The Effect of Renewable Energy and Corporate Social Responsibility on Dual-Channel Supply Chain Management
Abstract
1. Introduction
1.1. Research Gap of the Study
- Two manufacturers share some percentage of total profit to society through CSR. The market price competition between CP and EFP products with the greenness level of the product under renewable energy consumption is studied here.
1.2. Objective of the Study
- The EFP’s price and quality under renewable energy consumption when Manufacturer 1 (M1) has the information about the conventional item’s price, and the CP’s price under renewable energy consumption when Manufacturer 2 (M2) has information about the EFP’s price and quality.
- The CP’s price and the EFP’s price and quality under renewable energy consumption in the centralized system when the pricing method and GQ are unknowable to M1 and M2.
- The effect of CSR initiatives on green quality (GQ) and pricing under renewable energy consumption, and the differences between the centralized and decentralized sustainable supply chain model (SSCM) under renewable energy consumption.
1.3. Purpose of the Study
1.4. Contribution of the Study
1.5. Research Methodology
2. Literature Review
2.1. Corporate Social Responsibility
2.2. Sustainable Supply Chain Management
2.3. Selling Mode
2.4. Eco-Friendly Product, Conventional Product, and Price Competition
3. Materials
3.1. Problem Definition
3.2. Assumptions
- A SSCM is developed with a single manufacturer and retailer for EFP under renewable energy.
- No holding cost is considered here as it is assumed that the retailer follows a just-in-time policy and the manufacturer produces the products as per order.
- Supply chain members invest in developing EFP, and demand depends on GQ and selling price.
- M1 and M2 produce EFP (P1) and CP (P2) under renewable energy consumption, which are substitutable types; therefore, there is competition on price to market capture.
- M1 and M2 produce products as per order, and that’s why there is no holding cost, and both firms share some percentage of profit to the society through CSR.
- Retailer sells products to customers through three different modes: online, offline, and BOPS.
3.3. Notation
4. Mathematical Model Formulation and Methods
4.1. Model 1
4.1.1. Case 1
Decentralized System
Centralized System
4.1.2. Case 2
Decentralised Case
Centralised Case
4.2. Model 2: M1 and M2 Competes with Selling Price
4.2.1. When M1 Knows the Fixed Selling Price of CP
4.2.2. When M2 Knows the Fixed Selling Price of EFP and GQ
4.3. Pricing Analysis in Co-Ordinated System of M1 and M2
4.4. When Demand Is Power Function of Selling Price
4.5. Pricing Analysis in Coordinated System of M1 and M2
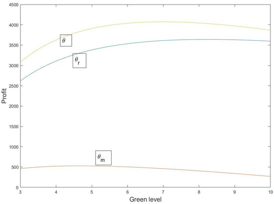
5. Numerical Example and Analysis
Discussion
6. Managerial Insights
7. Conclusions
Author Contributions
Funding
Data Availability Statement
Conflicts of Interest
Abbreviations
| OAO | Online and offline |
| OOBOPS | Online-offline-BOPS |
| SCM | Supply chain model |
| PM | Production model |
| SSCM | Sustainable supply chain model |
| GEBM | Green energy business models |
| HRES | Hybrid renewable energy system |
| GDP | Green product development |
| CSR | Corporate social responsibility |
| CS | Corporate sustainability |
| SDG | Sustainable development goal |
| BOPS | Buy online and pick up in store |
| EFP | Eco-friendly product |
| CP | Conventional product |
| GQ | Green quality |
References
- Kiehbadroudinezhad, M.; Merabet, A.; Abo-Khalil, A.G.; Salameh, T.; Ghenai, C. Intelligent and Optimized Microgrids for Future Supply Power from Renewable Energy Resources: A Review. Energies 2022, 15, 3359. [Google Scholar] [CrossRef]
- Singh, U.; Rizwan, M.; Malik, H.; García Márquez, F.P. Wind Energy Scenario, Success and Initiatives towards Renewable Energy in India—A Review. Energies 2022, 15, 2291. [Google Scholar] [CrossRef]
- Ming, M.; Wang, R.; Zha, Y.; Zhang, T. Multi-Objective Optimization of Hybrid Renewable Energy System Using an Enhanced Multi-Objective Evolutionary Algorithm. Energies 2017, 10, 674. [Google Scholar] [CrossRef]
- Arroyo, F.; Miguel, L. The Role of Renewable Energies for the Sustainable Energy Governance and Environmental Policies for the Mitigation of Climate Change in Ecuador. Energies 2020, 13, 3883. [Google Scholar] [CrossRef]
- Li, Q.; Cherian, J.; Shabbir, M.S.; Sial, M.S.; Li, J.; Mester, I.; Badulescu, A. Exploring the Relationship between Renewable Energy Sources and Economic Growth. The Case of SAARC Countries. Energies 2021, 14, 520. [Google Scholar] [CrossRef]
- Czarnecka, M.; Kinelski, G.; Stefanska, M.; Grzesiak, M.; Budka, B. Social Media Engagement in Shaping Green Energy Business Models. Energies 2022, 15, 1727. [Google Scholar] [CrossRef]
- Miskiewicz, R.; Rzepka, A.; Borowiecki, R.; Olesinki, Z. Energy Efficiency in the Industry 4.0 Era: Attributes of Teal Organisations. Energies 2021, 14, 6776. [Google Scholar] [CrossRef]
- Moller, M.C.; Krauter, S. Hybrid Energy System Model in Matlab/Simulink Based on Solar Energy, Lithium-Ion Battery and Hydrogen. Energies 2022, 15, 2201. [Google Scholar] [CrossRef]
- Kwasek, A.; Maciaszczyk, M.; Kocot, M.; Rzepka, A.; Kocot, D.; Gasinski, H.; Prokopowicz, D. Energy Saving Practices in the IT Area as a Factor of Sustainable Development of the Organization: A Case Study of Poland. Energies 2023, 16, 1942. [Google Scholar] [CrossRef]
- Lee, K.-H.; Huang, C.-C.; Chuang, S.; Huang, C.-T.; Tsai, W.-H.; Hsieh, C.-L. Energy Saving and Carbon Neutrality in the Funeral Industry. Energies 2022, 15, 1457. [Google Scholar] [CrossRef]
- Vasylieva, T.; Lyulyov, O.; Yuriy Bilan, Y.; Streimikiene, D. Sustainable Economic Development and Greenhouse Gas Emissions: The Dynamic Impact of Renewable Energy Consumption, GDP, and Corruption. Energies 2019, 12, 3289. [Google Scholar] [CrossRef]
- Cash, P.; Stanković, T.; Štorga, M. Experimental Design Research; Springer International Publishing: Cham, Switzerland, 2016. [Google Scholar]
- Maciaszczyk, M.; Czechowska-Kosacka, A.; Rzepka, A.; Lipecki, T.; Lazuka, E.; Wlaz, P. Consumer Awareness of Renewable Energy Sources: The Case of Poland. Energies 2022, 15, 8395. [Google Scholar] [CrossRef]
- Sana, S.S. A structural mathematical model on two echelon supply chain system. Ann. Oper. Res. 2021, 315, 1997–2025. [Google Scholar] [CrossRef]
- Sarkar, B.; Takeyeva, D.; Guchhait, R.; Sarkar, M. Optimized radio-frequency identification system for different warehouse shapes. Knowl.-Based Syst. 2022, 258, 109811. [Google Scholar] [CrossRef]
- Choi, S.B.; Dey, B.K.; Sarkar, B. Retailing and servicing strategies for an imperfect production with variable lead time and backorder under online-to-offline environment. J. Ind. Manag. Optim. 2023, 19, 4804–4843. [Google Scholar] [CrossRef]
- Hota, S.K.; Ghosh, S.K.; Sarkar, B. A solution to the transportation hazard problem in a supply chain with an unreliable manufacturer. AIMS Environ. Sci. 2022, 9, 354–380. [Google Scholar] [CrossRef]
- Kalaiarasan, R.; Agrawal, T.K.; Olhager, J.; Wiktorsson, M.; Hauge, J.B. Supply chain visibility for improving inbound logistics: A design science approach. Int. J. Prod. Res. 2022, 2022, 1–16. [Google Scholar] [CrossRef]
- Dey, B.K.; Sarkar, M.; Chaudhuri, K.; Sarkar, B. Do you think that the home delivery is good for retailing? J. Retail. Consum. Serv. 2023, 72, 103237. [Google Scholar] [CrossRef]
- Mondal, C.; Giri, B.C. Pricing and used product collection strategies in a two-period closed loop supply chain under greening level and effort dependent demand. J. Clean. Prod. 2020, 265, 121335. [Google Scholar] [CrossRef]
- Kar, S.; Basu, K.; Sarkar, B. Advertisement policy for dual-channel within emissions-controlled flexible production system. J. Retail. Consum. Serv. 2023, 71, 103077. [Google Scholar] [CrossRef]
- Berniak-Wozny, J.; Kwasek, A.; Gasinski, H.; Maciaszczyk, M.; Kocot, M. Business Case for Corporate Social Responsibility in Small and Medium Enterprises—Employees’ Perspective. Sustainability 2023, 15, 1660. [Google Scholar] [CrossRef]
- Vosooghidizaji, M.; Taghipour, A.; Depitre, B.C. Coordinating corporate social responsibility in a two-level supply chain under bilateral information asymmetry. J. Clean. Prod. 2022, 364, 132627. [Google Scholar] [CrossRef]
- Ali, S.S.; Kaur, R. Effectiveness of corporate social responsibility (CSR) in implementation of social sustainability in warehousing of developing countries: A hybrid approach. J. Clean. Prod. 2021, 324, 129154. [Google Scholar] [CrossRef]
- Quarshie, A.M.; Salmi, A.; Leuschner, R. Sustainability and corporate social responsibility in supply chains: The state of research in supply chain management and business ethics journals. J. Purch. Supply Manag. 2016, 22, 82–97. [Google Scholar] [CrossRef]
- Modak, N.M.; Sinha, S.; Raj, A.; Panda, S.; Merigo, J.M.; Jabbour, A.B.L.S. Corporate social responsibility and supply chain management: Framing and pushing forward the debate. J. Clean. Prod. 2020, 273, 122981. [Google Scholar] [CrossRef]
- Singh, S.K.; Chauhan, A.; Sarkar, B. Sustainable biodiesel supply chain model based on waste animal fat with subsidy and advertisement. J. Clean. Prod. 2023, 382, 134806. [Google Scholar] [CrossRef]
- Sarkar, B.; Ganguly, B.; Pareek, S.; Cardenas-Barrón, L.E. A three-echelon green supply chain management for biodegradable products with three transportation modes. Comput. Ind. Eng. 2022, 174, 108727. [Google Scholar] [CrossRef]
- Stange, R.; Schiele, H.; Henseler, J. Advancing purchasing as a design science: Publication guidelines to shift towards more relevant purchasing research. J. Purch. Supply Manag. 2022, 28, 100750. [Google Scholar] [CrossRef]
- Said, R.; Bhatti, M.I.; Hunjra, A.I. Toward Understanding Renewable Energy and Sustainable Development in Developing and Developed Economies: A Review. Energies 2022, 15, 5349. [Google Scholar] [CrossRef]
- Mridha, B.; Ramana, G.V.; Pareek, S.; Sarkar, B. An efficient sustainable smart approach to biofuel production with emphasizing the environmental and energy aspects. Fuel 2023, 336, 126896. [Google Scholar] [CrossRef]
- Nilsson, F.; Goransson, M. Critical factors for the realization of sustainable supply chain innovations—Model development based on a systematic literature review. J. Clean. Prod. 2021, 296, 126471. [Google Scholar] [CrossRef]
- Bortolini, M.; Calabrese, F.; Galizia, F.G.; Mora, C. A three-objective optimization model for mid-term sustainable supply chain network design. Comput. Ind. Eng. 2022, 168, 108131. [Google Scholar] [CrossRef]
- Mogale, D.G.; De, A.; Ghadge, A.; Aktas, E. Multi-objective modelling of sustainable closed-loop supply chain network with price-sensitive demand and consumer’s incentives. Comput. Ind. Eng. 2022, 168, 10810. [Google Scholar] [CrossRef]
- Mridha, B.; Pareek, S.; Goswami, A.; Sarkar, B. Joint effects of production quality improvement of biofuel and carbon emissions towards a smart sustainable supply chain management. J. Clean. Prod. 2023, 386, 135629. [Google Scholar] [CrossRef]
- Menon, R.R.; Ravi, V. Analysis of barriers of sustainable supply chain management in electronics industry: An interpretive structural modelling approach. Clean. Responsible Consum. 2021, 3, 100026. [Google Scholar] [CrossRef]
- Sarkar, B.; Dey, B.K.; Sarkar, M.; Kim, S.J. A smart production system with an autonomation technology and dual channel retailing. Comput. Ind. Eng. 2022, 173, 108607. [Google Scholar] [CrossRef]
- Wang, C.; Zhang, Q.; Zhang, W. Corporate social responsibility, Green supply chain management and firm performance: The moderating role of big-data analytics capability. Res. Transp. Bus. Manag. 2020, 37, 100557. [Google Scholar] [CrossRef]
- Shi, J.; Yang, D.; Zheng, Z.; Zhu, Y. Strategic investment for green product development and green marketing in a supply chain. J. Clean. Prod. 2022, 366, 132868. [Google Scholar] [CrossRef]
- Holmström, J.; Ketokivi, M.; Hameri, A.P. Bridging Practice and Theory: A Design Science Approach. Decis. Sci. 2009, 40, 65–87. [Google Scholar] [CrossRef]
- Padiyar, S.V.S.; Vandana; Bhagat, N.; Singh, S.R.; Sarkar, B. Joint replenishment strategy for deteriorating multi-item through multi-echelon supply chain model with imperfect production under imprecise and inflationary environment. RAIRO Oper. Res. 2022, 56, 3071–3096. [Google Scholar] [CrossRef]







| Author(s) | Model Type | Renewable Energy | Selling Mode | Green Product | Regular Product | Price Competition | CSR |
|---|---|---|---|---|---|---|---|
| Czarnecka et al. (2022) [6] | GEBM | Yes | No | Yes | No | No | No |
| Dey et al. (2023) [19] | SCM | No | Yes | No | Yes | No | No |
| Ming et al. (2017) [3] | HRES | Yes | No | No | No | No | No |
| Mondal and Giri (2020) [20] | SCM | No | No | Yes | No | No | Yes |
| Kar et al. (2023) [21] | PM | No | Yes | No | Yes | No | No |
| Sana (2021) [14] | SCM | No | No | Yes | Yes | Yes | Yes |
| This study | SSCM | Yes | OOBOPS | Yes | Yes | Yes | Yes |
| Index | |
|---|---|
| Online, offline, BOPS channel | |
| Decision | |
| variables | |
| retailer’s selling price in i-th channel | |
| g | level of the greenness of the product |
| retailer’s ith channel selling price for EFP | |
| retailer’s ith channel selling price for the CP | |
| Parameters | |
| c | product’s procurement cost |
| G | cost per unit greenness |
| s | selling price of manufacturer |
| Energy related cost due to procurement | |
| Energy related cost due to greenness | |
| Market capacity of the i-th channel | |
| , , | scaling parameter |
| manufacturer’s fraction of investment for EFP development | |
| d | market’s demand |
| profit of manufacturer | |
| profit of retailer | |
| market demand for EFP | |
| market demand for CP | |
| profit after CSR activity for EFP and CP, respectively | |
| total profit of the centralized system | |
| procurement cost of EFP and CP, respectively | |
| Energy related cost due to procurement of EFP and CP, respectively | |
| fraction of investment earned from EFP and CP for development | |
| scaling parameters |
| Previous paper | Demand of green product | 194.53 | Demand of non-green product | 14.13 |
| This study | Demand of green product | 50619.17 | Demand of non-green product | 3676.83 |
| Previous paper | Selling price of green product | $39.02 | Green level | 2.740 |
| This study | Selling price of green | $39.34, $25.26, $39.34 | Green level | 32.38 |
| product in three channels | ||||
| Previous paper | Selling price of non-green product | $39.34 | Total profit | $2370.85 |
| This study | Selling price of non-green | $30, $20, $30 | Total profit | $118,419.69 |
| product in three channels |
Disclaimer/Publisher’s Note: The statements, opinions and data contained in all publications are solely those of the individual author(s) and contributor(s) and not of MDPI and/or the editor(s). MDPI and/or the editor(s) disclaim responsibility for any injury to people or property resulting from any ideas, methods, instructions or products referred to in the content. |
© 2023 by the authors. Licensee MDPI, Basel, Switzerland. This article is an open access article distributed under the terms and conditions of the Creative Commons Attribution (CC BY) license (https://creativecommons.org/licenses/by/4.0/).
Share and Cite
Kar, S.; Pal, A.; Basu, K.; Sarkar, A.; Sarkar, B. The Effect of Renewable Energy and Corporate Social Responsibility on Dual-Channel Supply Chain Management. Energies 2023, 16, 3030. https://doi.org/10.3390/en16073030
Kar S, Pal A, Basu K, Sarkar A, Sarkar B. The Effect of Renewable Energy and Corporate Social Responsibility on Dual-Channel Supply Chain Management. Energies. 2023; 16(7):3030. https://doi.org/10.3390/en16073030
Chicago/Turabian StyleKar, Sumi, Anita Pal, Kajla Basu, Achyuth Sarkar, and Biswajit Sarkar. 2023. "The Effect of Renewable Energy and Corporate Social Responsibility on Dual-Channel Supply Chain Management" Energies 16, no. 7: 3030. https://doi.org/10.3390/en16073030
APA StyleKar, S., Pal, A., Basu, K., Sarkar, A., & Sarkar, B. (2023). The Effect of Renewable Energy and Corporate Social Responsibility on Dual-Channel Supply Chain Management. Energies, 16(7), 3030. https://doi.org/10.3390/en16073030

