Next Article in Journal
DSVM-Based Model-Free Predictive Current Control of an Induction Motor
Next Article in Special Issue
Experimental Study on Wind Turbine Airfoil Trailing Edge Noise Reduction Using Wavy Leading Edges
Previous Article in Journal
A Novel Twin Support Vector Regression Model for Wind Speed Time-Series Interval Prediction
 
 
Font Type:
Arial Georgia Verdana
Font Size:
Aa Aa Aa
Line Spacing:
Column Width:
Background:
Article

Nonlinear Stochastic Adaptive Control for DFIG-Based Wind Generation System

College of Automation Engineering, Nanjing University of Aeronautics and Astronautics, Nanjing 211106, China
*
Author to whom correspondence should be addressed.
Energies 2023, 16(15), 5654; https://doi.org/10.3390/en16155654
Submission received: 27 June 2023 / Revised: 20 July 2023 / Accepted: 25 July 2023 / Published: 27 July 2023
(This article belongs to the Special Issue Advanced Research and Methods of Noise Control for Wind Turbine)

Abstract

The aim of this paper is to extract the maximum power from wind energy for the doubly fed induction generator based wind turbine system (DFIG-WT) under the continuous stochastic perturbations of wind speed. The DFIG-WT is modeled as the Itô stochastic differential equations. The stochastic backstepping control method and the gain suppressing inequality technique are employed to guarantee that the relative rotor speed to the optimal value is bounded in probability. Furthermore, we extend the bounded result to the asymptotic stability of the rotor speed control loop. In addition, the parametric uncertainties in DFIG-WT are also considered in our control synthesis. The simplicity, robustness and efficiency of the designed controller are verified under the special wind speed with white noise by the numerical simulation of a 660 KW DFIG-WT.

1. Introduction

Energy is a critical factor in industrial growth; however, its development has led to increased greenhouse gas emissions and the production of hazardous and radioactive waste. As a result, the reserve of petroleum, a major energy source, is continuously decreasing, and energy demand will soon exceed supply. Nuclear energy, another significant source for industrial development, is not available to all countries due to expensive installation and political reasons, and it poses ecological risks. Therefore, the industrial sector must shift towards renewable energy sources for several reasons. One of the main advantages of renewable energy sources is that they do not emit greenhouse gases and do not produce toxic or radioactive waste.
Among these energy sources, wind energy is one of the fastest growing ones for electricity production worldwide, and DFIG-WT has become a popular wind power generation system due to its high energy conversion efficiency from variable speed operation and relatively low cost of power electronic converter. The performance of the DFIG-WT depends on the control systems applied on both the turbine and generator sides, which are typically designed using a cascade structure that includes a fast inner loop for power control of the doubly fed induction generator (DFIG) and a slow outer loop for speed control of the drivetrain. Below the rated wind speed, the critical control task is to maximize the captured wind energy through variable speed operation. This requires the DFIG-WT to be fully controllable and operated at an optimal rotor speed according to the stochastic wind speed.
Over the past decade, there has been extensive research on the modeling and control of DFIG-WT. This system has strong nonlinearities due to the aerodynamics of wind turbines, the coupled dynamics of the DFIG and wide operation in the stochastic wind speed. Direct power control (DPC) of DFIG-WT systems has been proposed in [1,2] and developed in [3,4]. An adaptive compensation control with quasi-synchronous rectification algorithm is first proposed to track maximum power in [5]. Furthermore, in [6], Xiong, LY proposes a novel sliding mode control technique for DFIGs based on the fast exponential reaching law to track active/reactive power. Model predictive control is developed for the rotor-side converter (RSC) in [7]. Predictive rotor current control is developed under unbalanced and distorted grid conditions in [8] to control the output active/reactive power robustly. Fariba Fateh [9] utilizes feedback linearization to assume that the power capture coefficient and the desired rotor speed are instantaneously identified for tracking maximum power. However, all the above articles study deterministic systems. Several researchers study stochastic systems in which DFIG-WT is affected by the stochastic wind, such as in reference [10], who combine the conventional optimal torque control algorithm with the Fokker–Planck–Kolmogorov equation solved by the linear least square method to make the PDF shape of the rotor speed track the desired PDF shape as accurately as possible. Additionally, the work in [11] presents a new stochastic predictive control approach for variable-speed wind turbines to capture maximum power under the rated wind speed.
In the literature, several works have focused on the wind control problem using backstepping control. For example, backstepping-based direct power control is used to regulate output power under harmonic grid voltage in [12]. In addition, reference [13] proposes enhanced low-voltage ride through nonlinear backstepping control of DFIG-based wind turbines in stiff grid conditions. Moreover, Mechter [14] designs a backstepping controller in the presence of uncertainty based on fuzzy logic theory to extract optimal power for low wind speed. Furthermore, reference [15] develops an adaptive backstepping approach in DFIG-WT for nonlinear robust control of active and reactive power and utilizes FPGA to implement the effectiveness and the benefit of the proposed controller. However, the backstepping method in stochastic systems for asymptotic control is not investigated in DFIG-WT. On one hand, it is difficult to implement backstepping from deterministic systems to stochastic systems for their second-order differential term in the Itô formula, and the inequality technique is indispensable to avoid the control singularity. On the other hand, nonzero constants are definitively introduced into the Lyapunov analysis, while most of the literature can only achieve the boundness of state in probability. Reference [16] develops a novel gain suppressing inequality technique to realize the boundness in probability of involved signals and utilizes fuzzy logic to assure asymptotically stability in probability.
All the papers mentioned above and many others in the literature have not discussed the tracking of the maximum output power by tip slip ratio method in nonlinear stochastic backstepping control with the impact of parameter variations of DFIG-WT. This paper proposes adaptive nonlinear stochastic backstepping control based on the gain suppressing theorem of wind turbines for maximum power point tracking (MPPT).
The remainder of this paper is organized as follows. In Section 2, the Itô stochastic differential equation model of DFIG-WT is constructed; meanwhile, the problem formulation is stated. The preliminaries needed in this paper are stated in Section 3. The equivalent model and nonlinear stochastic backstepping control of DFIG are designed in Section 4 to asymptotically track the maximum output power, and stability proof is presented. A simulation study is carried out in Section 5 to validate the robustness of the proposed controller. Finally, the conclusion is provided in Section 6.

2. DFIG-Based Wind Generation System Modeling and Problem Formulations

The schematic diagram of the DFIG-based wind generation system is shown in Figure 1. The whole system has two main components: (i) The wind turbine contains the drivetrain system and the gearbox. (ii) The DFIG is directly connected to the alternating current (AC) grid by the stator, while the rotor is fed through a four-quadrant AC-to-AC converter.

2.1. DFIG Model

In general, it is acceptable to employ the DFIG model defined in the dq frame with fixed stator flux for the transient stability analysis [17]. Furthermore, the dynamical equations with the electromagnetic torque expression are presented as follows [18]:
d i r d d t = R r σ i r d + ( ω 0 ω r ) i r q + u r d σ ,
d i r q d t = R r σ i r q ( ω 0 ω r ) i r d + u r q σ ( ω 0 ω r ) V s L m σ ω 0 L s ,
T e = L m V s L s ω 0 i r q , P s = 3 L m 2 L s V s i r q , Q s = 3 L m 2 L s V s i r d + 3 V s 2 2 L s ω 0 ,
where the rotor currents,  i q r  and  i d r , are controlled by the rotor-side converter  u r d u r q . Constant  σ = L r L m 2 / L s R r  is rotor resistance and  ω r  is rotor speed.
Remark 1.
In the above model, the AC bus frequency  ω 0  and voltage  V s  are considered to be constant [9], the q-axis is aligned with the stator flux and the stator resistance is neglected.

2.2. Wind Turbine Model

The mechanical motion equation for the wind turbine connected with the DFIG is described as [19]
d ω r d t = N n p J ( T m T e ) ,
where N is the gearbox ratio defined as the ratio between the rotational speeds of the low-speed shaft  ω m c  and high-speed shaft  ω r n p  is the number of poles, J is the equivalent lumped mass moment of inertia of the blades, rotor shaft and drivetrain, and  T e  is the electrical torque provided by the generator. Hence, one can obtain the relationship  ω r = N n p ω m c .
Next, the aerodynamic power  P m  captured by the wind turbine is given by
P m = 1 2 π R 2 ρ C p ( λ , β ) V w 3 ,
where R is the blade radius in meter,  ρ  is the air density,  V w  is wind speed and  C p  is the power coefficient.  C p  depends on the tip speed radio  λ  and the pitch angle  β . In this paper, we consider that the wind turbine operates in the subrated speed range; thus,  β  is set to be constant, i.e.,  β = 0 . Further, the tip speed ratio  λ  satisfies
λ = R ω m c V w .
Based on (5) and (6), we obtain the mechanical torque expression as
T m = P m ω m c = π R 3 ρ 2 C p λ V w 2 = π R 3 ρ 2 C q V w 2 ,
where  C q  is given by
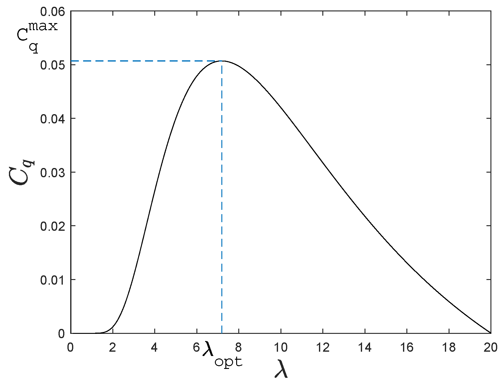
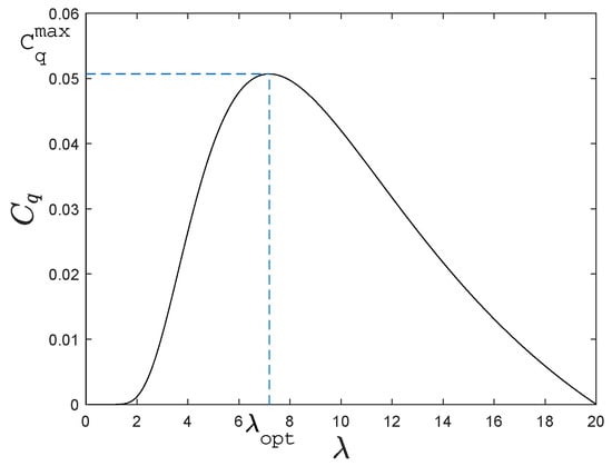
C q λ = 0.44 λ 130 1 λ 0.0312 5 e 21 1 λ 0.8 .
Further, the  C q λ  characteristic is described in Figure 2. This figure indicates that there is one specific  λ  on which the wind turbine operates most efficiently, and  C q  is the maximum. Generally, a variable-speed wind turbine imposes the  C q m a x = 0.0507  to capture the maximum torque by varying the rotor speed to keep the system operating on optimal tip speed ratio  λ o p t = 7.19 .
Subsequently, the desired optimal rotor speed  ω r *  can be calculated using (6) in the sense of  λ o p t :
ω r * = N n p λ o p t V ¯ w R ,
and our control objective is to regulate the rotor speed  ω r  to the optimal value  ω r *  to extract the maximum wind power.
Remark 2.
Since it is difficult to measure the actual wind speed accurately, and there exists the shock phenomenon of the input mechanical torque of the wind turbine when the wind speed changes rapidly, we utilize the mean wind speed, i.e.,  V ¯ w , to replace the actual one in (9).

Equivalent Itô Form of (4)

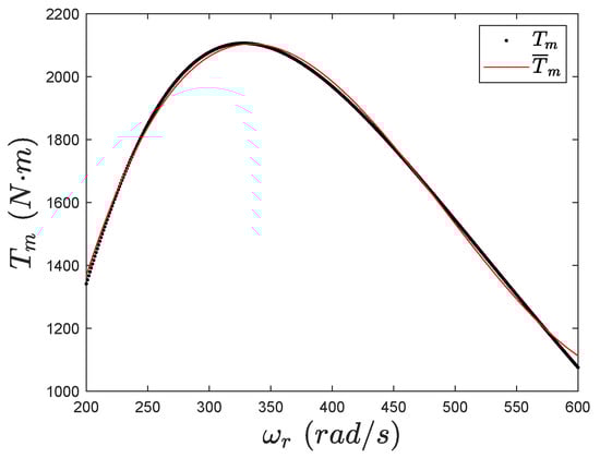
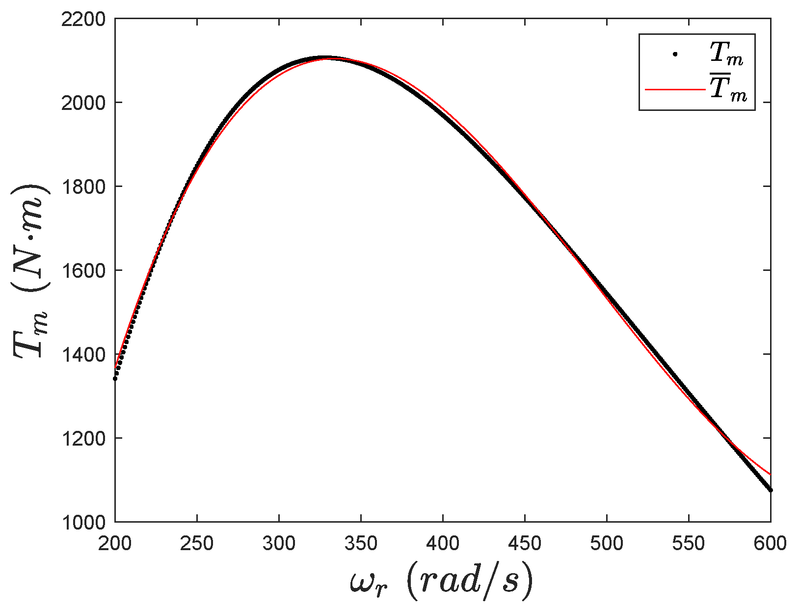
According to (6)–(8), we find that the mechanical torque  T m  is a nonlinear function of  ω r  and  V w . Thus, for a specific wind speed such as  V w = 15  m/s, one can utilize the following second-order polynomial to approximate the  T m ω r  mapping in the subrated speed range:
T ¯ m ( ω r ) = a ω r 2 + b ω r + c ,
where  a = 0.02372 b = 2.104 c = 50.61 ; see Figure 3 for the fitting performance.
As depicted in [20,21], one can equivalently transform the mechanical torque shown in (7) into the following form:
T m ( ω r , V w ) = T ¯ m ( ω r ) + Δ T m ,
where  T ¯ m  represents the torque with low fluctuations, and it is obtained by supposing that the wind speed equals its mean value  V ¯ w , the term  Δ T m  models the fitting error in Figure 3 and the influences of the stochastic fluctuations of wind speed that vary around its mean value, namely  Δ V w , which is often modeled by white noise [22]. Furthermore, this mechanical torque uncertainty is described as
Δ T m = k 0 h ( ω r ω r * ) W ( t ) ,
in which  h ( ω r ω r * )  represents the noise intensity function of the rotor speed, and it is thrice differentiable and passes through the origin,  k 0  is gain of the function  h ( ω r ω r * ) , and  W ( t )  is the white noise whose correlation function is  E W ( t ) W ( t + τ ) = 2 π K δ ( τ ) , with K as the intensity of the white noise.
Based on (3) and (10)–(12), the wind turbine dynamical Equation (4) is equivalently transformed into the following form:
d ω r d t = N n p J a ω r 2 + b ω r + c + L m V s L s ω s i r q + N n p J k 0 h ( ω r ω r * ) W ( t ) .
By applying the Itô differential law and considering the relationship between white noise and the wiener process [23], wind turbine system (13) is further transformed into the Itô stochastic differential equation as follows:
d ω r = N n p J a ω r 2 + b ω r + c + L m V s L s ω s i r q + N n p J 2 π K k 0 2 h ( ω r ω r * ) h ( ω r ω r * ) ω r d t + N n p J 2 π K k 0 h ( ω r ω r * ) d B ,
where B is a wiener process.
As such, the overall DFIG-based wind generation system model is represented by (1), (2) and (14).

2.3. Problem Statement

Generally, the values of the DFIG generator parameter such as the rotor resistance, the rotor inductance, the stator inductance and the mutual inductance can not be acquired explicitly, because these parameters are not always constant under various complex operating conditions, and also, there exist relative measurement errors in the parametric identification process. Meanwhile, although the fitting error shown in Figure 3 is small and has been modeled in (12), it is appropriate to consider the parameters  a , b , c  in (10) as the unknown ones, because the mean value  V ¯ w , which is used to identify the values of  a , b , c , reflects the trend of the wind speed and may vary slowly with respective to the timescale of transient stability analysis. Hence, seven parameters  a , b , c , R r , L s , L r , L m  are viewed as unknown constants in this paper.
Furthermore, due to the inherent characteristic of the randomness of the wind speed, there exists a certain shock phenomenon for the input mechanical torque of the wind turbine, which is modeled as the wiener process in (14). As shown in Figure 4, in order to extract the maximum energy constantly from the stochastic wind that causes the DFIG rotor speed responses in the region of the MPPT above the startup speed  ω r B  and below the rated value  ω r C , it is significant and challenging work to design the nonlinear stochastic adaptive control strategy for the DFIG to impose the rotor speed to rotate at the optimal rotor speed  ω r *  to maintain the MPPT condition  C q m a x  based on the Itô stochastic differential equation model (1), (2) and (14).

3. Mathematic Preliminary

Consider the following stochastic nonlinear system:
d x = F ( x ) d t + H ( x ) d B ,
where  x R n  is the state vector,  B  is a q-dimensional independent standard wiener process in a complete probability space  ( Ω , F t 0 , P ) F : R n R n , and  H : R n R n × q  are locally Lipschitz and satisfy  F ( 0 ) = 0 H ( 0 ) = 0  for all  t 0 . For a Lyapunov function  V C 2 , let  L V  denote the differential operator of V with respect to (15):
L V = j = 1 n V x j f j ( x ) + 1 2 j , k = 1 n l = 1 q 2 V x j x k h j l ( x ) h k l ( x ) ,
where  h j l  represents ( j , l )-element in the matrix  H ( x ) f j  and  x j , respectively, represent the jth-element in the vectors  F ( x )  and  x .
Remark 3. The form of  L V  is different from that in determination system for its second-order differential term  1 2 j , k = 1 n l = 1 q 2 V x j x k h j l ( x ) h k l ( x )  in the Itô formula. The Itô differential equation is a classic form of a stochastic nonlinear system, into which we transform the model of DFIG-WT for inherent stochastic wind speed in (14). Meanwhile, we introduce a second-order differential term that it is hard to design a controller by Lyapunov stable method. Hence, we utilize inequality techniques (19) and (20) to simplify the form of  L V  and process of design of stochastic backstepping controller; then, Lemma 1 is integrated with each step of the backstepping-based adaptive control design process to obtain the result that the output active/reactive power of DFIG-WT is bounded in probability. Furthermore, employing Lemma 3 to achieve the asymptotical convergence of the output active/reactive power of DFIG-WT.
Lemma 1.
Let ϱ be a positive constant, χ be a bounded and positive variable and  b j  be an unknown but bounded positive constant. If the following inequality holds over  [ 0 , t W ) , then the involved signals  Z ( t )  and  ν j ( t )  are bounded in probability.
L Z ( t ) ϱ Z ( t ) j = 1 n ( b j I s t ν j ( t ) 1 ) ν ˙ j ( t ) + χ ,
where  Z ( t )  is a smooth positive definite function for  [ 0 , t W ) , and  ν j ( t )  is defined as a smooth function with  ν j ( 0 )  being bounded for  j = 1 , 2 , , n I s t ( ν j )  is defined by
I s t ( ν j ) = e 1 2 ν j 2 ν j 2 + 2 e 1 2 ν j 2 sin ( ν j ) .
See the detailed proof in [16].
Lemma 2.
Let  p , q  be positive real numbers satisfying  1 p + 1 q = 1 . Then, if  a , b  are non-negative real numbers,  a b a p p + b q q  and equality holds if, and only if,  a p = b q  [24].
Some important inequalities are inferred from Lemma 2 to simplify the form of  L V  as follows:
Let  a = x 2 y 2 , b = γ 2 , p = q = 2  and  γ > 0 , then we have
x 2 y 2 1 2 γ 2 x 4 y 4 + 1 2 γ 2 .
Further, let  a = x 3 , b = y , p = 4 3 , q = 4 , then one obtains
x 3 y 3 4 x 4 + 1 4 y 4 .
Furthermore, stochastic Barbalat’s lemma is employed to achieve the asymptotical convergence of the output active/reactive power of DFIG-WT.
Lemma 3.
If the solution process  x ( t )  of system (15) is strongly bounded in probability, and
E 0 β ( x ( t ) ) d t < ,
where  β ( · )  is a continuous function, then
lim t β ( x ( t ) ) = 0 , a . s . ( a l m o s t s u r e l y ) .
See the detailed proof in [25].

4. Controller Design for DFIG-WT

To command the nonlinear systems (1), (2) and (14) and employ the Lyapunov stable method, the transformation around the operating point must be used to conceive the controller. The objective of RSC is to maintain the  i r d  of the DFIG and the rotor speed  ω r  of the wind turbine at the desired references. From the nonlinear system of DFIG-WT, to control  i r d  and  ω r , we can adjust  i r d  and  i r q  by  u r d  and  u r d , respectively. To achieve this task, in previous research, backstepping control is used. In this research, a new backstepping controller applied in a nonlinear stochastic system for rotor speed is proposed. We decompose the whole nonlinear control problem into some smaller ones. The conception of stochastic backstepping control law is divided into various design steps. In each step, we calculate a virtual command from the tracking error, which will be used in the next step as a reference. We repeat the operation until obtaining the controller that will be applied to the system. It must be ensured, in each step, that the derivate of the Lyapunov function (definite positive) is always negative.
Firstly, we need a lot of variable substitution and to transform the DFIG-WT system around reference values of system state  ω r * i r d * i r q * . Let the right of (1), (2) and (14) equal zero; them,  ω r * i r d * i r q *  can be calculated. Define the error variables between the state, input and their reference value as  x 1 = ω r ω r * x 2 = i r q i r q * x 3 = i r d i r d * u 1 = u r q u r q * u 2 = u r d u r d * , and denote  θ 1 = N n p a / J θ 2 = 2 a N n p ω r * / J θ 3 = N n p b / J θ 4 = N n p L m V s / ( J L s ω s ) θ 5 = R r / σ θ 6 = V s L m / ( ω s σ L s ) θ 7 = 1 / σ c 1 = ω s ω r * c 2 = i r q * c 3 = i r d * c 4 = N n p k 0 π K / J .
Thus, (1), (2) and (14) can be represented by the equivalent form:
d x 1 = θ 1 x 1 2 θ 2 x 1 + θ 3 x 1 + c 4 2 h ( x 1 ) h ( x 1 ) x 1 + θ 4 x 2 d t + 2 c 4 h ( x 1 ) d B , d x 2 = θ 5 x 2 + θ 6 x 1 + c 3 x 1 + ( x 1 c 1 ) x 3 + θ 7 u 1 d t , d x 3 = θ 5 x 3 c 2 x 1 + c 1 x 2 x 1 x 2 + θ 7 u 2 d t .
To facilitate the analysis, the changes in coordinates are proposed as  e 1 = x 1 e 2 = x 2 x 2 * , and  e 3 = x 3 . The designed function  x 2 *  is virtual control unit.
Step 1: For the first subsystem of system (23), choose the stochastic Lyapunov function  V 1 = 1 4 e 1 4 . The differential operator of  V 1  according to (16) is
L V 1 = e 1 3 θ 1 x 1 2 θ 2 x 1 + θ 3 x 1 + c 4 2 h ( x 1 ) h ( x 1 ) x 1 + θ 4 ( e 2 + x 2 * ) + 3 c 4 2 e 1 2 h 2 ( x 1 ) .
In the stochastic system,  e 1  is a stochastic process for the external wiener process  d w , and  V 1  is considered as the function of the stochastic process. Utilizing the property of Lemma 2, four terms in (24) can be further changed into
θ 1 e 1 3 x 2 2 θ 1 1 2 λ 1 2 e 1 6 x 1 4 + θ 1 1 2 λ 1 2 , c 4 2 e 1 3 h ( x 1 ) h ( x 1 ) x 1 c 4 2 1 2 λ 2 2 e 1 6 h ( x 1 ) h ( x 1 ) x 1 2 + c 4 2 1 2 λ 2 2 , θ 4 e 1 3 e 2 θ 4 3 4 e 1 4 + θ 4 1 4 e 2 4 , 3 c 4 2 e 1 2 h 2 ( x 1 ) 3 c 4 2 1 2 λ 3 2 e 1 4 h 4 ( x 1 ) + 3 c 4 2 1 2 λ 3 2 ,
where the designed constants  λ 1 λ 2 λ 3  are positive.
On the basis of (25), one can transform (24) into the following inequality
L V 1 θ 2 e 1 4 + e 1 3 W 1 + θ 4 x 2 * + θ 4 1 4 e 2 4 + θ 1 1 2 λ 1 2 + c 4 2 1 2 λ 2 2 + 3 c 4 2 1 2 λ 3 2 ,
where  W 1  is represented as
W 1 = θ 1 1 2 λ 1 2 e 1 3 x 1 4 + θ 3 x 1 + c 4 2 1 2 λ 2 2 e 1 3 h ( x 1 ) h ( x 1 ) x 1 2 + θ 4 3 4 e 1 + 3 c 4 2 1 2 λ 3 2 e 1 h 4 ( x 1 ) .
The virtual control unit  x 2 *  in (26) is developed as
x 2 * = I s t ( κ 1 ) α ¯ 1 ,
where the adaptive law for  κ 1  is given in (30), and  α ¯ 1  is the designed equivalent virtual unit that is constructed as
α ¯ 1 = k 1 e 1 θ ^ 1 1 2 λ 1 2 e 1 3 x 1 4 + θ ^ 3 x 1 + c 4 2 1 2 λ 2 2 e 1 3 h ( x 1 ) h ( x 1 ) x 1 2 + θ ^ 4 3 4 e 1 + 3 c 4 2 1 2 λ 3 2 e 1 h 4 ( x 1 ) ,
where  k 1  is the positive designed controller gain and  θ ^ 1 θ ^ 3 θ ^ 4 , respectively, stand for the estimate of  θ 1 θ 3 θ 4 . The adaptive law for (28) is constructed as
κ ˙ 1 = R 1 e 1 3 α ¯ 1 ,
where  R 1  is a positive designed constant.
Consider the results in (26)–(30) and define the estimation error  θ ˜ 1 = θ 1 θ ^ 1 θ ˜ 3 = θ 3 θ ^ 3 θ ˜ 4 = θ 4 θ ^ 4 . Inequality (26) is thus rewritten as follows:
L V 1 ( k 1 + θ 2 ) e 1 4 θ 4 I s t ( κ 1 ) κ ˙ 1 R 1 + κ ˙ 1 R 1 + θ 4 1 4 e 2 4 + θ 1 1 2 λ 1 2 + c 4 2 1 2 λ 2 2 + 3 c 4 2 1 2 λ 3 2 + θ ˜ 1 1 2 λ 1 2 e 1 6 x 1 4 + θ ˜ 3 e 1 4 + θ ˜ 4 3 4 e 1 4 .
Step 2: Augment the stochastic Lyapunov function of Step 2 as  V 2 = V 1 + 1 4 e 2 4 . The error dynamical equation of the second subsystem of the system (23) can be described as
d e 2 = d x 2 d x 2 * , = ( θ 5 x 2 + θ 6 x 1 + c 3 x 1 + u L x 2 * ) d t + ( x 2 * x 1 2 c 4 h ( x 1 ) ) d w ,
where we design the new control  u = f ( x 1 ) x 3 + θ 7 u 1  to replace actual control  u 1 .
The differential operator of  x 2 *  can be calculated using (16) as follows:
L x 2 * = θ 1 x 2 * x 1 x 1 2 θ 2 x 2 * x 1 x 1 + θ 3 x 2 * x 1 x 1 + c 4 2 x 2 * x 1 h ( x 1 ) h ( x 1 ) x 1 + θ 4 x 2 * x 1 x 2 + c 4 2 2 x 2 * x 1 2 h 2 ( x 1 ) + x 2 * θ ^ 1 θ ^ ˙ 1 + x 2 * θ ^ 3 θ ^ ˙ 3 + x 2 * θ ^ 4 θ ^ ˙ 4 + x 2 * κ 1 κ ˙ 1 .
Recalling (16), (32) and (33),  L V 2  is presented as
L V 2 = L V 1 + e 2 3 θ 5 x 2 + θ 6 x 1 + c 3 x 1 + u L x 2 * + 3 c 4 2 e 2 2 ( x 2 * x 1 h ( x 1 ) ) 2 .
Employing Young’s inequality (19), one obtains that the term in (34) can be further changed into
3 c 4 2 e 2 2 ( x 2 * x 1 h ( x 1 ) ) 2 3 c 4 2 1 2 λ 4 2 e 2 4 x 2 * x 1 h ( x 1 ) 4 + 3 c 4 2 1 2 λ 4 2 ,
where the designed constant  λ 4  is positive. Combining the results (31), (33)–(35), one can obtain inequality  L V 2  as follows:
L V 2 ( k 1 + θ 2 ) e 1 4 θ 4 I s t ( κ 1 ) κ ˙ 1 R 1 + κ ˙ 1 R 1 + e 2 3 ( u + W 2 ) + θ 1 1 2 λ 1 2 + c 4 2 1 2 λ 2 2 + 3 c 4 2 1 2 λ 3 2 + 3 c 4 2 1 2 λ 4 2 + θ ˜ 1 1 2 λ 1 2 e 1 6 x 1 4 + θ ˜ 3 e 1 4 + θ ˜ 4 3 4 e 1 4 ,
where  W 2  is defined as
W 2 = θ 1 x 2 * x 1 x 1 2 + θ 2 x 2 * x 1 x 1 θ 3 x 2 * x 1 x 1 + θ 4 1 4 e 2 θ 4 x 2 * x 1 x 2 θ 5 x 2 + θ 6 x 1 + c 3 x 1 + 3 c 4 2 1 2 λ 4 2 e 2 ( x 2 * x 1 h ( x 1 ) ) 4 c 4 2 x 2 * x 1 h ( x 1 ) h ( x 1 ) x 1 c 4 2 2 x 2 * x 1 2 h 2 ( x 1 ) x 2 * κ 1 κ ˙ 1 x 2 * θ ^ 1 θ ^ ˙ 1 x 2 * θ ^ 3 θ ^ ˙ 3 x 2 * θ ^ 4 θ ^ ˙ 4 .
Then, we zoom  e 2 3 W 2  to its upper bound as follows:
e 2 3 W 2 θ 1 x 2 * x 1 e 2 3 x 1 2 + θ 2 x 2 * x 1 e 2 3 x 1 + θ 3 x 2 * x 1 e 2 3 x 1 + θ 4 x 2 * x 1 e 2 3 x 2 + θ 5 e 2 3 x 2 + θ 6 e 2 3 x 1 + e 2 3 c 3 x 1 c 4 2 x 2 * x 1 h ( x 1 ) h ( x 1 ) x 1 c 4 2 2 x 2 * x 1 2 h 2 ( x 1 ) x 2 * κ 1 κ ˙ 1 x 2 * θ ^ 1 θ ^ ˙ 1 x 2 * θ ^ 3 θ ^ ˙ 3 x 2 * θ ^ 4 θ ^ ˙ 4 + θ 4 1 4 e 2 4 + 3 c 4 2 1 2 λ 4 2 e 2 4 x 2 * x 1 h ( x 1 ) 4 .
According to Lemma 1, we design control signal u, and adaptive law  κ 2 , equivalent virtual unit  α ¯ 2  as
u = I s t ( κ 2 ) α ¯ 2 ,
κ ˙ 2 = R 2 e 2 3 α ¯ 2 ,
α ¯ 2 = k 2 e 2 s g n ( e 2 3 ) θ ^ 1 x 2 * x 1 x 1 2 + θ ^ 2 x 2 * x 1 x 1 + θ ^ 3 x 2 * x 1 x 1 + θ ^ 4 x 2 * x 1 x 2 + θ ^ 5 x 2 + θ ^ 6 x 1 + c 3 x 1 c 4 2 x 2 * x 1 h ( x 1 ) h ( x 1 ) x 1 c 4 2 2 x 2 * x 1 2 h 2 ( x 1 ) x 2 * κ 1 κ ˙ 1 x 2 * θ ^ 1 θ ^ ˙ 1 x 2 * θ ^ 3 ^ θ ˙ 3 x 2 * θ ^ 4 θ ^ ˙ 4 θ ^ 4 1 4 e 2 3 c 4 4 1 2 λ 4 2 e 2 x 2 * x 1 h ( x 1 ) 4 ,
where  k 2 > 0 θ ^ 2 θ ^ 5 θ ^ 6  are estimates of  θ 2 θ 5 θ 6 . Define the estimation error  θ ˜ 2 = θ 2 θ ^ 2 θ ˜ 5 = θ 5 θ ^ 5 θ ˜ 6 = θ 6 θ ^ 6 . The sign function in (41) is defined as
s g n ( e 2 3 ) = 1 , e 2 3 > 0 0 , e 2 3 = 0 1 , e 2 3 < 0 .
In succession, the actual controller  u r d  in (2) is presented as
u r q = u f ( x 1 ) x 3 θ 7 + u r q * .
Considering the results in (37)–(41), (36) is thus presented as follows:
L V 2 ( k 1 + ϑ 2 ) e 1 4 k 2 e 2 4 θ 4 I s t ( κ 1 ) κ ˙ 1 R 1 + κ ˙ 1 R 1 I s t ( κ 2 ) κ ˙ 2 R 2 + κ ˙ 2 R 2 + θ 1 1 2 λ 1 2 + c 4 2 1 2 λ 2 2 + 3 c 4 2 1 2 λ 3 2 + 3 c 4 2 1 2 λ 4 2 + θ ˜ 1 x 2 * x 1 e 2 3 x 1 2 + 1 2 λ 1 2 e 1 6 x 1 4 + θ ˜ 2 x 2 * x 1 e 2 3 x 1 + θ ˜ 3 x 2 * x 1 e 2 3 x 1 + e 1 4 + θ ˜ 4 x 2 * x 1 e 2 3 x 2 + 3 4 e 1 4 + 1 4 e 2 4 + θ ˜ 5 e 2 3 x 2 + θ ˜ 6 e 2 3 x 1 .
Step 3: Augment the stochastic Lyapunov function of Step 2 as  V 3 = V 2 + 1 4 e 3 4 . Notice that
d e 3 = d x 3 d x 3 * , = θ 5 x 3 c 2 x 1 + c 1 x 2 x 1 x 2 + θ 7 u 2 d t .
Considering the result of (44), the differential operator of  L V 3  is
L V 3 ( k 1 + θ 2 ) e 1 4 k 2 e 2 4 θ 4 I s t ( κ 1 ) κ ˙ 1 R 1 + κ ˙ 1 R 1 I s t ( κ 2 ) κ ˙ 2 R 2 + κ ˙ 2 R 2 θ 5 e 3 4 + e 3 3 W 3 + θ 7 u 2 + θ 1 1 2 λ 1 2 + c 4 2 1 2 λ 2 2 + 3 c 4 2 1 2 λ 3 2 + 3 c 4 2 1 2 λ 4 2 + θ ˜ 1 x 2 * x 1 e 2 3 x 1 2 + 1 2 λ 1 2 e 1 6 x 1 4 + θ ˜ 2 x 2 * x 1 e 2 3 x 1 + θ ˜ 3 x 2 * x 1 e 2 3 x 1 + e 1 4 + θ ˜ 4 x 2 * x 1 e 2 3 x 2 + 3 4 e 1 4 + 1 4 e 2 4 + θ ˜ 5 e 2 3 x 2 + θ ˜ 6 e 2 3 x 1 ,
where  W 3 = c 2 x 1 + c 1 x 2 x 1 x 2 ; then, one can obtain that
e 3 3 W 3 e 3 3 c 2 x 1 + c 1 x 2 x 1 x 2 .
The control signal  u 2 , equivalent virtual control  α ¯ 3  and adaptive law  κ 3  are chosen as
u 2 = I s t ( κ 3 ) α ¯ 3 ,
α ¯ 3 = k 3 e 3 s g n ( e 3 3 ) c 2 x 1 + c 1 x 2 x 1 x 2 ,
κ ˙ 3 = R 3 e 3 3 u ¯ 2 .
Subsequently, the actual controller  u r d  is designed as
u r d = I s t ( κ 3 ) α ¯ 3 + u r d *
Thus, inequality (46) is transformed as
L V 3 ( k 1 + θ 2 ) e 1 4 k 2 e 2 4 ( k 3 + θ 5 ) e 3 4 θ 4 I s t ( κ 1 ) κ ˙ 1 R 1 + κ ˙ 1 R 1 I s t ( κ 2 ) κ ˙ 2 R 2 + κ ˙ 2 R 2 θ 7 I s t ( κ 3 ) κ ˙ 3 R 3 + κ ˙ 3 R 3 + θ 1 1 2 λ 1 2 + c 4 2 1 2 λ 2 2 + 3 c 4 2 1 2 λ 3 2 + 3 c 4 2 1 2 λ 4 2 + θ ˜ 1 x 2 * x 1 e 2 3 x 1 2 + 1 2 λ 1 2 e 1 6 x 1 4 + θ ˜ 2 x 2 * x 1 e 2 3 x 1 + θ ˜ 3 x 2 * x 1 e 2 3 x 1 + e 1 4 + θ ˜ 4 x 2 * x 1 e 2 3 x 2 + 3 4 e 1 4 + 1 4 e 2 4 + θ ˜ 5 e 2 3 x 2 + θ ˜ 6 e 2 3 x 1 .
Step 4: For the whole system (23), choose stochastic Lyapunov function  V = V 3 + 1 2 ρ 1 θ ˜ 1 2 + 1 2 ρ 2 θ ˜ 2 2 + 1 2 ρ 3 θ ˜ 3 2 + 1 2 ρ 4 θ ˜ 4 2 + 1 2 ρ 5 θ ˜ 5 2 + 1 2 ρ 6 θ ˜ 6 2 ρ 1 ρ 6 , ι 1 ι 6  are positive constants.
The parameter updating laws are designed for  θ ^ 1 θ ^ 2 θ ^ 3 θ ^ 4 θ ^ 5 θ ^ 6  as follows:
θ ^ ˙ 1 = ρ 1 x 2 * x 1 e 2 3 x 1 2 + 1 2 λ 1 2 e 1 6 x 1 4 ι 1 θ ^ 1 θ ^ ˙ 2 = ρ 2 x 2 * x 1 e 2 3 x 1 ι 2 θ ^ 2 θ ^ ˙ 3 = ρ 3 x 2 * x 1 e 2 3 x 1 + e 1 4 ι 3 θ ^ 3 θ ^ ˙ 4 = ρ 4 x 2 * x 1 e 2 3 x 2 + 3 4 e 1 4 + 1 4 e 2 4 ι 4 θ ^ 4 θ ^ ˙ 5 = ρ 5 e 2 3 x 2 ι 5 θ ^ 5 θ ^ ˙ 6 = ρ 6 e 2 3 x 1 ι 6 θ ^ 6 .
Based on (52) and (53), the differential operator of V is presented as
L V ( k 1 + θ 2 ) e 1 4 k 2 e 2 4 ( k 3 + θ 5 ) e 3 4 + ρ 1 ι 1 θ ˜ 1 θ ^ 1 + ρ 2 ι 2 θ ˜ 2 θ ^ 2 + ρ 3 ι 3 θ ˜ 3 θ ^ 3 + ρ 4 ι 4 θ ˜ 4 θ ^ 4 + ρ 5 ι 5 θ ˜ 5 θ ^ 5 + ρ 6 ι 6 θ ˜ 6 θ ^ 6 θ 4 I s t ( κ 1 ) κ ˙ 1 R 1 + κ ˙ 1 R 1 I s t ( κ 2 ) κ ˙ 2 R 2 + κ ˙ 2 R 2 θ 7 I s t ( κ 3 ) κ ˙ 3 R 3 + κ ˙ 3 R 3 + θ 1 1 2 λ 1 2 + c 4 2 1 2 λ 2 2 + 3 c 4 2 1 2 λ 3 2 + 3 c 4 2 1 2 λ 4 2 .
Employing Young’s inequality to  ρ i ι i θ ˜ i θ ^ i , one can obtain
ρ i ι i θ ˜ i θ ^ i ρ i 2 ι i θ ˜ i 2 + ρ i 2 ι i θ i 2 .
Substituting (55) into (54) yields
L V ( k 1 + θ 2 ) e 1 4 k 2 e 2 4 ( k 3 + θ 5 ) e 3 4 ι 1 2 ρ 1 θ ˜ 1 2 ι 2 2 ρ 2 θ ˜ 2 2 ι 3 2 ρ 3 θ ˜ 3 2 ι 4 2 ρ 4 θ ˜ 4 2 ι 5 2 ρ 5 θ ˜ 5 2 ι 6 2 ρ 6 θ ˜ 6 2 θ 4 I s t ( κ 1 ) κ ˙ 1 R 1 + κ ˙ 1 R 1 I s t ( κ 2 ) κ ˙ 2 R 2 + κ ˙ 2 R 2 θ 7 I s t ( κ 3 ) κ ˙ 3 R 3 + κ ˙ 3 R 3 + θ 1 1 2 λ 1 2 + c 4 2 1 2 λ 2 2 + 3 c 4 2 1 2 λ 3 2 + 3 c 4 2 1 2 λ 4 2 + ι 1 2 ρ 1 θ 1 2 + ι 2 2 ρ 2 θ 2 2 + ι 3 2 ρ 3 θ 3 2 + ι 4 2 ρ 4 θ 4 2 + ι 5 2 ρ 5 θ 5 2 + ι 6 2 ρ 6 θ 6 2 .

Asymptotic Stability Analysis

The nonlinear stochastic adaptive control for DFIG-WT is designed completely. Given that the stochastic system (23), the adaptive laws (30), (40), (50) and (53), the virtual control  x 2 *  (28) in step 1, the designed controllers  u r q , u r d  of DFIG-WT, respectively, in (43) and (51) are constructed, one draws the following conclusions:
  • State error variables  e 1 , e 2 , e 3 , parameter error variables  θ ˜ 1 θ ˜ 6  and the adaptive laws  κ 1 κ 2 κ 3  are kept bounded in probability.
  • ω r  asymptotically converges to  ω r *  in probability.
One can deduce the above-mentioned conclusions by Lemmas 1 and 3 as follows:
Step 1: From the observation of (56), the stochastic Lyapunov function of system (23) can be rewritten as
L V ϱ V ( t ) θ 4 I s t ( κ 1 ) κ ˙ 1 R 1 + κ ˙ 1 R 1 I s t ( κ 2 ) κ ˙ 2 R 2 + κ ˙ 2 R 2 θ 7 I s t ( κ 3 ) κ ˙ 3 R 3 + κ ˙ 3 R 3 + χ ,
where  ϱ = m i n 4 ( k 1 + θ 2 ) , 4 k 2 , 4 ( k 3 + θ 5 ) , ι 1 , ι 2 , ι 3 , ι 4 , ι 5 , ι 6 , and  χ = θ 1 1 2 λ 1 2 + c 4 2 1 2 λ 2 2 + 3 c 4 2 1 2 λ 3 2 + 3 c 4 2 1 2 λ 4 2 + i = 1 6 ι i 2 ρ i θ i 2 . The result of boundness in Lemma 1 can be directly utilized for (57). By the analysis in [26], t can be further extended to  t = . Immediately, one obtains that state error variables  e 1 , e 2 , e 3 , parameter error variables  θ ˜ 1 θ ˜ 6  and the adaptive laws  κ 1 κ 2 κ 3  are bounded in probability.
Step 2: We set  ϑ ^ i ( 0 ) 0  for  i = 1 , 2 , , 6 . See Lemma 1 in [16]. One thus obtains that  ϑ ^ i ( t )  in (53) are non-negative. Hence, from (29), (41) and (49), the following constraints must hold:
e i 3 α ¯ i k i e i 4 , i = 1 , 2 , 3 .
Hence, the right of the adaptive laws (30), (40) and (50) is non-negative. According to (58), we have
κ ˙ i ( t ) R i k 1 e i 4 , i = 1 , 2 , 3 ,
where  κ i ( 0 ) , i = 1 , 2 , 3  are set as a bounded variable and the boundness of  κ i ( t ) , i = 1 , 2 , 3  is derived from (57). It is noted that  k 1 , k 2 , k 3 , R 1 , R 2 , R 3  in (59) are designed as bounded constants. In succession, taking the integration and seeking expectation of (59) yields
E 0 t k i R i e i 4 < + , i = 1 , 2 , 3 ,
Subsequently, utilizing Lemma 3, one can obtain
P lim t e i ( t ) = 0 = 1 , i = 1 , 2 , 3 .
From (61) and the definition of  e 1 , one concludes that the rotor speed  ω r  asymptotically converges to its desired value  ω r *  in probability.

5. Simulation Results

The simulation was established in a Python program for a 660 kW machine. In all simulations, we used the parameters of the wind turbine [14] and generator [18], as shown in Table 1. The following operating point is chosen as:  ω r * = 284 rad / s i r d * = 0 A i r q * = 85.3036 A  by letting the right of (1), (2) and (14) equal zero. The function  h ( x )  in (12) in this paper is chosen as  h ( x ) = k 0 x ( x 2 + 1 )  [27] by means of modeling wind speed based on stochastic processes. And note that  a , b , c  are the coefficients of the quadratic polynomial fit for  T m  at a stochastic wind speed whose mean value is 15 m/s.
In this section, a new stochastic asymptotic control is designed for the wind turbine with stochastic wind speed.
The initial conditions for the DFIG-WT system are designed as  [ x 1 ( 0 ) , x 2 ( 0 ) , x 3 ( 0 ) ] T = [ 3 , 0.1 , 0.1 ] T , and initial conditions for adaptive laws  κ i , θ ^ i i = 1 , 2 , 3  are all set to be zero. The controller parameters  k 1 k 3 R 1 R 3 λ 1 λ 4 ρ 1 ρ 6 ι 1 ι 6  of the stochastic backstepping control are chosen as follows: To avoid instability,  ρ i > 0 , i = 1 , 2 , , 6  must be satisfied, and to guarantee the adaptive rate of  θ ^ i , i = 1 , 2 , , 6 , we choose  ρ 1 = 20 ρ 2 = 12 ρ 3 = 15 ρ 4 = 12 ρ 5 = 10  and  ρ 6 = 6 . Furthermore, the adaptive rate of  κ i , i = 1 , 2 , 3  can be controlled by increasing  R 1 R 2 R 3 . Hence, we select  R 1 = 10 R 2 = 1000  and  R 3 = 10  in this simulation. Similarly,  k 1 = 308 k 2 = 121  and  k 3 = 100  are chosen. The parameters  ι i , i = 1 , 2 , , 6  are chosen according to the work in [16] showing that smaller gain will improve convergence performance. In addition, large positive gain  λ 1 = 10 λ 2 = 10 λ 3 = 10 λ 4 = 10  can be obtained to satisfy young’s inequality of (19).
The following two cases are considered to validate the effectiveness of the proposed controller.
Case 1: All physical parameters are known and kept constant;
Case 2: Values a, b, c L s L r L m R r  are unknown and subject to slow variation due to the complex operating conditions compared with the conventional backstepping method.
The simulation results presented in Figure 5, Figure 6, Figure 7, Figure 8, Figure 9, Figure 10, Figure 11 and Figure 12 reveal the following findings:
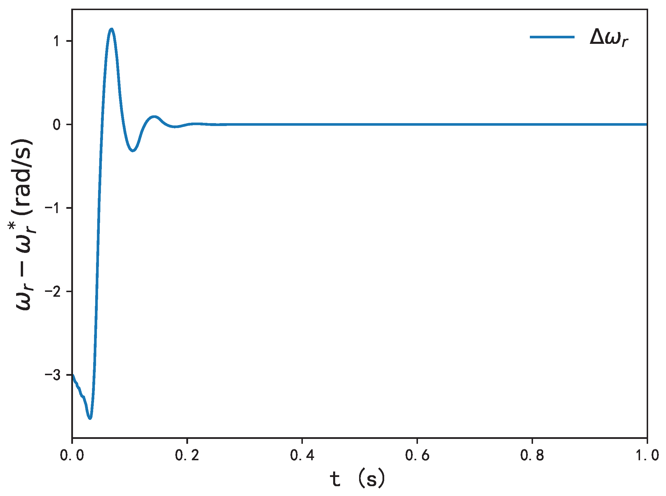
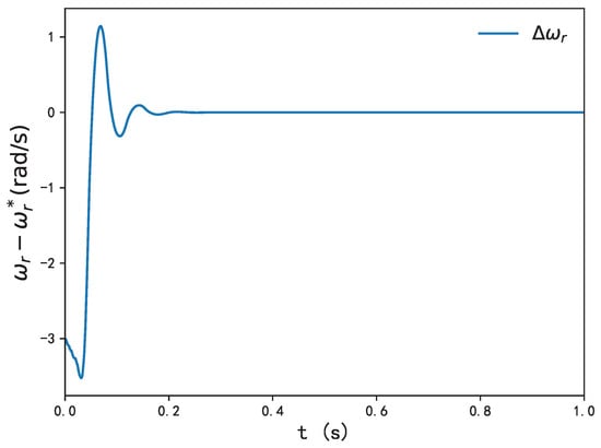
(1) Concerning the output active/reactive power of DFIG-WT, Figure 6 depicts the error between power reference  P s * , Q s *  and  P s , Q s . The figures show that when the wind velocity fluctuates the mean value with white noise up and down, the errors between  P s * , Q s *  and  P s , Q s  are approximately zero with the proposed method. This is mainly because the torque coefficient  C q  remains around  C q m a x , as shown in Figure 2. In other words, with the proposed method, the main objective, which is to have  P s , Q s  to  P s * , Q s * , is completely achieved. Rotor speed  ω r  converges swiftly to its optimal speed (9) at 2.2 s, as shown in Figure 5. In the meantime, adaptive laws  κ 1 κ 2  and  κ 3  for updating the virtual controller are presented in Figure 7. As depicted in Figure 7, adaptive laws containing  κ 1 κ 2  and  κ 3  quickly converge to stable values with the proposed controller. Therefore, it is shown that the proposed controller has the capacity of achieving the asymptotic control for stochastic nonlinear systems of DFIG-WT.
(2) In Case 2, the parameters of the system are subject to changes due to various physical phenomena; so, our controller should provide effective control when the variation of the generator parameters is bounded in comparison with the conventional backstepping controller. In order to test the robustness of the controller, we varied the rotor resistance  R r  to  2 R r , the inductance value of the rotor and stator  10 %  from its nominal value and the parameters  a , b , c  of mechanical torque  5 %  from their current value.
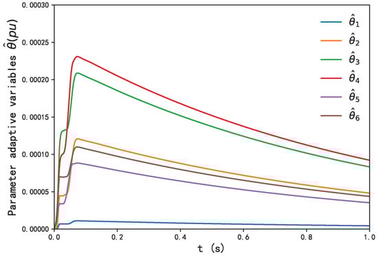
Similarly, Figure 8, Figure 9 and Figure 10 demonstrate that in Case 2,  Δ ω r Δ P s  and  Δ Q s  converge to zero, while  ω r P s  and  Q s  converge to their desired references. With the conventional method, however, the convergence rate is much slower compared with proposed controller. Figure 12 shows  θ ^ i , i = 1 , 2 , , 6  are always positive if its initial values are non-negative. Again, adaptive laws containing  κ 1 κ 2  and  κ 3  converge to stability with the proposed controller in Figure 11. Figure 8, Figure 9, Figure 10, Figure 11 and Figure 12 show the effectiveness of varying the parameters of the generator  R r L s  and  L r  on the response of  ω r i r d  and  i r q , which is directly related to the output active power and reactive power of DFIG-WT, and the performance with variation of parameters is effective for its swift convergence to the desired trajectory compared with the conventional backstepping controller.

6. Conclusions

An Itô stochastic differential model for DFIG-WT is introduced. Then, a new nonlinear stochastic adaptive backstepping controller for DFIG-WT is designed for the boundness of rotor speed and rotor current in probability. Further, an inequality technique is employed to extend the bounded control result to the asymptotic control. The variation of parameters of DFIG-WT is investigated with the adaptive controller. Furthermore, with the proposed controller, the rotor speed can asymptotically converge to its desired value to extract maximum power from stochastic wind energy. From a conceptual point of view, we could notice that the nonlinear stochastic adaptive backstepping control is simple and easy to implement for the parameters of controller that are set in a certain regulation with gain suppressing inequality compared with conventional PI controller. The main risk is that the proposed controller is designed so that all inclusive signals are bounded in probability. We employ the stochastic Barbalat lemma to achieve the asymptotic convergence in probability of the output active/reactive power of DFIG-WT. That means one may obtain unstable results in some probabiliteis. But one can guarantee that the rotor speed converges asymptotically to the reference value almost surely according to the stochastic Barbalat lemma.

Author Contributions

Conceptualization, J.Z. and Y.W.; methodology, J.Z.; software, J.Z., Y.W. and M.D.; validation, J.Z., Y.W. and Q.O.; formal analysis, Y.W. and Q.O.; investigation, J.Z.; writing—original draft preparation, J.Z.; writing—review and editing, J.Z., Y.W. and M.D.; project administration, Y.W. and Q.O.; funding acquisition, Y.W. All authors have read and agreed to the published version of the manuscript.

Funding

This research was funded by National Natural Science Foundation of China, under Grant 61403194 and Grant 62173180.

Data Availability Statement

Not applicable.

Conflicts of Interest

The authors declare no conflict of interest.

References

  1. Zhi, D.; Xu, L. Direct Power Control of DFIG with Constant Switching Frequency and Improved Transient Performance. IEEE Trans. Energy Convers. 2007, 22, 110–118. [Google Scholar] [CrossRef]
  2. Xu, L.; Cartwright, P. Direct active and reactive power control of DFIG for wind energy generation. IEEE Trans. Energy Convers. 2006, 21, 750–758. [Google Scholar] [CrossRef]
  3. Gao, S.; Zhao, H.; Gui, Y.; Zhou, D.; Blaabjerg, F. An Improved Direct Power Control for Doubly Fed Induction Generator. IEEE Trans. Power Electron. 2021, 36, 4672–4685. [Google Scholar] [CrossRef]
  4. Zhang, Y.; Jiao, J.; Xu, D. Direct Power Control of Doubly Fed Induction Generator Using Extended Power Theory under Unbalanced Network. IEEE Trans. Power Electron. 2019, 34, 12024–12037. [Google Scholar] [CrossRef]
  5. Pan, C.T.; Juan, Y.L. A Novel Sensorless MPPT Controller for a High-Efficiency Microscale Wind Power Generation System. IEEE Trans. Energy Convers. 2010, 25, 207–216. [Google Scholar]
  6. Xiong, L.; Li, P.; Li, H.; Wang, J. Sliding Mode Control of DFIG Wind Turbines with a Fast Exponential Reaching Law. Energies 2017, 10, 1788. [Google Scholar] [CrossRef]
  7. Yang, X.; Liu, G.; Li, A.; Le, V.D. A Predictive Power Control Strategy for DFIGs Based on a Wind Energy Converter System. Energies 2017, 10, 1098. [Google Scholar] [CrossRef]
  8. Zhang, Y.; Jiang, T. Robust Predictive Rotor Current Control of a Doubly Fed Induction Generator under an Unbalanced and Distorted Grid. IEEE Trans. Energy Convers. 2022, 37, 433–442. [Google Scholar] [CrossRef]
  9. Fateh, F.; White, W.N.; Gruenbacher, D. A Maximum Power Tracking Technique for Grid-Connected DFIG-Based Wind Turbines. IEEE J. Emerg. Sel. Top. Power Electron. 2015, 3, 957–966. [Google Scholar] [CrossRef]
  10. Zhang, X.; Zhang, Z.; Jia, J.; Zheng, L. A Maximum Power Point Tracking Control Method Based on Rotor Speed PDF Shape for Wind Turbines. Appl. Sci. 2022, 12, 9108. [Google Scholar] [CrossRef]
  11. Dang, D.Q.; Wang, Y.; Cai, W. Offset-Free Predictive Control for Variable Speed Wind Turbines. IEEE Trans. Sustain. Energy 2013, 4, 2–10. [Google Scholar] [CrossRef]
  12. Xiong, P.; Sun, D. Backstepping-Based DPC Strategy of a Wind Turbine-Driven DFIG under Normal and Harmonic Grid Voltage. IEEE Trans. Power Electron. 2016, 31, 4216–4225. [Google Scholar] [CrossRef]
  13. Kammoun, S.; Sallem, S.; Kammoun, M.B.A. Backstepping Control for Low-Voltage Ride Through Enhancement of DFIG-Based Wind Turbines. Arab. J. Sci. Eng. 2017, 42, 5083–5099. [Google Scholar] [CrossRef]
  14. Mechter, A.; Kemih, K.; Ghanes, M. Backstepping control of a wind turbine for low wind speeds. Nonlinear Dyn. 2016, 84, 2435–2445. [Google Scholar] [CrossRef]
  15. Bossoufi, B.; Karim, M.; Lagrioui, A.; Taoussi, M.; Derouich, A. Observer backstepping control of DFIG-Generators for wind turbines variable-speed: FPGA-based implementation. Renew. Energy 2015, 81, 903–917. [Google Scholar]
  16. Chen, C.; Liu, Z.; Zhang, Y.; Chen, C.L.P.; Xie, S. Asymptotic Fuzzy Tracking Control for a Class of Stochastic Strict-Feedback Systems. IEEE Trans. Fuzzy Syst. 2017, 25, 556–568. [Google Scholar] [CrossRef]
  17. Beltran, B.; Benbouzid, M.E.H.; Ahmed-Ali, T. Second-Order Sliding Mode Control of a Doubly Fed Induction Generator Driven Wind Turbine. IEEE Trans. Energy Convers. 2012, 27, 261–269. [Google Scholar] [CrossRef]
  18. Phan, D.C.; Yamamoto, S. Rotor Speed Control of Doubly Fed Induction Generator Wind Turbines Using Adaptive Maximum Power Point Tracking. Energy 2016, 111, 377–388. [Google Scholar] [CrossRef]
  19. Hu, J.; Nian, H.; Hu, B.; He, Y.; Zhu, Z. Direct active and reactive power regulation of DFIG using sliding-mode control approach. IEEE Trans. Energy Convers. 2010, 25, 1028–1039. [Google Scholar] [CrossRef]
  20. Yuan, B.; Zhou, M.; Li, G.; Zhang, X.P. Stochastic Small-Signal Stability of Power Systems with Wind Power Generation. IEEE Trans. Power Syst. 2015, 30, 1680–1689. [Google Scholar] [CrossRef]
  21. Pidre, J.; Carrillo, C.; Lorenzo, A. Probabilistic model for mechanical power fluctuations in asynchronous wind parks. IEEE Trans. Power Syst. 2003, 18, 761–768. [Google Scholar] [CrossRef]
  22. Milano, F.; Zárate-Miñano, R. A Systematic Method to Model Power Systems as Stochastic Differential Algebraic Equations. IEEE Trans. Power Syst. 2013, 28, 4537–4544. [Google Scholar] [CrossRef]
  23. Lin, Y.K. Probabilistic Theory of Structural Dynamics; Krieger: Melbourne, FL, USA, 1976. [Google Scholar]
  24. Hu, X.L. An extension of Young’s inequality and its application. Appl. Math. Comput. 2013, 219, 6393–6399. [Google Scholar] [CrossRef]
  25. Yu, X.; Wu, Z. Corrections to “Stochastic Barbalat’s Lemma and Its Applications” [Jun 12 1537–1543]. IEEE Trans. Autom. Control 2014, 59, 1386–1390. [Google Scholar] [CrossRef]
  26. Ding, Z. Adaptive consensus output regulation of a class of nonlinear systems with unknown high-frequency gain. Automatica 2015, 51, 348–355. [Google Scholar] [CrossRef]
  27. Obukhov, S.; Ibrahim, A.; Davydov, D.Y.; Alharbi, T.; Ahmed, E.M.; Ali, Z.M. Modeling Wind Speed Based on Fractional Ornstein-Uhlenbeck Process. Energies 2021, 14, 5561. [Google Scholar] [CrossRef]
Figure 1. Schematic diagram of a DFIG-based wind generation system.
Figure 1. Schematic diagram of a DFIG-based wind generation system.
Energies 16 05654 g001
Figure 2. Curve of  C q λ .
Figure 2. Curve of  C q λ .
Energies 16 05654 g002
Figure 3. Fitting of  T m  in the subrated speed range.
Figure 3. Fitting of  T m  in the subrated speed range.
Energies 16 05654 g003
Figure 4. Relationship between the DFIG rotor speed and the output power.
Figure 4. Relationship between the DFIG rotor speed and the output power.
Energies 16 05654 g004
Figure 5. Error between rotor speed and its reference with no parameter estimate.
Figure 5. Error between rotor speed and its reference with no parameter estimate.
Energies 16 05654 g005
Figure 6. Errors between active/reactive power and their reference with no parameter estimate.
Figure 6. Errors between active/reactive power and their reference with no parameter estimate.
Energies 16 05654 g006
Figure 7. Adaptive statement with no parameter estimate.
Figure 7. Adaptive statement with no parameter estimate.
Energies 16 05654 g007
Figure 8. Error between rotor speed and its reference with parameter estimate.
Figure 8. Error between rotor speed and its reference with parameter estimate.
Energies 16 05654 g008
Figure 9. Active power error with parameter estimate.
Figure 9. Active power error with parameter estimate.
Energies 16 05654 g009
Figure 10. Reactive power error with parameter estimate.
Figure 10. Reactive power error with parameter estimate.
Energies 16 05654 g010
Figure 11. Adaptive statement with parameter estimate.
Figure 11. Adaptive statement with parameter estimate.
Energies 16 05654 g011
Figure 12. Parameter adaptive statement with parameter estimate.
Figure 12. Parameter adaptive statement with parameter estimate.
Energies 16 05654 g012
Table 1. Parameters in simulations.
Table 1. Parameters in simulations.
Name SymbolValueUnit
The length of blade R15   m
Rated stator voltage   V s 380   V
Rated stator frequency f50   Hz
Number of pole pairs   p n 2   pu
Stator winding resistance   R s 2.65   m Ω
Rotor winding resistance   R r 2.63   m Ω
Stator winding inductance   L s 5.6438   mH
Rotor winding inductance   L r 5.6068   mH
Magnetizing inductance   L m 5.4749   mH
Gearbox ratio N2   pu
Inertia of system J0.1   kg · m 2
Mean wind speed   V ¯ w 15   m / s
Fitting parameter 1 a−0.002202   pu
Fitting parameter 2 b1.272   pu
Fitting parameter 3 c−83.55   pu
Optimal tip speed ratio   λ o p t 7.1   pu
Intensity of the white noise K1   pu
Gain of function  h ( ω r ω r * )   k 0 0.01   pu
Disclaimer/Publisher’s Note: The statements, opinions and data contained in all publications are solely those of the individual author(s) and contributor(s) and not of MDPI and/or the editor(s). MDPI and/or the editor(s) disclaim responsibility for any injury to people or property resulting from any ideas, methods, instructions or products referred to in the content.

Share and Cite

MDPI and ACS Style

Zhang, J.; Wan, Y.; Ouyang, Q.; Dong, M. Nonlinear Stochastic Adaptive Control for DFIG-Based Wind Generation System. Energies 2023, 16, 5654. https://doi.org/10.3390/en16155654

AMA Style

Zhang J, Wan Y, Ouyang Q, Dong M. Nonlinear Stochastic Adaptive Control for DFIG-Based Wind Generation System. Energies. 2023; 16(15):5654. https://doi.org/10.3390/en16155654

Chicago/Turabian Style

Zhang, Jian, Yong Wan, Quan Ouyang, and Meng Dong. 2023. "Nonlinear Stochastic Adaptive Control for DFIG-Based Wind Generation System" Energies 16, no. 15: 5654. https://doi.org/10.3390/en16155654

APA Style

Zhang, J., Wan, Y., Ouyang, Q., & Dong, M. (2023). Nonlinear Stochastic Adaptive Control for DFIG-Based Wind Generation System. Energies, 16(15), 5654. https://doi.org/10.3390/en16155654

Note that from the first issue of 2016, this journal uses article numbers instead of page numbers. See further details here.

Article Metrics

Back to TopTop