Integrating Smart Energy Management System with Internet of Things and Cloud Computing for Efficient Demand Side Management in Smart Grids
Abstract
1. Introduction
2. Literature Review
3. System Model
| Reference | IWC * | Data Management and Analysis | User Interface and Control | Real-Time Implementation and Practicality | ES * | ||||
|---|---|---|---|---|---|---|---|---|---|
| DC&P * | OA * | UFI * | RM * | LC * | RTS&T * | PAIML * | |||
| [12] | ✓ | ✓ | ✕ | ✓ | ✓ | ✕ | ✓ | ✕ | ✕ |
| [15] | ✓ | ✓ | ✕ | ✓ | ✓ | ✕ | ✓ | ✕ | ✕ |
| [30] | ✓ | ✓ | ✕ | ✓ | ✓ | ✕ | ✓ | ✓ | ✕ |
| [31] | ✓ | ✓ | ✕ | ✕ | ✓ | ✕ | ✓ | ✕ | ✕ |
| [32] | ✓ | ✓ | ✕ | ✕ | ✓ | ✕ | ✓ | ✕ | ✓ |
| [33] | ✓ | ✓ | ✕ | ✕ | ✓ | ✕ | ✓ | ✕ | ✕ |
| [34] | ✓ | ✓ | ✕ | ✕ | ✓ | ✕ | ✓ | ✕ | ✕ |
| [37] | ✓ | ✓ | ✕ | ✕ | ✕ | ✓ | ✓ | ✕ | ✓ |
| [38] | ✓ | ✓ | ✕ | ✕ | ✕ | ✕ | ✓ | ✕ | ✕ |
| [39] | ✓ | ✓ | ✕ | ✓ | ✓ | ✓ | ✓ | ✕ | ✕ |
| [37] | ✕ | ✓ | ✓ | ✕ | ✕ | ✕ | ✕ | ✕ | ✓ |
| [41] | ✕ | ✓ | ✓ | ✕ | ✕ | ✕ | ✕ | ✕ | ✓ |
| [42] | ✓ | ✓ | ✕ | ✓ | ✓ | ✓ | ✓ | ✕ | ✓ |
| [43] | ✓ | ✓ | ✕ | ✕ | ✓ | ✕ | ✓ | ✕ | ✕ |
| [53] | ✓ | ✓ | ✕ | ✕ | ✓ | ✕ | ✓ | ✕ | ✕ |
| [54] | ✓ | ✓ | ✕ | ✕ | ✓ | ✕ | ✓ | ✕ | ✕ |
| [55] | ✓ | ✓ | ✕ | ✕ | ✓ | ✕ | ✓ | ✓ | ✕ |
| [56] | ✓ | ✓ | ✕ | ✕ | ✓ | ✕ | ✓ | ✕ | ✓ |
| TW * | ✓ | ✓ | ✓ | ✓ | ✓ | ✓ | ✓ | ✓ | ✓ |
3.1. Multilayered Architecture of SEMS
3.2. Hardware Components
3.3. Software Components
3.4. Flow Chart of Presented SEMS
- ◦
- It starts with the initialization, which initiates the communication between sensors and MCU. It also sets an energy consumption interval of 1 millisecond.
- ◦
- The second process is the energy calculation, which reads the current, voltage and temperature data from the sensors, calculates the cumulative power (kW) and communicates it to the DA-SoC, which is an ESP32 MCU utilizing a MQTT protocol. The middleware module acts as a bridge for software applications to implement communication between ECON and consumers. The first two steps are carried out every 30 s.
- ◦
- It stores and provides the RT data to the consumer via an API which is integrated with the middleware module via HTTP protocol. ESP32 capacitates the bidirectional communication with ECON and the middleware module. It also aids in the execution of EC directives/commands from ECN layer that is processed at the cloud layer.
- ◦
- Moreover, it also provides various reports/analytics such as sensor values, consumption statistics and device status.
4. Results and Discussion
5. Conclusions
Author Contributions
Funding
Data Availability Statement
Conflicts of Interest
References
- Saidani Neffati, O.; Sengan, S.; Thangavelu, K.D.; Dilip Kumar, S.; Setiawan, R.; Elangovan, M.; Mani, D.; Velayutham, P. Migrating from Traditional Grid to Smart Grid in Smart Cities Promoted in Developing Country. Sustain. Energy Technol. Assess. 2021, 45, 101125. [Google Scholar] [CrossRef]
- IEA. World Energy Outlook 2017; Flagship Report; IEA: Paris, France, 2017. [Google Scholar]
- International Energy Agency Monthly Electricity Demand in Pakistan in FY 2019–2020 and Estimated for FY 2024–2025. Available online: https://www.iea.org/data-and-statistics/charts/monthly-electricity-demand-in-pakistan-in-fy-2019-2020-and-estimated-for-fy-2024-2025 (accessed on 30 April 2023).
- Overview of Pakistan: WorldBank. Available online: https://www.worldbank.org/en/country/pakistan/overview (accessed on 30 April 2023).
- Rafique, M.M.; Rehman, S. National Energy Scenario of Pakistan—Current Status, Future Alternatives, and Institutional Infrastructure: An Overview. Renew. Sustain. Energy Rev. 2017, 69, 156–167. [Google Scholar] [CrossRef]
- Raza, M.A.; Khatri, K.L.; Israr, A.; Ul Haque, M.I.; Ahmed, M.; Rafique, K.; Saand, A.S. Energy Demand and Production Forecasting in Pakistan. Energy Strateg. Rev. 2022, 39, 100788. [Google Scholar] [CrossRef]
- Tuballa, M.L.; Abundo, M.L. A Review of the Development of Smart Grid Technologies. Renew. Sustain. Energy Rev. 2016, 59, 710–725. [Google Scholar] [CrossRef]
- Shabbir, N.; Kutt, L.; Astapov, V.; Jawad, M.; Allik, A.; Husev, O. Battery Size Optimization with Customer PV Installations and Domestic Load Profile. IEEE Access 2022, 10, 13012–13025. [Google Scholar] [CrossRef]
- Shabbir, N.; Kütt, L.; Raja, H.A.; Jawad, M.; Allik, A. Techno-Economic Analysis and Energy Forecasting Study of Domestic and Commercial Photovoltaic System Installations in Estonia. Energy 2022, 253, 124156. [Google Scholar] [CrossRef]
- Shabbir, N.; Kütt, L.; Daniel, K.; Astapov, V.; Raja, H.A.; Iqbal, M.N.; Husev, O. Feasibility Investigation for Residential Battery Sizing Considering EV Charging Demand. Sustainability 2022, 14, 1079. [Google Scholar] [CrossRef]
- Shabbir, N.; Kutt, L.; Astapov, V.; Husev, O.; Ahmadiahangar, R.; Wen, F.; Kull, K. Congestion Control Strategies for Increased Renewable Penetration of Photovoltaic in LV Distribution Networks. Energy Rep. 2022, 8, 217–223. [Google Scholar] [CrossRef]
- Hashmi, S.A.; Ali, C.F.; Zafar, S. Internet of Things and Cloud Computing-Based Energy Management System for Demand Side Management in Smart Grid. Int. J. Energy Res. 2021, 45, 1007–1022. [Google Scholar] [CrossRef]
- Saleem, M.U.; Usman, M.R.; Usman, M.A.; Politis, C. Design, Deployment and Performance Evaluation of an IoT Based Smart Energy Management System for Demand Side Management in Smart Grid. IEEE Access 2022, 10, 15261–15278. [Google Scholar] [CrossRef]
- Saleem, M.U.; Usman, M.R.; Shakir, M. Design, Implementation, and Deployment of an IoT Based Smart Energy Management System. IEEE Access 2021, 9, 59649–59664. [Google Scholar] [CrossRef]
- Avancini, D.B.; Rodrigues, J.J.P.C.; Rabêlo, R.A.L.; Das, A.K.; Kozlov, S.; Solic, P. A New IoT-Based Smart Energy Meter for Smart Grids. Int. J. Energy Res. 2021, 45, 189–202. [Google Scholar] [CrossRef]
- Elamin, W.E.; Shaaban, M.F. New Real-Time Demand-Side Management Approach for Energy Management Systems. IET Smart Grid 2019, 2, 183–191. [Google Scholar] [CrossRef]
- Sarker, E.; Halder, P.; Seyedmahmoudian, M.; Jamei, E.; Horan, B.; Mekhilef, S.; Stojcevski, A. Progress on the Demand Side Management in Smart Grid and Optimization Approaches. Int. J. Energy Res. 2021, 45, 36–64. [Google Scholar] [CrossRef]
- Palensky, P.; Dietrich, D. Demand Side Management: Demand Response, Intelligent Energy Systems, and Smart Loads. IEEE Trans. Ind. Inform. 2011, 7, 381–388. [Google Scholar] [CrossRef]
- Khan, I. Energy-Saving Behaviour as a Demand-Side Management Strategy in the Developing World: The Case of Bangladesh. Int. J. Energy Environ. Eng. 2019, 10, 493–510. [Google Scholar] [CrossRef]
- Ferri, N. United Nations: Transforming Our World: The 2030 Agenda for Sustainable Development; Publisher UNDP: Bishkek, Kyrgyzstan, 2015. [Google Scholar]
- Fatih Birol IEA-Energy Efficiency Report. 2021. Available online: https://www.iea.org/reports/energy-efficiency-2021 (accessed on 30 April 2023).
- Marques, G.; Roque Ferreira, C.; Pitarma, R. A System Based on the Internet of Things for Real-Time Particle Monitoring in Buildings. Int. J. Environ. Res. Public Health 2018, 15, 821. [Google Scholar] [CrossRef]
- Paredes-Valverde, M.A.; Alor-Hernández, G.; García-Alcaráz, J.L.; Salas-Zárate, M.d.P.; Colombo-Mendoza, L.O.; Sánchez-Cervantes, J.L. IntelliHome: An Internet of Things-based System for Electrical Energy Saving in Smart Home Environment. Comput. Intell. 2019, 36, 203–224. [Google Scholar] [CrossRef]
- Pan, J.; Jain, R.; Paul, S.; Vu, T.; Saifullah, A.; Sha, M. An Internet of Things Framework for Smart Energy in Buildings: Designs, Prototype, and Experiments. IEEE Internet Things J. 2015, 2, 527–537. [Google Scholar] [CrossRef]
- Motlagh, N.H.; Mohammadrezaei, M.; Hunt, J.; Zakeri, B. Internet of Things (IoT) and the Energy Sector. Energies 2020, 13, 494. [Google Scholar]
- Sethi, P.; Sarangi, S.R. Internet of Things: Architectures, Protocols, and Applications. J. Electr. Comput. Eng. 2017, 2017, 9324035. [Google Scholar] [CrossRef]
- Pincher, C. Rigorous New Targets for Green Building Revolution. Available online: https://www.gov.uk/government/news/rigorous-new-targets-for-green-building-revolution (accessed on 30 April 2023).
- Engg, E.C. Benefits of Energy Efficiency. Available online: https://www.unido.org/sites/default/files/2009-02/Module12_0.pdf (accessed on 30 April 2023).
- Energy Information Administration (EIA) Annual Energy Outlook. 2023. Available online: https://www.eia.gov/outlooks/aeo/ (accessed on 30 April 2023).
- Al-Ali, A.R.; Zualkernan, I.A.; Rashid, M.; Gupta, R.; Alikarar, M. A Smart Home Energy Management System Using IoT and Big Data Analytics Approach. IEEE Trans. Consum. Electron. 2017, 63, 426–434. [Google Scholar] [CrossRef]
- Abo-Zahhad, M.; Ahmed, S.M.; Farrag, M.; Ahmed, M.; Abo-Zahhad, M.; Ahmed, S.M.; Ahmed, M.F.A.; Ali, A. Design and Implementation of Building Energy Monitoring and Management System Based on Wireless Sensor Networks. In Proceedings of the 2015 Tenth International Conference on Computer Engineering & Systems (ICCES), Cairo, Egypt, 23–24 December 2015. [Google Scholar] [CrossRef]
- Byun, J.; Hong, I.; Kang, B.; Park, S. Implementation of an Adaptive Intelligent Home Energy Management System Using a Wireless Ad-Hoc and Sensor Network. In Proceedings of the 20th International Conference on Computer Communications and Networks (ICCCN), Lahaina, HI, USA, 31 July–4 August 2011. [Google Scholar]
- Han, J.; Choi, C.S.; Park, W.K.; Lee, I.; Kim, S.H. Smart Home Energy Management System Including Renewable Energy Based on ZigBee and PLC. IEEE Trans. Consum. Electron. 2014, 60, 198–202. [Google Scholar] [CrossRef]
- Wang, J.; Huang, J.; Chen, W.; Liu, J.; Xu, D. Design of IoT-Based Energy Efficiency Management System for Building Ceramics Production Line. In Proceedings of the 2016 IEEE 11th Conference on Industrial Electronics and Applications, Hefei, China, 5–7 June 2016; pp. 912–917. [Google Scholar]
- Gao, M.; Shaoliangshan; Huixiaowei; Sunqingwei. The System of Wireless Smart House Based on GSM and ZigBee. In Proceedings of the 2010 International Conference on Intelligent Computation Technology and Automation, Changsha, China, 11–12 May 2010; Volume 3, pp. 1017–1020. [Google Scholar]
- Serra, J.; Pubill, D.; Antonopoulos, A.; Verikoukis, C. Smart HVAC Control in IoT: Energy Consumption Minimization with User Comfort Constraints. Sci. World J. 2014, 2014, 161874. [Google Scholar] [CrossRef]
- Lee, T.; Jeon, S.; Kang, D.; Park, L.W.; Park, S. Design and Implementation of Intelligent HVAC System Based on IoT and Bigdata Platform. In Proceedings of the 2017 IEEE International Conference on Consumer Electronics (ICCE), Las Vegas, NV, USA, 8–10 January 2017; pp. 398–399. [Google Scholar]
- Lee, Y.T.; Hsiao, W.H.; Huang, C.M.; Chou, S.C.T. An Integrated Cloud-Based Smart Home Management System with Community Hierarchy. IEEE Trans. Consum. Electron. 2016, 62, 1–9. [Google Scholar] [CrossRef]
- Ghofrani, A.; Nazemi, S.D.; Jafari, M.A. HVAC Load Synchronization in Smart Building Communities. Sustain. Cities Soc. 2019, 51, 101741. [Google Scholar] [CrossRef]
- Fong, K.F.; Hanby, V.I.; Chow, T.T. HVAC System Optimization for Energy Management by Evolutionary Programming. Energy Build. 2006, 38, 220–231. [Google Scholar] [CrossRef]
- Uddin, F.; Hassan, K.M.N.; Biswas, S. Peak load minimization in smart grid by optimal coordinated ON–OFF scheduling of air conditioning compressors. Sustain. Energy Grids Netw. 2021, 28, 100545. [Google Scholar] [CrossRef]
- Du, Y.; Zandi, H.; Kotevska, O.; Kurte, K.; Munk, J.; Amasyali, K.; Mckee, E.; Li, F. Intelligent Multi-Zone Residential HVAC Control Strategy Based on Deep Reinforcement Learning. Appl. Energy 2021, 281, 116117. [Google Scholar] [CrossRef]
- Mataloto, B.; Ferreira, J.C.; Cruz, N. Lobems—IoT for Building and Energy Management Systems. Electronics 2019, 8, 763. [Google Scholar] [CrossRef]
- Hakimi, S.M. A novel intelligent control of HVAC system in smart microgrid. J. Electr. Syst. Inf. Technol. 2017, 4, 299–309. [Google Scholar] [CrossRef]
- Rodriguez-Diaz, E.; Vasquez, J.C.; Guerrero, J.M. Intelligent DC Homes in Future Sustainable Energy Systems: When Efficiency and Intelligence Work Together. IEEE Consum. Electron. Mag. 2016, 5, 74–80. [Google Scholar] [CrossRef]
- Kim, D.S.; Son, S.Y.; Lee, J. Developments of the In-Home Display Systems for Residential Energy Monitoring. IEEE Trans. Consum. Electron. 2013, 59, 492–498. [Google Scholar] [CrossRef]
- Son, Y.S.; Pulkkinen, T.; Moon, K.D.; Kim, C. Home Energy Management System Based on Power Line Communication. IEEE Trans. Consum. Electron. 2010, 56, 1380–1386. [Google Scholar] [CrossRef]
- Kushiro, N.; Suzuki, S.; Nakata, M.; Takahara, H.; Inoue, M. Integrated Residential Gateway Controller for Home Energy Management System. IEEE Trans. Consum. Electron. 2003, 49, 629–636. [Google Scholar] [CrossRef]
- Erol-Kantarci, M.; Mouftah, H.T. Wireless Sensor Networks for Cost-Efficient Residential Energy Management in the Smart Grid. IEEE Trans. Smart Grid 2011, 2, 314–325. [Google Scholar] [CrossRef]
- Fiedler, T.; Mircea, P.M. Energy Management Systems According to the ISO 50001 Standard—Challenges and Benefits. In Proceedings of the 2012 International Conference on Applied and Theoretical Electricity (ICATE), Craiova, Romania, 25–27 October 2012. [Google Scholar]
- Dittawit, K.; Aagesen, F.A. Home Energy Management System for Electricity Cost Savings and Comfort Preservation. In Proceedings of the 2014 IEEE Fourth International Conference on Consumer Electronics Berlin (ICCE—Berlin), Berlin, Germany, 7–10 September 2015; pp. 309–313. [Google Scholar]
- Santos, D.; Ferreira, J.C. IoT Power Monitoring System for Smart Environments. Sustainability 2019, 11, 5355. [Google Scholar] [CrossRef]
- Pawar, P.; Vittal, K.P. Design and Development of Advanced Smart Energy Management System Integrated with IoT Framework in Smart Grid Environment. J. Energy Storage 2019, 25, 100846. [Google Scholar] [CrossRef]
- Muralidhara, S.; Hegde, N.; Rekha, P.M. An Internet of Things-Based Smart Energy Meter for Monitoring Device-Level Consumption of Energy. Comput. Electr. Eng. 2020, 87, 106772. [Google Scholar] [CrossRef]
- Amaxilatis, D.; Akrivopoulos, O.; Mylonas, G.; Chatzigiannakis, I. An IoT-Based Solution for Monitoring a Fleet of Educational Buildings Focusing on Energy Efficiency. Sensors 2017, 17, 2296. [Google Scholar] [CrossRef]
- Karthick, T.; Charles Raja, S.; Jeslin Drusila Nesamalar, J.; Chandrasekaran, K. Design of IoT Based Smart Compact Energy Meter for Monitoring and Controlling the Usage of Energy and Power Quality Issues with Demand Side Management for a Commercial Building. Sustain. Energy Grids Netw. 2021, 26, 100454. [Google Scholar] [CrossRef]
- Soliman, M.S.; Belkhier, Y.; Ullah, N.; Achour, A.; Alharbi, Y.M.; Al Alahmadi, A.A.; Abeida, H.; Khraisat, Y.S.H. Supervisory Energy Management of a Hybrid Battery/PV/Tidal/Wind Sources Integrated in DC-Microgrid Energy Storage System. Energy Rep. 2021, 7, 7728–7740. [Google Scholar] [CrossRef]
- Sahri, Y.; Belkhier, Y.; Tamalouzt, S.; Ullah, N.; Shaw, R.N.; Chowdhury, M.S.; Techato, K. Energy Management System for Hybrid PV/Wind/Battery/Fuel Cell in Microgrid-Based Hydrogen and Economical Hybrid Battery/Super Capacitor Energy Storage. Energies 2021, 14, 5722. [Google Scholar] [CrossRef]
- Corinaldesi, C.; Fleischhacker, A.; Lang, L.; Radl, J.; Schwabeneder, D.; Lettner, G. European Case Studies for Impact of Market-Driven Flexibility Management in Distribution Systems. In Proceedings of the 2019 IEEE International Conference on Communications, Control, and Computing Technologies for Smart Grids (SmartGridComm), Beijing, China, 21–23 October 2019. [Google Scholar]
- Parvin, K.; Hannan, M.A.; Hui Mun, L.; Hossain Lipu, M.S.; Abdolrasol, M.G.M.; Jern Ker, P.; Muttaqi, K.M.; Dong, Z.Y. The Future Energy Internet for Utility Energy Service and Demand-Side Management in Smart Grid: Current Practices, Challenges and Future Directions. Sustain. Energy Technol. Assess. 2022, 53, 102648. [Google Scholar] [CrossRef]
- Esp32-S2-Wrover & Esp32-S2-Wrover-I. Available online: https://www.espressif.com/sites/default/files/documentation/esp32-s2-wrover_esp32-s2-wrover-i_datasheet_en.pdf (accessed on 30 April 2023).
- Allegro ACS712 Pdf, ACS712 Description, ACS712 Datasheets, ACS712 View. ALLDATASHEET. Available online: https://pdf1.alldatasheet.com/datasheet-pdf/view/174116/ALLEGRO/ACS712.html (accessed on 24 April 2023).
- Maxim Integrated Datasheet DS18B20. Maxim Integr. 2015. Available online: https://www.analog.com/media/en/technical-documentation/data-sheets/ds18b20.pdf (accessed on 30 April 2023).
- An Open Source MQTT v3.1 Broker. Available online: https://mosquitto.org/ (accessed on 30 April 2023).
- Apache Cordova. Available online: https://cordova.apache.org/ (accessed on 30 April 2023).












| Manufacturer | Type | Memory | CPU | Power | Input |
|---|---|---|---|---|---|
| Espressif Systems | 32-bit microcontroller | 4 MB flash | 160 MHz | 3.3 V DC | 48 pins |
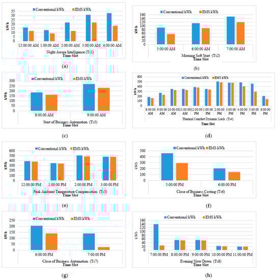
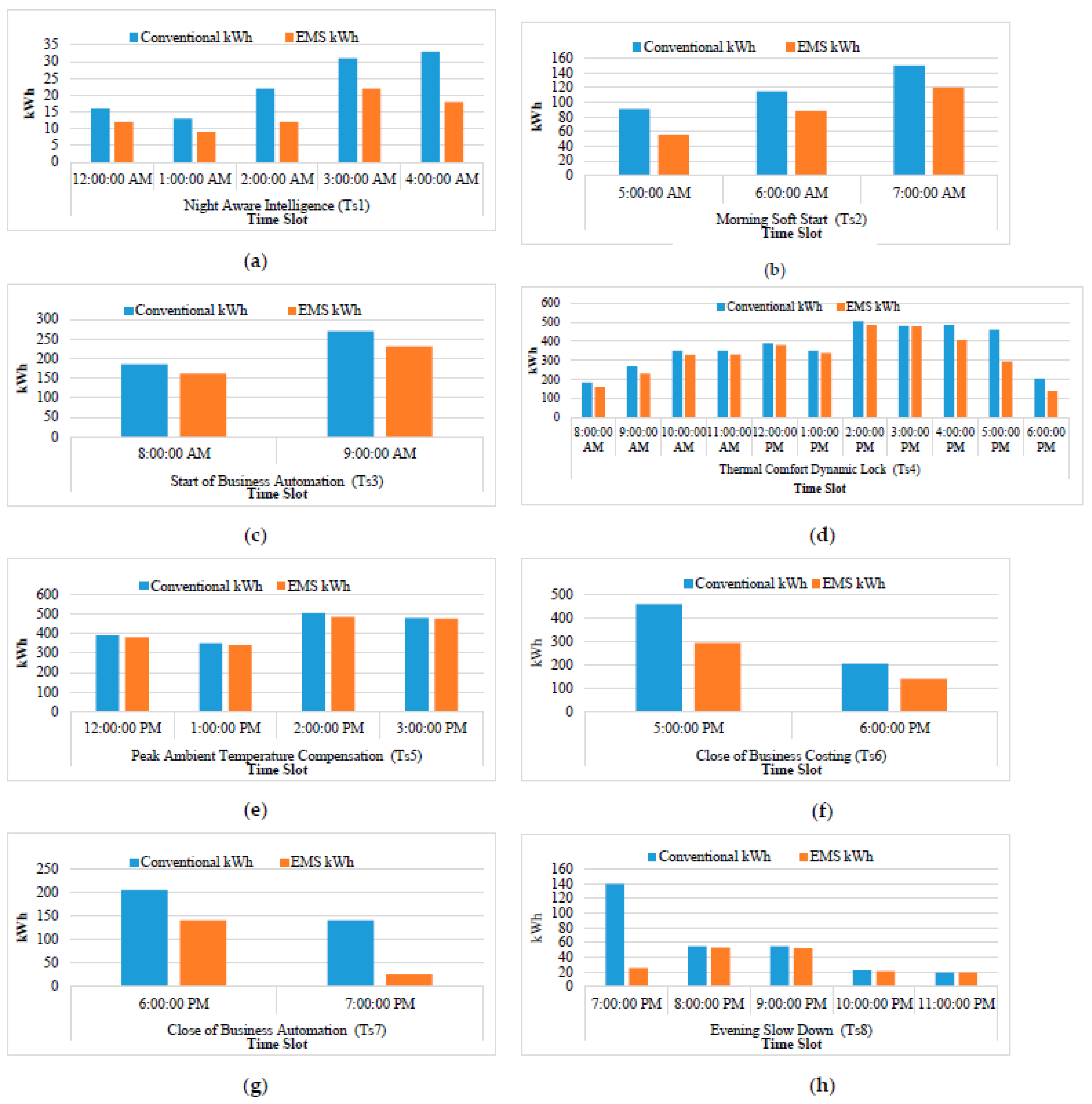
| Time Slots | Time | ||
|---|---|---|---|
| From | To | ||
| Night Aware Intelligence | (TS1) | 0:00 | 4:00 |
| Morning Soft Start | (TS2) | 5:00 | 7:00 |
| Start of Business Automation | (TS3) | 8:00 | 9:00 |
| Thermal Comfort Dynamic Lock | (TS4) | 8:00 | 18:00 |
| Peak Ambient Temperature Compensation | (TS5) | 12:00 | 15:00 |
| Close of Business Costing | (TS6) | 17:00 | 18:00 |
| Close of Business Automation | (TS7) | 18:00 | 19:00 |
| Evening Slow Down | (TS8) | 19:00 | 23:00 |
| Building | KWH Reading | Units Saved | % Saving | |
|---|---|---|---|---|
| Conventional | EMS | |||
| Building 1 | 41,120 | 20,800 | 20,320 | 49% |
| Building 2 | 21,084 | 15,840 | 5244 | 25% |
| Building 3 | 32,480 | 25,600 | 6880 | 21% |
| Building 4 | 14,360 | 12,260 | 2100 | 15% |
Disclaimer/Publisher’s Note: The statements, opinions and data contained in all publications are solely those of the individual author(s) and contributor(s) and not of MDPI and/or the editor(s). MDPI and/or the editor(s) disclaim responsibility for any injury to people or property resulting from any ideas, methods, instructions or products referred to in the content. |
© 2023 by the authors. Licensee MDPI, Basel, Switzerland. This article is an open access article distributed under the terms and conditions of the Creative Commons Attribution (CC BY) license (https://creativecommons.org/licenses/by/4.0/).
Share and Cite
Saleem, M.U.; Shakir, M.; Usman, M.R.; Bajwa, M.H.T.; Shabbir, N.; Shams Ghahfarokhi, P.; Daniel, K. Integrating Smart Energy Management System with Internet of Things and Cloud Computing for Efficient Demand Side Management in Smart Grids. Energies 2023, 16, 4835. https://doi.org/10.3390/en16124835
Saleem MU, Shakir M, Usman MR, Bajwa MHT, Shabbir N, Shams Ghahfarokhi P, Daniel K. Integrating Smart Energy Management System with Internet of Things and Cloud Computing for Efficient Demand Side Management in Smart Grids. Energies. 2023; 16(12):4835. https://doi.org/10.3390/en16124835
Chicago/Turabian StyleSaleem, M. Usman, Mustafa Shakir, M. Rehan Usman, M. Hamza Tahir Bajwa, Noman Shabbir, Payam Shams Ghahfarokhi, and Kamran Daniel. 2023. "Integrating Smart Energy Management System with Internet of Things and Cloud Computing for Efficient Demand Side Management in Smart Grids" Energies 16, no. 12: 4835. https://doi.org/10.3390/en16124835
APA StyleSaleem, M. U., Shakir, M., Usman, M. R., Bajwa, M. H. T., Shabbir, N., Shams Ghahfarokhi, P., & Daniel, K. (2023). Integrating Smart Energy Management System with Internet of Things and Cloud Computing for Efficient Demand Side Management in Smart Grids. Energies, 16(12), 4835. https://doi.org/10.3390/en16124835

