Power Quality Transient Detection and Characterization Using Deep Learning Techniques
Abstract
1. Introduction
2. Power Quality Transient Characterization
3. Deep Learning for PQ Transient Detection and Characterization
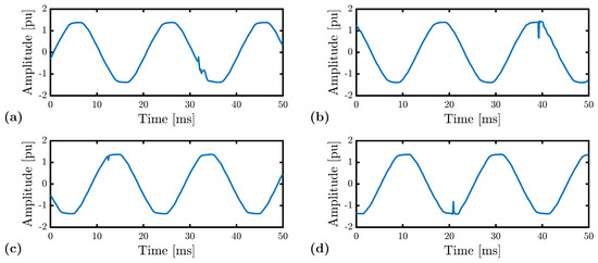
3.1. Transient Detection
3.2. Transient Parameter Estimation
4. Conclusions
Author Contributions
Funding
Data Availability Statement
Conflicts of Interest
References
- IEEE 1159-2019; (Revision of IEEE Std 1159-2009). IEEE International Standard—IEEE Recommended Practice for Monitoring Electric Power Quality. IEEE: New York, NY, USA, 2019. [CrossRef]
- IEC 61000-2-2; IEC International Standard—Electromagnetic Compatibility (EMC)—Environment—Compatibility Levels for Low-Frequency Conducted Disturbances and Signaling in Public Low-Voltage Power Supply Systems, 2nd ed. IEC: Geneva, Switzerland, 2018.
- Rodrigues, N.; Janeiro, F.; Ramos, P. Implementation of Goertzel-based frequency estimation for power quality monitoring in embedded measurement systems. Metrol. Meas. Syst. 2022, 29, 455–468. [Google Scholar] [CrossRef]
- Bandla, P.; Vairavasundaram, I.; Teekaraman, Y.; Kuppusamy, R.; Nikolovski, S. Real time sustainable power quality analysis of non-linear load under symmetrical conditions. Energies 2022, 29, 57. [Google Scholar] [CrossRef]
- Han, Y.; Feng, Y.; Yang, P.; Xu, L.; Xu, Y.; Blaabjerg, F. Cause, classification of voltage sag, and voltage sag emulators and applications: A comprehensive overview. IEEE Access 2020, 8, 1922–1934. [Google Scholar] [CrossRef]
- Haykin, S. Neural Networks and Learning Machines, 3rd ed.; Prentice-Hall: Upper Saddle, NJ, USA, 2009. [Google Scholar]
- Abiodun, O.; Jantan, A.; Omolara, A.E.; Dada, K.V.; Umar, A.M.; Linus, O.U.; Arshad, H.; Kazaure, A.A.; Gana, U.; Kiru, M.U. Comprehensive review of artificial neural network applications to pattern recognition. IEEE Access 2019, 7, 158820–158846. [Google Scholar] [CrossRef]
- Daponte, P.; Grimaldi, D. Artificial neural networks in measurements. Measurement 1998, 23, 93–115. [Google Scholar] [CrossRef]
- Rosado, L.; Janeiro, F.; Ramos, P.; Piedade, M. Defect characterization with eddy current testing using nonlinear-regression feature extraction and artificial neural networks. IEEE Trans. Instrumen. Meas. 2013, 62, 1207–1214. [Google Scholar] [CrossRef]
- Pouyanfar, S.; Sadiq, S.; Yan, Y.; Tian, H.; Tao, Y.; Reyes, M.; Shyu, M.-L.; Chen, S.-C.; Iyengar, S. A survey on deep learning: Algorithms, techniques, and application. ACM Comput. Surv. 2018, 51, 1–36. [Google Scholar] [CrossRef]
- Tabernik, D.; Skočaj, D. Deep learning for large-scale traffic-sign detection and recognition. IEEE Trans. Intell. Transp. Syst. 2020, 21, 1427–1440. [Google Scholar] [CrossRef]
- Guo, G.; Zhang, N. A survey on deep learning based face recognition. Comput. Vis. Image Underst. 2019, 189, 102805. [Google Scholar] [CrossRef]
- Nguyen, H.; Wistuba, M.; Grabocka, J.; Drumond, L.; Schmidt-Thieme, L. Personalized deep learning for tag recommendation. Lect. Notes Comput. Sci. 2017, 10234, 186–197. [Google Scholar] [CrossRef]
- Wang, S.; Chen, H. A novel deep learning method for the classification of power quality disturbances using deep convolutional neural network. Appl. Energy 2019, 235, 1126–1140. [Google Scholar] [CrossRef]
- Ma, J.; Zhang, J.; Xiao, L.; Chen, K.; Wu, J. Classification of Power Quality Disturbances via Deep Learning. IETE Tech. Rev. 2017, 34, 408–415. [Google Scholar] [CrossRef]
- Oliveira, R.; Bollen, M. Deep learning for power quality. Electr. Power Syst. Res. 2023, 214, 108887. [Google Scholar] [CrossRef]
- Salles, R.; Ribeiro, P. The use of deep learning and 2-D wavelet scalograms for power quality disturbances classification. Electr. Power Syst. Res. 2023, 214, 108834. [Google Scholar] [CrossRef]
- Gaing, Z.-L. Wavelet-based neural network for power quality disturbance recognition and classification. IEEE Trans. Power Deliv. 2004, 19, 1560–1568. [Google Scholar] [CrossRef]
- Wang, M.; Rowe, G.; Manishev, A. Classification of power quality events using optimal time-frequency representations, theory and application. IEEE Trans. Power Deliv. 2004, 19, 1496–1503. [Google Scholar] [CrossRef]
- Radil, T.; Ramos, P.; Janeiro, F.; Serra, A. PQ monitoring system for real-time detection and classification of disturbances in a single-phase power system. IEEE Trans. Instrumen. Meas. 2008, 57, 1725–1733. [Google Scholar] [CrossRef]
- IT-GIM Group. Smart-Monitor Power Quality Events Database. Available online: http://smartmonitor.lx.it.pt/ (accessed on 30 January 2023).
- Santoso, S.; Powers, E.J.; Grady, W.M.; Hofmann, P. Power quality assessment via wavelet transform analysis. IEEE Trans. Power Deliv. 1996, 11, 924–930. [Google Scholar] [CrossRef]
- Gaouda, A.M.; Salama, M.M.A.; Sultan, M.R.; Chikhani, A.Y. Power quality detection and classification using wavelet-multiresolution signal decomposition. IEEE Trans. Power Deliv. 1999, 1476, 1469–1476. [Google Scholar] [CrossRef]
- Radil, T.; Ramos, P.; Janeiro, F.; Serra, A. An efficient approach to detect and classify power quality disturbances. COMPEL-Int. J. Comp. Math. Electr. Electron. Eng. 2008, 27, 1178–1191. [Google Scholar] [CrossRef]
- Kiranyaz, S.; Avci, O.; Abdeljaber, O.; Ince, T.; Gabbouj, M.; Inman, D. 1D convolutional neural networks and applications: A survey. Mech. Syst. Signal Proc. 2021, 151, 107398. [Google Scholar] [CrossRef]
- Feurer, M.; Hutter, F. Hyperparameter Optimization. In Automated Machine Learning; Feurer, M., Hutter, F., Kotthoff, L., Vanschoren, J., Eds.; Springer: Berlin/Heidelberg, Germany, 2019; pp. 3–33. [Google Scholar] [CrossRef]










Disclaimer/Publisher’s Note: The statements, opinions and data contained in all publications are solely those of the individual author(s) and contributor(s) and not of MDPI and/or the editor(s). MDPI and/or the editor(s) disclaim responsibility for any injury to people or property resulting from any ideas, methods, instructions or products referred to in the content. |
© 2023 by the authors. Licensee MDPI, Basel, Switzerland. This article is an open access article distributed under the terms and conditions of the Creative Commons Attribution (CC BY) license (https://creativecommons.org/licenses/by/4.0/).
Share and Cite
Rodrigues, N.M.; Janeiro, F.M.; Ramos, P.M. Power Quality Transient Detection and Characterization Using Deep Learning Techniques. Energies 2023, 16, 1915. https://doi.org/10.3390/en16041915
Rodrigues NM, Janeiro FM, Ramos PM. Power Quality Transient Detection and Characterization Using Deep Learning Techniques. Energies. 2023; 16(4):1915. https://doi.org/10.3390/en16041915
Chicago/Turabian StyleRodrigues, Nuno M., Fernando M. Janeiro, and Pedro M. Ramos. 2023. "Power Quality Transient Detection and Characterization Using Deep Learning Techniques" Energies 16, no. 4: 1915. https://doi.org/10.3390/en16041915
APA StyleRodrigues, N. M., Janeiro, F. M., & Ramos, P. M. (2023). Power Quality Transient Detection and Characterization Using Deep Learning Techniques. Energies, 16(4), 1915. https://doi.org/10.3390/en16041915

