Price Dynamics and Interactions between the Chinese and European Carbon Emission Trading Markets
Abstract
:1. Introduction
2. Methodology and Data
2.1. Methodology
2.2. Data
3. Case Study Analysis
4. Results and Discussion
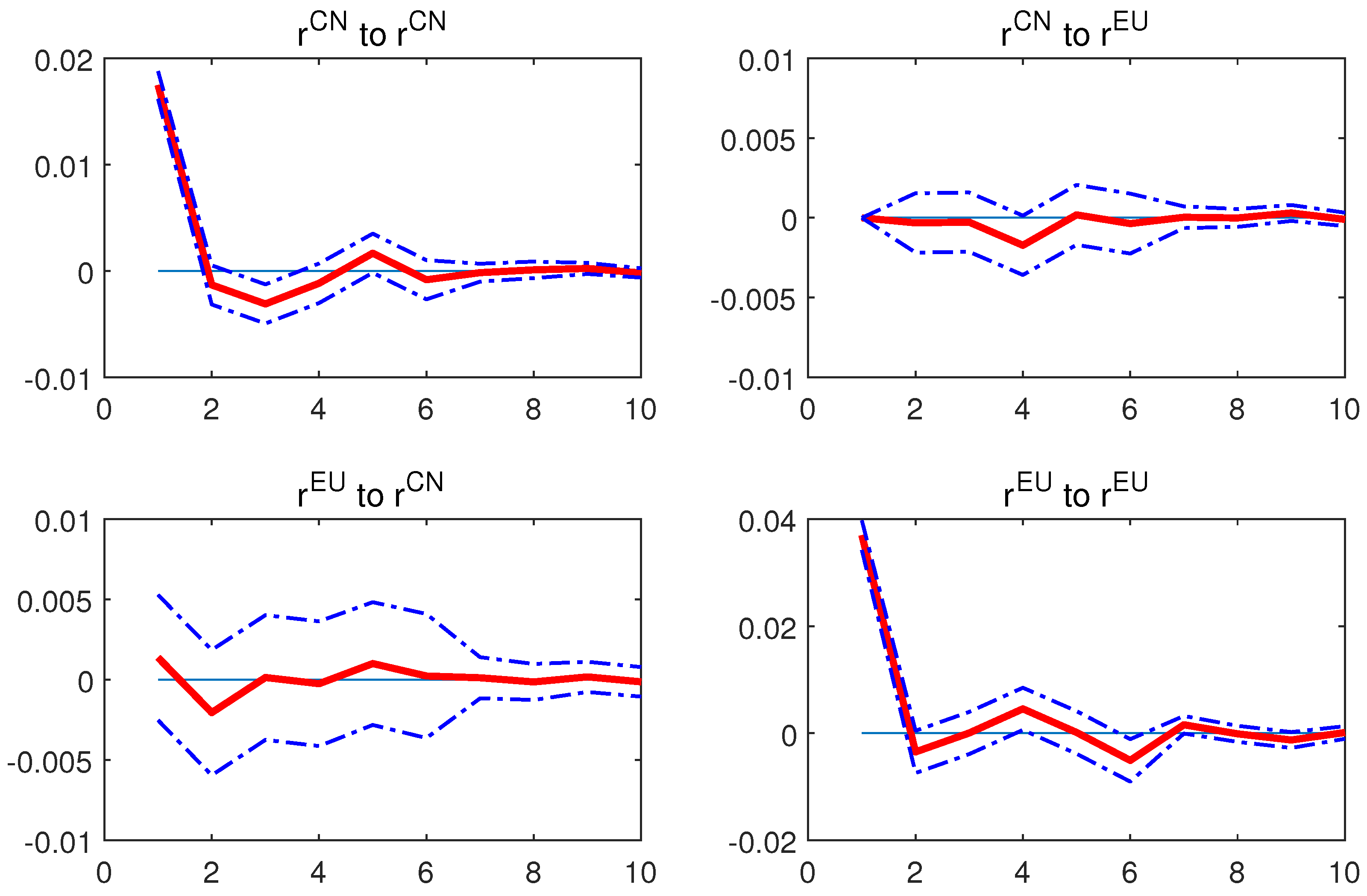
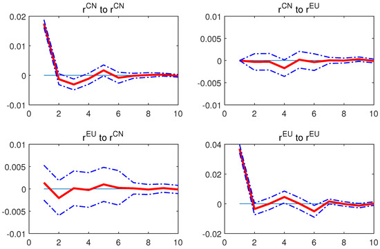
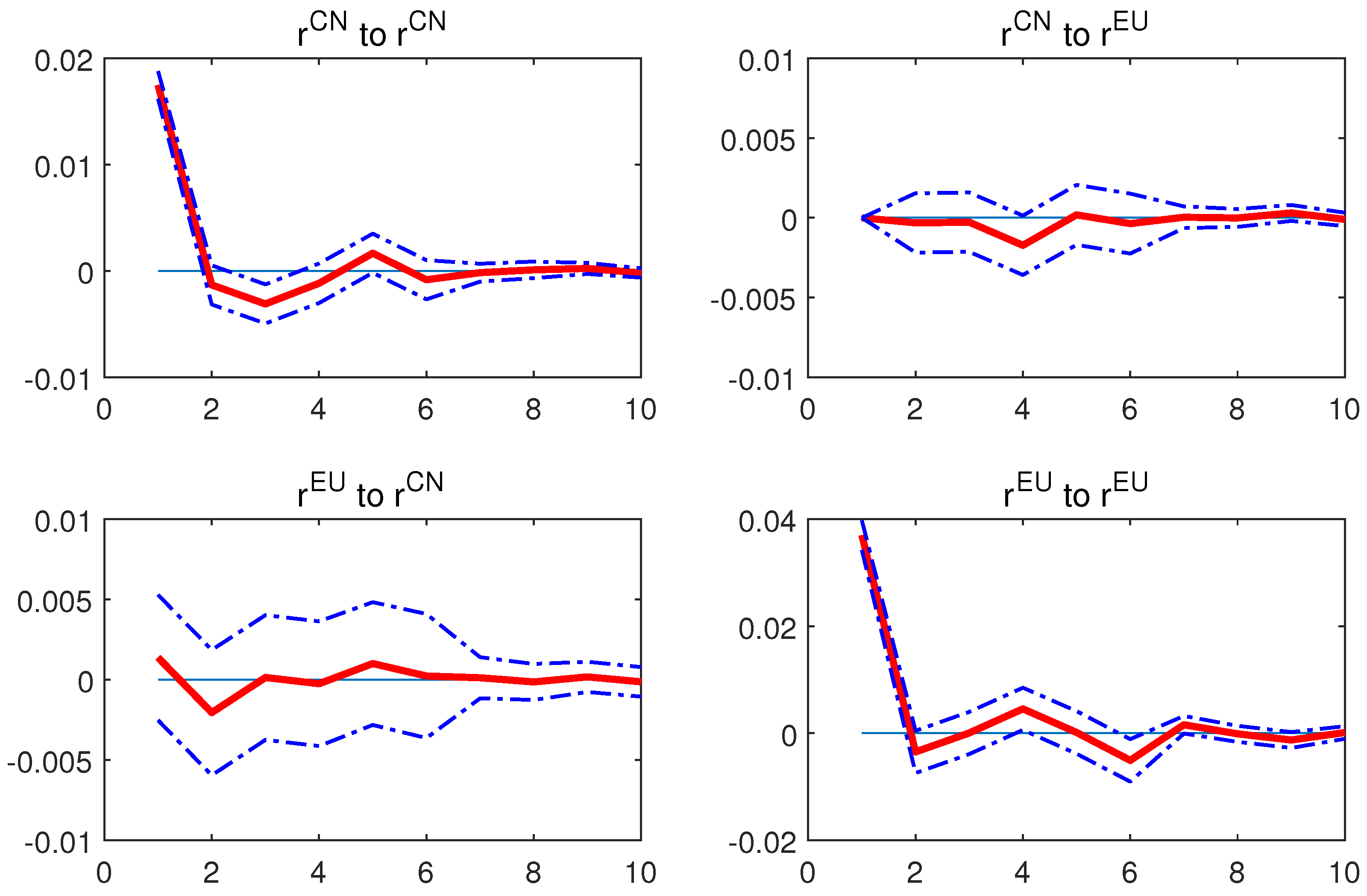
4.1. Results
4.2. Discussion
5. Conclusions
Author Contributions
Funding
Data Availability Statement
Conflicts of Interest
References
- Ji, Q.; Zhang, D.; Geng, J. Information linkage, dynamic spillovers in prices and volatility between the carbon and energy markets. J. Clean. Prod. 2018, 198, 972–978. [Google Scholar] [CrossRef]
- Sun, L.; Xiang, M.; Shen, Q. A comparative study on the volatility of EU and China’s carbon emission permits trading markets. Phys. A Stat. Mech. Appl. 2020, 560, 125037. [Google Scholar] [CrossRef]
- Zhang, W.; Zhang, N.; Yu, Y. Carbon mitigation effects and potential cost savings from carbon emissions trading in China’s regional industry. Technol. Forecast. Soc. Chang. 2019, 141, 1–11. [Google Scholar] [CrossRef]
- Charles, A.; Darné, O.; Fouilloux, J. Market efficiency in the European carbon markets. Energy Policy 2013, 60, 785–792. [Google Scholar] [CrossRef]
- Montagnoli, A.; de Vries, F.P. Carbon trading thickness and market efficiency. Energy Econ. 2010, 32, 1331–1336. [Google Scholar] [CrossRef]
- Tang, B.; Shen, C.; Gao, C. The efficiency analysis of the European CO2 futures market. Appl. Energy 2013, 112, 1544–1547. [Google Scholar] [CrossRef]
- Richstein, J.C.; Chappin, É.J.; de Vries, L.J. The market (in-)stability reserve for EU carbon emission trading: Why it might fail and how to improve it. Util. Policy 2015, 35, 1–18. [Google Scholar] [CrossRef]
- Crossland, J.; Li, B.; Roca, E. Is the European Union Emissions Trading Scheme (EU ETS) informationally efficient? Evidence from momentum-based trading strategies. Appl. Energy 2013, 109, 10–23. [Google Scholar] [CrossRef]
- Galán-Valdivieso, F.; Villar-Rubio, E.; Huete-Morales, M.D. The erratic behaviour of the EU ETS on the path towards consolidation and price stability. Int. Environ. Agreements Politics Law Econ. 2018, 18, 689–706. [Google Scholar] [CrossRef]
- Lee, Y.J.; Kim, N.W.; Choi, K.H.; Yoon, S.M. Analysis of the informational efficiency of the EU carbon emission trading market: Asymmetric MF-DFA approach. Energies 2020, 13, 2171. [Google Scholar] [CrossRef]
- Zhou, Y.; Wu, S.; Zhang, Z. Multidimensional risk spillovers among carbon, energy and nonferrous metals markets: Evidence from the quantile VAR network. Energy Econ. 2022, 114, 106319. [Google Scholar] [CrossRef]
- Demiralay, S.; Gencer, H.G.; Bayraci, S. Carbon credit futures as an emerging asset: Hedging, diversification and downside risks. Energy Econ. 2022, 113, 106196. [Google Scholar] [CrossRef]
- Zhou, Q.; Zhu, P.; Zhang, Y. Contagion Spillover from Bitcoin to Carbon Futures Pricing: Perspective from Investor Attention. Energies 2023, 16, 929. [Google Scholar] [CrossRef]
- Cong, R.; Lo, A.Y. Emission trading and carbon market performance in Shenzhen, China. Appl. Energy 2017, 193, 414–425. [Google Scholar] [CrossRef]
- Liu, X.; Zhou, X.; Zhu, B.; Wang, P. Measuring the efficiency of China’s carbon market: A comparison between efficient and fractal market hypotheses. J. Clean. Prod. 2020, 271, 122885. [Google Scholar] [CrossRef]
- Zhao, X.; Wu, L.; Li, A. Research on the efficiency of carbon trading market in China. Renew. Sustain. Energy Rev. 2017, 79, 1–8. [Google Scholar] [CrossRef]
- Fan, J.H.; Todorova, N. Dynamics of China’s carbon prices in the pilot trading phase. Appl. Energy 2017, 208, 1452–1467. [Google Scholar] [CrossRef]
- Chang, K.; Ge, F.; Zhang, C.; Wang, W. The dynamic linkage effect between energy and emissions allowances price for regional emissions trading scheme pilots in China. Renew. Sustain. Energy Rev. 2018, 98, 415–425. [Google Scholar] [CrossRef]
- Wang, X.Q.; Su, C.W.; LobonÅ£, O.R.; Li, H.; Nicoleta-Claudia, M. Is China’s carbon trading market efficient? Evidence from emissions trading scheme pilots. Energy 2022, 245, 123240. [Google Scholar] [CrossRef]
- Zhao, L.; Wen, F.; Wang, X. Interaction among China carbon emission trading markets: Nonlinear Granger causality and time-varying effect. Energy Econ. 2020, 91, 104901. [Google Scholar] [CrossRef]
- Guo, L.Y.; Feng, C. Are there spillovers among China’s pilots for carbon emission allowances trading? Energy Econ. 2021, 103, 105574. [Google Scholar] [CrossRef]
- Li, X.; Li, Z.; Su, C.W.; Umar, M.; Shao, X. Exploring the asymmetric impact of economic policy uncertainty on China’s carbon emissions trading market price: Do different types of uncertainty matter? Technol. Forecast. Soc. Chang. 2022, 178, 121601. [Google Scholar] [CrossRef]
- Wen, F.; Zhao, H.; Zhao, L.; Yin, H. What drive carbon price dynamics in China? Int. Rev. Financ. Anal. 2022, 79, 101999. [Google Scholar] [CrossRef]
- Xia, M.; Chen, Z.H.; Wang, P. Dynamic Risk Spillover Effect between the Carbon and Stock Markets under the Shocks from Exogenous Events. Energies 2023, 16, 97. [Google Scholar] [CrossRef]
- Wang, Y.; Fu, Q.; Chang, C.P. The Integration of Carbon Price Between European and Chinese Markets: What are the Implications? Int. J. Environ. Res. 2021, 15, 667–680. [Google Scholar] [CrossRef]
- Johansen, S. Estimation and Hypothesis Testing of Cointegration Vectors in Gaussian Vector Autoregressive Models. Econometrica 1991, 59, 1551–1580. [Google Scholar] [CrossRef]
- Johansen, S. Likelihood-Based Inference in Cointegrated Vector Autoregressive Models; Oxford University Press: Oxford, UK, 1995. [Google Scholar]
- Stet, C.; Ruiz, P. High EU Carbon Prices Are Structural, and Inaction Is Not an Option. Available online: https://economics.rabobank.com/publications/2022/march/high-eu-carbon-prices-are-structural-inaction-no-option/ (accessed on 15 March 2022).
- Engle, R.F.; Granger, C.W.J. Co-integration and error correction: Representation, estimation and testing. Econometrica 1987, 55, 251–276. [Google Scholar] [CrossRef]
- Zhao, X.; Wu, G.J.; Nie, D.; Chen, H. How to improve the market efficiency of carbon trading: A perspective of China. Renew. Sustain. Energy Rev. 2016, 59, 1229–1245. [Google Scholar] [CrossRef]


| Average | 0.000 | 0.001 |
| Maximum | 0.094 | 0.274 |
| Minimum | −0.067 | −0.286 |
| Standard dev. | 0.018 | 0.038 |
| Skewness | 0.773 | −0.743 |
| Kurtosis | 10.381 | 22.159 |
| Jarque-Bera | 862.534 *** | 5600.601 *** |
| 1.000 | ||
| −0.002 | 1.000 |
| r | Trace Statistic | 5% Critical Values | Max-Eigen Statistic | 5% Critical Values |
|---|---|---|---|---|
| 21.792 ** | 20.262 | 19.766 ** | 15.892 | |
| 2.026 | 9.165 | 2.026 | 9.165 |
| Cointegrating Equation | ||
|---|---|---|
| Variables | CointEq1 | |
| 1 | ||
| −1.265 *** | ||
| (0.220) | ||
| c | 1.457 | |
| Error Correction | ||
| CointEq1 | −0.023 *** | 0.031 ** |
| (0.006) | (0.013) | |
| −0.075 | −0.110 | |
| (0.052) | (0.111) | |
| −0.183 *** | −0.011 | |
| (0.052) | (0.111) | |
| −0.090 * | −0.045 | |
| (0.053) | (0.111) | |
| 0.046 | 0.056 | |
| (0.052) | (0.110) | |
| −0.063 | 0.036 | |
| (0.052) | (0.109) | |
| −0.009 | −0.094 * | |
| (0.025) | (0.053) | |
| −0.009 | −0.009 | |
| (0.025) | (0.054) | |
| −0.050 ** | 0.122 ** | |
| (0.025) | (0.053) | |
| −0.004 | 0.022 | |
| (0.026) | (0.054) | |
| −0.018 | −0.134 ** | |
| (0.025) | (0.053) | |
| c | 0.000 | 0.001 |
| (0.001) | (0.002) | |
| Log likelihood | 1629.978 | |
| AIC | −8.936 | |
| SIC | −8.655 | |
| LM1 | 0.281 | |
| LM4 | 0.234 | |
| LM8 | 0.830 | |
| LM12 | 0.363 | |
| Long-Run Equation | ||
|---|---|---|
| 0.978 *** | ||
| (0.009) | ||
| 0.006 | ||
| (0.025) | ||
| 0.011 | ||
| (0.025) | ||
| c | 0.017 | |
| Error Correction | ||
| CointEq1 | −0.030 *** | 0.034 ** |
| (0.008) | (0.016) | |
| −0.069 | −0.119 | |
| (0.052) | (0.111) | |
| −0.178 *** | −0.020 | |
| (0.052) | (0.111) | |
| −0.086 | −0.053 | |
| (0.052) | (0.111) | |
| 0.049 | 0.049 | |
| (0.052) | (0.110) | |
| −0.060 | 0.031 | |
| (0.052) | (0.109) | |
| −0.009 | −0.097 * | |
| (0.025) | (0.053) | |
| −0.010 | −0.011 | |
| (0.025) | (0.054) | |
| −0.050 ** | 0.119 ** | |
| (0.025) | (0.054) | |
| −0.005 | 0.018 | |
| (0.026) | (0.054) | |
| −0.018 | −0.136 ** | |
| (0.025) | (0.054) | |
| c | −0.196 *** | 0.220 ** |
| (0.050) | (0.106) | |
| Log likelihood | 1629.222 | |
| AIC | −8.943 | |
| SIC | −8.683 | |
| LM1 | 0.258 | |
| LM4 | 0.239 | |
| LM8 | 0.792 | |
| LM12 | 0.324 | |
Disclaimer/Publisher’s Note: The statements, opinions and data contained in all publications are solely those of the individual author(s) and contributor(s) and not of MDPI and/or the editor(s). MDPI and/or the editor(s) disclaim responsibility for any injury to people or property resulting from any ideas, methods, instructions or products referred to in the content. |
© 2023 by the authors. Licensee MDPI, Basel, Switzerland. This article is an open access article distributed under the terms and conditions of the Creative Commons Attribution (CC BY) license (https://creativecommons.org/licenses/by/4.0/).
Share and Cite
Cheng, Q.; Qiao, H.; Gu, Y.; Chen, Z. Price Dynamics and Interactions between the Chinese and European Carbon Emission Trading Markets. Energies 2023, 16, 1624. https://doi.org/10.3390/en16041624
Cheng Q, Qiao H, Gu Y, Chen Z. Price Dynamics and Interactions between the Chinese and European Carbon Emission Trading Markets. Energies. 2023; 16(4):1624. https://doi.org/10.3390/en16041624
Chicago/Turabian StyleCheng, Qiyun, Huiting Qiao, Yimiao Gu, and Zhenxi Chen. 2023. "Price Dynamics and Interactions between the Chinese and European Carbon Emission Trading Markets" Energies 16, no. 4: 1624. https://doi.org/10.3390/en16041624
APA StyleCheng, Q., Qiao, H., Gu, Y., & Chen, Z. (2023). Price Dynamics and Interactions between the Chinese and European Carbon Emission Trading Markets. Energies, 16(4), 1624. https://doi.org/10.3390/en16041624

