Biodiesel from Rapeseed and Sunflower Oil: Effect of the Transesterification Conditions and Oxidation Stability
Abstract
1. Introduction
2. Materials and Methods
2.1. Materials
2.2. Biodiesel Preparation
2.3. Characterization and Quality Evaluation
2.3.1. Kinematic Viscosity
2.3.2. The Higher Heating Value Measurement
2.3.3. Flash Point
2.3.4. Density
2.3.5. Elemental Analysis
2.3.6. Fatty Free Acid Composition of Rapeseed and Sunflower Biodiesel
2.3.7. Oxidation Stability
3. Results and Discussion
3.1. Effect of the Alcohol Type and Molar Ratio on the Transesterification Yield
3.2. Density
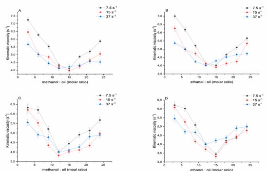
3.3. Kinematic Viscosity
3.4. Higher Heating Value (HHV)
3.5. Flash Point
3.6. Elemental Analysis of Biodiesels and Diesel
3.7. Biodiesel Oxydation Stability and Effect of Stabilizers
4. Conclusions
Author Contributions
Funding
Institutional Review Board Statement
Informed Consent Statement
Data Availability Statement
Conflicts of Interest
References
- Marchetti, J.M. Economics of biodiesel production: Review. Energy Convers. Manag. 2018, 168, 74–84. [Google Scholar]
- Ramos, M.; Dias, A.P.S.; Puna, J.F.; Gomes, J.; Bordado, J.C. Biodiesel production processes and sustainable raw materials. Energies 2019, 12, 4408. [Google Scholar] [CrossRef]
- Mathew, G.M.; Raina, D.; Narisetty, V.; Kumar, V.; Saran, S.; Pugazhendi, A.; Binod, P. Recent advances in biodiesel production: Challenges and solutions. Sci. Total Environ. 2021, 794, 148751. [Google Scholar] [CrossRef] [PubMed]
- Khoobbakht, G.; Kheiralipour, K.; Rasouli, H.; Rafiee, M.; Hadipour, M.; Karimi, M. Experimental exergy analysis of transesterification in biodiesel production. Energy 2020, 196, 117092. [Google Scholar] [CrossRef]
- Ghosh, N.; Halder, G. Current progress and perspective of heterogeneous nanocatalytic transesterification towards biodiesel production from edible and inedible feedstock: A review. Energy Convers. Manag. 2022, 270, 116292. [Google Scholar] [CrossRef]
- Martinez-Silveira, A.; Villarreal, R.; Garmendia, G.; Rufo, C.; Vero, S. Process conditions for a rapid in situ transesterification for biodiesel production from oleaginous yeasts. Electron. J. Biotechnol. 2019, 38, 1–9. [Google Scholar] [CrossRef]
- Moazeni, F.; Chen, Y.C.; Zhang, G. Enzymatic transesterification for biodiesel production from used cooking oil, a review. J. Clean. Prod. 2019, 216, 117–128. [Google Scholar] [CrossRef]
- Zhang, Q.; Zhang, Y.; Deng, T.; Wei, F.; Jin, J.; Ma, P. Sustainable production of biodiesel over heterogeneous acid catalysts. In Biomass Biofuels Biochem; Elsevier: Amsterdam, The Netherlands, 2020; pp. 407–432. [Google Scholar]
- Weih, M.; Hansson, P.A.; Ohlsson, J.A.; Sandgren, M.; Schnürer, A.; Rönnberg-Wästljung, A.C. Sustainable production of willow for biofuel use. In Achieving Carbon Negative Bioenergy Systems from Plant Materials; Burleigh Dodds Science Publishing: Cambridgeshire, UK, 2020; pp. 305–340. [Google Scholar]
- Belousov, A.S.; Esipovich, A.L.; Kanakov, E.A.; Otopkova, K.V. Recent advances in sustainable production and catalytic transformations of fatty acid methyl esters. Sustain. Energy Fuels 2021, 5, 4512–4545. [Google Scholar] [CrossRef]
- Günay, M.E.; Türker, L.; Tapan, N.A. Significant parameters and technological advancements in biodiesel production systems. Fuel 2019, 250, 27–41. [Google Scholar] [CrossRef]
- Gupta, R.; McRoberts, R.; Yu, Z.; Smith, C.; Sloan, W.; You, S. Life cycle assessment of biodiesel production from rapeseed oil: Influence of process parameters and scale. Bioresour. Technol. 2022, 360, 127532. [Google Scholar] [CrossRef]
- Zhang, Y.; You, H. Study on Biodiesel Production from Rapeseed Oil through the Orthogonal Method. Energy Sources Part A Recovery Util. Environ. Eff. 2015, 37, 422–427. [Google Scholar] [CrossRef]
- Thirumarimurugan, M.; Sivakumar, V.M.; Xavier, A.M.; Prabhakaran, D.; Kannadasan, T. Preparation of biodiesel from sunflower oil by transesterification. Int. J. Biosci. Biochem. Bioinform. 2012, 2, 441. [Google Scholar] [CrossRef]
- Mathiyazhagan, M.; Ganapathi, A. Factors affecting biodiesel production. Res. Plant Biol. 2011, 1, 1–5. [Google Scholar]
- Banerjee, A.; Chakraborty, R. Parametric sensitivity in transesterification of waste cooking oil for biodiesel production—A review. Resour. Conserv. Recycl. 2009, 53, 490–497. [Google Scholar] [CrossRef]
- Verma, P.; Sharma, M.P. Review of process parameters for biodiesel production from different feedstocks. Renew. Sustain. Energy Rev. 2016, 62, 1063–1071. [Google Scholar] [CrossRef]
- Musa, I.A. The effects of alcohol to oil molar ratios and the type of alcohol on biodiesel production using transesterification process. Egypt. J. Pet. 2016, 25, 21–31. [Google Scholar] [CrossRef]
- Silva, N.D.L.D.; Maciel, M.R.W.; Batistella, C.B. Optimization of biodiesel production from castor oil. In Twenty-Seventh Symposium on Biotechnology for Fuels and Chemicals; Humana Press: Totowa, NJ, USA, 2006; pp. 405–414. [Google Scholar]
- Rizwanul Fattah, I.M.; Ong, H.C.; Mahlia, T.M.I.; Mofijur, M.; Silitonga, A.S.; Rahman, S.M.; Ahmad, A. State of the art of catalysts for biodiesel production. Front. Energy Res. 2020, 101. [Google Scholar] [CrossRef]
- Kumar, S.; Deswal, V. Optimization at low temperature transesterification biodiesel production from soybean oil methanolysis via response surface methodology. Energy Sources Part A: Recovery Util. Environ. Eff. 2022, 44, 2284–2293. [Google Scholar] [CrossRef]
- Awogbemi, O.; Von Kallon, D.V.; Aigbodion, V.S. Trends in the development and utilization of agricultural wastes as heterogeneous catalyst for biodiesel production. J. Energy Inst. 2021, 98, 244–258. [Google Scholar] [CrossRef]
- Dai, Y.M.; Li, Y.Y.; Chen, B.Y.; Chen, C.C. One-pot synthesis of acid-base bifunctional catalysts for biodiesel production. J. Environ. Manag. 2021, 299, 113592. [Google Scholar] [CrossRef]
- Verevkin, S.P.; Pimerzin, A.A.; Glotov, A.P.; Vutolkina, A.V. Biofuels energetics: Measurements and evaluation of calorific values of triglycerides. Fuel 2022, 326, 125101. [Google Scholar] [CrossRef]
- Bukkarapu, K.R.; Krishnasamy, A. A critical review on available models to predict engine fuel properties of biodiesel. Renew. Sustain. Energy Rev. 2021, 155, 111925. [Google Scholar] [CrossRef]
- Botella, L.; Bimbela, F.; Martín, L.; Arauzo, J.; Sánchez, J.L. Oxidation stability of biodiesel fuels and blends using the Rancimat and PetroOXY methods. Effect of 4-allyl-2, 6-dimethoxyphenol and catechol as biodiesel additives on oxidation stability. Front. Chem. 2014, 2, 43. [Google Scholar] [CrossRef]
- Georgogianni, K.G.; Kontominas, M.G.; Pomonis, P.J.; Avlonitis, D.; Gergis, V. Conventional and in situ transesterification of sunflower seed oil for the production of biodiesel. Fuel Process. Technol. 2008, 89, 503–509. [Google Scholar] [CrossRef]
- Gülüm, M.; Yesilyurt, M.K.; Bilgin, A. The modeling and analysis of transesterification reaction conditions in the selection of optimal biodiesel yield and viscosity. Environ. Sci. Pollut. Res. 2020, 27, 10351–10366. [Google Scholar] [CrossRef] [PubMed]
- Bhatia, S.K.; Bhatia, R.K.; Jeon, J.M.; Pugazhendhi, A.; Awasthi, M.K.; Kumar, D.; Yang, Y.H. An overview on advancements in biobased transesterification methods for biodiesel production: Oil resources, extraction, biocatalysts, and process intensification technologies. Fuel 2021, 285, 119117. [Google Scholar] [CrossRef]
- Bezergianni, S.; Dimitriadis, A.; Kalogianni, A.; Pilavachi, P.A. Hydrotreating of waste cooking oil for biodiesel production. Part I: Effect of temperature on product yields and heteroatom removal. Bioresour. Technol. 2010, 101, 6651–6656. [Google Scholar] [CrossRef]
- Istiningrum, R.B.; Aprianto, T.; Pamungkas, F.L.U. Effect of reaction temperature on biodiesel production from waste cooking oil using lipase as biocatalyst. In AIP Conference Proceedings; AIP Publishing LLC: Melville, NY, USA, 2017; Volume 1911, p. 020031. [Google Scholar]
- Bahadur, N.P.; Boocock, D.G.B.; Konar, S.K. Liquid Hydrocarbons from Catalytic Pyrolysis of Sewage Sludge Lipid and Canola Oil: Evaluation of Fuel Properties. Energy Fuel 1995, 9, 248–256. [Google Scholar] [CrossRef]
- Gülüm, M.; Bilgin, A. Density, Flash Point and Heating Value Variations of Corn Oil Biodiesel—Diesel Fuel Blends. Fuel Process. Technol. 2015, 134, 456–464. [Google Scholar] [CrossRef]
- Dieng, M.T.; Iwanaga, T.; Yurie, Y.C.; Torii, S. Production and characterization of biodiesel from rapeseed oil through optimization of transesterification reaction conditions. J. Energy Power Eng. 2019, 13, 380–391. [Google Scholar]
- Giakoumis, E.G.; Sarakatsanis, C.K. Estimation of biodiesel cetane number, density, kinematic viscosity and heating values from its fatty acid weight composition. Fuel 2018, 222, 574–585. [Google Scholar] [CrossRef]
- Singh, D.; Sharma, D.; Soni, S.L.; Sharma, S.; Sharma, P.K.; Jhalani, A. A review on feedstocks, production processes, and yield for different generations of biodiesel. Fuel 2020, 262, 116553. [Google Scholar] [CrossRef]
- Alviso, D.; Saab, E.; Clevenot, P.; Romano, S.D. Flash point, kinematic viscosity and refractive index: Variations and correlations of biodiesel–diesel blends. J. Braz. Soc. Mech. Sci. Eng. 2020, 42, 1–15. [Google Scholar] [CrossRef]
- Sivaramakrishnan, K.; Ravikumar, P. Determination of higher heating value of biodiesels. Int. J. Eng. Sci. Technol. 2011, 3, 7981–7987. [Google Scholar]
- Wang, Y.T.; Yang, X.X.; Xu, J.; Wang, H.L.; Wang, Z.B.; Zhang, L.; Liang, J.L. Biodiesel production from esterification of oleic acid by a sulfonated magnetic solid acid catalyst. Renew. Energy 2019, 139, 688–695. [Google Scholar] [CrossRef]
- Tang, X.; Niu, S. Preparation of carbon-based solid acid with large surface area to catalyze esterification for biodiesel production. J. Ind. Eng. Chem. 2019, 69, 187–195. [Google Scholar] [CrossRef]
- Rodrigues, J.S.; do Valle, C.P.; Uchoa, A.F.J.; Ramos, D.M.; da Ponte, F.A.F.; de Sousa Rios, M.A.; de Queiroz Malveira, J.; Ricardo, N.M.P.S. Comparative study of synthetic and natural antioxidants on the oxidative stability of biodiesel from Tilapia oil. Renew. Energy 2020, 156, 1100–1106. [Google Scholar] [CrossRef]
- Karishma, S.M.; Rajak, U.; Naik, B.K.; Dasore, A.; Konijeti, R. Performance and emission characteristics assessment of compression ignition engine fuelled with the blends of novel antioxidant catechol-daok biodiesel. Energy 2022, 245, 123304. [Google Scholar] [CrossRef]
- Uğuz, G.; Atabani, A.E.; Mohammed, M.N.; Shobana, S.; Uğuz, S.; Kumar, G.; Ala’a, H. Fuel stability of biodiesel from waste cooking oil: A comparative evaluation with various antioxidants using FT-IR and DSC techniques. Biocatal. Agric. Biotechnol. 2019, 21, 101283. [Google Scholar] [CrossRef]
- Agarwal, S.; Singhal, S.; Singh, M.; Arora, S.; Tanwer, M. Role of antioxidants in enhancing oxidation stability of biodiesels. Sustain. Chem. Eng. 2018, 6, 11036–11049. [Google Scholar] [CrossRef]
- Tang, H.; De Guzman, R.C.; Salley, S.O.; Ng, S.K. The oxidative stability of biodiesel: Effects of FAME composition and antioxidant. Lipid Technol. 2008, 20, 249–252. [Google Scholar] [CrossRef]






| Rapeseed Biodiesel | Sunflower Biodiesel | EN 14214 | |
|---|---|---|---|
| FAME (%) | 90.9 (±1.4) | 95.5 (±1.9) | 96.5 |
| Oleic (18:1) | 61.2 (±0.4) | 29.4 (±0.3) | |
| Linoleic (18:2) | 19.7 (±0.6) | 58.3 (±1.1) | |
| Linolenic (18:3) | 5.1 (±0.1) | 0.8 (±0.3) | |
| Palmitic (16: 0) | 3.3 (±0.1) | 4.9 (±0.1) | |
| Stearic (18:0) | 0.9 (±0.1) | 1.4 (±0.1) | |
| others | 0.7 (±0.1) | 0.6 (±0.1) |
| Element | SB | RB | Diesel |
|---|---|---|---|
| C | 80.3 | 79.9 | 86.6 |
| H | 10.5 | 10.3 | 13.4 |
| O | 8.1 | 8.5 | - |
| N | 1.1 | 1.3 | - |
| C/H | 7.6 | 7.7 | 6.46 |
| Additive Content (% m/m) | PetroOXY (min) | |||
|---|---|---|---|---|
| Sunflower Biodiesel (SB) | - | - | 9.08 | |
| 0.05 (All) | 0.05 (Cat) | 11.03 (All) | 29.57 (Cat) | |
| 0.1 (All) | 0.1 (Cat) | 17.39 (All) | 41.05 (Cat) | |
| 0.3 (All) | 0.3 (Cat) | 28.55 (All) | 58.55 (Cat) | |
| Rapeseed Biodiesel (RB) | - | - | 15.91 | |
| 0.05 (All) | 0.05 (Cat) | 23.19 (All) | 32.58 (Cat) | |
| 0.1 (All) | 0.1 (Cat) | 29.67 (All) | 49.67 (Cat) | |
| 0.3 (All) | 0.3 (Cat) | 41.11 (All) | 59.13 (Cat) | |
Disclaimer/Publisher’s Note: The statements, opinions and data contained in all publications are solely those of the individual author(s) and contributor(s) and not of MDPI and/or the editor(s). MDPI and/or the editor(s) disclaim responsibility for any injury to people or property resulting from any ideas, methods, instructions or products referred to in the content. |
© 2023 by the authors. Licensee MDPI, Basel, Switzerland. This article is an open access article distributed under the terms and conditions of the Creative Commons Attribution (CC BY) license (https://creativecommons.org/licenses/by/4.0/).
Share and Cite
Khan, E.; Ozaltin, K.; Spagnuolo, D.; Bernal-Ballen, A.; Piskunov, M.V.; Di Martino, A. Biodiesel from Rapeseed and Sunflower Oil: Effect of the Transesterification Conditions and Oxidation Stability. Energies 2023, 16, 657. https://doi.org/10.3390/en16020657
Khan E, Ozaltin K, Spagnuolo D, Bernal-Ballen A, Piskunov MV, Di Martino A. Biodiesel from Rapeseed and Sunflower Oil: Effect of the Transesterification Conditions and Oxidation Stability. Energies. 2023; 16(2):657. https://doi.org/10.3390/en16020657
Chicago/Turabian StyleKhan, Elena, Kadir Ozaltin, Damiano Spagnuolo, Andres Bernal-Ballen, Maxim V. Piskunov, and Antonio Di Martino. 2023. "Biodiesel from Rapeseed and Sunflower Oil: Effect of the Transesterification Conditions and Oxidation Stability" Energies 16, no. 2: 657. https://doi.org/10.3390/en16020657
APA StyleKhan, E., Ozaltin, K., Spagnuolo, D., Bernal-Ballen, A., Piskunov, M. V., & Di Martino, A. (2023). Biodiesel from Rapeseed and Sunflower Oil: Effect of the Transesterification Conditions and Oxidation Stability. Energies, 16(2), 657. https://doi.org/10.3390/en16020657

