Next Article in Journal
Deep Learning for Magnetic Flux Leakage Detection and Evaluation of Oil & Gas Pipelines: A Review
Previous Article in Journal
Aggregating Prophet and Seasonal Trend Decomposition for Time Series Forecasting of Italian Electricity Spot Prices
 
 
Font Type:
Arial Georgia Verdana
Font Size:
Aa Aa Aa
Line Spacing:
Column Width:
Background:
Article

Energy Management Optimization of Fuel Cell Hybrid Ship Based on Particle Swarm Optimization Algorithm

1
Shenzhen Research Institute, Wuhan University of Technology, Shenzhen 518000, China
2
School of Naval Architecture, Ocean and Energy Power Engineering, Wuhan University of Technology, Wuhan 430063, China
*
Author to whom correspondence should be addressed.
Energies 2023, 16(3), 1373; https://doi.org/10.3390/en16031373
Submission received: 19 December 2022 / Revised: 6 January 2023 / Accepted: 12 January 2023 / Published: 29 January 2023
(This article belongs to the Section D: Energy Storage and Application)

Abstract

In order to optimize the energy management strategy and solve the problem of the power quality degradation of fuel cell hybrid electric ships, a particle swarm optimization algorithm based energy management strategy is proposed in this paper. Taking a fuel cell ship as the target ship, a system simulation model is built in Matlab/Simulink to verify the proposed energy management strategy. Through simulations and comparisons, the bus voltage curve of the optimized hybrid power system fluctuates more gently, and the voltage sag is smaller. The amplitude of the voltage fluctuation under maneuvering conditions is reduced by 55% compared with that of the original ship. The charging and discharging process of the composite energy storage system is optimized under maneuvering conditions, the power quality of the marine power grid is improved, and the use of the energy management strategy can extend the service life of the battery.

1. Introduction

With the increasingly prominent environmental problems and the continuous expansion of energy demand, new energy technologies are being increasingly applied to ship propulsion systems. Hybrid electric ships have become an important development direction of marine energy conservation and emission reduction. Among them, clean energy, represented by hydrogen energy, wind energy, and solar energy, is widely used in modern ship power systems. For the energy management of multi-energy coupled ship power systems, the power distribution between multiple energy sources under different operating modes is the main factor affecting the performance of ship power systems. Therefore, it is necessary to carry out research on the energy management strategies of multi-energy ship power systems [1].
Energy management strategies are the core of hybrid electric ships. A good control strategy, which takes the service life of the equipment into consideration, can effectively and reasonably distribute the power of each energy source under different operating modes, thus improving system efficiency. In the past, control strategies used to adopt a single constant voltage control or a power-following strategy, which had difficulty in adjusting control parameters effectively [2]. At present, energy management strategies for hybrid electric ships are mainly divided into three categories: the rule-based energy management strategy, the optimization-based energy management strategy, and the learning-based energy management strategy [3]. The rule-based energy management strategy is to establish the operation mode of a hybrid power system according to human experience and experiments. This kind of strategy is widely used in engineering practice, but it can not maintain the optimal control strategy under complex working conditions. As the study progresses, an intelligent optimization algorithm is applied to the design of the energy management strategy. The energy management strategy based on optimization is to determine the optimization objective and constraint conditions by analyzing the characteristics of the object, build the overall optimization model on this basis, and use the optimization algorithm to solve the objective function. Among them, the energy management strategy based on global optimization can theoretically achieve the optimal distribution of system energy, but it still has the problems of heavy computation and poor real-time performance.
The energy management of hybrid electric ships is a multi-objective optimization problem, covering the conversion and control of energy, including mechanical energy, chemical energy, and electrical energy. At the same time, the safe and stable operation of the ships should be considered, and on this basis, the economy and environmental protection of ship operation should be further optimized. In terms of a single management objective, the existing energy management strategies can be divided into energy management objectives that focus on power quality, energy management objectives that focus on fault recovery, energy management objectives that focus on energy consumption and emissions, and energy management objectives that focus on system economy. Combining a wavelet analysis and PI control, Zhao [4] proposed a system that distributes and controls the output power of the multi-power tourism marine hybrid system online and that absorbs high-frequency power by using supercapacitors. However, this system still has optimization space for multi-power coupling and power grid fluctuation. Balsamo et al. [5] verified an energy management strategy based on the constraint minimization problem. The program realizes the reliability and fault recovery of a system under uncertain operating conditions via the off-line optimization of known task profiles, but the proposed scheme still has the problems of heavy computation and poor real-time performance. Xue et al. [6] proposed a two-stage model of a predictive control energy management strategy, which solves the distribution scheme between the generator and the energy storage system in the first stage and then further determines the operation strategy of the supercapacitor on a short time scale in the second stage. This method effectively improves the economy of all electric ship operations. Multi-objective optimization can set up the optimization function of multiple management objectives to calculate the optimal solution of a system in a certain range. Gao et al. [7] predicted a ship’s power demand under uncertain loads by analyzing the characteristics of the cycle conditions of hybrid electric ships, adopted the energy management strategy based on the non-dominated sorting genetic algorithm (NSGA), decoupled the energy management optimization problem into optimization sub-problems, obtained the optimization scheme of the sub-problems, and then narrowed the target range. Finally, the optimal solution under each operating condition was obtained via fuzzy decision making.
To date, many scholars have conducted relevant research on the energy management strategies of multi-energy ship power systems. Philip et al. proposed an energy management strategy based on a classical proportional integral controller, thus improving the working efficiency of fuel cells [8]. Yuan et al. proposed an energy management strategy based on DP-MPC for diesel–electric hybrid ships but without considering the service life of the equipment [9]. Kalikatzarakis applied the equivalent consumption minimization strategy (ECMS) to hybrid ships in order to determine the power distribution between different pieces of equipment in real time [10]. Kanellos used the dynamic programming method and the particle swarm optimization algorithm to optimize the generator power and propulsion power of all-electric propulsion ships and then verified the effectiveness of the two methods in ship energy management through a simulation [11,12]. Abeywardana adopted the rule-based energy management strategy to manage the energy of the supercapacitor and battery and then effectively used a low-pass filter to divide the frequency of the power signal. However, this rule-based strategy still depends on the experience of engineers, and the dynamic response performance of the system needs to be improved [13]. Tang et al. proposed a Q network algorithm based on deep learning. This strategy optimizes the parameters of energy storage systems and establishes a balance between fuel consumption and fuel cell degradation by introducing the objective function of fuel cell degradation [14].
The advantages and disadvantages of energy management stragies are shown in Table 1. All the above studies concern the optimization of the energy management strategy, but they do not optimize the parameters of the energy management strategy and the composite energy storage system simultaneously. This paper takes a fuel cell hybrid electric ship as the research object and uses the particle swarm optimization algorithm to optimize the energy management strategy of the fuel cell hybrid electric ship and the capacity parameters of the composite energy storage system.
In the Section 1 of this paper, the relevant literature and research methods carried out in the field of ship energy management in recent years are discussed. Then, in the Section 2, the target ship type and the composite energy storage system are described. In the Section 3, an energy management strategy based on power distribution is proposed, which is characterized by the use of wavelet transform to process power signals and then the use of filters to complete the power distribution of the complex energy storage system. The Section 4 of this paper discusses the gaps in the current research field and uses the particle swarm optimization algorithm to optimize the parameters. Finally, the proposed method is verified via a hybrid ship simulation model.

2. Fuel Cell ma2. and Fuel Cell Marine Composite Energy Storage System

2.1. Research Objects

“Alsterwasser” is a fuel-cell-powered passenger vessel with the following design parameters: a length of 25.5 m, a width of 5 m, a draft of 1.3 m, rated for 100 passengers, 8 h of operation per day, and a maximum speed of 15 km/h. The hybrid system consists of a fuel cell and a storage battery. We use the operating mode data of “Alsterwasser” to design an energy management strategy and a composite energy storage system. Figure 1 shows the typical operating mode of “Alsterwasser”. In the period of 0~90 s and 200~360 s, the load power demand is relatively stable, at about 42 kW, and the ship is in the state of steady sailing. During the period of 90~200 s, the power demand of the load fluctuates greatly, ranging from 0~112 kW, and the ship is in the maneuvering state. The mean of the power demand is 43.6 kW, and the peak is 112 kW, which covers the various operating states of ships, such as fixed-speed sailing and maneuvering sailing, and has been widely used in the research of fuel cell ships [15].

2.2. Structure of Composite Energy Storage System

Considering the passenger ship’s operating mode and power system characteristics, the energy density of the battery is large, but the response speed is slow. Under the condition of frequent load fluctuation, the ship’s dynamic performance and the service life of the battery are affected. Supercapacitors have the characteristics of a fast response speed and a long cycle life. The marine hybrid energy storage system (HESS), composed of supercapacitors and batteries, can effectively improve the comprehensive performance of ships. The topological structure of HESS can be divided into passive, semi-active, and active structures [16]. Passive structures are relatively simple and low cost, but they cannot control power distribution. The active structure can control the power distribution, but the control strategy is complicated. The semi-active structure combines the benefits of passive and active structures, which has great application advantages.

3. Energy Management Strategy

The energy management strategy adopted in this paper consists of two parts: the wavelet transform algorithm and the power distribution of the composite energy storage system. The structure of the energy management strategy is shown in Figure 2. First, the wavelet transform algorithm is used to process the ship power demand Pr to obtain the low-frequency power PL1. Then, taking the maximum output power of the fuel cells as the standard to limit the amplitude of the low-frequency power PL1, the low-frequency power PL2 is obtained, which is not greater than the maximum output power of the fuel cells. This part of the power demand is provided by the fuel cell; it ensures that the fuel cell continues to operate in an efficient and stable power range. The remaining power demand is provided by the composite energy storage system module. Due to the characteristics of a long cycle life, good reversibility, a high charge–discharge efficiency, and a high short-term output power, supercapacitors can well meet the power needs of sudden changes. The battery has the characteristics of a large capacity and a high reliability, but it has the problem of a short cycle life. The composite energy storage system can fully combine the performance advantages of the supercapacitors and battery to improve the response performance of the energy storage system. The specific working process is as follows: First, the composite energy storage system identifies the remaining power demand (Pr-PL2) and selects the corresponding filter according to the specific working conditions. Through the filter, the remaining power demand (Pr-PL2) is decomposed into the PH of the higher frequency part and the PL of the lower frequency part. The low-frequency PL is allocated to the battery module, while the high-frequency PH is allocated to the supercapacitor module.

3.1. Wavelet Transform

Wavelet transform is a time-frequency analysis method of signals. Compared with Fourier transform, it can provide a “time-frequency” window that changes with frequency to analyze signals locally. The signal is refined by scaling and translating operations, and then the time subdivision of the signal at a high frequency and the frequency subdivision at a low frequency can be obtained.
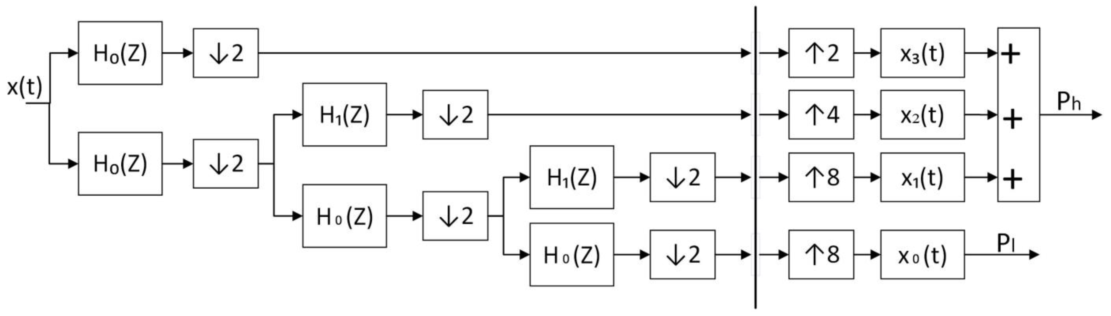
In energy management, the ship’s power demand is a discrete signal. By using discrete wavelet transform, the ship’s power demand can be decomposed into high-frequency and low-frequency power signals, and then the low-frequency power signals can be decomposed by a high-pass filter and a low-pass filter in turn [17]. After the second decomposition, the demand power is decomposed into the high-frequency signals x1, x2, and x3 and the low-frequency signal xd. According to the characteristics of the hybrid system, the low-frequency signal is allocated to the fuel cell and the storage battery, and the high-frequency signal is allocated to the ultracapacitor. The discrete wavelet transform formula and inverse transformation formula are as follows:
W ( γ , r ) = x ( t ) 1 γ φ ( t r γ ) dt
x ( t ) = j Z k Z W ( j , k ) φ j , k ( t )
where γ is the scaling factor, γ = 2 j . r is the translation factor, r = k 2 j . x(t) is the original signal, and φ is a generating function. The Haar wavelet has the optimal time-domain resolution, and its formula is the same as its inverse transformation formula, which is easier to implement in the control system. Therefore, this paper adopts the Haar wavelet. The expression is as follows:
φ ( t ) = { 1 ,                 t [ 0 , 1 / 2 ) 1 ,           t [ 1 / 2 , 1 ) 0 ,                       others
The specific decomposition and reconstruction process is as follows: As shown in Figure 3, the original power signal x ( t ) is filtered and decomposed into a high frequency signal and a low frequency signal by using the Haar wavelet transform based on a high pass filter H 1 ( z ) and a low pass filter H 0 ( z ) . Then, the obtained low frequency signal is decomposed twice, and the process is repeated. Finally, the high frequency signals x 1 ( t ) , x 2 ( t ) , x 3 ( t ) and the low frequency signal x 0 ( t ) are obtained. After completing the decomposition of the original signal, the refactor filter is used to obtain the details of these signals, finally obtaining the high frequency signal Ph = x1 (t) + x2 (t) + x3 (t) and the low frequency signal P l = x 0 ( t ) .

3.2. Power Distribution

The typical operating mode of ship navigation, as shown in Figure 1, is divided into two types: steady navigation and maneuvering navigation. The ship’s power demand is relatively stable with little power fluctuation under the steady sailing mode, while it fluctuates greatly under maneuvering conditions. Therefore, different filters should be selected to distribute the power of the composite energy storage system. The expressions of the filters are as follows:
L 1 ( s ) = 1 T 1 + 1                 L 2 ( s ) = 1 T 2 + 1
where T is the time constant of the filter. The smaller the time constant T, the more high-frequency components of the power demand signal that can pass through the filter. The power distribution of the composite energy storage system can be adjusted by setting the T of the different filters under the two modes of fixed-speed sailing and maneuvering sailing. The smaller the value of the time constant T, the more high-frequency components of the power signal that can pass through the low-pass filter.

4. Parameter Optimization

Due to the disadvantages of rulemaking, rule-based energy management strategies cannot achieve better optimization results in some special working conditions. Therefore, the current relevant studies mainly focus on optimized energy management strategies. The optimal energy management strategy defines the objective function and its constraint conditions, and it obtains the corresponding management strategy by solving the objective function. Intelligent optimization algorithms are widely used in the field of hybrid electric ships, including the whale optimization algorithm (WOA), the particle swarm optimization algorithm (PSO), and the genetic algorithm (GA). Yang et al. [18] proposed a management strategy based on the improved whale optimization algorithm (AWOA), which mainly solves the conventional whale algorithm’s problem of easily falling into the local optimal and optimizes the fuzzy control rules of the system with the ship energy consumption as the management objective; however, it does not optimize the capacity configuration of the energy storage system. Zhang et al. [19] took an anchor-handling towing supply vessel as a research object and used non-dominated sorting genetic algorithm (NSGA) decomposition to solve the optimization problem from the perspective of fuzzy decision making to optimize the capacity of the hybrid system configuration. However, this method failed to optimize the energy management parameters of the energy storage system.
The current optimization algorithm mainly optimizes the energy management strategy and the composite energy storage system separately, but both the parameter settings of the energy management strategy and the capacity configuration of the composite energy storage system play an important role in the efficient operation of the hybrid power system. The capacity configuration of the composite energy storage system needs to be configured according to the adopted energy management strategy and ship working conditions. In order to optimize ship energy efficiency, the particle swarm optimization algorithm has been proposed to carry out the multi-objective optimization of host speed and the power supply stability of the power grid under different working conditions. This algorithm can effectively balance ship emissions and the stability of the ship’s power grid. Compared with the genetic algorithm, the particle swarm optimization algorithm can converge faster in solving multi-objective optimization problems, and its computational complexity is lower than that of other algorithms. Therefore, we adopt the optimization method combined with the particle swarm optimization algorithm and a fuel cell hybrid power system simulation to establish the objective function of evaluating the ship power system based on the indicators of battery capacity, supercapacitor voltage, and voltage improvement rate, and we determine the value range of the related parameters of the composite energy storage system according to the system constraints [20]. The particle swarm optimization algorithm based on the objective function can finally obtain the energy management strategy parameters and configuration scheme of the composite energy storage system [21].

4.1. Optimization Objectives

In order to evaluate the advantages and disadvantages of different design parameters and the configuration of the composite energy storage system, we proposes an objective function to optimize the system energy management strategy’s parameters and configuration options based on three perspectives: battery loss, voltage fluctuation, and system energy loss. The evaluation formulas are as follows:
The evaluation formula of the battery loss is [22]
f 1 = i = 1 N ( I ( i ) I ( i 1 ) ) 2
where I ( i ) is the current of the battery at time i.
The evaluation formula of the voltage fluctuation is [23]
f 2 = i = 1 N ( V ( i ) V ( i 1 ) ) 2
where V ( i ) is the DC bus voltage at time i.
The evaluation formula of the energy loss is [24]
f 3 = i = 1 N { t [ R sc I sc 2 ( i ) + R bat I bat 2 ( i ) ] + ( 1 μ dc ) P dc ( i ) }
where R sc is the internal resistance of the supercapacitor, I sc ( i ) is the current of the supercapacitor at time i , R bat is the internal resistance of the battery, I bat ( i ) is the current of the battery at time i , μ dc is DC/DC converter efficiency, and P dc ( i ) is the power of DC/DC converter at time i .
The three indexes of battery loss, voltage fluctuation, and energy loss can be used to quantitatively evaluate the effects of the energy management strategy and the capacity configuration option in different aspects of the composite energy storage system. For different ship types and operating modes, these three evaluation functions receive different levels of attention. When a fuel cell hybrid passenger ship is taken as the research object, the optimization goal is more focused on the improvement of the power quality of the ship’s power grid [25]. For fuel cells, the composite energy storage system is applied to improve the voltage sag of the power grid and to ensure the stable operation of the fuel cells. With the goal of energy management, the optimization goal pays more attention to the protection of battery life and the stability of the ship’s power grid. The main goal of using supercapacitors for energy storage is to improve the voltage fluctuation of the ship grid and to improve the energy utilization efficiency of the system. Therefore, the optimization objective function ObjV is set by introducing weight coefficients. Since the target ship type is small, the battery loss of the system and the voltage fluctuation of the grid are included in the evaluation model as the main factors to be considered. Here, the weight coefficients are 0.5, 0.4, and 0.1 in turn. The expression is described as follows:
ObjV = af 1 + bf 2 + cf 3
where “ObjV” is the optimal evaluation function value of the hybrid power system. The smaller the value, the closer the system parameters are to the optimization objective of the algorithm. “a” is the battery loss weight, “b” is the voltage fluctuation weight, “c” is the energy loss weight, “ f 1 ” is the battery loss evaluation value, “ f 2 ” is the grid voltage fluctuation evaluation value, and “ f 3 ” is the system energy loss evaluation value, which can be calculated by using Equations (5)–(7).
The energy control strategy should ensure the power demand of the ship, as well as the remaining load demand. Therefore, the power balance equation needs to be satisfied first. At the same time, the fuel cell and energy storage system are both within the feasible power output range, and the voltage and current of the system are within the upper and lower limits. Then, the mathematical expression of the system constraint is as follows:
P bat + P fc + P sc = P N
1 2 V max V sc V max
| I fc ( t ) | I fc , max
| I sc ( t ) | I sc , max
| I bat ( t ) | I bat , max
Based on the power system parameters of the target ship type, the voltage value of the ship’s DC bus is 560 V, so the operating voltage of the battery pack is set to 560 V. According to the relevant literature [26], here, the capacity optimization range of the battery is set to [20 A∙h, 60 A∙h]. The rated voltage of a single group of supercapacitors is 48 V, and the allowable operating voltage range is [0 V, 51 V]. Therefore, 12 groups of supercapacitors are needed in a series to meet the voltage of the ship bus. The minimum voltage of the supercapacitors is taken as half of the rated voltage, and the voltage range of the supercapacitors is [288 V, 576 V]. The filter time constant range is as follows: T 1 ( 1   s , 10   s ) ,   T 2 ( 10   s , 20   s ) .

4.2. Optimization of Particle Swarm Optimization

Particle swarm optimization is a random search optimization algorithm based on cluster intelligence. The algorithm can optimize a flock by simulating its foraging behavior. The structure of the algorithm is shown in Figure 4. Firstly, it initializes all feasible solutions into a group of particles, whose characteristics include the position, velocity, and fitness value. The encoded position of each particle represents a possible solution to be optimized, the velocity of the particle represents the direction and distance of the particle movement, and the fitness value of the particle can be calculated according to the objective function. Secondly, the optimal value of the individual and the optimal value of the population are calculated, while the speed and position of the particle are updated. When the algorithm reaches the maximum number of iterations or when the position of the particle is less than the given threshold value, the algorithm stops. Compared with other optimization algorithms, this algorithm is easier to implement, has a high accuracy, and greatly improves the solving speed [27]. In recent years, many scholars have adopted the improved PSO algorithm to solve the problem of ship energy management. Tang et al. [28] proposed an adaptive multi-context cooperatively co-evolving particle swarm optimization (AM-CCPSO), which is used to solve the optimal power distribution problem of systems. The algorithm converts the constraints into penalty functions and, thus, transforms the constrained optimal power distribution problem into the unconstrained optimal power distribution problem. Simulation results have shown that the proposed algorithm can effectively reduce ship operating costs. Kanellos et al. [29] proposed using a fuzzy controller to dynamically change the corresponding parameters of the PSO algorithm, which can improve the computational efficiency of the algorithm. Du et al. [30] adopted an improved second-order oscillation PSO algorithm to study ship energy efficiency from the perspective of path planning, and the results showed that the optimization of multiple objectives, such as ship emissions, fuel consumption, and economic benefits, using this algorithm has application potential.
In this paper, the particle swarm optimization algorithm is used to optimize the filter time constant and the capacity parameters of the energy storage system in the energy management strategy by building a simulation model of the fuel cell ship hybrid power system. The optimization process is shown in Figure 5. Firstly, we input the optimized range of the battery capacity, the supercapacitor voltage, and the filter time constant: Q bat ( 20   A · h , 500   A · h ) ; V sc ( 288   V , 600   V ) ; T 1 ( 1   s , 10   s ) ; and T 2 ( 10   s , 20   s ) . The number of iterations is 100. Secondly, we run the particle swarm optimization algorithm in MATLAB to output the optimized values of the four parameters. Finally, we run the simulation model of the fuel cell ship hybrid power system in Simulink; then import the equipment voltage, current, and power information from the simulation model into the power system evaluation model to evaluate the simulation results; and turn to the particle swarm optimization algorithm in order to run and output the results. Until the number of iterations is reached, the optimal feasible solution is output. The set values of the relevant parameters of the particle swarm optimization algorithm are shown in Table 2, where “n” is the number of particles, and “c1” and “c2” are learning factors.The final iterative calculation results are shown in the Table 3.

5. Simulation Test and Analysis

In this paper, the simulation model of the fuel cell ship hybrid power system, as shown in Figure 6, is built in Matlab/Simulink. The model includes a fuel cell system, a composite energy storage system composed of batteries and supercapacitors, a load under the typical operating modes of the ship, and the energy management strategy. Taking the power demand of the target ship as the input signal, the final parameter optimization results are re-imported into the simulation model through the dynamic system evaluation model and the particle swarm optimization algorithm for simulation experiments.
The mathematical model of the fuel cell voltage model is as follows:
V cell = E 0 V act V ohm V conc
where E 0 is the single chip produced by the fuel cell reaction thermodynamic electromotive force, V act is the electrode activation loss of the electromotive force, V ohm is the battery internal resistance ohmic loss caused by the electromotive force, and V conc is the concentration loss caused by the concentration change in the reactant concentration; then, the partial voltage is calculated [31]. We mainly study the energy management strategy and the optimization of hybrid electric ships, and we do not conduct in-depth research on the reaction mechanism of each system. Therefore, the battery model and the supercapacitor model adopt the general module in Matlab/Simulink.
The optimized hybrid power system is simulated by using the typical operating modes of the fuel cell ship, and it is compared with the original hybrid power system. Figure 7 displays a comparison of the bus voltage simulation results of the two ships. The blue line is the bus voltage fluctuation of the original fuel cell ship under typical operating modes, and the green line is the bus voltage simulation results of the fuel cell hybrid ship optimized via the particle swarm optimization algorithm. It can be intuitively seen in Figure 7 that, under steady sailing, the bus voltage of the original ship has a voltage drop caused by a change in the external load, which is reflected in the steady-sailing range of 0–90 s and 200–300 s, while under the maneuvering sailing conditions, the bus voltage fluctuation and the voltage drop of the original ship are more significant. The maximum fluctuation difference of the bus voltage reaches 40 V. For the fuel cell ship optimized via the particle swarm optimization algorithm, the bus voltage of its composite energy storage system fluctuates gently under the condition of constant speed. Under maneuvering sailing conditions, the fluctuation amplitude of the bus voltage is reduced by 40% compared with that of the original ship; in particular, in the range of 100–150 s, the voltage drop is significantly improved compared with that of the original ship.
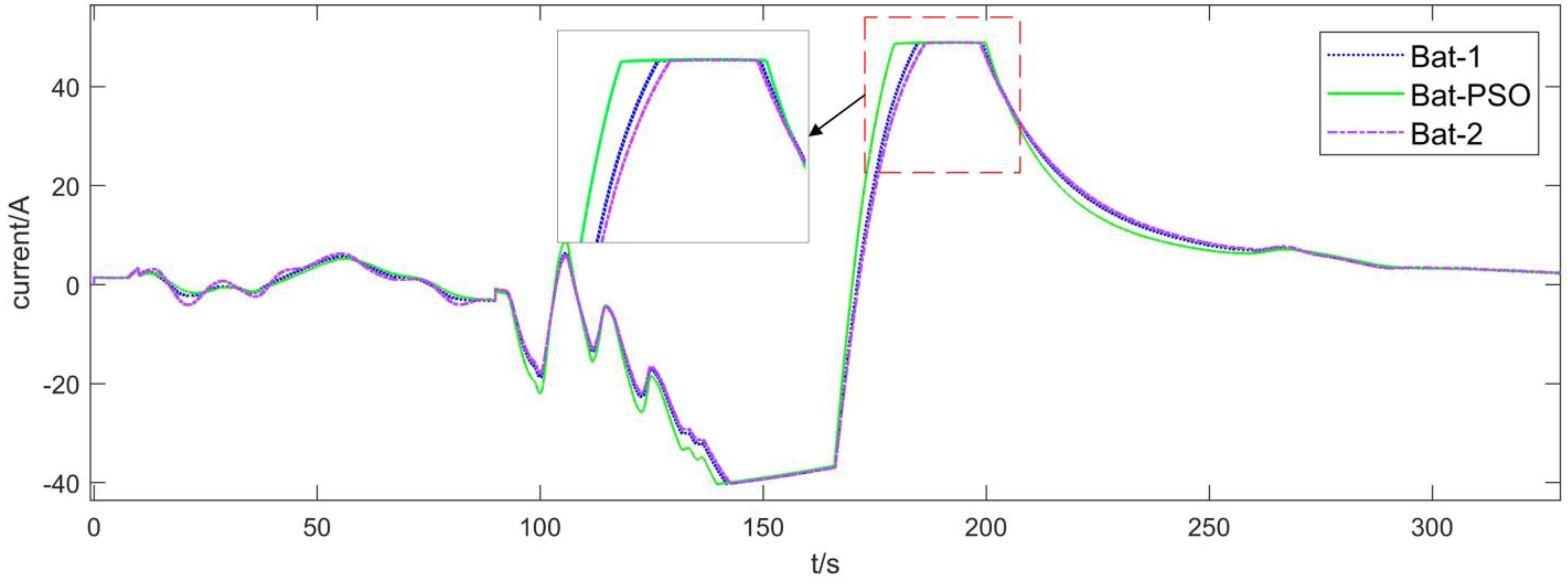
Figure 8 displays a real-time current simulation comparison diagram of the batteries of the two ships. It can be seen in the figure that, under maneuvering conditions, the batteries of the original fuel cell ship are in a state of frequent charge and discharge, while the fuel cell ship, which adopts the composite energy storage system, distributes low-frequency loads to the batteries through filters, thus reducing the current fluctuations of the batteries. The current fluctuation amplitude of the battery is reduced by 37%, and the transition of the charging and discharging state is more gentle than that of the original ship, which can reduce the cyclic charging and discharging times of the battery and extend its service life.
The composite energy storage system can effectively improve the operating conditions of the fuel cell and the battery on the fuel cell ship. In particular, the high frequency part of the load signal is distributed to the supercapacitor through the filter in the maneuvering sailing conditions of the ship. The particle swarm optimization algorithm is used to optimize and adjust the time constant of the filter so as to improve the power distribution of the composite energy storage system. As shown in Figure 9, the load signal is divided by the filter, and the high-frequency signal is assigned to the supercapacitor. Under maneuvering conditions, the supercapacitor undertakes most of the high-frequency load. By optimizing the time constant of the filter, the current fluctuation of the battery is finally controlled within the ideal range, which inhibits the current fluctuation of the power grid and improves the power quality of the ship’s power grid.
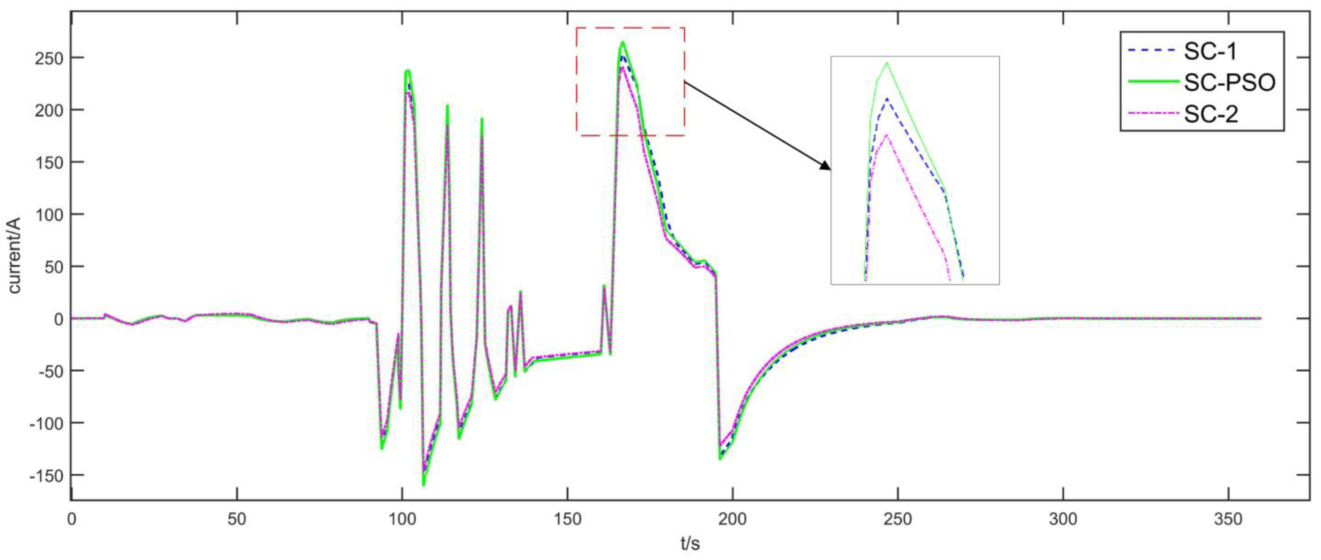
Under the energy management strategy in this paper, different energy management policy parameters will have an impact on the dynamic performance of the system. By using the particle swarm optimization algorithm to optimize the energy management policy parameters, we obtain a set of feasible energy management policy parameters. Below, we input the obtained optimization results and two groups of different energy management strategy parameters into the simulation model. Moreover, we compare the output current of the supercapacitor and battery under the three groups of different parameters through the simulation experiment. As can be seen in Figure 10, in the maneuvering operating condition range, the output current peak value of the supercapacitor with the optimized energy management strategy parameters is higher. Compared with the other two groups, the supercapacitor can give full play to its performance advantages and bear more high-frequency power.
A similar conclusion can be drawn from the comparison diagram of the output current of the battery. As shown in Figure 11, after applying the optimized energy management strategy parameters, the battery can maintain a stable output current for a longer time under the same operating mode. Compared with the other two groups of experiments, the simulation results show that, after optimizing the parameters of the energy management strategy by using the particle swarm optimization algorithm, the battery can keep working in a stable state for a longer time under maneuvering conditions. Through the comparison of the two sets of simulation experiments, the optimization of the energy management strategy parameters via the particle swarm optimization algorithm can improve the power distribution efficiency of the composite energy storage system to a certain extent because of the adoption of the composite energy storage system. In particular, when the system is in maneuvering condition, the supercapacitor in the composite energy storage system assumes a greater high-frequency power demand, and the output current is larger. Moreover, the battery can also maintain stable work for a longer time under mobile conditions. The supercapacitor optimizes the working current of the battery through its own rapid discharge, so the life of the battery can be extended.

6. Conclusions

In this paper, a simulation of a fuel cell hybrid electric ship is carried out. A composite energy storage system, composed of batteries, supercapacitors, and fuel cells, is used to form the ship’s power system. After optimizing the energy management strategy parameters and the capacity parameters of the fuel cell hybrid power system by using the particle swarm optimization algorithm, the system can effectively allocate high-frequency load signals to the supercapacitor under maneuvering conditions. The adopted energy management strategy can effectively restrain the voltage fluctuation of the ship grid, reduce the voltage sag of the grid, and improve the power quality of the ship grid. The composite energy storage system can also play a better role. The supercapacitor assumes the power load with a higher frequency and maintains the stable output of the battery for a longer time. The charging and discharging process of the composite energy storage system can be optimized under maneuvering conditions. By optimizing the parameters of the energy management strategy and the capacity parameters of the composite energy storage system, the power quality of the marine grid can be improved, and the service life of the equipment can be extended.

Author Contributions

Conceptualization, X.P. and H.C.; methodology, X.P. and H.C.; software, X.P., H.C., and C.G.; validation, H.C. and C.G.; formal analysis, X.P.; resources, H.C. and C.G.; data curation, X.P.; writing—original draft preparation, X.P. All authors have read and agreed to the published version of the manuscript.

Funding

This work was supported by the Science Foundation of Shenzhen City (JCYJ2019080918-0805560), the National Natural Science Foundation of China (51909200), and the 111 Project (BP0820028).

Institutional Review Board Statement

Not applicable.

Informed Consent Statement

Not applicable.

Data Availability Statement

The data presented in this study are available on request from the corresponding author.

Conflicts of Interest

No conflicts of interest exist in the submission of this manuscript, and the manuscript is approved by all authors for publication.

References

  1. Geertsma, R.D.; Negenborn, R.R.; Visser, K.; Hopman, J.J. Design and control of hybrid power and propulsion systems for smart ships: A review of developments. Appl. Energy 2017, 194, 30–54. [Google Scholar] [CrossRef]
  2. Hu, W.; Shang, Q.; Bian, X.; Zhu, R. Energy management strategy of hybrid energy storage system based on fuzzy control for ships. Int. J. Low-Carbon Technol. 2022, 17, 169–175. [Google Scholar] [CrossRef]
  3. Hui, H.; Gan, M.; Wu, X.; Xie, K.; Fan, Z. Review of hybrid ship energy management. Chin. J. Ship Res. 2021, 16, 216–229. [Google Scholar]
  4. Zhao, Z.-H. Improved fuzzy logic control-based energy management strategy for hybrid power system of FC/PV/battery/SC on tourist ship. Int. J. Hydrogen Energy 2022, 47, 9719–9734. [Google Scholar] [CrossRef]
  5. Balsamo, F.; Capasso, C.; Miccione, G.; Veneri, O. Hybrid Storage System Control Strategy for All-Electric Powered Ships. Energy Procedia 2017, 126, 1083–1090. [Google Scholar] [CrossRef]
  6. Zhang, Y.; Xue, Q.; Gao, D.; Shi, W.; Yu, W. Two-level model predictive control energy management strategy for hybrid power ships with hybrid energy storage system. J. Energy Storage 2022, 52, 104763. [Google Scholar] [CrossRef]
  7. Gao, D.; Wang, X.; Wang, T.; Wang, Y.; Xu, X. An Energy Optimization Strategy for Hybrid Power Ships under Load Uncertainty Based on Load Power Prediction and Improved NSGA-II Algorithm. Energies 2018, 11, 1699. [Google Scholar] [CrossRef]
  8. Bassam, A.M.; Phillips, A.B.; Turnock, S.R.; Wilson, P.A. An improved energy management strategy for a hybrid fuel cell/battery passenger vessel. Int. J. Hydrogen Energy 2016, 41, 22453–22464. [Google Scholar] [CrossRef]
  9. Yuan, Y.; Chen, M.; Wang, J.; Yu, W.; Shen, B. A novel hybrid energy management strategy of a diesel-electric hybrid ship based on dynamic programing and model predictive control. Proc. Inst. Mech. Eng. Part M J. Eng. Marit. Environ. 2022, 236, 644–657. [Google Scholar] [CrossRef]
  10. Kalikatzarakis, M.; Geertsma, R.D.; Boonen, E.J.; Visser, K.; Negenborn, R.R. Ship energy management for hybrid propulsion and power supply with shore charging. Control Eng. Pract. 2018, 76, 133–154. [Google Scholar] [CrossRef]
  11. Kanellos, F.D.; Tsekouras, G.J.; Hatziargyriou, N.D. Optimal demand-side management and power generation scheduling in an all-electric ship. IEEE Trans. Sustain. Energy 2014, 5, 1166–1175. [Google Scholar] [CrossRef]
  12. Kanellos, F.D.; Prousalidis, J.; Tsekouras, G.J. Optimal active power management in All Electric Ship employing DC grid technology. In Operational Research in Business and Economics; Springer: Cham, Switzerland, 2017; pp. 271–284. [Google Scholar]
  13. Abeywardana, D.B.W.; Hredzak, B.; Agelidis, V.G.; Demetriades, G.D. Supercapacitor sizing method for energy-controlled filter-based hybrid energy storage systems. IEEE Trans. Power Electron. 2016, 32, 1626–1637. [Google Scholar] [CrossRef]
  14. Tang, X.; Zhou, H.; Wang, F.; Wang, W.; Lin, X. Longevity-conscious energy management strategy of fuel cell hybrid electric Vehicle Based on deep reinforcement learning. Energy 2022, 238, 121593. [Google Scholar] [CrossRef]
  15. Bassam, A.M.; Phillips, A.B.; Turnock, S.R.; Wilson, P.A. Development of a multi-scheme energy management strategy for a hybrid fuel cell driven passenger ship. Int. J. Hydrogen Energy 2017, 42, 623–635. [Google Scholar] [CrossRef]
  16. Boveri, A.P.; Silvestro, F.; Molinas, M.; Skjong, E. Optimal sizing of energy storage systems for shipboard applications. IEEE Trans. Energy Convers. 2018, 34, 801–811. [Google Scholar] [CrossRef]
  17. Zhang, X.; Mi, C.C.; Masrur, A.; Daniszewski, D. Wavelet-transform-based power management of hybrid vehicles with multiple on-board energy sources including fuel cell, battery and ultracapacitor. J. Power Sources 2008, 185, 1533–1543. [Google Scholar] [CrossRef]
  18. Yang, R.; Li, K.; Du, K.; Shen, B. An ameliorative whale optimization algorithm (AWOA) for HES energy management strategy optimization. Reg. Stud. Mar. Sci. 2021, 48, 102033. [Google Scholar] [CrossRef]
  19. Zhang, C.; Jia, B.Z. The research of power allocation in diesel-electric hybrid propulsion system. In Proceedings of the 2019 Chinese Automation Congress (CAC), Hangzhou, China, 22–24 November 2019; pp. 3664–3668. [Google Scholar]
  20. Xie, P.; Guerrero, J.M.; Tan, S.; Bazmohammadi, N.; Vasquez, J.C.; Mehrzadi, M.; Al-Turki, Y. Optimization-based power and energy management system in shipboard microgrid: A review. IEEE Syst. J. 2021, 16, 578–590. [Google Scholar] [CrossRef]
  21. Pourmousavi, S.A.; Nehrir, M.H.; Colson, C.M.; Wang, C. Real-time energy management of a stand-alone hybrid wind-microturbine energy system using particle swarm optimization. IEEE Trans. Sustain. Energy 2010, 1, 193–201. [Google Scholar] [CrossRef]
  22. Zhang, S.; Xiong, R.; Cao, J. Battery durability and longevity based power management for plug-in hybrid electric vehicle with hybrid energy storage system. Appl. Energy 2016, 179, 316–328. [Google Scholar] [CrossRef]
  23. Ghorbani, N.; Kasaeian, A.; Toopshekan, A.; Bahrami, L.; Maghami, A. Optimizing a hybrid wind-PV-battery system using GA-PSO and MOPSO for reducing cost and increasing reliability. Energy 2018, 154, 581–591. [Google Scholar] [CrossRef]
  24. Haseltalab, A.; Botto, M.A.; Negenborn, R.R. Model Predictive DC Voltage Control for all-electric ships. Control Eng. Pract. 2019, 90, 133–147. [Google Scholar] [CrossRef]
  25. Jeon, H.; Kim, S.; Yoon, K. Fuel Cell Application for Investigating the Quality of Electricity from Ship Hybrid Power Sources. J. Mar. Sci. Eng. 2019, 7, 241. [Google Scholar] [CrossRef]
  26. Chen, H.; Zhang, Z.; Guan, C.; Gao, H. Optimization of sizing and frequency control in battery/supercapacitor hybrid energy storage system for fuel cell ship. Energy 2020, 197, 117285. [Google Scholar] [CrossRef]
  27. Zhang, Y.; Wang, S.; Ji, G. A comprehensive survey on particle swarm optimization algorithm and its applications. Math. Probl. Eng. 2015, 2015, 931256. [Google Scholar] [CrossRef]
  28. Tang, R.L.; Wu, Z.; Li, X. Optimal power flow dispatching of maritime hybrid energy system using model predictive control. Energy Procedia 2019, 158, 6183–6188. [Google Scholar] [CrossRef]
  29. Kanellos, F.D.; Anvari-Moghaddam, A.; Guerrero, J.M. A cost-effective and emission-aware power management system for ships with integrated full electric propulsion. Electr. Power Syst. Res. 2017, 150, 63–75. [Google Scholar] [CrossRef]
  30. Du, W.; Li, Y.; Shi, J.; Sun, B.; Wang, C.; Zhu, B. Applying an improved particle swarm optimization algorithm to ship energy saving. Energy 2023, 263, 126080. [Google Scholar]
  31. Roy, S.K.; Orazem, M.E. Error Analysis of the Impedance Response of PEM fuel cells. J. Electrochem. Soc. 2007, 154, B883–B891. [Google Scholar] [CrossRef]
Figure 1. Typical operating mode curve of “Alsterwasser”.
Figure 1. Typical operating mode curve of “Alsterwasser”.
Energies 16 01373 g001
Figure 2. Energy management strategies for fuel cell ships.
Figure 2. Energy management strategies for fuel cell ships.
Energies 16 01373 g002
Figure 3. Power signal decomposition and reconstruction.
Figure 3. Power signal decomposition and reconstruction.
Energies 16 01373 g003
Figure 4. Structure diagram of particle swarm optimization algorithm.
Figure 4. Structure diagram of particle swarm optimization algorithm.
Energies 16 01373 g004
Figure 5. System optimization flowchart.
Figure 5. System optimization flowchart.
Energies 16 01373 g005
Figure 6. Simulation model of fuel cell ship hybrid power system.
Figure 6. Simulation model of fuel cell ship hybrid power system.
Energies 16 01373 g006
Figure 7. Comparison of bus voltage simulation.
Figure 7. Comparison of bus voltage simulation.
Energies 16 01373 g007
Figure 8. Battery current simulation comparison.
Figure 8. Battery current simulation comparison.
Energies 16 01373 g008
Figure 9. Output current simulation curves of battery and supercapacitor.
Figure 9. Output current simulation curves of battery and supercapacitor.
Energies 16 01373 g009
Figure 10. Supercapacitor output current under different energy management policy parameters.
Figure 10. Supercapacitor output current under different energy management policy parameters.
Energies 16 01373 g010
Figure 11. Battery output current under different energy management policy parameters.
Figure 11. Battery output current under different energy management policy parameters.
Energies 16 01373 g011
Table 1. Advantages and disadvantages of energy management strategy of hybrid ships.
Table 1. Advantages and disadvantages of energy management strategy of hybrid ships.
Management StrategyAdvantagesDisadvantages
Certainty rulesSimple, effective, good real-time performanceDependent on experience, not adaptable to actual non-liner systems
Fuzzy rulesSmall computation, good real-time performanceDependent on experience, poor control performance
Global optimizationGlobal optimization solutionDependent on historical data, poor real-time performance
Real-time optimizationGood real-time performance, good optimization solutionDifficult to achieve the global optimal solution
Table 2. Related parameters of the particle swarm optimization algorithm.
Table 2. Related parameters of the particle swarm optimization algorithm.
nC1C2
1001.51.5
Table 3. Parameter optimization results.
Table 3. Parameter optimization results.
Parameter OptimizationOptimization Results
Capacity of battery46.5 A·h
Supercapacitor voltage468 V
Filter time constant T 1 3.9 s
Filter time constant T 2 16.32 s
Disclaimer/Publisher’s Note: The statements, opinions and data contained in all publications are solely those of the individual author(s) and contributor(s) and not of MDPI and/or the editor(s). MDPI and/or the editor(s) disclaim responsibility for any injury to people or property resulting from any ideas, methods, instructions or products referred to in the content.

Share and Cite

MDPI and ACS Style

Peng, X.; Chen, H.; Guan, C. Energy Management Optimization of Fuel Cell Hybrid Ship Based on Particle Swarm Optimization Algorithm. Energies 2023, 16, 1373. https://doi.org/10.3390/en16031373

AMA Style

Peng X, Chen H, Guan C. Energy Management Optimization of Fuel Cell Hybrid Ship Based on Particle Swarm Optimization Algorithm. Energies. 2023; 16(3):1373. https://doi.org/10.3390/en16031373

Chicago/Turabian Style

Peng, Xin, Hui Chen, and Cong Guan. 2023. "Energy Management Optimization of Fuel Cell Hybrid Ship Based on Particle Swarm Optimization Algorithm" Energies 16, no. 3: 1373. https://doi.org/10.3390/en16031373

APA Style

Peng, X., Chen, H., & Guan, C. (2023). Energy Management Optimization of Fuel Cell Hybrid Ship Based on Particle Swarm Optimization Algorithm. Energies, 16(3), 1373. https://doi.org/10.3390/en16031373

Note that from the first issue of 2016, this journal uses article numbers instead of page numbers. See further details here.

Article Metrics

Back to TopTop