Hydrous Pyrolysis of Source Rocks with Different Maturity in Dongying Sag, Bohai Bay Basin, China: Implications for Shale Oil Exploration and Development
Abstract
:1. Introduction
2. Samples and Experiments
2.1. Samples
2.2. Hydrous Pyrolysis
2.3. Measurement Methods
2.3.1. Quantification of Hydrocarbons
2.3.2. X-ray Diffraction (XRD) Analysis
3. Results
3.1. Changes in Mineral Composition
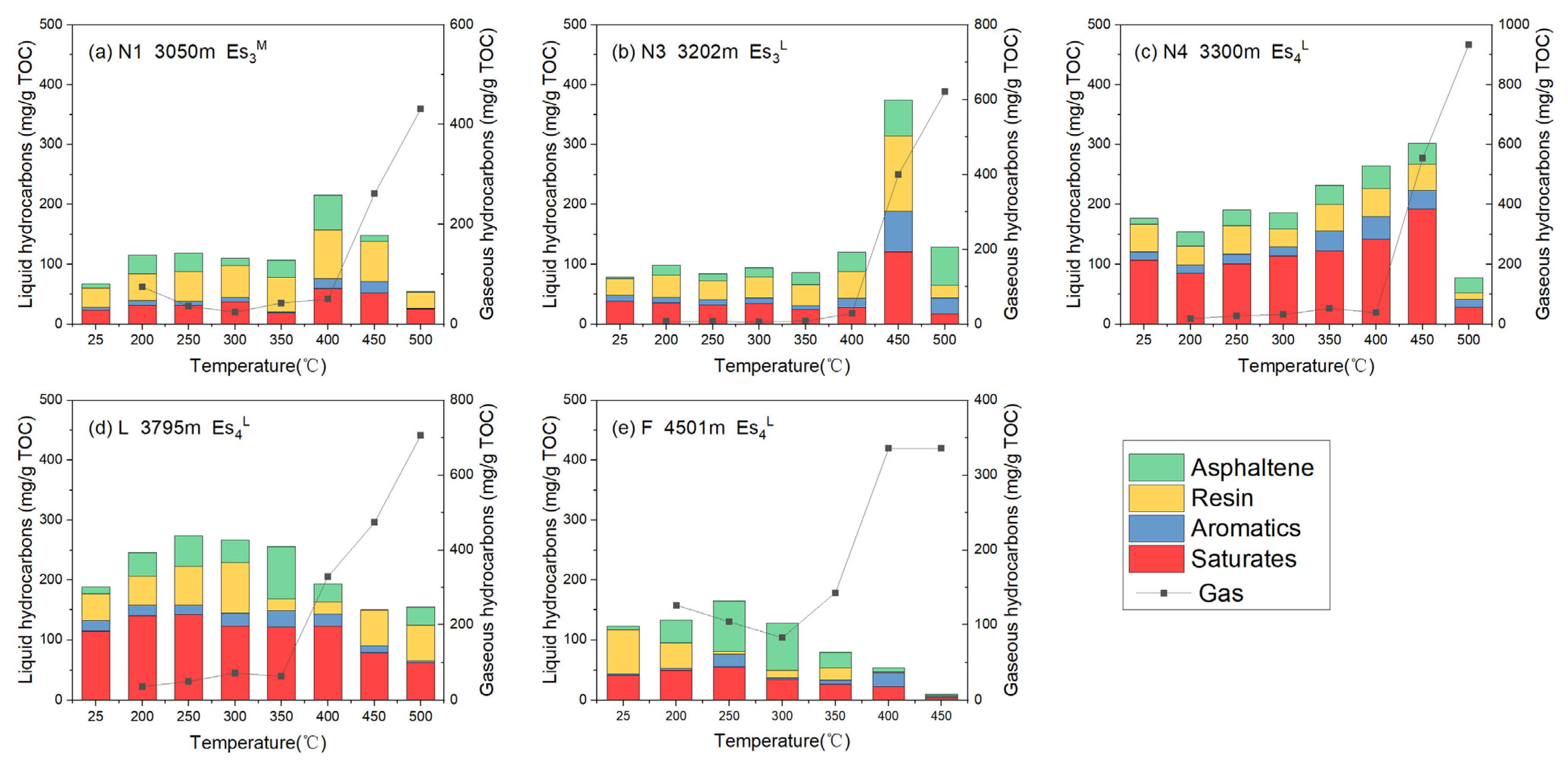
3.2. Changes in Hydrocarbon Products
4. Discussion
4.1. Changes in the Brittleness Index
4.2. Changes in Oil Movability
4.3. Implications for Shale Oil Exploration
5. Conclusions
Author Contributions
Funding
Data Availability Statement
Acknowledgments
Conflicts of Interest
References
- Zou, C.N.; Yang, Z.; Cui, J.W.; Zhu, R.K.; Hou, L.H.; Tao, S.Z.; Yuan, X.J.; Wu, S.T.; Lin, S.H.; Wang, L.; et al. Formation mechanism, geological characteristics and development strategy of nonmarine shale oil in China. Pet. Explor. Dev. 2013, 40, 15–27. [Google Scholar]
- Yu, K.; Shao, C.; Ju, Y.; Qu, Z. The genesis and controlling factors of micropore volume in transitional coal-bearing shale reservoirs under different sedimentary environments. Mar. Pet. Geol. 2019, 102, 426–438. [Google Scholar]
- Zhu, X.; Cai, J.; Liu, W.; Lu, X. Occurrence of stable and mobile organic matter in the clay-sized fraction of shale: Significance for petroleum geology and carbon cycle. Int. J. Coal Geol. 2016, 160–161, 1–10. [Google Scholar]
- Jarvie, D.M. Shale resource systems for oil and gas: Part 2: Shale-oil resource systems. In Shale Reservoirs-Giant Resources for the 21st Century; AAPG Memoir: Tulsa, OK, USA, 2012; pp. 89–119. [Google Scholar]
- Zhao, W.; Bian, C.; Li, Y.; Zhang, J.; He, K.; Liu, W.; Zhang, B.; Lei, Z.; Liu, C.; Zhang, J.; et al. Enrichment factors of movable hydrocarbons in lacustrine shale oil and exploration potential of shale oil in Gulong Sag, Songliao Basin, NE China. Pet. Explor. Dev. 2023, 50, 520–533. [Google Scholar]
- Pang, X.; Li, M.; Li, B.; Wang, T.; Hui, S.; Liu, Y.; Liu, G.; Hu, T.; Xu, T.; Jiang, F.; et al. Main controlling factors and movability evaluation of continental shale oil. Earth-Sci. Rev. 2023, 243, 104472. [Google Scholar]
- Kleber, M.; Eusterhues, K.; Keiluweit, M.; Mikutta, C.; Mikutta, R.; Nico, P.S. Mineral–Organic Associations: Formation, Properties, and Relevance in Soil Environments. Adv. Agron. 2015, 130, 1–140. [Google Scholar]
- Kleber, M.; Bourg, I.C.; Coward, E.K.; Hansel, C.M.; Myneni, S.C.B.; Nunan, N. Dynamic interactions at the mineral–organic matter interface. Nat. Rev. Earth Environ. 2021, 2, 402–421. [Google Scholar]
- Li, Z.; Zou, Y.-R.; Xu, X.-Y.; Sun, J.-N.; Li, M.; Peng, P.A. Adsorption of mudstone source rock for shale oil—Experiments, model and a case study. Org. Geochem. 2016, 92, 55–62. [Google Scholar]
- Bibi, I.; Icenhower, J.; Niazi, N.K.; Naz, T.; Shahid, M.; Bashir, S. Clay Minerals: Structure, Chemistry, and Significance in Contaminated Environments and Geological CO2 Sequestration. In Environmental Materials and Waste; Elsevier: Amsterdam, The Netherlands, 2016; pp. 543–567. [Google Scholar]
- Xiong, Z.; Wang, G.; Cao, Y.; Liang, C.; Li, M.; Shi, X.; Zhang, B.; Li, J.; Fu, Y. Controlling effect of texture on fracability in lacustrine fine-grained sedimentary rocks. Mar. Pet. Geol. 2019, 101, 195–210. [Google Scholar]
- Ma, C.; Dong, C.; Lin, C.; Elsworth, D.; Luan, G.; Sun, X.; Liu, X. Influencing factors and fracability of lacustrine shale oil reservoirs. Mar. Pet. Geol. 2019, 110, 463–471. [Google Scholar]
- Kumar, S.; Das, S.; Bastia, R.; Ojha, K. Mineralogical and morphological characterization of Older Cambay Shale from North Cambay Basin, India: Implication for shale oil/gas development. Mar. Pet. Geol. 2018, 97, 339–354. [Google Scholar] [CrossRef]
- Wang, M.; Ma, R.; Li, J.; Lu, S.; Li, C.; Guo, Z.; Li, Z. Occurrence mechanism of lacustrine shale oil in the Paleogene Shahejie Formation of Jiyang Depression, Bohai Bay Basin, China. Pet. Explor. Dev. 2019, 46, 833–846. [Google Scholar]
- Li, X.; Bai, Y.; Sui, H.; He, L. Understanding desorption of oil fractions from mineral surfaces. Fuel 2018, 232, 257–266. [Google Scholar] [CrossRef]
- Xu, L.; Yang, K.; Wei, H.; Liu, L.; Li, X.; Chen, L.; Xu, T.; Wang, X. Diagenetic evolution sequence and pore evolution model of Mesoproterozoic Xiamaling organic-rich shale in Zhangjiakou, Hebei, based on pyrolysis simulation experiments. Mar. Pet. Geol. 2021, 132, 105233. [Google Scholar]
- Du, J.; Cai, J.; Lei, T.; Li, Y. Diversified roles of mineral transformation in controlling hydrocarbon generation process, mechanism, and pattern. Geosci. Front. 2021, 12, 725–736. [Google Scholar] [CrossRef]
- Li, Q.; Chen, F.; Wu, S.; Zhang, L.; Wang, Y.; Xu, S. A simple and effective evaluation method for lacustrine shale oil based on mass balance calculation of Rock-Eval data. Appl. Geochem. 2022, 140, 105287. [Google Scholar]
- Su, S.; Jiang, Z.; Gao, Z.; Ning, C.; Wang, Z.; Li, Z.; Zhu, R. A new method for continental shale oil enrichment evaluation. Interpretation 2017, 5, T209–T217. [Google Scholar]
- Li, J.; Jiang, C.; Wang, M.; Lu, S.; Chen, Z.; Chen, G.; Li, J.; Li, Z.; Lu, S. Adsorbed and free hydrocarbons in unconventional shale reservoir: A new insight from NMR T1-T2 maps. Mar. Pet. Geol. 2020, 116, 104311. [Google Scholar] [CrossRef]
- Tissot, B.P.; Welte, D.H. Petroleum Formation and Occurrence; Springer: Berlin/Heidelberg, Germany, 1984. [Google Scholar]
- Lewan, M.D.; Winters, J.C.; McDonald, J.H. Generation of Oil-Like Pyrolyzates from Organic-Rich Shales. Science 1979, 203, 897–899. [Google Scholar] [CrossRef] [PubMed]
- Lewan, M.D. Experiments on the role of water in petroleum formation. Geochim. Cosmochim. Acta 1997, 61, 3691–3723. [Google Scholar]
- Spigolon, A.L.D.; Lewan, M.D.; Penteado, H.L.d.B.; Coutinho, L.F.C.; Filho, J.G.M. Evaluation of the petroleum composition and quality with increasing thermal maturity as simulated by hydrous pyrolysis: A case study using a Brazilian source rock with Type I kerogen. Org. Geochem. 2015, 83–84, 27–53. [Google Scholar] [CrossRef]
- Lewan, M.D.; Dolan, M.P.; Curtis, J.B. Effects of smectite on the oil-expulsion efficiency of the Kreyenhagen Shale, San Joaquin Basin, California, based on hydrous-pyrolysis experiments. AAPG Bull. 2014, 98, 1091–1109. [Google Scholar] [CrossRef]
- Lewan, M.D.; Roy, S. Role of water in hydrocarbon generation from Type-I kerogen in Mahogany oil shale of the Green River Formation. Org. Geochem. 2011, 42, 31–41. [Google Scholar] [CrossRef]
- Lewan, M.D.; Ruble, T.E. Comparison of petroleum generation kinetics by isothermal hydrous and nonisothermal open-system pyrolysis. Org. Geochem. 2002, 33, 1457–1475. [Google Scholar] [CrossRef]
- Burdelnaya, N.S.; Bushnev, D.A.; Mokeev, M.V. Changes in the composition of bitumen extracts and chemical structure of kerogen during hydrous pyrolysis. Geochem. Int. 2013, 51, 738–750. [Google Scholar] [CrossRef]
- Liang, M.; Wang, Z.; Zheng, J.; Li, X.; Wang, X.; Gao, Z.; Luo, H.; Li, Z.; Qian, Y. Hydrous pyrolysis of different kerogen types of source rock at high temperature-bulk results and biomarkers. J. Pet. Sci. Eng. 2015, 125, 209–217. [Google Scholar] [CrossRef]
- Wu, L.; Fang, X.; Ji, S.; Geng, A. Thermal alteration of biomarkers in the presence of elemental sulfur and sulfur-bearing minerals during hydrous and anhydrous pyrolysis. Org. Geochem. 2018, 123, 74–89. [Google Scholar] [CrossRef]
- Peters, K.E.; Moldowan, J.M.; Sundararaman, P. Effects of hydrous pyrolysis on biomarker thermal maturity parameters: Monterey Phosphatic and Siliceous members. Org. Geochem. 1990, 15, 249–265. [Google Scholar] [CrossRef]
- Chen, X.; Liu, Q.; Meng, Q.; Zhu, D.; Liu, W.; Fu, Q. Assessing effects of sulfate minerals on petroleum generation in sedimentary basins using hydrous pyrolysis: I. Light alkanes. Mar. Pet. Geol. 2019, 110, 737–746. [Google Scholar] [CrossRef]
- Kotarba, M.J.; Lewan, M.D. Sources of natural gases in Middle Cambrian reservoirs in Polish and Lithuanian Baltic Basin as determined by stable isotopes and hydrous pyrolysis of Lower Palaeozoic source rocks. Chem. Geol. 2013, 345, 62–76. [Google Scholar] [CrossRef]
- Mills, M.M.; Sanchez, A.C.; Boisvert, L.; Payne, C.B.; Ho, T.A.; Wang, Y. Understanding smectite to illite transformation at elevated (>100 °C) temperature: Effects of liquid/solid ratio, interlayer cation, solution chemistry and reaction time. Chem. Geol. 2023, 615, 121214. [Google Scholar] [CrossRef]
- Ferrage, E.; Vidal, O.; Mosser-Ruck, R.; Cathelineau, M.; Cuadros, J. A reinvestigation of smectite illitization in experimental hydrothermal conditions: Results from X-ray diffraction and transmission electron microscopy. Am. Mineral. 2011, 96, 207–223. [Google Scholar] [CrossRef]
- Eberl, D.; Hower, J. The hydrothermal transformation of sodium and potassium smectite into mixed-layer clay. Clays Clay Miner. 1977, 25, 215–227. [Google Scholar] [CrossRef]
- Yuan, G.-H.; Jin, Z.-H.; Cao, Y.-C.; Liu, K.-Y.; Gluyas, J.; Wang, Y.-Z.; Xi, K.-L. Evolution of nC16H34-water–mineral systems in thermal capsules and geological implications for deeply-buried hydrocarbon reservoirs. Geosci. Front. 2022, 13, 101322. [Google Scholar] [CrossRef]
- Yuan, G.; Cao, Y.; Zan, N.; Schulz, H.-M.; Gluyas, J.; Hao, F.; Jin, Q.; Liu, K.; Wang, Y.; Chen, Z.; et al. Coupled mineral alteration and oil degradation in thermal oil-water-feldspar systems and implications for organic-inorganic interactions in hydrocarbon reservoirs. Geochim. Cosmochim. Acta 2019, 248, 61–87. [Google Scholar] [CrossRef]
- Liu, K.; Safaei-Farouji, M.; Gao, Y.; Gentzis, T.; Liu, B.; Morta, H.B.; Ostadhassan, M. Physico-chemical variations of shale with artificial maturation: In the presence and absence of water. Geoenergy Sci. Eng. 2023, 225, 211675. [Google Scholar] [CrossRef]
- Subbotina, M.; Mukhina, E.; Karamov, T.; Popov, E.; Kozlova, E.; Morkovkin, A.; Mukhametdinova, A.; Prochukhan, K.; Cheremisin, A. Evolution of reservoir properties of oil shale rocks under hydro-thermal treatment: Investigations from micro- to macro-scale. Geoenergy Sci. Eng. 2023, 228, 211972. [Google Scholar] [CrossRef]
- Ma, W.; Hou, L.; Luo, X.; Tao, S.; Guan, P.; Liu, J.; Lin, S. Role of bitumen and NSOs during the decomposition process of a lacustrine Type-II kerogen in semi-open pyrolysis system. Fuel 2020, 259, 116211. [Google Scholar] [CrossRef]
- Cai, J.; Du, J.; Chen, Z.; Lei, T.; Zhu, X. Hydrothermal experiments reveal the influence of organic matter on smectite illitization. Clays Clay Miner. 2018, 66, 28–42. [Google Scholar] [CrossRef]
- Ding, W.; Li, C.; Li, C.; Xu, C.; Jiu, K.; Zeng, W. Dominant factor of fracture development in shale and its relationship to gas accumulation. Earth Sci. Front. 2012, 19, 212–220. [Google Scholar]
- Du, J.; Cai, J.; Long, S.; Gao, B.; Feng, D.; Peng, Z.; Zeng, X. The Control of Diagenesis and Mineral Assemblages on Brittleness of Mudstones. Front. Earth Sci. 2021, 9, 758046. [Google Scholar] [CrossRef]
- Gale, J.F.W.; Laubach, S.E.; Olson, J.E.; Eichhuble, P.; Fall, A. Natural Fractures in shale: A review and new observations. AAPG Bull. 2014, 98, 2165–2216. [Google Scholar] [CrossRef]
- Brigatti, M.F.; Galán, E.; Theng, B.K.G. Structure and Mineralogy of Clay Minerals. In Handbook of Clay Science; Elsevier: Amsterdam, The Netherlands, 2013; pp. 21–81. [Google Scholar]
- Ola, P.S.; Aidi, A.K.; Bankole, O.M. Clay mineral diagenesis and source rock assessment in the Bornu Basin, Nigeria: Implications for thermal maturity and source rock potential. Mar. Pet. Geol. 2018, 89, 653–664. [Google Scholar] [CrossRef]
- Van De Kamp, P.C. Smectite-illite-muscovite transformations, quartz dissolution, and silica release in shales. Clays Clay Miner. 2008, 56, 66–81. [Google Scholar] [CrossRef]
- Berthonneau, J.; Grauby, O.; Abuhaikal, M.; Pellenq, R.J.-M.; Ulm, F.J.; Damme, H.V. Evolution of organo-clay composites with respect to thermal maturity in type II organic-rich source rocks. Geochim. Cosmochim. Acta 2016, 195, 68–83. [Google Scholar] [CrossRef]
- Kennedy, M.J.; Wagner, T. Clay mineral continental amplifier for marine carbon sequestration in a greenhouse ocean. Proc. Natl. Acad. Sci. USA 2011, 108, 9776–9781. [Google Scholar] [CrossRef]
- Cai, C.; Cai, J.; Du, J.; Lei, T.; Wang, X.; Li, Z. Multistage Hydrocarbon Generation of Saline Lacustrine Source Rocks in Hydrous Pyrolysis: Insights from Clay Mineral–Organic Matter Interactions. ACS Omega 2023, 8, 14710–14729. [Google Scholar] [CrossRef]
- Galwey, A. Some chemical and mechanistic aspects of petroleum formation. Trans. R. Soc. S. Afr. 2015, 70, 9–24. [Google Scholar] [CrossRef]
- Szymański, W.; Drewnik, M.; Stolarczyk, M.; Musielok, Ł.; Gus-Stolarczyk, M.; Skiba, M. Occurrence and stability of organic intercalation in clay minerals from permafrost-affected soils in the High Arctic—A case study from Spitsbergen (Svalbard). Geoderma 2022, 408, 115591. [Google Scholar] [CrossRef]







| Sample | Depth(m) | Formation | Lithology | TOC (%) | Tmax (°C) | S1 (mg/g) | S2 (mg/g) | HI (mg/g TOC) | OI (mg/g TOC) | Ro (%) |
|---|---|---|---|---|---|---|---|---|---|---|
| N1 | 3050 | Es3M | Mudstone | 2.20 | 437 | 0.44 | 11.30 | 514 | 17 | 0.77 |
| N3 | 3202 | Es3L | Mudstone | 10.21 | 443 | 4.55 | 76.71 | 751 | 6 | 0.81 |
| N4 | 3300 | Es4U | Mudstone | 2.30 | 441 | 1.87 | 12.42 | 540 | 29 | 0.84 |
| L | 3795 | Es4U | Mudstone | 1.61 | 439 | 1.45 | 5.39 | 335 | 40 | 1.01 |
| F | 4501 | Es4U | Mudstone | 0.48 | 413 | 0.31 | 0.34 | 71 | 146 | 1.32 |
| Sample | Bulk Mineralogy | Clay Mineralogy | ||||||||
|---|---|---|---|---|---|---|---|---|---|---|
| Clay (%) | Quartz (%) | Plagioclase (%) | Calcite (%) | Ankerite (%) | Pyrite (%) | I-Sm 1 (%) | Illite (%) | Kaolinite (%) | Chlorite (%) | |
| N1 | 42.31 | 25.22 | 6.89 | 21.55 | 0.91 | 3.12 | 73.82 | 19.42 | 4.31 | 2.45 |
| N3 | 31.67 | 16.02 | 6.63 | 38.76 | 1.28 | 5.64 | 46.84 | 46.79 | 3.84 | 2.54 |
| N4 | 14.00 | 23.44 | 5.81 | 47.71 | 6.69 | 2.35 | 32.00 | 66.00 | 1.00 | 1.00 |
| L | 34.80 | 19.15 | 9.93 | 21.86 | 9.82 | 4.44 | 43.00 | 57.00 | 0.00 | 0.00 |
| F | 36.37 | 25.39 | 23.35 | 7.52 | 3.87 | 3.50 | 2.00 | 81.00 | 4.00 | 13.00 |
| Main Ions | Formation | K+ | Na+ | Ca2+ | Mg2+ | Cl− | SO42− | HCO3− | Salinity |
|---|---|---|---|---|---|---|---|---|---|
| Concentration (g/L) | Es3 | 4.36 | 14.54 | 3.13 | 0.38 | 32.04 | 0.45 | 1.15 | 56.05 |
| Es4 | 27.00 | 2.14 | 5.22 | 0.61 | 37.76 | 0.91 | 0.80 | 74.44 |
Disclaimer/Publisher’s Note: The statements, opinions and data contained in all publications are solely those of the individual author(s) and contributor(s) and not of MDPI and/or the editor(s). MDPI and/or the editor(s) disclaim responsibility for any injury to people or property resulting from any ideas, methods, instructions or products referred to in the content. |
© 2023 by the authors. Licensee MDPI, Basel, Switzerland. This article is an open access article distributed under the terms and conditions of the Creative Commons Attribution (CC BY) license (https://creativecommons.org/licenses/by/4.0/).
Share and Cite
Cai, J.; Cai, C.; Lu, L.; Jiang, Q.; Ma, X.; He, J. Hydrous Pyrolysis of Source Rocks with Different Maturity in Dongying Sag, Bohai Bay Basin, China: Implications for Shale Oil Exploration and Development. Energies 2023, 16, 6219. https://doi.org/10.3390/en16176219
Cai J, Cai C, Lu L, Jiang Q, Ma X, He J. Hydrous Pyrolysis of Source Rocks with Different Maturity in Dongying Sag, Bohai Bay Basin, China: Implications for Shale Oil Exploration and Development. Energies. 2023; 16(17):6219. https://doi.org/10.3390/en16176219
Chicago/Turabian StyleCai, Jingong, Chuan Cai, Longfei Lu, Qigui Jiang, Xiaoxiao Ma, and Jinyi He. 2023. "Hydrous Pyrolysis of Source Rocks with Different Maturity in Dongying Sag, Bohai Bay Basin, China: Implications for Shale Oil Exploration and Development" Energies 16, no. 17: 6219. https://doi.org/10.3390/en16176219
APA StyleCai, J., Cai, C., Lu, L., Jiang, Q., Ma, X., & He, J. (2023). Hydrous Pyrolysis of Source Rocks with Different Maturity in Dongying Sag, Bohai Bay Basin, China: Implications for Shale Oil Exploration and Development. Energies, 16(17), 6219. https://doi.org/10.3390/en16176219
