Research on Displacement Efficiency by Injecting CO2 in Shale Reservoirs Based on a Genetic Neural Network Model
Abstract
1. Introduction
2. Data Source and Mechanism Analysis
3. Data Processing and Research Methods
3.1. Data Source and Processing
3.2. Establishment of the BP Neural Network Model
3.3. Establishment of the BP Neural Network Model Optimized by a Genetic Algorithm
3.4. Evaluation Indicators
4. Results and Discussion
4.1. The BP Neural Network Model Testing
4.2. Model Testing and Analysis after Optimization by the Genetic Algorithm
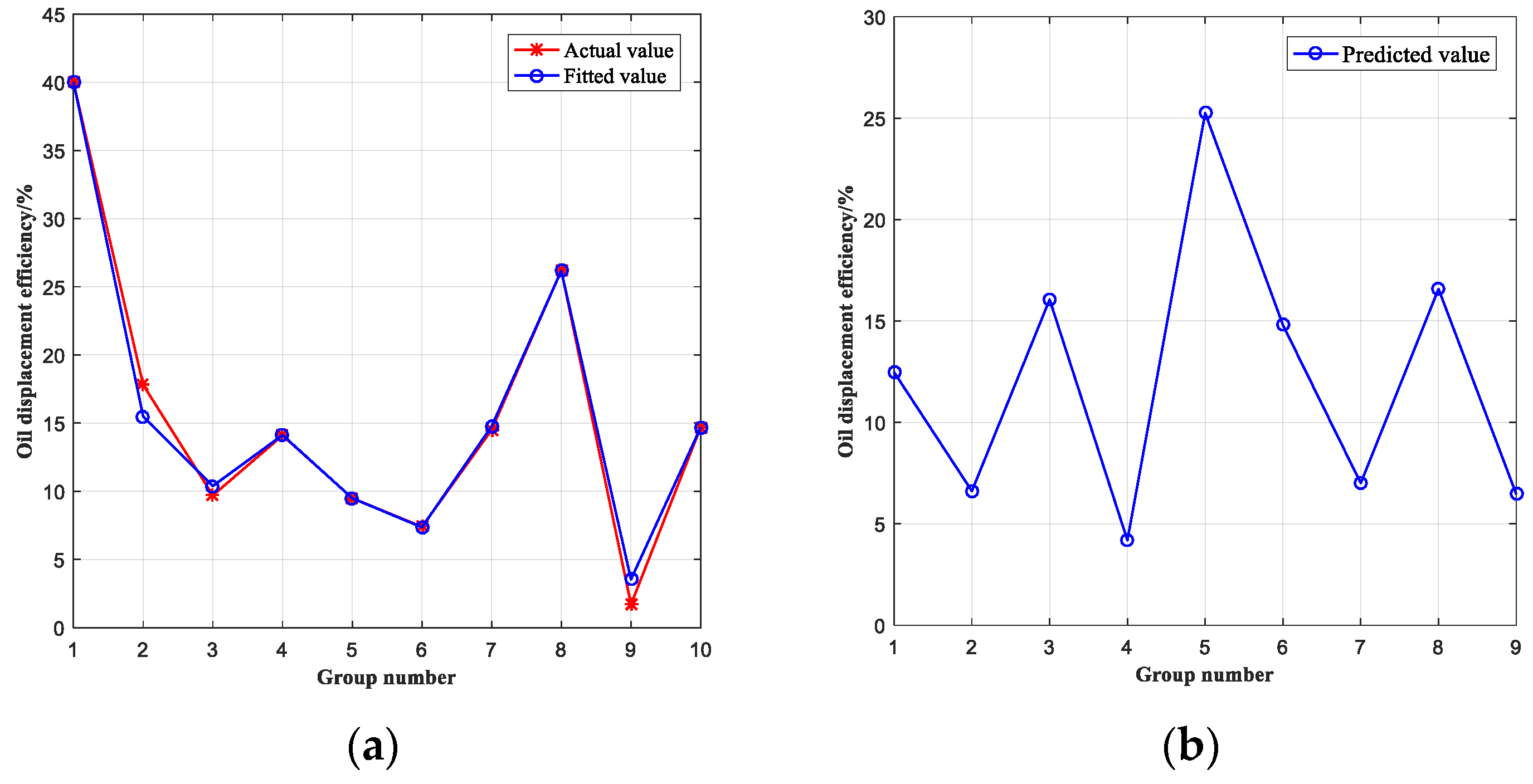
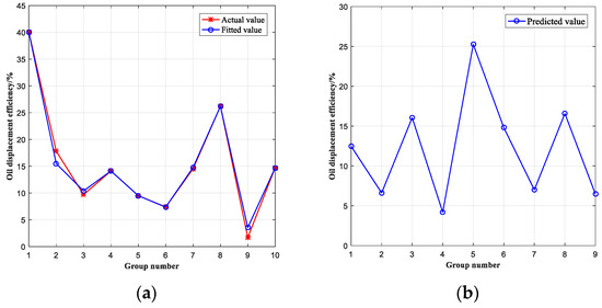
4.3. Application of the Method
5. Conclusions
- (i)
- The factors influencing oil displacement efficiency were ranked using gray correlation analysis based on shale core CO2 displacement experiments and parameters. Numerous constraining factors influence oil recovery in the integrated development process of CO2 soaking production in shale reservoirs and the significant variation in the field implementation effect. The findings demonstrated that the main controlling factors affecting oil displacement efficiency are the injection pressure, the CO2 soaking time, and the reservoir porosity.
- (ii)
- This paper established a genetic-algorithm-optimized-BP-neural-network-based prediction model for CO2 indoor displacement experiments on shale cores. Compared with the traditional BP neural network prediction model, the fitting degree and prediction accuracy of the GA-BP neural network prediction model were enhanced. The mean absolute error was reduced by 30%, the root mean square error was reduced by 46%, and the R2 increased by 11%. This provides a theoretical basis for the indoor experimental study of CO2 oil displacement mechanisms.
- (iii)
- The model optimized by the genetic algorithm overcomes the slow convergence problems, poor searching ability, and the tendency to fall into local minima exhibited by traditional neural networks. In practical production, the model can play an important role in prediction and evaluation by learning various types of dynamic and static influencing factors and overcoming the above issues with previous models while reducing experimental costs.
- (iv)
- The factors affecting the actual oil displacement efficiency in shale reservoirs are complex and diverse. In actual production, CO2 injection methods, actual injection pressure, and CO2 soaking time have a huge impact on the oil displacement efficiency. Due to the small number of samples and algorithmic flaws, the present model still has some limitations, and needs to be fully trained and improved. More experimental or field samples should be acquired in the future, and better BP neural network algorithms should be sought to further the application of this prediction model.
Author Contributions
Funding
Data Availability Statement
Conflicts of Interest
References
- Liu, H.; Tao, J.; Meng, S.; Li, D.; Cao, G.; Gao, Y. Application and prospects of CO2 enhanced oil recovery technology in shale oil reservoir. J. China Pet. Explor. 2022, 27, 127–134. [Google Scholar]
- Wang, Y.; Lv, Z. Composite stimulation technology for improving fracture length and conductivity of unconventional reservoirs. J. Front. Phys. 2023, 11, 371. [Google Scholar] [CrossRef]
- Tsiglianu, P.; Romasheva, N.; Nenko, A. Conceptual Management Framework for Oil and Gas Engineering Project Implementation. J. Resour. 2023, 12, 64. [Google Scholar] [CrossRef]
- Martirosyan, A.V.; Kukharova, T.V.; Fedorov, M.S. Research of the Hydrogeological Objects’ Connection Peculiarities. In Proceedings of the 2021 IV International Conference on Control in Technical Systems (CTS), St. Petersburg, Russia, 21–23 September 2021; IEEE: Piscataway, NJ, USA, 2001; pp. 34–38. [Google Scholar]
- Wu, D.; Geng, Y.; Xiao, X.; Miao, F.; Zhai, W. Experimental study on variation pattern of enhanced permeability of supercritical CO2 in shale reservoirs. J. Spec. Oil Gas Reserv. 2022, 29, 66–72. [Google Scholar]
- Li, N.; Yu, J.; Wang, C.; Zhang, S.; Liu, X.; Kang, J.; Wang, Y.; Dai, Y. Fracturing technology with carbon dioxide: A review. J. Pet. Sci. Eng. 2021, 205, 108793. [Google Scholar]
- Pu, W.; Du, D.; Wang, S.; Zeng, L.; Feng, R.; Memon, S.; Sarout, J.; Varfolomeev, M.A.; Sarmadivaleh, M.; Xie, Q. Experimental study of CO2 huff-n-puff in a tight conglomerate reservoir using true triaxial stress cell core fracturing and displacement system: A case study. J. Pet. Sci. Eng. 2021, 199, 108298. [Google Scholar] [CrossRef]
- Li, S.; Zhang, S.; Zou, Y.; Ma, X.; Ding, Y.; Li, N.; Zhang, X.; Kasperczyk, D. Pore structure alteration induced by CO2–brine–rock interaction during CO2 energetic fracturing in tight oil reservoirs. J. Pet. Sci. Eng. 2020, 191, 107147. [Google Scholar] [CrossRef]
- Zhang, X.; Lu, Y.; Tang, J.; Zhou, Z.; Liao, Y. Experimental study on fracture initiation and propagation in shale using supercritical carbon dioxide fracturing. Fuel 2017, 190, 370–378. [Google Scholar] [CrossRef]
- Zhang, C.; Cheng, P.; Ranjith, P.G.; Lu, Y.; Zhou, J. A comparative study of fracture surface roughness and flow characteristics between CO2 and water fracturing. J. Nat. Gas Sci. Eng. 2020, 76, 103188. [Google Scholar] [CrossRef]
- Sher, F.; Iqbal, S.Z.; Albazzaz, S.; Ali, U.; Mortari, D.A.; Rashid, T. Development of biomass derived highly porous fast adsorbents for post- combustion CO2 capture. Fuel 2020, 282, 118506. [Google Scholar] [CrossRef]
- Qureshi, Y.; Ali, U.; Sher, F. Part load operation of natural gas fired power plant with CO2 capture system for selective exhaust gas recirculation. J. Appl. Therm. Eng. 2021, 190, 116808. [Google Scholar] [CrossRef]
- Yuan, S.; Ma, D.; Li, J.; Zhou, T.; Ji, Z.; Han, H. Progress and prospects of carbon dioxide capture, EOR-utilization and storage industrialization. J. Pet. Explor. Dev. 2022, 49, 828–834. [Google Scholar] [CrossRef]
- Gupta, I.; Rai, C.; Sondergeld, C.; Devegowda, D. Rock typing in Wolfcamp formation. In Proceedings of the SPWLA 58th Annual Logging Symposium, Oklahoma City, OK, USA, 17–21 June 2017. [Google Scholar]
- Gupta, I.; Rai, C.; Sondergeld, C.; Devegowda, D. Rock Typing in Eagle Ford, Barnett, and Woodford Formations. J. SPE Reserv. Eval. Eng. 2018, 21, 654–670. [Google Scholar] [CrossRef]
- Tovar, F.D.; Barrufet, M.A.; Schechter, D.S. Enhanced oil recovery in the wolfcamp shale by carbon dioxide or nitrogen injection: An experimental investigation. SPE J. 2021, 26, 515–537. [Google Scholar] [CrossRef]
- Yu, H.; Fu, W.; Zhang, Y.; Lu, X.; Cheng, S.; Xie, Q.; Qu, X.; Yang, W.; Lu, J. Experimental study on EOR performance of CO2-based flooding methods on tight oil. Fuel 2021, 290, 119988. [Google Scholar] [CrossRef]
- Ma, D.; Cheng, C.; Ding, C.; Song, J.; Hu, D.; Zhou, H. Comparisons of fracturing mechanism of tight sandstone using liquid CO2 and water. J. Nat. Gas Sci. Eng. 2021, 94, 104108. [Google Scholar] [CrossRef]
- Yang, B.; Wang, H.; Wang, B.; Shen, Z.; Zheng, Y.; Jia, Z.; Yan, W. Digital quantification of fracture in full-scale rock using micro-CT images: A fracturing experiment with N2 and CO2. J. Pet. Sci. Eng. 2021, 196, 107682. [Google Scholar] [CrossRef]
- Liao, Z.; Liu, X.; Song, D.; He, X.; Nie, B.; Yang, T.; Wang, L. Micro-structural damage to coal induced by liquid CO2 phase change fracturing. J. Nat. Resour. Res. 2021, 30, 1613–1627. [Google Scholar] [CrossRef]
- Zhou, J.; Liu, G.; Jiang, Y.; Xian, X.; Liu, Q.; Zhang, D.; Tan, J. Supercritical carbon dioxide fracturing in shale and the coupled effects on the permeability of fractured shale: An experimental study. J. Nat. Gas Sci. Eng. 2016, 36, 369–377. [Google Scholar] [CrossRef]
- Zhao, Z.; Li, X.; He, J.; Mao, T.; Zheng, B.; Li, J. A laboratory investigation of fracture propagation induced by supercritical carbon dioxide fracturing in continental shale with interbeds. J. Pet. Sci. Eng. 2018, 166, 739–746. [Google Scholar] [CrossRef]
- Wu, J.; Liu, B.; Liu, D.; Wang, C.; Li, Y.; Liu, G. Test of CO2 miscible fracturing and huff and puff. J. Spec. Oil Gas Reserv. 2022, 29, 126–131. [Google Scholar]
- Zhao, Q.; Jiang, H.; Meng, W.; Wang, J.; Wang, C.; Xiu, H. Experimental study on replacement efficiency of carbon dioxide in tight oil and gas reservoirs. J. Nat. Gas Geosci. 2021, 32, 718–726. [Google Scholar]
- Zhang, H.; Yu, X.; Ma, L.; Chen, G.; Zheng, X.; Zhao, S. Potentials of the gas flooding for Jilin low-permeability oil reservoirs. J. Pet. Geol. Oilfield Dev. Daqing 2014, 33, 130–134. [Google Scholar]
- Wang, X.; Yang, H.; Wang, W.; Li, J.; Liang, Q. Technical advancements in enhanced oil recovery in low permeability reservoirs of Yanchang Oilfield. J. Pet. Geol. Recovery Effic. 2022, 29, 69–75. [Google Scholar]
- Tang, W.; Huang, Z.; Chen, C.; Ding, Z.; Sheng, J.; Wang, X.; Le, P. Optimization of CO2 huff and puff scheme for Jimsar shale oil and evaluation of test effect. J. Spec. Oil Gas Reserv. 2022, 29, 131–137. [Google Scholar]
- Min, C.; Dai, B.; Zhang, X.; Du, J. A Review of application progress of machine learning in oil and gas industry. J. Southwest Pet. Univ. (Sci. Technol. Ed.) 2020, 42, 1–15. [Google Scholar]
- Jiang, T.; Zhou, J.; Liao, L. Development status and future trends of intelligent fracturing technologies. J. Pet. Drill. Tech. 2022, 50, 1–9. [Google Scholar]
- Yang, H.; Xue, M.; Yang, Y.; Ma, L.; Feng, Z. Prediction of reasonable soaking time of oil wells in shale reservoir based on machine learning methods. J. Xi’an Shiyou Univ. (Nat. Sci. Ed.) 2022, 37, 65–72. [Google Scholar]
- Negash, B.M.; Yaw, A.D. Artificial neural network based production forecasting for a hydrocarbon reservoir under water injection. J. Pet. Explor. Dev. 2020, 47, 357–365. [Google Scholar] [CrossRef]
- Lei, Z.; Xin, X.; Yu, G.; Wang, L. Reservoir Production Performance Optimization Algorithm Based on Numerical Simulation. J. Xinjiang Pet. Geol. 2022, 43, 612–616. [Google Scholar]
- Zhu, D.; Shi, H. Principle and Application of Artificial Neural Network; Beijing Science Press: Beijing, China, 2006; pp. 166–168. [Google Scholar]
- Delaihdem, D.K. Decline Curve Analysis and Enhanced Shale Oil Recovery Based on Eagle Ford Shale Data; University of Alaska Fairbanks: Fairbanks, AK, USA, 2013; pp. 186–205. [Google Scholar]
- Loucks, R.G.; Reed, R.M.; Ruppel, S.C.; Jarvie, D.M. Morphology, Genesis, and Distribution of Nanometer-Scale Pores in Siliceous Mudstones of the Mississippian Barnett Shale. J. Sediment. Res. 2009, 79, 848–861. [Google Scholar] [CrossRef]
- Zhou, Y.; Liu, H.; Qi, P.; Zhao, M.; Chen, Y. Forecast of oil production in fractured-vuggy reservoir by using recurrent neural networks. Chin. J. Comput. Phys. 2018, 35, 668–674. [Google Scholar]
- Liu, S.; Cai, H.; Yang, Y.; Cao, Y. Advance in grey incidence analysis modelling. Syst. Eng. Theory Pract. 2013, 33, 2041–2046. [Google Scholar]
- Liu, W.; Liu, S.; Bai, R.; Zhou, X.; Zhou, D. Research of mutual learning neural network training method. Chin. J. Comput. 2017, 40, 1291–1308. [Google Scholar]
- Yu, S. MATLAB Optimization Algorithm Case Analysis and Application: Advanced Chapter; Tsinghua University Press: Beijing, China, 2015; pp. 124–126. [Google Scholar]
- Huang, J.; Luo, H.; Wang, H.; Long, B. Prediction of time sequence based on GA-BP neural net. J. Univ. Electron. Sci. Technol. China 2009, 38, 687–692. [Google Scholar]






| Serial Number | Porosity/% | Compressibility/(1·MPa−1·10−3) | Oil Saturation/% | MMP/MPa | Crude Oil Density/(g·cm−3) | TOC/wt% | Median Pore Size/nm | Matrix Permeability/nd | Soaking Time/h | Injection Pressure/MPa | Oil Displacement Efficiency/% |
|---|---|---|---|---|---|---|---|---|---|---|---|
| 1# | 10.3 | 1.18 | 85.91 | 25.56 | 0.88 | 4.4 | 7 | 1370 | 22 | 24.14 | 40 |
| 2# | 8.22 | 1.43 | 30.02 | 25.56 | 0.88 | 2.34 | 6 | 530 | 10 | 17.24 | 17.8 |
| 3# | 5.94 | 0.93 | 67.45 | 25.56 | 0.88 | 1.87 | 5 | 430 | 0 | 17.24 | 9.7 |
| 4# | 5.94 | 0.93 | 67.45 | 25.56 | 0.88 | 1.87 | 5 | 430 | 0 | 24.14 | 14.1 |
| 5# | 6.44 | 0.65 | 50.11 | 13.28 | 0.83 | 2.91 | 5 | 370 | 21 | 8.28 | 9.5 |
| 6# | 10.12 | 1.27 | 15.23 | 13.28 | 0.83 | 1.55 | 5 | 325 | 0 | 14.48 | 7.4 |
| 7# | 8.1 | 0.77 | 32.22 | 13.28 | 0.83 | 4.08 | 4 | 170 | 21 | 14.48 | 14.5 |
| 8# | 8.65 | 3.1 | 65.13 | 13.28 | 0.83 | 3.97 | 6 | 390 | 21 | 21.38 | 26.2 |
| 9# | 7.35 | 1.33 | 31.83 | 13.28 | 0.83 | 2.97 | 5 | 390 | 0 | 8.28 | 1.7 |
| 10# | 7.17 | 1.55 | 62.7 | 13.28 | 0.83 | 2.18 | 5 | 440 | 0 | 21.38 | 14.7 |
| Serial Number | Porosity/% | Compressibility/(1·MPa−1·10−3) | Oil Saturation/% | TOC/wt% | Median Pore Size/nm | Matrix Permeability/nd | Soaking Time/h | Injection Pressure/MPa | Oil Displacement Efficiency/% |
|---|---|---|---|---|---|---|---|---|---|
| 1 | 1.000 | 0.217 | 1.000 | 1.000 | 1.000 | 1.000 | 1.000 | 1.000 | 1.000 |
| 2 | 0.523 | 0.319 | 0.209 | 0.277 | 0.667 | 0.300 | 0.455 | 0.000 | 0.420 |
| 3 | 0.000 | 0.115 | 0.739 | 0.112 | 0.333 | 0.217 | 0.000 | 0.000 | 0.209 |
| 4 | 0.000 | 0.115 | 0.739 | 0.112 | 0.333 | 0.217 | 0.000 | 1.000 | 0.324 |
| 5 | 0.115 | 0.000 | 0.493 | 0.477 | 0.333 | 0.167 | 0.955 | 0.000 | 0.204 |
| 6 | 0.959 | 0.250 | 0.000 | 0.000 | 0.333 | 0.129 | 0.000 | 0.473 | 0.149 |
| 7 | 0.495 | 0.049 | 0.240 | 0.888 | 0.000 | 0.000 | 0.955 | 0.473 | 0.334 |
| 8 | 0.622 | 1.000 | 0.706 | 0.849 | 0.667 | 0.183 | 0.955 | 1.000 | 0.640 |
| 9 | 0.323 | 0.277 | 0.235 | 0.498 | 0.333 | 0.183 | 0.000 | 0.000 | 0.000 |
| 10 | 0.282 | 0.367 | 0.672 | 0.221 | 0.333 | 0.225 | 0.000 | 1.000 | 0.339 |
| Evaluation Items | Relevance | Ranking |
|---|---|---|
| Injection pressure/MPa | 0.991 | 1 |
| Soaking time/h | 0.986 | 2 |
| Porosity/% | 0.986 | 3 |
| Median pore size/nm | 0.984 | 4 |
| TOC/wt% | 0.981 | 5 |
| Compressibility/(1·MPa−1·10−3) | 0.979 | 6 |
| Oil saturation/% | 0.95 | 7 |
| Matrix permeability/nd | 0.615 | 8 |
| Model Type | Predicted Group Number | Actual Value/% | Predicted Value/% | MAE | RMSE | R2 |
|---|---|---|---|---|---|---|
| BP model | 1 | 14.50 | 15.82 | 1.286 | 1.757 | 0.889 |
| 2 | 26.20 | 23.28 | ||||
| 3 | 1.70 | 5.86 | ||||
| 4 | 14.70 | 14.26 | ||||
| GA-BP model | 1 | 14.50 | 14.64 | 0.898 | 0.946 | 0.983 |
| 2 | 26.20 | 26.49 | ||||
| 3 | 1.70 | 2.81 | ||||
| 4 | 14.70 | 15.85 |
| Serial Number | Porosity/% | Compressibility/(1·MPa−1·10−3) | Oil Saturation/% | TOC/wt% | Median Pore Size/nm | Soaking Time/h | Injection Pressure/MPa |
|---|---|---|---|---|---|---|---|
| 1 | 7.65 | 0.98 | 67.45 | 3.18 | 4 | 25 | 15 |
| 2 | 5.86 | 1.43 | 34.45 | 1.78 | 5 | 0 | 15 |
| 3 | 7.76 | 1.67 | 55.67 | 2.87 | 5 | 10 | 7 |
| 4 | 6.96 | 1.24 | 68.9 | 1.56 | 4 | 0 | 7 |
| 5 | 10.2 | 1.52 | 89.65 | 2.41 | 6 | 25 | 20 |
| 6 | 8.46 | 1.14 | 77.4 | 3.8 | 5 | 10 | 15 |
| 7 | 8.28 | 1.2 | 35.78 | 2.65 | 6 | 25 | 7 |
| 8 | 7.66 | 2.3 | 62.8 | 2.21 | 5 | 10 | 20 |
| 9 | 9.65 | 1.16 | 40.69 | 2.32 | 5 | 0 | 20 |
Disclaimer/Publisher’s Note: The statements, opinions and data contained in all publications are solely those of the individual author(s) and contributor(s) and not of MDPI and/or the editor(s). MDPI and/or the editor(s) disclaim responsibility for any injury to people or property resulting from any ideas, methods, instructions or products referred to in the content. |
© 2023 by the authors. Licensee MDPI, Basel, Switzerland. This article is an open access article distributed under the terms and conditions of the Creative Commons Attribution (CC BY) license (https://creativecommons.org/licenses/by/4.0/).
Share and Cite
Qin, S.; Li, J.; Chen, J.; Bi, X.; Xiang, H. Research on Displacement Efficiency by Injecting CO2 in Shale Reservoirs Based on a Genetic Neural Network Model. Energies 2023, 16, 4812. https://doi.org/10.3390/en16124812
Qin S, Li J, Chen J, Bi X, Xiang H. Research on Displacement Efficiency by Injecting CO2 in Shale Reservoirs Based on a Genetic Neural Network Model. Energies. 2023; 16(12):4812. https://doi.org/10.3390/en16124812
Chicago/Turabian StyleQin, Shunli, Juhua Li, Jingyou Chen, Xueli Bi, and Hui Xiang. 2023. "Research on Displacement Efficiency by Injecting CO2 in Shale Reservoirs Based on a Genetic Neural Network Model" Energies 16, no. 12: 4812. https://doi.org/10.3390/en16124812
APA StyleQin, S., Li, J., Chen, J., Bi, X., & Xiang, H. (2023). Research on Displacement Efficiency by Injecting CO2 in Shale Reservoirs Based on a Genetic Neural Network Model. Energies, 16(12), 4812. https://doi.org/10.3390/en16124812
