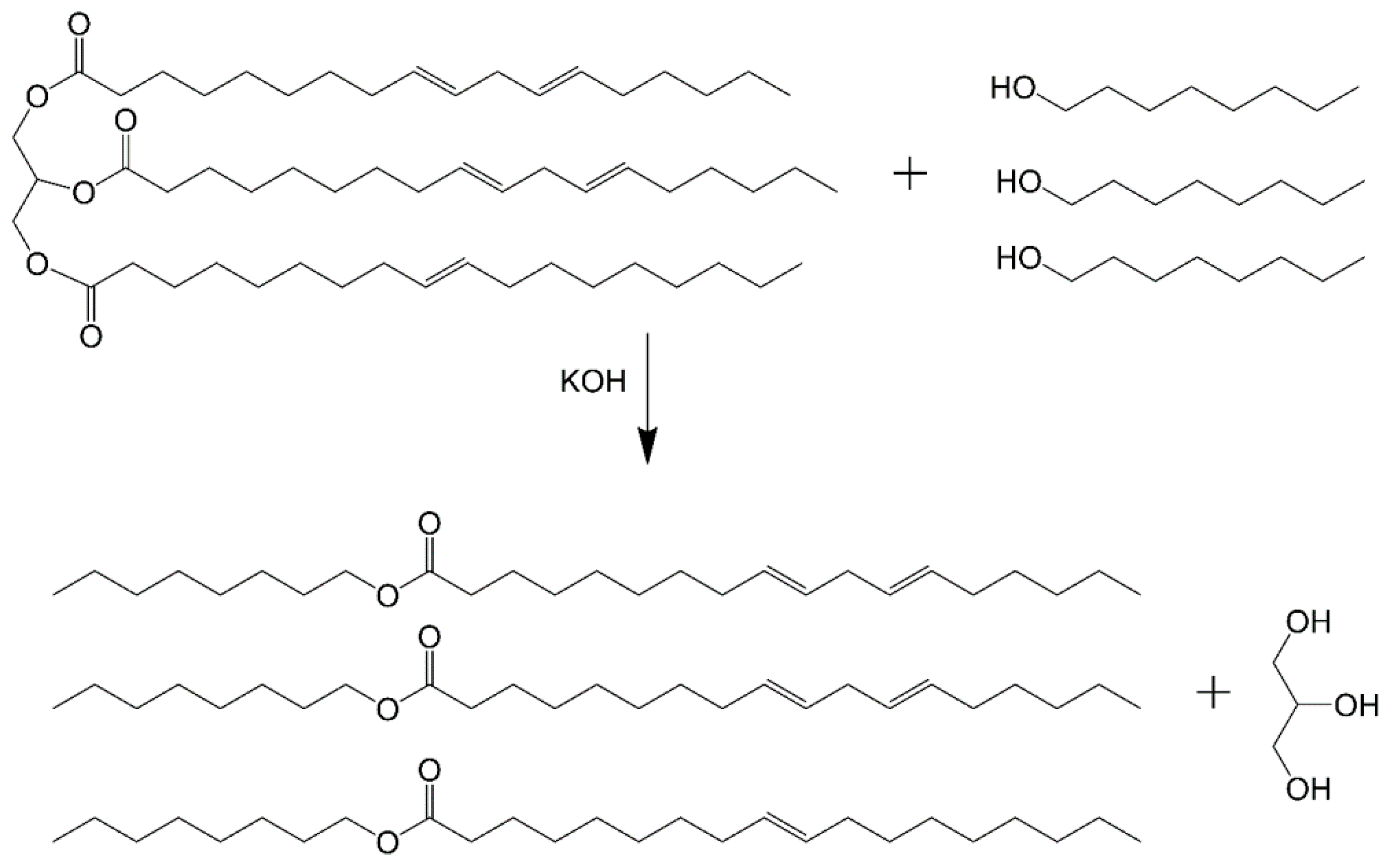
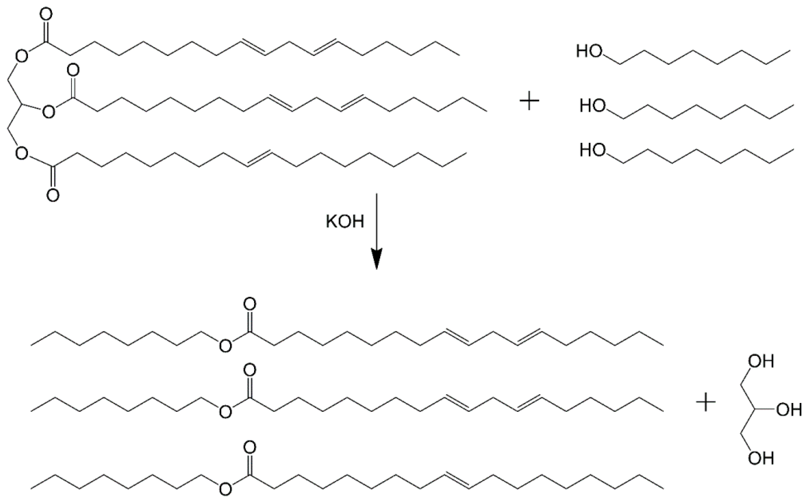
3.1. Quadratic Model of Transesterification
3.2. Quadratic Model of Transesterification
3.3. Optimization of Biodiesel Production
3.4. Application Properties of FAOCE and Its Blends with Mineral Diesel and 1-Octanol
3.4.1. Kinematic Viscosity of Pure Components and Blends
3.4.2. Density of Pure Components and Blends
3.4.3. Low-Temperature Properties of Pure Components and Blends
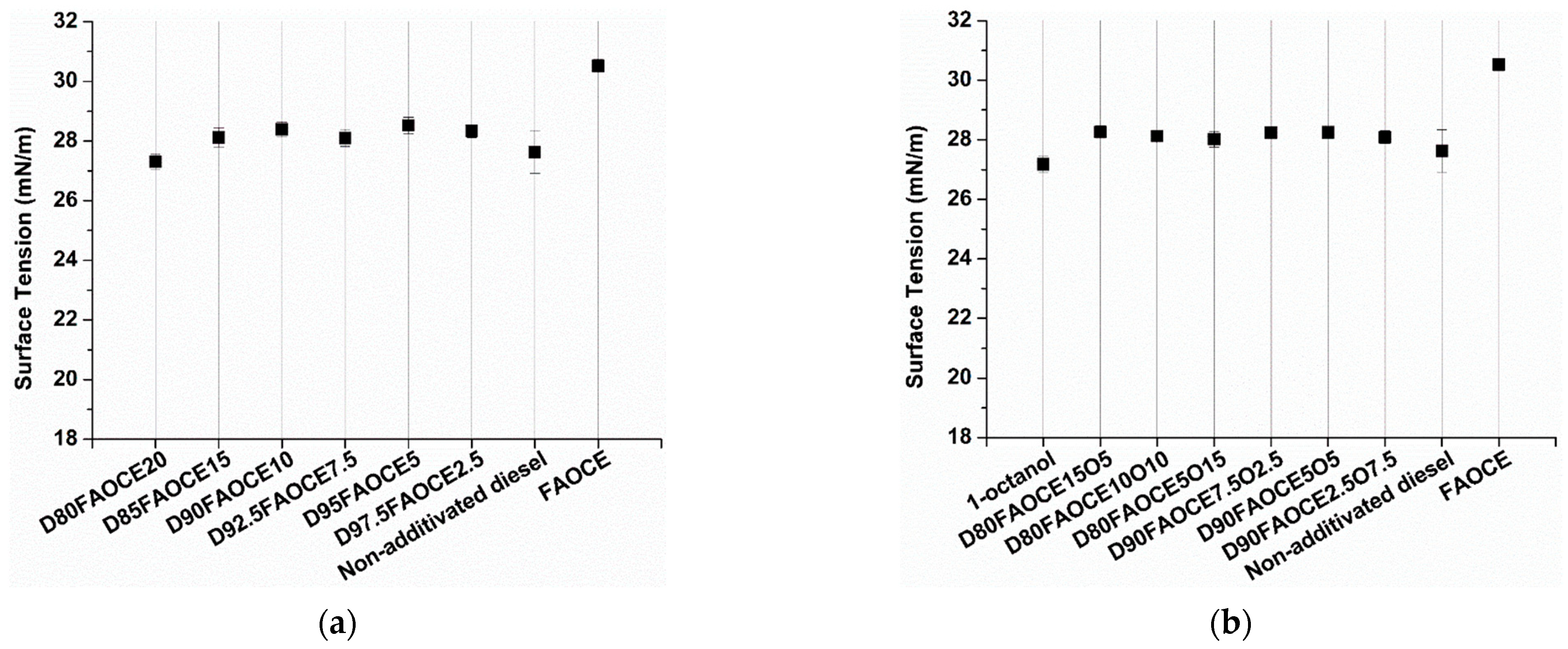
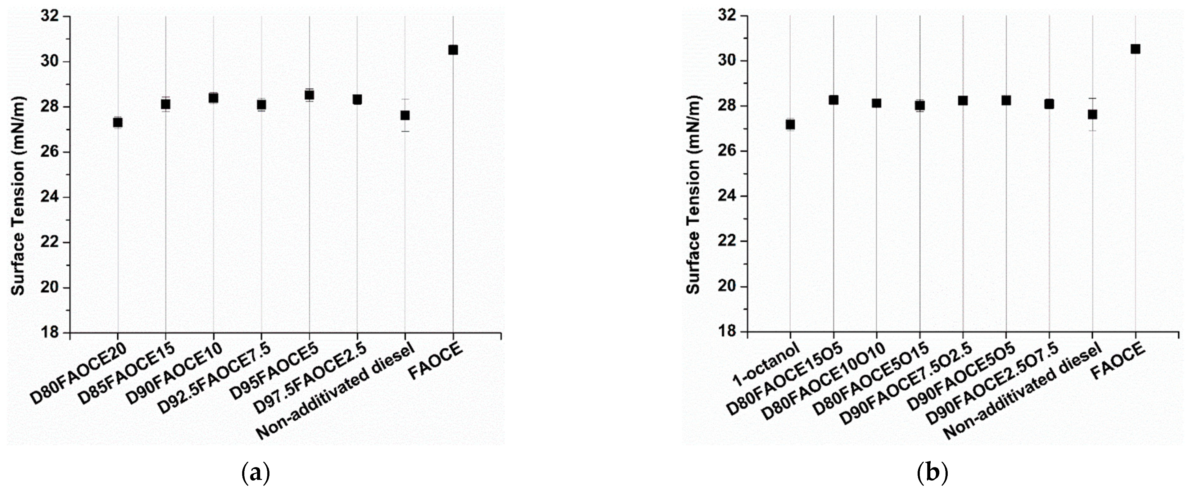
3.4.4. Lubricity and Surface Tension of Pure Components and Blends
4. Conclusions
Supplementary Materials
Author Contributions
Funding
Data Availability Statement
Conflicts of Interest
References
- Suresh, M.; Jawahar, C.P.; Richard, A. A review on biodiesel production, combustion, performance, and emission characteristics of non-edible oils in variable compression ratio diesel engine using biodiesel and its blends. Renew. Sustain. Energy Rev. 2018, 92, 38–49. [Google Scholar] [CrossRef]
- Silitonga, A.S.; Masjuki, H.H.; Mahlia, T.M.I.; Ong, H.C.; Chong, W.T.; Boosroh, M.H. Overview properties of biodiesel diesel blends from edible and non-edible feedstock. Renew. Sustain. Energy Rev. 2010, 22, 346–360. [Google Scholar] [CrossRef]
- Xue, J.; Grift, T.E.; Hansen, A.C. Effect of biodiesel on engine performances and emissions. Renew. Sustain. Energy Rev. 2011, 15, 1098–1116. [Google Scholar] [CrossRef]
- Atabania, A.E.; Silitonga, A.S.; Badruddina, I.A.; Mahliaa, T.M.I.; Masjukia, H.H.; Mekhilefd, S. A comprehensive review on biodiesel as an alternative energy resource and its characteristics. Renew. Sustain. Energy Rev. 2012, 16, 2070–2093. [Google Scholar] [CrossRef]
- Li, L.; Jianxin, W.; Zhi, W.; Jianhua, X. Combustion and emission characteristics of diesel engine fueled with diesel/biodiesel/pentanol fuel blends. Fuel 2015, 156, 211–218. [Google Scholar] [CrossRef]
- Biswas, S.; Katiyar, R.; Gurjar, B.R.; Pruthi, V. Biofuels and Their Production Through Different Catalytic Routes. Chem. Biochem. Eng. Q. 2017, 31, 47–62. [Google Scholar] [CrossRef]
- Salvi, B.L.; Subramanian, K.A.; Panwar, N.L. Alternative fuels for transportation vehicles: A technical review. Renew. Sustain. Energy Rev. 2013, 25, 404–419. [Google Scholar] [CrossRef]
- Mofijur, M.; Rasul, M.G.; Hyde, J.; Azad, A.K.; Mamat, R.; Bhuiya, M.M.K. Role of biofuel and their binary (diesel-biodiesel) and ternary (ethanol-biodiesel-diesel) blends on internal combustion engines emission reduction. Renew. Sustain. Energy Rev. 2016, 53, 265–278. [Google Scholar] [CrossRef]
- Kumar, S.; Cho, J.H.; Park, J.; Moon, I. Advances in diesel–alcohol blends and their effects on the performance and emissions of diesel engines. Renew. Sustain. Energy Rev. 2013, 22, 46–72. [Google Scholar] [CrossRef]
- Gotovuša, M.; Medić, M.; Faraguna, F.; Šibalić, M.; Konjević, L.; Parlov Vuković, J.; Racar, M. Fatty acids propyl esters: Synthesis optimization and application properties of their blends with diesel and 1-propanol. Renew. Energy 2022, 185, 655–664. [Google Scholar] [CrossRef]
- Wang, P.S.; Tat, M.E.; Gerpen, J.V. The Production of Fatty Acid Isopropyl Esters and Their Use as a Diesel Engine Fuel. J. Am. Oil. Chem. Soc. 2005, 82, 845–849. [Google Scholar] [CrossRef]
- Sendzikiene, E.; Sinkuniene, D.; Kazanceva, I.; Kazancev, K. Optimization of low quality rapeseed oil transesterification with butanol by applying the response surface methodology. Renew. Energy 2016, 87, 266–272. [Google Scholar] [CrossRef]
- Konovalov, S.; Patrylak, L.; Zubenko, S.; Okhrimenko, M.; Yakovenko, A.; Levterov, A.; Avramenko, A. Alkali synthesis of fatty acid butyl and ethyl esters and comparative bench motor testing of blended fuels on their basis. Chem. Chem. Technol. 2021, 15, 105–117. [Google Scholar] [CrossRef]
- Hanh, H.D.; Dong, N.T.; Okitsu, K.; Nishimura, R.; Maeda, Y. Biodiesel production through transesterification of triolein with various alcohols in an ultrasonic field. Renew. Energy 2009, 34, 766–768. [Google Scholar] [CrossRef]
- Liang, X.; Wu, F.; Xie, Q.; Wu, Z.; Cai, J.; Zheng, C.; Fu, J.; Nie, Y. Insights into biobased epoxidized fatty acid isobutyl esters from biodiesel: Preparation and application as plasticizer. Chin. J. Chem. Eng. 2021, 44, 41–50. [Google Scholar] [CrossRef]
- Malins, K.; Kampars, V.; Kampare, R.; Prilucka, J.; Brinks, J.; Murnieks, R.; Apseniece, L. Properties of rapeseed oil fatty acid alkyl esters derived from different alcohols. Fuel 2014, 137, 28–35. [Google Scholar] [CrossRef]
- de Oliveira, V.F.; Parente, E.J.S., Jr.; Manrique-Rueda, E.D.; Cavalcante, C.L., Jr.; Luna, F.M.T. Fatty acid alkyl esters obtained from babassu oil using C1–C8 alcohols and process integration into a typical biodiesel plant. Chem. Eng. Res. Des. 2020, 160, 224–232. [Google Scholar] [CrossRef]
- Faraguna, F.; Racar, M.; Glasovac, Z.; Jukić, A. Correlation Method for Conversion Determination of Biodiesel Obtained from Different Alcohols by 1H NMR Spectroscopy. Energy Fuels 2017, 31, 3943–3948. [Google Scholar] [CrossRef]
- Rajesh; Kumar, B.; Saravanan, S. Use of higher alcohol biofuels in diesel engines: A review. Renew. Sustain. Energy Rev. 2016, 60, 84–115. [Google Scholar] [CrossRef]
- Bharti, A.; Banerjee, T. Reactive force field simulation studies on the combustion behavior of n-octanol. Fuel Process. Technol. 2016, 152, 132–139. [Google Scholar] [CrossRef]
- Imdadul, H.K.; Masjuki, H.H.; Kalam, M.A.; Zulkifli, N.W.M.; Alabdulkarem, A.; Rashed, M.M.; Teoh, Y.H.; Howa, H.G. Higher alcohol–biodiesel–diesel blends: An approach for improving the performance, emission, and combustion of a light-duty diesel engine. Energy Convers. Manag. 2016, 111, 174–185. [Google Scholar] [CrossRef]
- Zhang, Z.H.; Chua, S.M.; Balasubramanian, R. Comparative evaluation of the effect of butanol–diesel and pentanol–diesel blends on carbonaceous particulate composition and particle number emissions from a diesel engine. Fuel 2016, 176, 40–47. [Google Scholar] [CrossRef]
- Yilmaz, N.; Atmanli, A.; Trujillo, M. Influence of 1-pentanol additive on the performance of a diesel engine fueled with waste oil methyl ester and diesel fuel. Fuel 2017, 207, 461–469. [Google Scholar] [CrossRef]
- Atabani, A.E.; Kulthoom, S.A. Spectral, thermoanalytical characterizations, properties, engine and emission performance of complementary biodiesel-diesel-pentanol / octanol blends. Fuel 2020, 282, 118849. [Google Scholar] [CrossRef]
- Atmanli, A. Comparative analyses of diesel–waste oil biodiesel and propanol, n-butanol or 1-pentanol blends in a diesel engine. Fuel 2016, 176, 209–215. [Google Scholar] [CrossRef]
- Falbe, J.; Bahrmann, H.; Lipps, W.; Mayer, D.; Frey, G.D. Alcohols, Aliphatic. Ullmann’s Encyclopedia of Industrial Chemistry, 6th ed.; Wiley-VCH Verlag GmbH & Co., KGaA: Weinheim, Germany, 2013; p. 14. [Google Scholar]
- Dellomonaco, C.; Clomburg, J.M.; Miller, E.N.; Gonzalez, R. Engineered reversal of the b-oxidation cycle for the synthesis of fuels and chemicals. Nature 2011, 476, 355–359. [Google Scholar] [CrossRef] [PubMed]
- Machado, H.B.; Dekishima, Y.; Luo, H.; Lan, E.I.; Liao, J.C. A selection platform for carbon chain elongation using the CoA-dependent pathway to produce linear higher alcohols. Metab. Eng. 2012, 14, 504–511. [Google Scholar] [CrossRef]
- Marcheschi, R.J.; Li, H.; Zhang, K.; Noey, E.L.; Kim, S.; Chaubey, A.; Houk, K.N.; Liao, J.C. A Synthetic Recursive “+1” Pathway for Carbon Chain Elongation. ACS Chem. Biol. 2012, 7, 689–697. [Google Scholar] [CrossRef]
- Sattayawat, P.; Yunus, I.S.; Jones, P.R. Bioderivatization as a concept for renewable production of chemicals that are toxic or poorly soluble in the liquid phase. Proc. Natl. Acad. Sci. USA 2020, 117, 1404–1413. [Google Scholar] [CrossRef]
- Akhtar, M.K.; Dandapani, H.; Thiel, K.; Jones, P.R. Microbial production of 1-octanol: A naturally excreted biofuel with diesel-like properties. Metab. Eng. Commun. 2015, 2, 1–5. [Google Scholar] [CrossRef]
- Mehrer, C.R.; Incha, M.R.; Politz, M.C.; Pfleger, B.F. Anaerobic Production of Medium-Chain Fatty Alcohols via a β-Reduction Pathway. Metab. Eng. 2018, 48, 63–71. [Google Scholar] [CrossRef] [PubMed]
- Lozada, N.J.H.; Simmons, T.R.; Xu, K.; Jindra, M.A.; Pfleg, B.F. Production of 1-octanol in Escherichia coli by a high flux thioesterase route. Metab. Eng. 2020, 61, 352–359. [Google Scholar] [CrossRef] [PubMed]
- Ashok, B.; Nanthagopal, K.; Anand, V.; Aravind, K.M.; Jeevanantham, A.K.; Balusamy, S. Effects of n-octanol as a fuel blend with biodiesel on diesel engine characteristics. Fuel 2019, 235, 363–373. [Google Scholar] [CrossRef]
- Sreeprasanth, P.S.; Srivastava, R.; Srinivas, D.; Ratnasamy, P. Hydrophobic, solid acid catalysts for production of biofuels and lubricants. Appl. Catal. Gen. 2006, 314, 148–159. [Google Scholar] [CrossRef]
- Putra, T.W.; Hardiansyah, R.; Lubis, M.R.; Supardan, M.D. Intensification of biolubricant synthesis from waste cooking oil using tetrahydrofuran as co-solvent. IOP Conf. Ser. Mater. Sci. 2020, 845, 012009. [Google Scholar] [CrossRef]
- Chowdhury, A.; Sarkar, D.; Mitra, D. Esterification of Free Fatty Acids Derived from Waste Cooking Oil with Octanol: Process Optimization and Kinetic Modeling. Chem. Eng. Technol. 2016, 39, 730–740. [Google Scholar] [CrossRef]
- Chowdhury, A.; Chakraborty, R.; Mitra, D.; Biswas, D. Optimization of the production parameters of octyl ester biolubricant using Taguchi’s design method and physico-chemical characterization of the product. Ind. Crop. Prod. 2014, 52, 783–789. [Google Scholar] [CrossRef]
- Cai, Z.; Wu, S.; Sun, G.; Niu, Y.; Zheng, D.; Peng, S.; Yang, W.; Wang, Y.; Yang, D. High-Purity Fatty Acid n-Octyl Esters from Housefly (Musca domestica L.) Larval Lipids, a Potential New Biolubricant Source. Energy Fuels 2017, 31, 10966–10974. [Google Scholar] [CrossRef]
- Porwal, J.; Karanwal, N.; Kaul, S.; Jain, S.L. Carbocatalysis: N-doped reduced graphene oxide catalyzed esterification of fatty acids with long chain alcohols. N. J. Chem. 2016, 40, 1547–1553. [Google Scholar] [CrossRef]
- Bassi, J.J.; Todero, L.M.; Lage, F.A.P.; Khedy, G.I.; Ducas, J.D.; Custódio, A.P.; Pinto, M.A.; Mendes, A.A. Interfacial activation of lipases on hydrophobic support and application in the synthesis of a lubricant ester. Int. J. Biol. Macromol. 2016, 92, 900–909. [Google Scholar] [CrossRef]
- Laudani, C.G.; Habulin, M.; Primozic, M.; Knez, Z.; Della Porta, G.; Reverchon, E. Optimisation of n-octyl oleate enzymatic synthesis over Rhizomucor miehei lipase. Bioproc. Biosyst. Eng. 2006, 29, 119–127. [Google Scholar] [CrossRef] [PubMed]
- Habulin, M.; Krmelj, V.; Knez, Ž. Synthesis of Oleic Acid Esters Catalyzed by Immobilized Lipase. J. Agric. Food. Chem. 1996, 44, 338–342. [Google Scholar] [CrossRef]
- Barange, S.H.; Raut, S.U.; Bhansali, K.J.; Balinge, K.R.; Patle, D.S.; Bhagat, P.R. Biodiesel production via esterification of oleic acid catalyzed by Brønsted acid-functionalized porphyrin grafted with benzimidazolium-based ionic liquid as an efficient photocatalyst. Biomass Convers. Biorefinery 2021, 13, 1873–1888. [Google Scholar] [CrossRef]
- Khajone, V.B.; Bhagat, P.R. Brønsted acid functionalized phthalocyanine on perylene diimide framework knotted with ionic liquid: An efficient photo-catalyst for production of biofuel component octyl levulinate at ambient conditions under visible light irradiation. Fuel 2020, 279, 118390. [Google Scholar] [CrossRef]
- Sidharth; Kumar, N. Comparison of properties of ternary fuel blends of diesel-octanol with biodiesel. IOP Conf. Ser. Mater. Sci. Eng. 2019, 691, 012050. [Google Scholar] [CrossRef]
- Pratas, M.J.; Freitas, S.V.D.; Oliveira, M.B.; Monteiro, S.C.; Lima, A.S.; Coutinho, J.A.P. Biodiesel Density: Experimental Measurements and Prediction Models. Energy Fuels 2011, 25, 2333–2340. [Google Scholar] [CrossRef]
- Verduzco, L.F.R. Density and viscosity of biodiesel as a function of temperature: Empirical models. Renew. Sustain. Energy Rev. 2013, 19, 652–665. [Google Scholar] [CrossRef]
- Parente, R.C.; Nogueira, C.A.; Carmo, F.R.; Lima, L.P.; Fernandes, F.A.N.; Santiago-Aguiar, R.S.; de Sant’Ana, H.B. Excess Volumes and Deviations of Viscosities of Binary Blends of Sunflower Biodiesel + Diesel and Fish Oil Biodiesel + Diesel at Various Temperatures. J. Chem. Eng. Data. 2011, 56, 3061–3067. [Google Scholar] [CrossRef]
- Peterson, C.L.; Auid, D.L. Proceedings of Solid Fuel Conversion for the Transportation Sector. ASME 1991, 12, 45–54. [Google Scholar]
- Knothe, G.; Steidley, K.R. Kinematic viscosity of biodiesel fuel components and related compounds. Influence of compound structure and comparison to petrodiesel fuel components. Fuel 2005, 84, 1059–1065. [Google Scholar] [CrossRef]
- Fazal, M.A.; Haseeb, A.S.M.A.; Masjuki, H.H. Investigation of friction and wear characteristics of palm biodiesel. Energy Convers. Manag. 2013, 67, 251–256. [Google Scholar] [CrossRef]
- Kumar, N.; Varun; Chauhan, S. Analysis of tribological performance of biodiesel. Proc. Inst. Mech. Eng. 2014, 228, 797–807. [Google Scholar] [CrossRef]
- Sulek, M.W.; Kulczycki, A.; Malysa, A. Assessment of lubricity of compositions of fuel oil with biocomponents derived from rape-seed. Wear 2010, 268, 104–108. [Google Scholar] [CrossRef]
- Tang, H.; Salley, S.O.; Ng, K.Y.S. Fuel properties and precipitate formation at low temperature in soy-, cottonseed-, and poultry fat-based biodiesel blends. Fuel 2008, 87, 3006–3017. [Google Scholar] [CrossRef]
- Park, J.Y.; Kim, D.K.; Lee, J.P.; Park, S.C.; Kim, Y.J.; Lee, J.S. Blending effects of biodiesels on oxidation stability and low temperature flow properties. Bioresour. Technol. 2008, 99, 1196–1203. [Google Scholar] [CrossRef]
- Kim, J.K.; Yim, E.S.; Jeon, C.H.; Jung, C.S.; Han, B.H. Cold Performance of Various Biodiesel Fuel Blends at Low Temperature. Int. J. Automot. Technol. 2012, 13, 293–300. [Google Scholar] [CrossRef]
- Myers, R.H.; Montgomery, D.C. Response Surface Methodology, Process and Product Optimization Using Designed Experiments, 2nd ed.; John Wiley & Sons, Inc.: New York, NY, USA, 2002; pp. 46–62. [Google Scholar]











| Variable/Range | −1 | 0 | +1 |
|---|---|---|---|
| Temperature (°C) | 40 | 60 | 80 |
| Time (h) | 1.00 | 2.00 | 3.00 |
| A/O molar ratio (mol/mol) | 4.00 | 7.00 | 10.00 |
| Catalyst concentration (wt%) | 1.00 | 2.00 | 3.00 |
| No. of the Experiment | Temperature, T (°C) | Time, t (h) | n (A):n (U), (mol/mol) | Catalyst, wcat. (wt%) | Conversion (%) |
|---|---|---|---|---|---|
| 1 | −1 | 0 | −1 | 0 | 31.6 * |
| 2 | 0 | 0 | −1 | 1 | 64.4 |
| 3 | 1 | 0 | 0 | 1 | 86.7 |
| 4 | −1 | 0 | 0 | −1 | 79.4 |
| 5 | 0 | 0 | 0 | 0 | 98.44 |
| 6 | 1 | 0 | −1 | 0 | 54.7 |
| 7 | 0 | 0 | 0 | 0 | 94.6 |
| 8 | 0 | −1 | −1 | 0 | 46.3 |
| 9 | 0 | 1 | 1 | 0 | 98.2 |
| 10 | 0 | 0 | −1 | −1 | 44.8 |
| 11 | 0 | 0 | 1 | −1 | 94.8 |
| 12 | 0 | −1 | 0 | 1 | 95.6 |
| 13 | 1 | 1 | 0 | 0 | 95.0 |
| 14 | 0 | 1 | 0 | −1 | 88.4 |
| 15 | −1 | 1 | 0 | 0 | 88.4 |
| 16 | 1 | −1 | 0 | 0 | 94.6 |
| 17 | 1 | 0 | 0 | −1 | 84.9 |
| 18 | 0 | −1 | 0 | −1 | 79.4 |
| 19 | 0 | 1 | 0 | 1 | 96.6 |
| 20 | 0 | 0 | 1 | 1 | 94.0 |
| 21 | −1 | 0 | 0 | 1 | 98.7 |
| 22 | 0 | 0 | 0 | 0 | 92.2 |
| 23 | 0 | 0 | 0 | 0 | 86.8 |
| 24 | 0 | −1 | 1 | 0 | 99.2 |
| 25 | −1 | 0 | 1 | 0 | 98.8 |
| 26 | −1 | −1 | 0 | 0 | 93.7 |
| 27 | 0 | 1 | −1 | 0 | 61.9 |
| 28 | 0 | 0 | 0 | 0 | 93.9 |
| 29 | 1 | 0 | 1 | 0 | 93.0 |
| Source | Sum of Squares | Degrees of Freedom | Mean Squares | F-Value | Probability p | Source | Sum of Squares |
|---|---|---|---|---|---|---|---|
| Model | 6837.25 | 14 | 488.37 | 33.92 | <0.0001 | ||
| A | 0.0063 | 1 | 0.0063 | 0.0004 | 0.9837 | ||
| B | 30.08 | 1 | 30.08 | 2.09 | 0.1720 | ||
| C | 4505.01 | 1 | 4505.01 | 312.88 | <0.0001 | ||
| D | 363.00 | 1 | 363.00 | 25.21 | 0.0002 | ||
| AB | 9.00 | 1 | 9.00 | 0.6251 | 0.4434 | ||
| AC | 14.70 | 1 | 14.70 | 1.02 | 0.3307 | ||
| AD | 81.00 | 1 | 81.00 | 5.63 | 0.0338 | ||
| BC | 72.25 | 1 | 72.25 | 5.02 | 0.0432 | ||
| BD | 16.00 | 1 | 16.00 | 1.11 | 0.3110 | ||
| CD | 100.00 | 1 | 100.00 | 6.95 | 0.0206 | ||
| A2 | 16.92 | 1 | 16.92 | 1.17 | 0.2981 | ||
| B2 | 0.9484 | 1 | 0.9484 | 0.0659 | 0.8015 | ||
| C2 | 1608.18 | 1 | 1608.18 | 111.69 | <0.0001 | ||
| D2 | 66.20 | 1 | 66.20 | 4.60 | 0.0515 | ||
| Residual | 187.18 | 13 | 14.40 | ||||
| Lack of Fit | 120.38 | 9 | 13.38 | 0.8009 | 0.6425 | ||
| Pure Error | 66.80 | 4 | 16.70 | ||||
| Cor Total | 7024.43 | 27 |
| Parameter | Goal | Lower Limit | Upper Limit | Importance | Optimal | Predicted |
|---|---|---|---|---|---|---|
| Temperature (°C) | Min. | 40 | 80 | 3 | 40 | |
| Time (h) | Min. | 1 | 3 | 3 | 1 | |
| A/O molar ratio (mol/mol) | Min. | 4.00 | 10.00 | 3 | 8.11 | |
| Mass fraction of the catalyst (wt%) | Min. | 1.00 | 3.00 | 3 | 2.01 | |
| Conversion (%) | In range | 95.0 | 100.0 | 5 | 100.0 |
Disclaimer/Publisher’s Note: The statements, opinions and data contained in all publications are solely those of the individual author(s) and contributor(s) and not of MDPI and/or the editor(s). MDPI and/or the editor(s) disclaim responsibility for any injury to people or property resulting from any ideas, methods, instructions or products referred to in the content. |
© 2023 by the authors. Licensee MDPI, Basel, Switzerland. This article is an open access article distributed under the terms and conditions of the Creative Commons Attribution (CC BY) license (https://creativecommons.org/licenses/by/4.0/).
Share and Cite
Gotovuša, M.; Racar, M.; Konjević, L.; Parlov Vuković, J.; Faraguna, F. The Influence of the Reaction Parameters on the Synthesis of Fatty Acid Octyl Esters and Investigation of Applications Properties of Its Blends with Mineral Diesel. Energies 2023, 16, 3071. https://doi.org/10.3390/en16073071
Gotovuša M, Racar M, Konjević L, Parlov Vuković J, Faraguna F. The Influence of the Reaction Parameters on the Synthesis of Fatty Acid Octyl Esters and Investigation of Applications Properties of Its Blends with Mineral Diesel. Energies. 2023; 16(7):3071. https://doi.org/10.3390/en16073071
Chicago/Turabian StyleGotovuša, Mia, Marko Racar, Lucija Konjević, Jelena Parlov Vuković, and Fabio Faraguna. 2023. "The Influence of the Reaction Parameters on the Synthesis of Fatty Acid Octyl Esters and Investigation of Applications Properties of Its Blends with Mineral Diesel" Energies 16, no. 7: 3071. https://doi.org/10.3390/en16073071
APA StyleGotovuša, M., Racar, M., Konjević, L., Parlov Vuković, J., & Faraguna, F. (2023). The Influence of the Reaction Parameters on the Synthesis of Fatty Acid Octyl Esters and Investigation of Applications Properties of Its Blends with Mineral Diesel. Energies, 16(7), 3071. https://doi.org/10.3390/en16073071

