Next Article in Journal
Recent Design and Synthesis Strategies for High-Performance Supercapacitors Utilizing ZnCo2O4-Based Electrode Materials
Next Article in Special Issue
Virtual Synchronous Generator (VSG) Control Strategy Based on Improved Damping and Angular Frequency Deviation Feedforward
Previous Article in Journal
Review of Fault Detection and Diagnosis Techniques for AC Motor Drives
 
 
Font Type:
Arial Georgia Verdana
Font Size:
Aa Aa Aa
Line Spacing:
Column Width:
Background:
Article

Extended Recursive Three-Step Filter for Linear Discrete-Time Systems with Dual-Unknown Inputs

1
College of Automation, Qingdao University, Qingdao 266071, China
2
Shandong Key Laboratory of Industrial Control Technology, Qingdao University, Qingdao 266071, China
*
Author to whom correspondence should be addressed.
Energies 2023, 16(15), 5603; https://doi.org/10.3390/en16155603
Submission received: 26 April 2023 / Revised: 12 July 2023 / Accepted: 21 July 2023 / Published: 25 July 2023

Abstract

This paper proposes two new extended recursive three-step filters for linear discrete systems with dual-unknown inputs, which can simultaneously estimate unknown input and state. Extended recursive three-step filter 1 (ERTSF1) introduces an innovation for obtaining the estimates of the unknown input in the measurement equation, then derives the estimates of the unknown input in the state equation. After that, it uses the already obtained estimates of the dual-unknown inputs to correct the one-step prediction of the state, and finally, it obtains the minimum-variance unbiased estimate of the system state. Extended recursive three-step filter 2 (ERTSF2) establishes a unified innovation feedback model, then applies linear minimum-variance unbiased estimation to obtain the estimates of the system state and the dual-unknown inputs to refine a more concise recursive filter. Numerical Simulation Ex-ample demonstrates the effectiveness and superiority of the two filters in this paper compared with the traditional method. The battery state of charge estimation results demonstrate the effectiveness of ERTSF2 in practical applications.

1. Introduction

Currently, algorithms for state estimation in linear systems with unknown input have been widely applied in numerous application areas, including cyber-physical systems [1], State-of-Charge (SoC) estimation [2], fault prediction [3], fault-tolerant control [4], and State-of-Health (SoH) estimation [5,6], and they have garnered attention from many scholars.
For discrete linear stochastic systems with unknown input occurring solely in the state equation, earlier scholars solved the state estimation problem by augmenting the state vector with an unknown input, which is a classical approach to addressing unknown input problems. However, the computational effort needed to expand the dimensionality is significant. To address this issue, refs. [7,8,9,10] used a multilevel Kalman filter method with decoupled states and input to minimize algorithmic burden and save cost. Later, Kitanidis [11] proposed an optimal recursive state filter using minimum-variance unbiased (MVU) estimation, which does not require any prior information about the unknown input. Darouach M [12] borrowed the estimator design idea from [7] to get a further universal algorithm and provides the convergence analysis of the estimator. Thereafter, Hsieh [13] obtained an estimate of the unknown input, but the optimality has not been proven. Next, Gillijns and De Moor [14] proposed a new recursive three-step filter (RTSF), and it has proven to be the optimal method in the MUV sense.
In recent academic research, Shi et al. [15] explored the issue of achieving unbiased state estimation in linear time-varying systems with unknown input using an event-triggered mechanism. Li [16] and Su et al. [17] applied Bayesian inference to solve state estimation problems in partially observable systems with unknown input. The approach did not involve the addition of unbiasedness constraints. In terms of application, ref. [18] considers SoC estimation of the positive electrode of Li-ion batteries ground on an observer with unknown input.
However, the aforementioned algorithms solely focus on system state equations that contain unknown input. With continued research, some scholars have extended such filtering algorithms to the case where the measurement equations of the system model also contain unknown input. For the filter design problem of such direct feed-through systems, Darouach et al. [19] proposed a parametric filtering algorithm. Gillijns and De Moor [20] extended the RTSF to direct feedthrough systems and proved that the RTSF is an MVU estimator. To solve rank-deficient systems, alternative methods must be employed since RTSF requires the coefficient matrix for unknown inputs to have full column rank; Cheng et al. [21] used singular value decomposition to recursively derive optimal filters with global optimality. Hua et al. [22] used the full rank decomposition to give two new filters that address the condition that the RTSF must satisfy that the unknown input coefficient matrix is column full rank. Kong et al. [23] gave conditions for the existence of asymptotically stable estimators using the internal mode principle while extending the related results to the case where only the state equations contain unknown inputs. In addition, Kong et al. [24] discussed the problem of designing optimal Kalman filters for systems with unknown inputs and states and subject to parameter constraints. Furthermore, some scholars have considered the impact of uncertainties on system filtering caused by systems with both unknown inputs, missing measurements, and multiplicative noise, and they have conducted extensive studies [25,26,27]. In terms of application, a new method for estimating SoC based on a differential algebraic model for lithium iron phosphate batteries and an unknown input observer was proposed by [28,29].
All of the filtering algorithms discussed above assume that the state equation and measurement equation have the same unknown input. However, in practical application systems, the unknown input in the two equations can often be different. To address this issue, Lu et al. [30] extended the Double-Model Adaptive Estimation (DMAE) method [31] for output fault diagnosis to the filter design of systems that contain unknown inputs. They reformulated the system as described by [19,32], augmenting the unknown inputs to the system state. The extended DMAE approach can effectively estimate and decouple the state and unknown inputs. Furthermore, He and Liu [33] proposed an adaptive three-level information filter based on the augmented system. However, due to the strong uncertainty of the dual-unknown input system, the computational effort and filtering error after dimensional expansion increases sharply with the number of state dimensions. Recently, Feng et al. [34] designed a recursive state estimator based on adaptive variance minimization. This filter introduces an adaptive adjustment factor to skip the estimation of dual-unknown inputs, decouple the unknown input from the state filtering error, eliminating the effect of unknown disturbances.
In summary, the existing filter estimation algorithms for linear discrete systems containing unknown input have many limitations: (1) they require the unknown input in the model to be the same; (2) they require a certain prior knowledge of the unknown input; (3) applying the dimension expansion method, the computational effort increases dramatically with the number of dimensions; (4) they can only achieve the estimation of the state and cannot obtain the unknown input estimation. To overcome these limitations, this paper proposes two new extended recursive three-step filters (ERTSF) based on the innovative feedback idea used in RTSF. Both ERTSFs enable the estimation of state and dual-unknown inputs when the state and measurement equations contain different unknown inputs and do not have a priori knowledge of any unknown inputs. ERTSFs are less costly and more consistent with the practical application context, and their applied system is more relaxed and can be applied to a wider variety of situations.
The structure of this paper is as follows: Section 2 gives a description of the problem studied in this paper. Section 3 proposes a new ERTSF for systems with dual-unknown inputs. In Section 4, a more concise version of the ERTSF is designed, which enables decoupled estimation of state and dual-unknown inputs. Section 5 provides two examples to demonstrate the effectiveness of the two algorithms, and the performance of the proposed algorithms is compared to that of the classical RTSF. Finally, Section 6 concludes the paper.

2. Problem Formulation

Consider the following system:
x k = A k 1 x k 1 + G k 1 d k 1 + w k 1
y k = C k x k + H k l k + v k
where x k n and y k p are the state vector and the measurement output vector of the system, respectively; where d k 1 m 1 and l k m 2 are the unknown inputs in the process and measurement equations, respectively; w k 1 n and v k p are the process noise and measurement noise disturbances, respectively, which are mutually uncorrelated zero-mean Gaussian white noise signals and have known non-singular covariance matrices, Q k 1 = E [ w k 1 w k 1 T ] 0 and R k = E [ v k v k T ] > 0 , respectively; A k , G k , C k , H k are known time-varying matrices of appropriate dimensions, and ( A k , C k ) is observable; and the initial state values x 0 are independent of w k 1 and v k for all k . In addition, we assume that an unbiased estimate x ^ 0 = E ( x 0 ) of x 0 and the corresponding covariance matrix P 0 x = E [ ( x 0 x ^ 0 ) ( x 0 x ^ 0 ) T ] are known. According to Darouach et al. [19] and Hou and Patton [32], the following assumptions were made:
Assumption 1. 
The matrix D k = [ C k G k 1 H k ] has full rank, i.e., r a n k ( D k ) = m 1 + m 2 , which is equivalent to:
  • r a n k ( C k G k 1 ) = r a n k ( G k 1 ) = m 1 ;
  • r a n k ( H k ) = m 2 ;
  • There is no correlation between the columns of C k G k 1 and the columns of H k ;
  • p m 1 + m 2 .
Remark 1. 
Assumption condition one is the basic condition to achieve the decoupling of the unknown inputs in the state equation and measurement equation, which requires that the measurement vector dimension p be greater than the sum of the dual-unknown input vector dimensions m 1 + m 2 ; otherwise, there is not enough information to estimate the dual-unknown input vectors.
To achieve the best possible filtering results for the system described above, we need to obtain the following unbiased optimal filtering sequence { l ^ 0 | 0 , , l ^ k | k } , { d ^ 0 | 0 , , d ^ k 1 | k } , and { x ^ 0 | 0 , , x ^ k | k } for the dual-unknown inputs and system states step by step recursively, use the order of measurements { y 0 , y 1 , , y k } when the unbiased estimate x ^ 0 and the covariance matrix P 0 x are known.

3. ERTSF 1

The ERTSF1 considers the model (1) and (2) for l k d k , which is generalized in the following: In this section, we design ERTSF 1 for system models (1) and (2) using the idea of innovation. Used the order of measurements { y 0 , y 1 , , y k 1 } , we obtain x ^ k | k 1 ; the specific steps are given by Section 3.1. The measurement update to the k -step, and we design l ^ k | k , the specific expression for the filtering gain N k and the detailed derivation steps are given by Section 3.2. Based on the obtained l ^ k | k , we design the estimated equation d ^ k 1 | k ; the specific expression for the filtering gain M k and the detailed derivation steps are given by Section 3.3. Finally, according to the obtained dual-unknown input estimates l ^ k | k and d ^ k 1 | k , we design the estimated equation x ^ k | k ; the specific expression for the filtering gain K k and the detailed derivation steps are given by Section 3.4.

3.1. One-Step Prediction Estimation of System State

First, we consider the time update. Let x ^ k 1 | k 1 denote the optimal unbiased estimate of x k 1 when the measurement time series { y 0 , y 1 , , y k 1 } is known, we obtain
x ^ k | k 1 = A k 1 x ^ k 1 | k 1 .

3.2. Estimate of Unknown Input l k

Design the innovation y ˜ k = y k C k x ^ k | k 1 ; the innovation at k -step can be expanded as follows:
y ˜ k = C k ( A k 1 x ˜ k 1 | k 1 + w k 1 ) + v k + D k [ d k 1 l k ] ,
where D k = [ C k G k 1 H k ] , x ˜ k 1 | k 1 = x k 1 x ^ k 1 | k 1 .
Therefore, according to the innovation y ˜ k , we consider estimate of l k :
l ^ k | k = N k ( y k C k x ^ k | k 1 ) .
In the next step, we obtain:
l ˜ k | k = l k l ^ k | k = N k [ C k ( A k 1 x ˜ k 1 | k 1 + w k 1 ) + v k ] N k C k G k 1 d k 1 + ( I m 2 N k H k ) l k .
Theorem 1. 
For any d k 1 and l k , then (5) is an unbiased estimator if and only if N k satisfies:
[ 0 I m 2 ] N k D k = 0 .
Proof of Theorem 1. 
The proof is similar to that of Theorem 1 in [14], which (7) can be expanded to I m 2 N k H k = 0 and N k C k G k 1 = 0 when (6) is reduced to:
l ˜ k | k = N k [ C k ( A k 1 x ˜ k 1 | k 1 + w k 1 ) + v k ] .
Therefore, l ^ k | k is an unbiased estimate regardless of the values of d k 1 and l k . □
Further from (8), the covariance matrix P k | k l = E [ l ˜ k | k l ˜ k | k T ] of l k is given by:
P k | k l = N k R ¯ k N k T ,
where R ¯ k = C k Q ¯ k 1 C k T + R k , Q ¯ k 1 = A k 1 P k 1 | k 1 x A k 1 T + Q k 1 .
We solve for the pending gain matrix N k :
min t r ( P k | k l ) s . t . [ 0 I m 2 ] N k D k = 0 .
Theorem 2. 
If the system equations satisfy r a n k ( D k ) = m 1 + m 2 , then for any d k 1 and l k , the gain matrix N k for which (7) holds and minimizes the trace of the covariance matrix P k | k l is:
N k = [ 0 I m 2 ] ( D k T R ¯ k 1 D k ) 1 D k T R ¯ k 1 .
Proof of Theorem 2. 
Similar to Kitanidis’ [11] proof, the Lagrange multiplier method is adopted to solve the extreme value problem under this constraint. Let the Lagrangian be:
F = t r a c e { P k | k l } 2 t r a c e { Λ k ( [ 0 I m 2 ] N k D k ) } ,
where Λ k p × m 2 is the Lagrangian multiplier matrix, and the factor “2” is intended to keep the calculation simple.
Take the derivative of (12) with respect to N k and making the resulting derivative zero, we get:
N k R ¯ k + Λ k T D k T = 0 .
The system of linear equations consisting of (13) and (7) is:
[ R ¯ k T D k D k T 0 ] [ N k T Λ k ] = [ 0 [ 0 I m 2 ] T ] .
According to the existence theorem for solutions of linear equations, this coefficient matrix has a unique solution to the system of equations if and only if it is non-singular. Let R ¯ k T be non-singular, then the coefficient matrix is non-singular if and only if D k T ( R ¯ k T ) 1 D k , the Schur complement of R ¯ k T , is nonsingular. Finally, using the Schur complementary lemma, the gain matrix N k expression (11) is obtained. □

3.3. Estimate of Unknown Input d k 1

We consider the estimation l ^ k | k , obtained in the previous section, to design a new innovation:
y ˜ k * 1 = y k C k x ^ k | k 1 H k l ^ k | k .
Therefore, according to the innovation y ˜ k * 1 , we consider estimate of d k 1 :
d ^ k 1 | k = M k ( y k C k x ^ k | k 1 H k l ^ k | k ) .
We further obtain that:
d ˜ k 1 | k = d k 1 d ^ k 1 | k = ( I m 1 M k C k G k 1 ) d k 1 M k ( C k A k 1 x ˜ k 1 | k 1 + H k l ˜ k | k + C k w k 1 + v k )
Theorem 3. 
To make (16) is an unbiased estimator for all possible d k 1 if and only if M k satisfies:
I m 1 M k C k G k 1 = 0 .
Proof of Theorem 3. 
This proof is similar to the proof of Theorem 1 above and is therefore omitted. □
From the unbiased conditional (18), rewrite the expression for d ˜ k 1 | k as follows:
d ˜ k 1 | k = M k ( C k A k 1 x ˜ k 1 | k 1 + H k l ˜ k | k + C k w k 1 + v k ) .
Then it from (19) that P k 1 | k d = E [ d ˜ k 1 | k d ˜ k 1 | k T ] is given by:
P k 1 | k d = M k R ¯ k M k T + M k H k P k | k l H k T M k T + M k H k P k 1 l x A k 1 T H k T M k T + M k H k A k 1 P k 1 x l H k T M k T
where P k 1 x l = E [ x ˜ k 1 | k 1 l ˜ k | k T ] , P k 1 l x = ( P k 1 x l ) T .
We solve for the pending gain matrix M k :
min t r ( P k 1 | k d ) s . t . I m 1 M k C k G k 1 = 0 .
Theorem 4. 
If the system equations satisfy r a n k ( D k ) = m 1 + m 2 , then for any d k 1 and l k , the gain matrix M k for which (18) holds and minimizes the trace of the covariance matrix P k 1 | k d is:
M k = I m 1 [ G k 1 T C k T ( R ¯ k * ) 1 C k G k 1 ] 1 C k T G k 1 T ( R ¯ k * ) 1 ,
where  R ¯ k * = R ¯ k + H k P k | k l H k T + H k P k 1 l x A k 1 T C k T + C k A k 1 P k 1 x l H k T .
Proof of Theorem 4. 
This proof is similar to the proof of Theorem 2 above and is therefore omitted. □

3.4. State Estimation

We contemplate updating the value of x ^ k | k 1 by utilizing the estimation of an unknown input d ^ k 1 | k , we find that:
x ^ k | k 1 * = x ^ k | k 1 + G k 1 d ^ k 1 | k .
Consequently, we obtain:
P k | k 1 x * = E [ x ˜ k | k 1 * ( x ˜ k | k 1 * ) T ] = ( A k 1 G k 1 ) ( P k 1 | k 1 x P k 1 x d P k 1 d x P k 1 | k d ) ( A k 1 T G k 1 T ) + Q k 1 ,
where P k 1 x d = E [ x ˜ k 1 | k 1 d ˜ k 1 | k T ] , P k 1 d x = ( P k 1 x d ) T .
The new innovation is then updated based on d ^ k 1 | k and l ^ k | k already obtained above:
y ˜ k * 2 = y k C k x ^ k | k 1 * H k l ^ k | k .
In turn, we design the estimation of the state:
x ^ k | k = x ^ k | k 1 * + K k ( y k C k x ^ k | k 1 * H k l ^ k | k ) .
The error in the estimation of state x k can be obtained from the above equation:
x ˜ k | k = x k x ^ k | k = x ˜ k | k 1 * K k ( C k x ˜ k | k 1 * + H k l ˜ k | k + v k ) ,
where x ˜ k | k 1 * = A k 1 x ˜ k 1 | k 1 + G k 1 d ˜ k 1 | k + w k 1 .
Theorem 5. 
Since x ^ k 1 | k 1 , d ^ k 1 | k , and l ^ k | k are unbiased estimations, the estimation x k | k derived from (26) is an unbiased estimate of the state for any value of K k .
Proof of Theorem 5. 
This proof is similar to the proof of Theorem 1 above and is therefore omitted. □
The covariance matrix of states is obtained from (27):
P k | k x = E ( x ˜ k | k x ˜ k | k T ) = P k | k 1 x * P k | k 1 x * C k T K k T K k C k P k | k 1 x * + K k R k K k T + K k C k P k | k 1 x * C k T K k T + K k H k P k | k l H k T K k T + K k H k P k 1 l x A k 1 T ( C k T K k T I n ) + ( K k C k I n ) A k 1 P k 1 x l H k T K k T .
Theorem 6. 
The gain matrix K k that minimizes the trace of the covariance matrix P k | k x under the condition that the ( C k P k | k 1 x * C k T + H k P k | k l H k T ) is a positive definite is:
K k = ( P k | k 1 x * C k T + A k 1 P k 1 x l H k ) ( C k P k | k 1 x * C k T + H k P k | k l H k T + H k P k 1 l x A k 1 T C k T + C k A k 1 P k 1 x l H k T + R k ) 1 .
Proof of Theorem 6. 
The gain matrix K k is obtained by minimizing the trace of P k | k x , i.e., solving for the following equation:
t r ( P k | k x ) K k = 0 .
We rearrange and calculate (29). □
Finally, the expression for the mutual covariance P k 1 x d is derived from (27) and (19) as:
P k 1 x d = P k 1 | k 1 x A k 1 T C k T M k T P k 1 x l H k T M k T .
The expression for the mutual covariance P k 1 x l is derived from (8) and (19) as:
P k 1 x l = P k 1 | k 1 x A k 1 T C k T N k T .

3.5. Iterative Step Summary

To more easily demonstrate the ERTSF1 design process, the iterative steps are summarized in this section and the detailed procedure is as follows:
One-step system status estimation
Based on x ^ k 1 | k 1 , we obtain a one-step prediction of the state for steps k 1 to k .
x ^ k | k 1 = A k 1 x ^ k 1 | k 1
Estimate of unknown input l k
Q ¯ k 1 = A k 1 P k 1 | k 1 x A k 1 T + Q k 1 R ¯ k = C k Q ¯ k 1 C k T + R k N k = [ 0 I m 2 ] ( D k T R ¯ k 1 D k ) 1 D k T R ¯ k 1 l ^ k | k = N k ( y k C k x ^ k | k 1 ) P k | k l = N k R ¯ k N k T
Estimate of unknown input d k 1
R ¯ k * = R ¯ k + H k P k | k l H k T + H k P k 1 l x A k 1 T C k T + C k A k 1 P k 1 x l H k T M k = I m 1 [ G k 1 T C k T ( R ¯ k * ) 1 C k G k 1 ] 1 C k T G k 1 T ( R ¯ k * ) 1 d ^ k 1 | k = M k ( y k C k x ^ k | k 1 H k l ^ k | k ) P k 1 | k d = M k R ¯ k * M k T
State estimation of x k
K k = ( P k | k 1 x * C k T + A k 1 P k 1 x l H k ) ( C k P k | k 1 x * C k T + H k P k | k l H k T + H k P k 1 l x A k 1 T C k T + C k A k 1 P k 1 x l H k T + R k ) 1 x ^ k | k = x ^ k | k 1 * + K k ( y k C k x ^ k | k 1 * H k l ^ k | k ) P k | k x = P k | k 1 x * P k | k 1 x * C k T K k T K k C k P k | k 1 x * + K k C k P k | k 1 x * C k T K k T + K k R k * K k T + K k H k P k 1 l x A k 1 T + A k 1 P k 1 x l H k T K k T P k | k 1 x * = ( A k 1 G k 1 ) ( P k 1 | k 1 x P k 1 x d P k 1 d x P k 1 | k d ) ( A k 1 T G k 1 T ) + Q k 1 P k 1 x d = P k 1 | k 1 x A k 1 T C k T M k T P k 1 x l H k T M k T P k 1 x l = P k 1 | k 1 x A k 1 T C k T N k T P k 1 d x = ( P k 1 x d ) T P k 1 l x = ( P k 1 x l ) T

4. ERTSF 2

In practice, the above, ERTSF1, requires progressive updating of the innovation, and the iterative process of the algorithm is tedious, making the solution process time consuming and costly. In this section, we re-derive a more concise filter for the system studied above using the same innovation feedback. This filter, given a sequence of measurements { y 0 , y 1 , , y k } , first obtains a one-step prediction of x ^ k | k 1 for x k . The detailed derivation is as in Section 3.1 and will not be repeated here. The measurement is updated to a k -step to obtain a filter estimate x ^ k | k for x k ; the derivation process and the specific expression for the filter gain L k are described in Section 4.1. The next step is to obtain filter estimates d ^ k 1 | k and l ^ k | k for the dual-unknown-inputs d k 1 and l k ; the derivation process and the specific expressions for the filter gains M k and N k are given in Section 4.2.

4.1. State Estimation

In this section, we first use the innovation y k C k x ^ k | k 1 feedback to correct the one-step prediction x k | k 1 to obtain an unbiased valuation of x k and the corresponding variance array. For systems (1) and (2), the innovation at moment k can be expanded as shown in (4) above.
Therefore, we design the filter valuation of x k :
x ^ k | k = x ^ k | k 1 + L k ( y k C k x ^ k | k 1 ) .
The next step is to calculate the gain matrix L k , which is obtained from (1) and (33).
x ˜ k | k = ( I n L k C k ) ( A k 1 x ˜ k 1 | k 1 + w k 1 ) L k v k + ( I n L k C k ) G k 1 d k 1 L k H k l k .
Theorem 7. 
For any d k and l k , to make (33) as an unbiased estimator of x k , the following equation holds when and only when:
[ G k 1 0 ] L k D k = 0 .
Proof of Theorem 7. 
(35) is equivalent to G k 1 L k C k G k 1 = 0 and L k H k = 0 . (34) can be simplified to:
x ˜ k | k = ( I n L k C k ) ( A k 1 x ˜ k 1 | k 1 + w k 1 ) L k v k .
Therefore, whatever the values of d k 1 and l k , x ^ k | k is an unbiased estimate of the state value x k . □
Further from (36), we calculate P k | k x to obtain:
P k | k x = ( I n L k C k ) Q ¯ k 1 ( I n L k C k ) T + L k R k L k T .
We solve for the pending gain matrix L k :
min t r ( P k | k x ) s . t . [ G k 1 0 ] L k D k = 0 .
Theorem 8. 
The gain matrix L k that satisfies the unbiased condition (34) and minimizes the trace of the covariance matrix P k | k x is:
L k = Q ¯ k 1 C k R ¯ k 1 + ( [ G k 1 0 ] Q ¯ k 1 C k R ¯ k 1 D k ) ( D k T R ¯ k 1 D k ) 1 D k T R ¯ k 1 .
Proof of Theorem 8. 
Similar to Kitanidis’ idea [11], the Lagrange multiplier method is used to prove this theorem. Let the Lagrangian be:
F = t r a c e { P k | k x } 2 t r a c e { Λ k ( [ G k 1 0 ] L k D k ) } ,
where Λ k n × m 1 + m 2 is the Lagrange multiplier matrix, and the factor “2” is intended to keep the calculation simple.
Taking the derivative of (40) with respect to L k and making the resulting derivative zero, we obtain:
L k R ¯ k + Λ k T D k T Q ¯ k 1 C k T = 0 .
The system of linear equations consisting of (41) and (35) is:
[ R ¯ k T D k D k T 0 ] [ L k T Λ k ] = [ C k Q ¯ k 1 [ G k 1 0 ] T ] .
According to the existence theorem for solutions of linear equations, this coefficient matrix has a unique solution to the system of equations if and only if it is non-singular. Let R ¯ k T be non-singular, then the coefficient matrix is nonsingular if and only if D k T ( R ¯ k T ) 1 D k , the Schur complement of R ¯ k T , is nonsingular. Finally, using the Schur complementary lemma, the gain matrix L k expression (39) is obtained. □

4.2. Estimate of Unknown Input

This section considers the estimates of the unknown inputs d k 1 and l k . Section 4.2.1 obtains the estimate of the unknown input d k 1 while determining the conditions to be satisfied for the gain matrix M k to be determined. Section 4.2.2 obtains the estimate of the unknown input l k while determining the conditions to be satisfied for the gain matrix N k to be determined.

4.2.1. Estimate of Unknown Input d k

In this subsection, we use the innovation y k C k x k | k 1 feedback to obtain the unbiased valuation of d k 1 as follows:
d ^ k 1 | k = M k ( y k C k x ^ k | k 1 ) .
In the next step, we obtain the estimation error of the unknown input d k 1 from (43):
d ˜ k 1 | k = d k 1 d ^ k 1 | k = M k [ C k ( A k 1 x ˜ k 1 | k 1 + w k 1 ) + v k ] + ( I m 1 M k C k G k 1 ) d k 1 M k H k l k .
Theorem 9. 
For any d k 1 and l k , make (43) an unbiased estimate of d k 1 , when and only when:
[ I m 1 0 ] M k D k = 0 .
Proof of Theorem 9. 
(45) is equivalent to I m 1 M k C k G k 1 = 0 and M k H k = 0 . (44) reduces to:
d ˜ k 1 | k = M k [ C k ( x ˜ k | k 1 + w k 1 ) + v k ] .
Therefore, d ^ k 1 | k is an unbiased estimate regardless of the values of d k 1 and l k . □
Further from (46), P k 1 | k d = E ( d ˜ k 1 | k d ˜ k 1 | k T ) can be calculated to give:
P k 1 | k d = M k R ¯ k M k T .
Finally, the pending gain matrix M k is solved by solving the following constraint problem:
min t r ( P k 1 | k d ) [ I m 1 0 ] M k D k = 0 .
Theorem 10. 
The gain matrix M k that satisfies the unbiased condition (45) and minimizes the trace of the covariance matrix P k 1 | k d is:
M k = [ I m 1 0 ] ( D k T R ¯ k 1 D k ) 1 D k T R ¯ k 1 .
Proof of Theorem 10. 
The proof procedure is exactly similar to Theorem 8. □

4.2.2. Estimate of Unknown Input l k

Since the innovation y k C k x k | k 1 of ERTSF2 is the same as the innovation (4) used in the estimation of the unknown input l k in Section 3.2, this section follows the same proof procedure as Section 3.2 and will not be repeated here.

4.3. Iterative Step Summary

In order to provide a clearer representation of the filter design process for dual-unknown inputs, this section summaries the iterative steps for dual-unknown inputs, as follows:
One-step system status estimation
Based on x ^ k 1 | k 1 , we obtain a one-step prediction of the state for steps k 1 to k :
x ^ k | k 1 = A k 1 x ^ k 1 | k 1
State estimation of x k
Q ¯ k 1 = A k 1 P k 1 | k 1 x A k 1 T + Q k 1 R ¯ k = C k Q ¯ k 1 C k T + R k L k = Q ¯ k 1 C k R ¯ k 1 + ( [ G k 1 0 ] Q ¯ k 1 C k R ¯ k 1 D k ) ( D k T R ¯ k 1 D k ) 1 D k T R ¯ k 1 x ^ k | k = x ^ k | k 1 + L k ( y k C k x ^ k | k 1 ) P k | k x = ( I n L k C k ) Q ¯ k 1 ( I n L k C k ) T + L k R k L k T
Estimate of unknown input
M k = [ I m 1 0 ] ( D k T R ¯ k 1 D k ) 1 D k T R ¯ k 1 N k = [ 0 I m 2 ] ( D k T R ¯ k 1 D k ) 1 D k T R ¯ k 1 d ^ k 1 | k = M k ( y k C k x ^ k | k 1 ) l ^ k | k = N k ( y k C k x ^ k | k 1 ) P k 1 | k d = M k R ¯ k M k T P k | k l = N k R ¯ k N k T

5. Simulation Experiments

Example 1. 
To assess the practicality of the two filtering algorithms proposed in this paper, a numerical example similar to that of [35] is chosen in the form of the system (1) and (2), and the specific values of the system correlation matrix are as follows:
A = [ 0.5 2 0 0 0 0 0.2 1 0 1 0 0 0.3 0 1 0 0 0 0.7 1 0 0 0 0 0.1 ] , G = [ 1 0 0 0 1 0 1 0 1 1 0 0 0 1 0 ] , H = [ 1 0 0 1 0 0 0 0 0 0 ]
C = I 5 , R = 10 2 × [ 1 0 0 0.5 0 0 1 0 0 0.3 0 0 1 0 0 0.5 0 0 1 0 0 0.3 0 0 1 ] , Q = 10 2 × [ 1 0 0 0 0 0 1 0.5 0 0 0 0.5 1 0 0 0 0 0 1 0 0 0 0 0 1 ] .
Assume that the system state x k is:
x k = [ x 1 k x 2 k x 3 k x 4 k x 5 k ] T .
Assume that the d k is:
d k = [ d 1 k d 2 k d 3 k ] T .
Assume that the l k is:
l k = [ l 1 k l 2 k ] T .
In order to simplify the description in the simulation in this section, l ^ k is the unknown input estimated value l ^ k | k in the measurement equation, d ^ k is the unknown input estimated value d ^ k 1 | k in the state equation, and x ^ k is the state estimated value x ^ k | k .
The effectiveness of the ERTSF1 and ERTSF2 put forward in this paper for systems containing dual-unknown inputs is verified below, and the simulation results of the two algorithms in this paper compared with the RTSF algorithm proposed in [14] are given in Figure 1, Figure 2 and Figure 3.
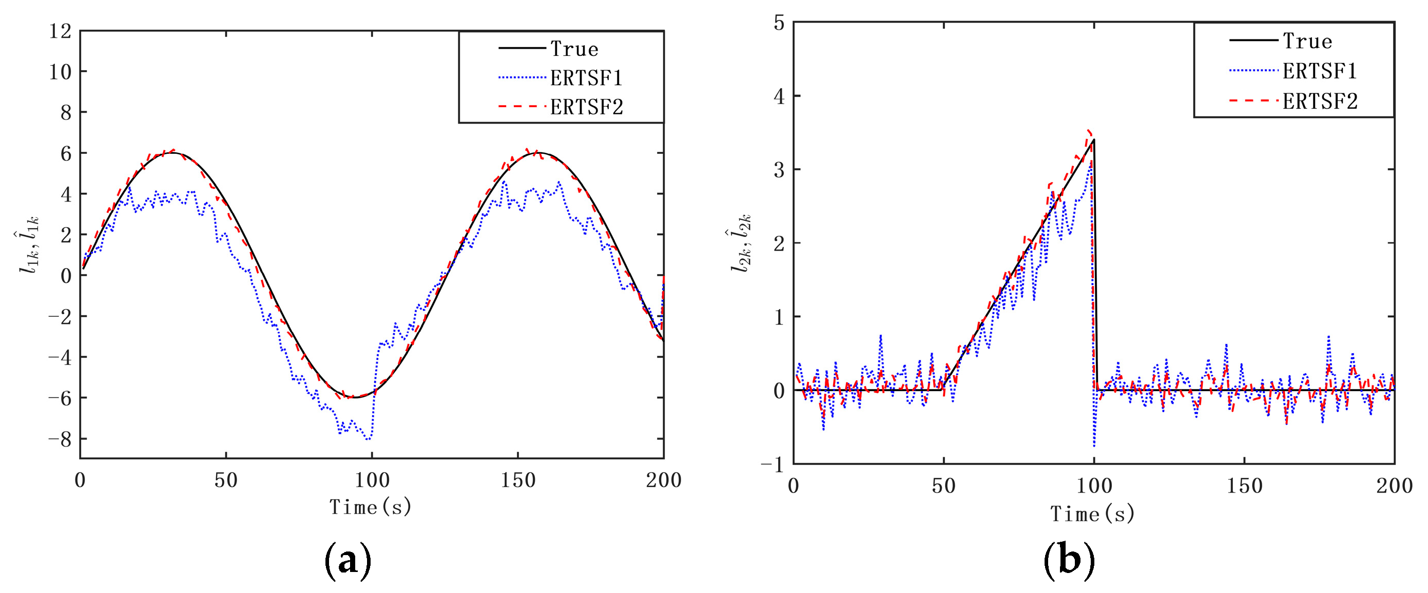
From the figure, we can see that the algorithm proposed in [14] cannot estimate l k . When we consider increasing the unknown input l k , the error of the method proposed in [14] is too large and fails; when the unknown input l k is set to 0, two ERTSFs returns to the RTSF, indicating ERTSFs are applicable to a wider range of systems and are more in line with practical applications.
The root mean square error (RMSE) of the system state and dual-unknown inputs estimates obtained by applying the two algorithms proposed in this paper and the algorithm proposed in [14] are shown in Table 1, Table 2 and Table 3.
Above tables show the estimation accuracy of state and unknown inputs has improved compared to the algorithm in [14] with numerical values, and the estimation accuracy of dual-unknown inputs is higher in ERTSF2 compared to ERTSF1. In addition, the results of comparing the running times of the program blocks show that ERTSF2 (0.41632s) is faster than ERTSF1 (0.83972s). The difference in computation time increases with the expansion of the algorithm matrix and the increase in the number of iteration steps.
Example 2. 
New types of energy storage device, e.g., batteries and supercapacitors, have developed rapidly because of their irreplaceable advantages [36]. In order to further verify the effectiveness of the filtering algorithm designed in this paper, Example 2 is simulated based on the 3.7 V/2.6 Ah capacity lithium battery proposed in the literature [37]. The equivalent circuit model of the lithium battery is shown in Figure 4:
In the literature [37], the battery model is finally linearly discretized to obtain the following form:
{ x k + 1 = A d x k + B d u k + v k y k = C x k + D u k + w k ,
where x k = [ S o C V p ] , y k = U o , A d = [ 1 0 0 e T / ( R p C p ) ] , B d = [ T / ( C n 3600 ) R p ( 1 e T / ( R p C p ) ) ] , and D = R 0 ; C = [ d V o c ( S o C ) d Z 1 ] , C n is the nominal capacity of the battery, and u k is the setpoint, which is the current I L in our case. Therefore, the coefficient matrix corresponding to the system in this paper is as follows:
A = [ 1 0 0 e T / ( R p C p ) ] , G = [ T / ( C n 3600 ) , R p ( 1 e T / ( R p C p ) ) ] , H = [ R 0 ] , C = [ d V o c ( S o C ) d Z 1 ] , R = [ 1 × 10 2 0 0 1 × 10 2 ] , Q = 1.5 × 10 4 .
In reference [37], parameter identification was conducted using the least squares algorithm. The study obtained the four parameters, C p , R p , R 0 , and V o c , of the model. Furthermore, it established the initial mathematical relationship between S o C and V o c :
V o c ( S o C ) = 269.1 ( S o C ) 7 1083 ( S o C ) 6 + 1784 ( S o C ) 5 1555 ( S o C ) 4 + 770.1 ( S o C ) 3 215.4 ( S o C ) 2 + 31.59 ( S o C ) + 2.6 ,
and the battery parameters are set as shown in the Table 4 below.
Assume that the system state x k is:
x k = [ S o C V p ] T
Assume that the d k is:
d k = I L
The dual-unknown input algorithm proposed in this paper reverts to the traditional RTSF when d k = l k in system Equations (1) and (2). Therefore, for simulation purposes, we utilize ERTSF2, which demonstrates better performance in Example 1. Additionally, we consider the current as an unknown input to obtain Figure 5, enabling a current estimation in both discharge and charge scenarios.
Figure 5 reveals that shortly after the experiment commenced, the error of the unknown input approached 0. This suggests that the estimation of the unknown input rapidly achieved convergence, demonstrating the effectiveness of the algorithm proposed in this paper in accurately tracking the estimated unknown input.
To validate the effectiveness of the algorithm, we conducted battery experiments under two conditions: discharging and charging. During the experimental simulation, the algorithm estimated the SoC of the battery. As depicted in Figure 6, a comparison between the estimated SoC and the actual SoC values allows us to evaluate the accuracy and reliability of the algorithm. This ensures that the algorithm proposed in this paper can provide reliable SoC estimation in small cells, and the results of the study demonstrate the potential and effectiveness of our algorithm in the field of battery SoC estimation.

6. Discussion

This study provides two simultaneous state estimation and dual-unknown input estimation algorithms. The ERTSF1 comprehensively considers the interaction between variables when dealing with dual-unknown input systems and requires relatively weak preconditions in the application, which is crucial for solving complex systems in the real world. However, the algorithm’s complexity increases, resulting in higher computational requirements and execution time. Additionally, the uncertainty of the coupling items between variables further challenges the algorithm, impacting its accuracy and running speed.
Building upon ERTSF1, we propose ERTSF2. Compared to ERTSF1, ERTSF2 removes the interaction terms between variables, necessitating additional assumptions during its application. Compared to ERTSF1, the ERTSF2 iterative steps are more concise and improve in terms of accuracy and running speed.
In comparison to the traditional RTSF, numerical simulation experiments demonstrate that the two algorithms proposed in this paper outperform the traditional RTSF algorithm when facing an increase in unknown input l k . Furthermore, our research proves that when d k = l k , the algorithm in this paper reverts to the RTSF. In SoC estimation simulation experiments, our algorithm can accurately estimate the SoC of the battery regardless of the battery charging or discharging state. The simulation results verify the effectiveness of the algorithm in practical applications.
It is worth noting that filtering algorithms incorporating double unknown inputs offer a more general model for practical applications. Therefore, further research is required to explore broader application domains in real systems. Future studies should focus on enhancing and optimizing this algorithm to improve its robustness, accuracy, and efficiency. Additionally, exploring the algorithm’s applicability in different domains and real-world systems as well as investigating its performance under various unknown input scenarios will facilitate the development of this field and open up opportunities for innovation in diverse application domains.

7. Conclusions

For dual-unknown input systems, this paper addresses the simultaneous estimation of state and dual-unknown inputs. In this paper, two types of ERTSF algorithms are designed. These algorithms not only solve the invalid issue of the classic RTSF algorithm in dual-unknown input systems, but also obtain the estimation of the dual-unknown inputs and state without any prior knowledge of the unknown inputs. Moreover, when the unknown input in the system is the same input, the algorithm can revert to the classic RTSF. Through a numerical simulation and practical application of two kinds of simulation results, it is demonstrated that both proposed algorithms can achieve the estimated target, proving their effectiveness.
However, the scope of application of the algorithm is limited by certain prerequisites; moreover, although the algorithm has been thoroughly validated theoretically, it still needs further extensive research and improvement in practical applications.
Finally, for future work, it is hoped that the battery SoC can be estimated under different battery models and more working conditions, that the setting of each parameter in the battery model is deeply studied, and that the battery temperature is considered to be one of the items in the system model so as to get a more accurate SoC estimation. In addition, it is planned to include the battery SoH estimation in the future research work so as to realize a more permanent and reliable SoC estimation.

Author Contributions

Conceptualization, N.W. and S.D.; methodology, N.W.; software, S.D.; validation, N.W., S.D. and Z.L.; formal analysis, N.W.; investigation, S.D.; resources, N.W.; data curation, S.D.; writing—original draft preparation, S.D.; writing—review and editing, N.W. and S.D.; visualization, S.D. and X.W.; supervision, N.W.; project administration, N.W.; funding acquisition, N.W. All authors have read and agreed to the published version of the manuscript.

Funding

This research was funded by the National Natural Science Foundation of China (61703221) and the Natural Science Foundation of Shandong Province (ZR2016FP10).

Data Availability Statement

The data presented in this study is available on request from the corresponding author.

Conflicts of Interest

The authors declare no conflict of interest.

Abbreviations

The following abbreviations are used in this manuscript:
SoCState of Charge
SoHState of Health
MVUMinimum-variance unbiased
RTSFRecursive three-step filter
DMAEDouble-Model Adaptive Estimation
ERTSFExtended recursive three-step filter
RMSERoot Mean Square Error

References

  1. Huang, J.; Shi, D.; Chen, T. Event-triggered robust state estimation for systems with unknown exogenous inputs. Automatica 2020, 122, 109248. [Google Scholar] [CrossRef]
  2. Lai, X.; Yuan, M.; Tang, X.; Yao, Y.; Weng, J.; Gao, F.; Ma, W.; Zheng, Y. Co-Estimation of State-of-Charge and State-of-Health for Lithium-Ion Batteries Considering Temperature and Ageing. Energies 2022, 15, 7416. [Google Scholar] [CrossRef]
  3. Verbert, K.; De Schutter, B.; Babuška, R. A multiple-model reliability prediction approach for condition-based maintenance. IEEE Trans. Reliab. 2018, 67, 1364–1376. [Google Scholar] [CrossRef]
  4. Qiao, B.; Su, X.; Jia, R.; Shi, Y.; Mahmoud, M.S. Event-triggered fault detection filtering for discrete-time Markovian jump systems. Signal Process. 2018, 152, 384–391. [Google Scholar] [CrossRef]
  5. Zhang, M.; Liu, Y.; Li, D.; Cui, X.; Wang, L.; Li, L.; Wang, K. Electrochemical Impedance Spectroscopy: A New Chapter in the Fast and Accurate Estimation of the State of Health for Lithium-Ion Batteries. Energies 2023, 16, 1599. [Google Scholar] [CrossRef]
  6. Zhang, M.; Yang, D.; Du, J.; Sun, H.; Li, L.; Wang, L.; Wang, K. A Review of SOH Prediction of Li-Ion Batteries Based on Data-Driven Algorithms. Energies 2023, 16, 3167. [Google Scholar] [CrossRef]
  7. Friedland, B. Treatment of bias in recursive filtering. IEEE Trans. Autom. Control 1969, 14, 359–367. [Google Scholar] [CrossRef]
  8. Tuan, P.C.; Fong, L.W.; Huang, W.T. Application of Kalman filtering with input estimation technique to on-line cylindrical inverse heat conduction problems. JSME Int. J. Ser. B Fluids Therm. Eng. 1997, 40, 126–133. [Google Scholar] [CrossRef]
  9. Baek, S.J.; Hunt, B.R.; Kalnay, E.; Ott, E.; Szunyogh, I. Local ensemble Kalman filtering in the presence of model bias. Tellus A Dyn. Meteorol. Oceanogr. 2006, 58, 293–306. [Google Scholar] [CrossRef]
  10. Smagin, S. Filtering in linear discrete systems with unknown perturbations. Optoelectron. Instrum. Data Process. 2009, 45, 513–519. [Google Scholar] [CrossRef]
  11. Kitanidis, P.K. Unbiased minimum-variance linear state estimation. Automatica 1987, 23, 775–778. [Google Scholar] [CrossRef]
  12. Darouach, M.; Zasadzinski, M. Unbiased minimum variance estimation for systems with unknown exogenous inputs. Automatica 1997, 33, 717–719. [Google Scholar] [CrossRef]
  13. Hsieh, C.S. Robust two-stage Kalman filters for systems with unknown inputs. IEEE Trans. Autom. Control 2000, 45, 2374–2378. [Google Scholar] [CrossRef]
  14. Gillijns, S.; De Moor, B. Unbiased minimum-variance input and state estimation for linear discrete-time systems. Automatica 2007, 43, 111–116. [Google Scholar] [CrossRef]
  15. Shi, D.; Chen, T.; Darouach, M. Event-based state estimation of linear dynamic systems with unknown exogenous inputs. Automatica 2016, 69, 275–288. [Google Scholar] [CrossRef]
  16. Li, B. State estimation with partially observed inputs: A unified Kalman filtering approach. Automatica 2013, 49, 816–820. [Google Scholar] [CrossRef]
  17. Su, J.; Li, B.; Chen, W.H. On existence, optimality and asymptotic stability of the Kalman filter with partially observed inputs. Automatica 2015, 53, 149–154. [Google Scholar] [CrossRef]
  18. Rahman, A.; Lin, X.; Wang, C. Li-Ion Battery Anode State of Charge Estimation and Degradation Monitoring Using Battery Casing via Unknown Input Observer. Energies 2022, 15, 5662. [Google Scholar] [CrossRef]
  19. Darouach, M.; Zasadzinski, M.; Boutayeb, M. Extension of minimum variance estimation for systems with unknown inputs. Automatica 2003, 39, 867–876. [Google Scholar] [CrossRef]
  20. Gillijns, S.; De Moor, B. Unbiased minimum-variance input and state estimation for linear discrete-time systems with direct feedthrough. Automatica 2007, 43, 934–937. [Google Scholar] [CrossRef]
  21. Cheng, Y.; Ye, H.; Wang, Y.; Zhou, D. Unbiased minimum-variance state estimation for linear systems with unknown input. Automatica 2009, 45, 485–491. [Google Scholar] [CrossRef]
  22. Hua, Y.; Wang, N.; Zhao, K. Simultaneous unknown input and state estimation for the linear system with a rank-deficient distribution matrix. Math. Probl. Eng. 2021, 2021, 6693690. [Google Scholar] [CrossRef]
  23. Kong, H.; Sukkarieh, S. An internal model approach to estimation of systems with arbitrary unknown inputs. Automatica 2019, 108, 108482. [Google Scholar] [CrossRef]
  24. Kong, H.; Shan, M.; Sukkarieh, S.; Chen, T.; Zheng, W.X. Kalman filtering under unknown inputs and norm constraints. Automatica 2021, 133, 109871. [Google Scholar] [CrossRef]
  25. Xu, Y.; Wang, N. Filtering algorithm for linear discrete systems with missing measurements. Sci. Technol. Eng. 2021, 21, 11226–11231. [Google Scholar]
  26. Hu, J.; Wang, Z.; Liu, G.P. Delay compensation-based state estimation for time-varying complex networks with incomplete observations and dynamical bias. IEEE Trans. Cybern. 2021, 52, 12071–12083. [Google Scholar] [CrossRef]
  27. Kong, H.; Shan, M.; Su, D.; Qiao, Y.; Al-Azzawi, A.; Sukkarieh, S. Filtering for systems subject to unknown inputs without a priori initial information. Automatica 2020, 120, 109122. [Google Scholar] [CrossRef]
  28. Snoussi, J.; Elghali, S.B.; Zerrougui, M.; Bensoam, M.; Benbouzid, M.; Mimouni, M.F. Unknown input observer design for lithium-ion batteries SOC estimation based on a differential-algebraic model. J. Energy Storage 2020, 32, 101973. [Google Scholar] [CrossRef]
  29. Yu, X.; Ma, N.; Zheng, L.; Wang, L.; Wang, K. Developments and Applications of Artificial Intelligence in Music Education. Technologies 2023, 11, 42. [Google Scholar] [CrossRef]
  30. Lu, P.; Kampen, E.J.; Visser, C.C.; Chu, Q. Framework for state and unknown input estimation of linear time-varying systems. Automatica 2016, 73, 145–154. [Google Scholar] [CrossRef]
  31. Lu, P.; Eykeren, L.; Kampen, E.J.; Visser, C.; Chu, Q. Double-model adaptive fault detection and diagnosis applied to real flight data. Control Eng. Pract. 2015, 36, 39–57. [Google Scholar] [CrossRef]
  32. Hou, M.; Patton, R.J. Optimal filtering for systems with unknown inputs. IEEE Trans. Autom. Control 1998, 43, 445–449. [Google Scholar] [CrossRef]
  33. He, K.; Liu, H. An adaptive three-stage information filter of simultaneous state and unknown disturbance estimation in linear time-varying systems. GPS Solut. 2023, 27, 27. [Google Scholar] [CrossRef]
  34. Feng, X.; Li, S.; Pan, F. State estimate for stochastic systems with dual unknown interference inputs. Chin. J. Aeronaut. 2020, 33, 2395–2407. [Google Scholar] [CrossRef]
  35. Hua, Y.; Wang, N.; Zhao, K. Extension Recursive Filtering of Unknown Input and State for Linear Systems. Control Eng. China 2021, 28, 717–723. [Google Scholar]
  36. Yi, Z.; Chen, Z.; Yin, K.; Wang, L.; Wang, K. Sensing as the key to the safety and sustainability of new energy storage devices. Prot. Control Mod. Power Syst. 2023, 8, 27. [Google Scholar] [CrossRef]
  37. Mazzi, Y.; Sassi, H.B.; Errahimi, F.; Es-Sbai, N. State of charge estimation using extended kalman filter. In Proceedings of the 2019 International Conference on Wireless Technologies, Embedded and Intelligent Systems (WITS), Fez, Morocco, 3–4 April 2019; pp. 1–6. [Google Scholar]
Figure 1. It can be seen that two ERTSFs can track and estimate the unknown inputs l 1 k and l 2 k while the algorithm proposed in [14] cannot estimate l k . The estimation accuracy of l k in ERTSF1 is lower because ERTSF1 needs to update the innovation gradually while ERTSF2 does not need to update the innovation. Therefore, ERTSF2 has a high estimation accuracy. (a) Unknown input l 1 k , (b) Unknown input l 2 k .
Figure 1. It can be seen that two ERTSFs can track and estimate the unknown inputs l 1 k and l 2 k while the algorithm proposed in [14] cannot estimate l k . The estimation accuracy of l k in ERTSF1 is lower because ERTSF1 needs to update the innovation gradually while ERTSF2 does not need to update the innovation. Therefore, ERTSF2 has a high estimation accuracy. (a) Unknown input l 1 k , (b) Unknown input l 2 k .
Energies 16 05603 g001
Figure 2. Can be seen that all three filtering algorithms can track and estimate the unknown inputs d 1 k d 3 k . Compared to the estimation results of l k and the estimation accuracy of d k , ERTSF1 has been improved. Analysis of the iteration step shows that l ^ k already obtained in the previous step is used in the new innovation feedback for the d ^ k . Therefore, the estimation error of d ^ k is reduced after compensation. (a) Unknown input d 1 k , (b) Unknown input d 2 k , (c) Unknown input d 3 k .
Figure 2. Can be seen that all three filtering algorithms can track and estimate the unknown inputs d 1 k d 3 k . Compared to the estimation results of l k and the estimation accuracy of d k , ERTSF1 has been improved. Analysis of the iteration step shows that l ^ k already obtained in the previous step is used in the new innovation feedback for the d ^ k . Therefore, the estimation error of d ^ k is reduced after compensation. (a) Unknown input d 1 k , (b) Unknown input d 2 k , (c) Unknown input d 3 k .
Energies 16 05603 g002
Figure 3. It can be seen that the three filtering algorithms can fully track the estimated state. It can be seen that the error in the ERTSF1 estimate of x k is reduced, and an analysis of the filtering iteration steps shows that the l k and d k 1 estimates, which have been obtained earlier, are used in the estimated new innovation feedback for state x k . Therefore, the error in the state estimate is reduced after compensation. (a) System state, x 1 k ; (b) System state, x 2 k ; (c) System state, x 3 k ; (d) System state, x 4 k ; (e) System state, x 5 k .
Figure 3. It can be seen that the three filtering algorithms can fully track the estimated state. It can be seen that the error in the ERTSF1 estimate of x k is reduced, and an analysis of the filtering iteration steps shows that the l k and d k 1 estimates, which have been obtained earlier, are used in the estimated new innovation feedback for state x k . Therefore, the error in the state estimate is reduced after compensation. (a) System state, x 1 k ; (b) System state, x 2 k ; (c) System state, x 3 k ; (d) System state, x 4 k ; (e) System state, x 5 k .
Energies 16 05603 g003
Figure 4. First-order Thevenin battery model.
Figure 4. First-order Thevenin battery model.
Energies 16 05603 g004
Figure 5. True and estimated d k .
Figure 5. True and estimated d k .
Energies 16 05603 g005
Figure 6. True and estimated x k .
Figure 6. True and estimated x k .
Energies 16 05603 g006
Table 1. RMSE of x k .
Table 1. RMSE of x k .
Methods
RMSE   of   x 1 k
RMSE   of   x 2 k
RMSE   of   x 3 k
RMSE   of   x 4 k
RMSE   of   x 5 k
ERTSF 11.00820.33990.17180.18650.1279
ERTSF 21.01070.27350.14140.2360.1072
RTSF1.55860.590.15570.1340.1871
Table 2. RMSE of d k .
Table 2. RMSE of d k .
Methods
RMSE   of   d 1 k
RMSE   of   d 2 k
RMSE   of   d 3 k
ERTSF 10.29990.15040.3039
ERTSF 20.18420.14960.2054
RTSF0.65690.47940.4048
Table 3. RMSE of l k .
Table 3. RMSE of l k .
Methods
RMSE   of   l 1 k
RMSE   of   l 2 k
ERTSF 11.58270.8154
ERTSF 20.34060.2288
RTSFN/AN/A
Table 4. Parameters values.
Table 4. Parameters values.
Parameter R 0 ( Ω ) R p ( Ω ) C p ( F )
Value0.240.1920
Disclaimer/Publisher’s Note: The statements, opinions and data contained in all publications are solely those of the individual author(s) and contributor(s) and not of MDPI and/or the editor(s). MDPI and/or the editor(s) disclaim responsibility for any injury to people or property resulting from any ideas, methods, instructions or products referred to in the content.

Share and Cite

MDPI and ACS Style

Dong, S.; Wang, N.; Wang, X.; Lu, Z. Extended Recursive Three-Step Filter for Linear Discrete-Time Systems with Dual-Unknown Inputs. Energies 2023, 16, 5603. https://doi.org/10.3390/en16155603

AMA Style

Dong S, Wang N, Wang X, Lu Z. Extended Recursive Three-Step Filter for Linear Discrete-Time Systems with Dual-Unknown Inputs. Energies. 2023; 16(15):5603. https://doi.org/10.3390/en16155603

Chicago/Turabian Style

Dong, Shigui, Na Wang, Xueyan Wang, and Zihao Lu. 2023. "Extended Recursive Three-Step Filter for Linear Discrete-Time Systems with Dual-Unknown Inputs" Energies 16, no. 15: 5603. https://doi.org/10.3390/en16155603

APA Style

Dong, S., Wang, N., Wang, X., & Lu, Z. (2023). Extended Recursive Three-Step Filter for Linear Discrete-Time Systems with Dual-Unknown Inputs. Energies, 16(15), 5603. https://doi.org/10.3390/en16155603

Note that from the first issue of 2016, this journal uses article numbers instead of page numbers. See further details here.

Article Metrics

Back to TopTop