Hydrodynamic Investigation on Floating Offshore Wind Turbine Platform Integrated with Porous Shell
Abstract
1. Introduction
2. Model Description
2.1. Model Setup
2.2. Load Coupling Framework
2.2.1. Aerodynamic Load
2.2.2. Hydrodynamic Load
2.2.3. Mooring Load
2.2.4. Load Coupling Procedure
2.2.5. Motion Response of Floating Platform Coupled with Porous Structure
3. Model Validation
3.1. Mesh Convergence Analysis
3.2. Verification of Hydrodynamic Loads on Porous Structures
3.3. Validation of the Numerical Coupling Method
4. Results and Discussions
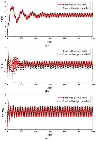
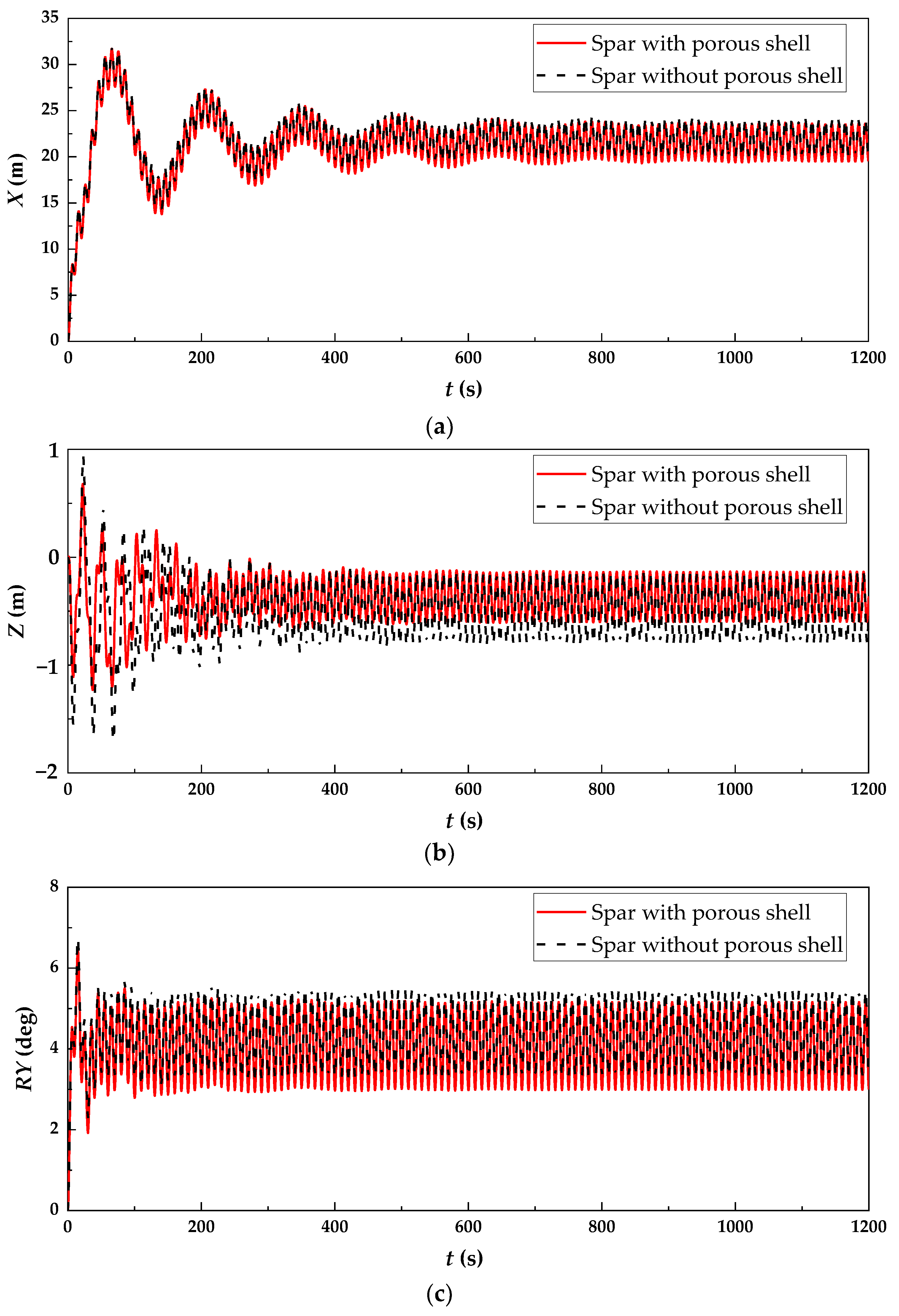
4.1. Detailed Analysis of Motion Response at Selected Wave Condition
4.2. Motion Equilibrium Position with Different Porosity
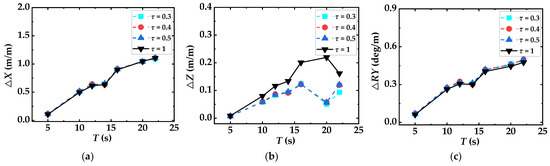
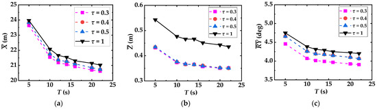
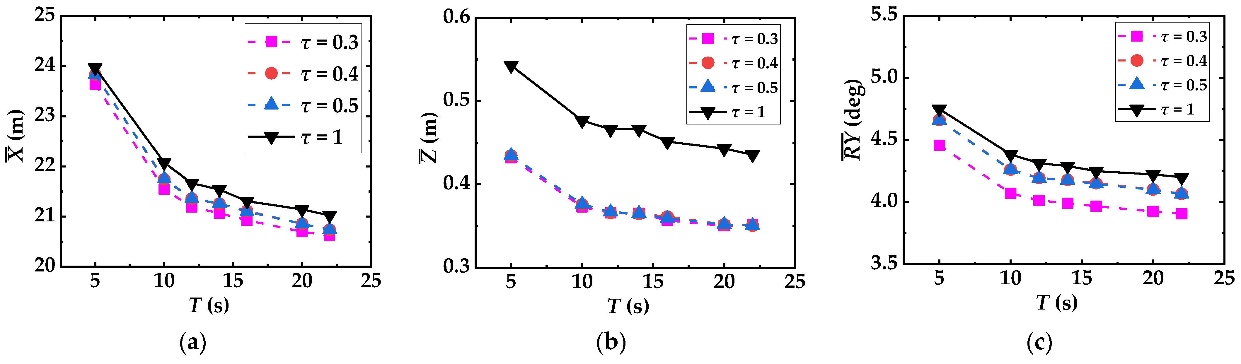
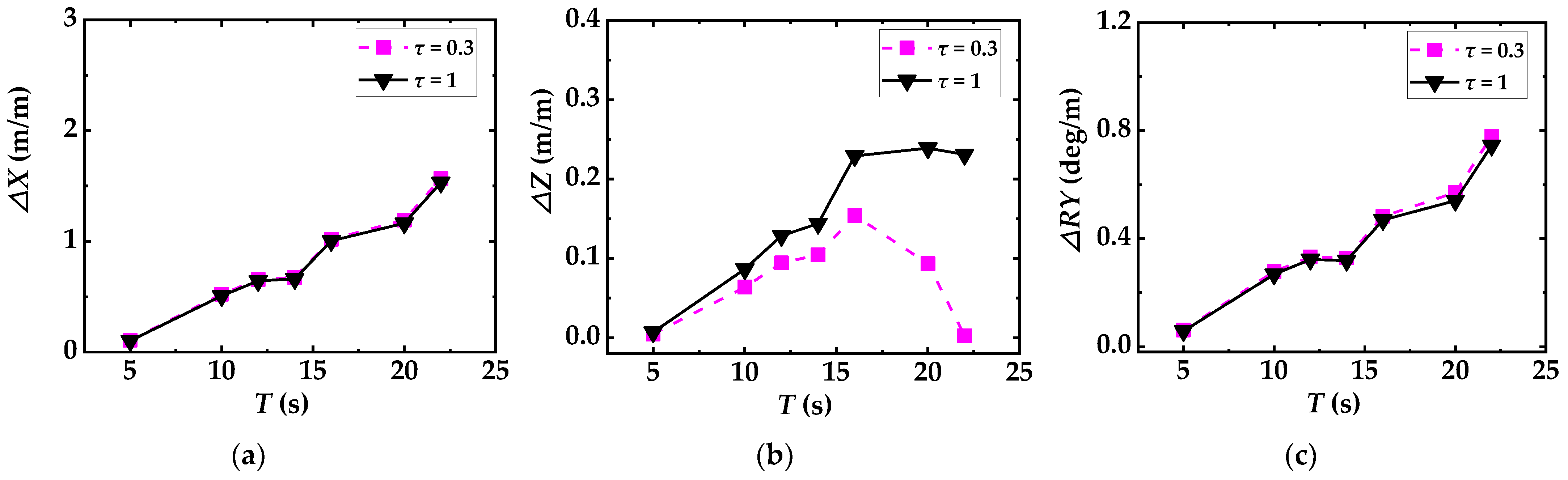
4.3. Response Amplitude Operator with Different Porosity
4.4. Response Amplitude Operator without Wind
4.5. Hydrodynamic Load Analysis
4.6. Structural Hydrodynamic Coefficients
4.6.1. Added Mass
4.6.2. Radiation Damping
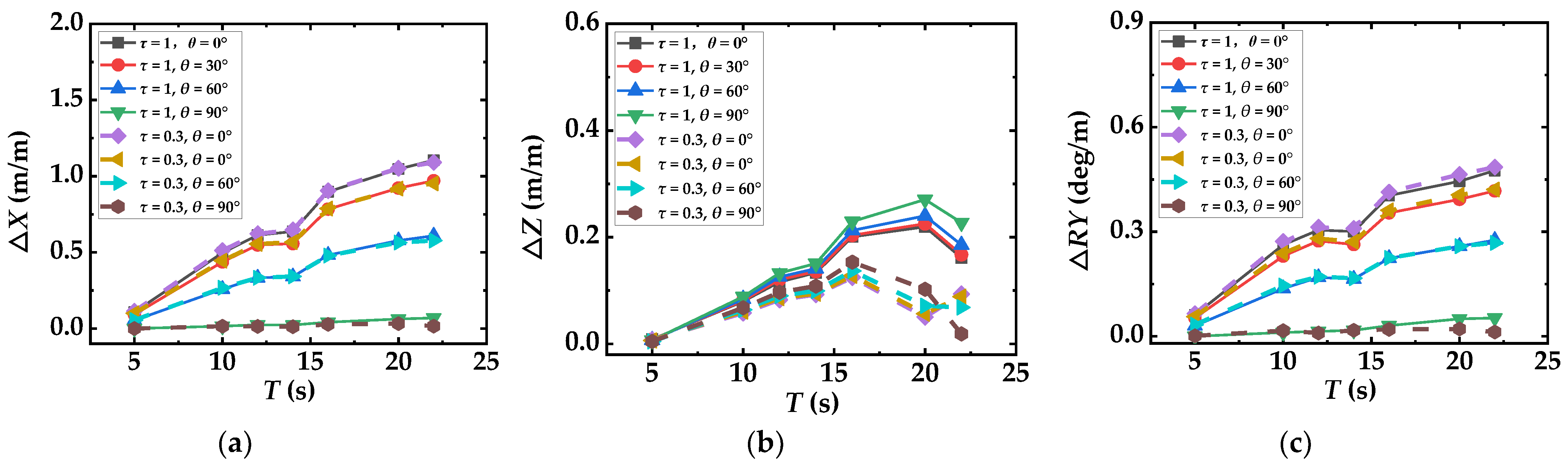
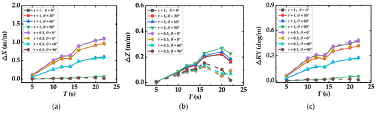
4.7. Full Coupled Analysis of Wind Turbine with Varied Angles between Incident Wave and Wind Load
5. Conclusions
Author Contributions
Funding
Data Availability Statement
Conflicts of Interest
References
- Veers, P.; Dykes, K.; Lantz, E.; Barth, S.; Bottasso, C.L.; Carlson, O.; Clifton, A.; Green, J.; Green, P.; Holttinen, H.; et al. Grand Challenges in the Science of Wind Energy. Science 2019, 366, 443. [Google Scholar] [CrossRef] [PubMed]
- Mishnaevsky, L.; Hasager, C.B.; Bak, C.; Tilg, A.-M.; Bech, J.I.; Rad, S.D.; Fæster, S. Leading Edge Erosion of Wind Turbine Blades: Understanding, Prevention and Protection. Renew. Energy. 2021, 169, 953–969. [Google Scholar] [CrossRef]
- Carraro, M.; De Vanna, F.; Zweiri, F.; Benini, E.; Heidari, A.; Hadavinia, H. CFD Modeling of Wind Turbine Blades with Eroded Leading Edge. Fluids 2022, 7, 302. [Google Scholar] [CrossRef]
- Chen, L.; Biswajit, B. Fatigue Load Estimation of a Spar-type Floating Offshore Wind Turbine considering Wave-current Interactions. Int. J. Fatigue. 2018, 116, 421–428. [Google Scholar] [CrossRef]
- Yue, M.; Liu, Q.; Li, C.; Ding, Q.; Cheng, S.; Zhu, H. Effects of heave Plate on Dynamic Response of Floating Wind Turbine Spar Platform under the Coupling Effect of Wind and Wave. Ocean Eng. 2020, 201, 107103. [Google Scholar] [CrossRef]
- Lin, W.; Lai, B.; Chen, X.; Zhao, C.; Tang, Y. A Novel Structural Form of Semi-Submersible Platform for a Floating Offshore Wind Turbine with Hydrodynamic Performance Analysis. Appl. Mech. Mater. 2013, 477, 109–113. Available online: https://www.scientific.net/AMM.477-478.109 (accessed on 27 April 2023).
- Rao, M.; Nallayarasu, S.; Bhattacharyya, S. Numerical and Experimental Studies of heave Damping and Added Mass of Spar with heave Plates Using Forced Oscillation. Appl. Ocean Res. 2021, 111, 102667. [Google Scholar] [CrossRef]
- Hegde, P.; Nallayarasu, S. Investigation of heave Damping Characteristics of Buoy Form Spar with heave Plate near the Free Surface Using CFD Validated by Experiments. Ships Offshore Struct. 2022, 1–18. [Google Scholar] [CrossRef]
- Yang, J.; He, E. Coupled Modeling and Structural Vibration Control for Floating Offshore Wind Turbine. Renew. Energy. 2020, 157, 678–694. [Google Scholar] [CrossRef]
- Huang, Z.; Li, Y.; Liu, Y. Hydraulic Performance and Wave Loadings of Perforated/slotted Coastal Structures: A Review. Ocean Eng. 2011, 38, 1031–1053. [Google Scholar] [CrossRef]
- Dai, J.; Wang, C.; Utsunomiya, T.; Duan, W. Review of Recent Research and Developments on Floating Breakwaters. Ocean Eng. 2018, 158, 132–151. [Google Scholar] [CrossRef]
- Downie, M.; Graham, J.; Hall, C.; Incecik, A.; Nygaard, I. An Experimental Investigation of Motion Control Devices for Truss Spars. Mar. Struct. 2000, 13, 75–90. [Google Scholar] [CrossRef]
- Molin, B. On The Added Mass and Damping of Periodic Arrays of Fully or Partially porous disks. J. Fluid Struct. 2001, 15, 275–290. [Google Scholar] [CrossRef]
- Tao, L.; Daniel, D. Hydrodynamic Performance of Solid and Porous heave Plates. Ocean Eng. 2008, 35, 1006–1014. [Google Scholar] [CrossRef]
- An, S.; Faltinsen, O. Linear Free-surface Effects on a Horizontally Submerged and Perforated 2D Thin Plate in Finite and Infinite Water Depths. Appl. Ocean Res. 2012, 37, 220–234. [Google Scholar] [CrossRef]
- An, S.; Faltinsen, O. An Experimental and Numerical Study of heave Added Mass and Damping of Horizontally Submerged and Perforated Rectangular Plates. J. Fluids Struct. 2013, 39, 87–101. [Google Scholar] [CrossRef]
- Mackay, E.; Shi, W.; Qiao, D.; Gabl, R.; Davey, T.; Ning, D.; Johanning, L. Numerical and Experimental Modelling of Wave Interaction with Fixed and Floating Porous Cylinders. Ocean Eng. 2021, 242, 110–118. [Google Scholar] [CrossRef]
- Saha, S.; Bora, S.; Das, S. Time-dependent Water Wave Scattering by a Bottom-mounted Porous Compound Cylinder Fitted with an Annular Porous Lid. Waves Random Complex Media. 2023, 1–22. [Google Scholar] [CrossRef]
- Ding, Q.; Li, C.; Yu, N.; Hao, W.; Ji, J. Numerical and Experimental Investigation into the Dynamic Response of a Floating Wind Turbine Spar Array Platform. J. Mech. Sci. Technol. 2018, 32, 1106–1116. [Google Scholar] [CrossRef]
- Jonkman, J. Definition of the Floating System for Phase IV of OC3; National Renewable Energy Laboratory: Golden, CO, USA, 2010; pp. 509–513. [Google Scholar] [CrossRef]
- Zhang, H.; Wang, H.; Cai, X.; Xie, J.; Wang, Y.; Zhang, N. Research on the Dynamic Performance of a Novel Floating Offshore Wind Turbine Considering the Fully-Coupled-Effect of the System. J. Mar. Sci. Eng. 2022, 10, 341. [Google Scholar] [CrossRef]
- Yang, Y.; Bashir, M.; Michailides, C.; Li, C.; Wang, J. Development and Application of an Aero-hydro-servo-elastic Coupling Framework for Analysis of Floating Offshore Wind Turbines. Renew. Energy 2020, 161, 606–625. [Google Scholar] [CrossRef]
- Chen, P.; Chen, J.; Hu, Z. Review of Experimental-Numerical Methodologies and Challenges for Floating Offshore Wind Turbines. J. Marine. Sci. Appl. 2020, 19, 339–361. [Google Scholar] [CrossRef]
- Masciola, M.; Jonkman, J.; Robertson, A. Implementation of a Multisegmented, Quasi-Static Cable Model. In Proceedings of the Twenty-third International Offshore and Polar Engineering Conference, Anchorage, AK, USA, 30 June–4 July 2013. [Google Scholar]


















| Parameters | Symbol | Value |
|---|---|---|
| Depth to platform base below SWL (Total Draft) Elevation to platform top (Tower base) above SWL | H2 | 120 m |
| H1 | 10 m | |
| Depth to top of taper below SWL Depth to bottom of taper below SWL Platform diameter above taper Platform diameter below taper Platform mass (Including ballast) CM location below SWL along platform centerline Platform roll inertia about CM Platform pitch inertia about CM Platform yaw inertia about platform centerline | d1 d2 D1 D2 M ZG Ix Iy Iz | 4 m 12 m 6.5 m 9.4 m 7.466 × 106 kg 89.916 m 4.229 × 109 kg·m2 4.229 × 109 kg·m2 1.642 × 108 kg·m2 |
| Parameters | Symbol | Value |
|---|---|---|
| Number of mooring lines Angle between adjacent lines | - | 3 |
| - | 120° | |
| Depth to anchors below SWL (Water depth) | d | 320 m |
| Depth to anchors below SWL | d3 | 320 m |
| Depth to fairleads below SWL | d4 | 70 m |
| Radius to anchors from platform centerline | R1 | 853.870 m |
| Radius to fairleads from platform centerline | R2 | 5.2 m |
| Unstretched mooring line length | L | 902.2 m |
| Mooring line diameter | Dml | 0.09 m |
| Equivalent mooring line mass density | m | 77.707 kg/m |
| Equivalent mooring line weight in water | ω0 | 698.094 N/m |
| Equivalent mooring line extensional stiffness | EA | 3.842 × 108 N |
| Additional yaw spring stiffness | Can | 9.834 × 107 Nm/rad |
| Parameters | Symbol | Value |
|---|---|---|
| Porous shell outer diameter Porous shell inner diameter | D3 | 9.4 m |
| D4 | 8.8 m | |
| The thickness of porous shell | dp | 0.3 m |
| Distance of porous shell above SWL | H3 | 2 m |
| Depth of porous shell below SWL | H4 | 6 m |
| Porosity of porous shell | τ | 0.3 |
| Numerical Methods | Wind Turbine Model | Aerodynamic | Hydrodynamic | Mooring |
|---|---|---|---|---|
| OpenFAST© | OC3-Hywind spar | Aerodyn15 | WAMITTM | MAP++ |
| Present | OC3-Hywind spar | Aerodyn15 | ANSYS AQWATM | MAP++ |
| Numerical Methods | Wave Height (m) | Wave Period (s) | Wind Speed (m/s) | Simulation Time (s) | Time Step (s) |
|---|---|---|---|---|---|
| OpenFAST© | 8 | 5 | 11.4 | 2000 | 0.0125 |
| Present | 8 | 5 | 11.4 | 2000 | 0.0125 |
| Floating Platform | Surge (M) | Heave (M) | Pitch (Deg) | |||
|---|---|---|---|---|---|---|
| Average Value | Amplitude of Motion | Average Value | Amplitude of Motion | Average Value | Amplitude of Motion | |
| Spar without porous shell | 22.10 | 1.99 | 0.48 | 0.32 | 4.39 | 1.05 |
| Spar with porous shell | 21.50 | 2.05 | 0.37 | 0.23 | 4.07 | 1.09 |
| Decrease | 2.7% | −3.0% | 21.8% | 27.3% | 7.2% | −3.6% |
Disclaimer/Publisher’s Note: The statements, opinions and data contained in all publications are solely those of the individual author(s) and contributor(s) and not of MDPI and/or the editor(s). MDPI and/or the editor(s) disclaim responsibility for any injury to people or property resulting from any ideas, methods, instructions or products referred to in the content. |
© 2023 by the authors. Licensee MDPI, Basel, Switzerland. This article is an open access article distributed under the terms and conditions of the Creative Commons Attribution (CC BY) license (https://creativecommons.org/licenses/by/4.0/).
Share and Cite
Yao, Y.; Ning, D.; Deng, S.; Mayon, R.; Qin, M. Hydrodynamic Investigation on Floating Offshore Wind Turbine Platform Integrated with Porous Shell. Energies 2023, 16, 4376. https://doi.org/10.3390/en16114376
Yao Y, Ning D, Deng S, Mayon R, Qin M. Hydrodynamic Investigation on Floating Offshore Wind Turbine Platform Integrated with Porous Shell. Energies. 2023; 16(11):4376. https://doi.org/10.3390/en16114376
Chicago/Turabian StyleYao, Yisheng, Dezhi Ning, Sijia Deng, Robert Mayon, and Ming Qin. 2023. "Hydrodynamic Investigation on Floating Offshore Wind Turbine Platform Integrated with Porous Shell" Energies 16, no. 11: 4376. https://doi.org/10.3390/en16114376
APA StyleYao, Y., Ning, D., Deng, S., Mayon, R., & Qin, M. (2023). Hydrodynamic Investigation on Floating Offshore Wind Turbine Platform Integrated with Porous Shell. Energies, 16(11), 4376. https://doi.org/10.3390/en16114376

