Cascade Control Method of Sliding Mode and PID for PEMFC Air Supply System
Abstract
1. Introduction
2. PEMFC System Modeling and Control Objective
- Suppose all gasses meet the law of ideal gasses;
- Consider the intake gas to be air at standard atmospheric pressure;
- It is assumed that the supply manifold’s intake and outlet temperatures are equivalent;
- Presume that the cathode’s internal gas is ideally humidified, with a 100% humidity;
- Consider that there is only the composition of nitrogen and oxygen in the dry gas;
- Suppose that the anode hydrogen is sufficient and the anode pressure changes with the cathode pressure;
- It is hypothesized that the system humidity and temperature are maintained at the desired value by means of humidifiers and coolers.
2.1. Air Supply System Modeling
2.1.1. Air Compressor Model
2.1.2. Air Supply Manifold Model
2.1.3. Stack Cathode Gas Model
2.2. Control Objective
3. Controller and Observer Design
3.1. Observer Design
3.2. Controller Design
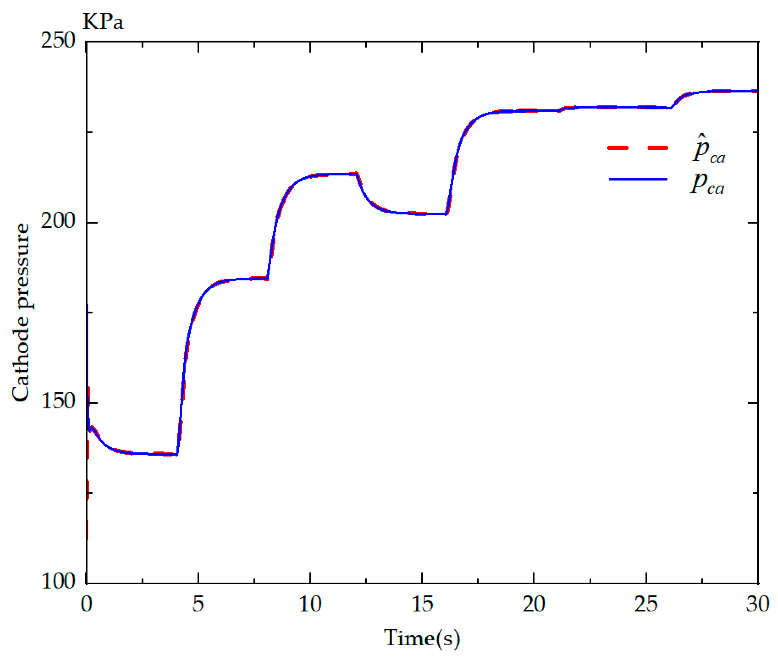
4. Simulation and Analysis of Results
5. Conclusions
Author Contributions
Funding
Data Availability Statement
Acknowledgments
Conflicts of Interest
Appendix A
| Symbol | Value | Symbol | Value | Symbol | Value | Symbol | Value |
|---|---|---|---|---|---|---|---|
| 381 | 1004 J/Kg/K | ||||||
| 1.0135 bar | 0.0153 | kg/mol | kg/sa | ||||
| 298 K | 0.82 | kg/mol | 0.0124 | ||||
| 353 K | 0.0153 | 0.002 | 1.4 | ||||
| 0.5 | 0.8 | 96485 | 0.02585 | ||||
| 0.98 | 0.02 |
References
- Yuan, J.; Lin, Q.; Chen, S.; Zhao, H.; Xie, X.; Cai, Z.; Zhang, J.; Cheng, T.; Hua, M.; Zhang, R. Influence of global warming and urbanization on regional climate of Megacity: A case study of Chengdu, China. Urban Clim. 2022, 44, 101227. [Google Scholar] [CrossRef]
- Feng, Y.; Dong, Z. Integrated design and control optimization of fuel cell hybrid mining truck with minimized lifecycle cost. Appl. Energy 2020, 270, 115164. [Google Scholar] [CrossRef]
- Fan, Z.; Yu, X.; Yan, M.; Hong, C. Oxygen excess ratio control of PEM fuel cell based on self-adaptive fuzzy PID. IFAC-Pap. OnLine 2018, 51, 15–20. [Google Scholar] [CrossRef]
- Daud, W.R.W.; Rosli, R.E.; Majlan, E.H.; Hamid, S.A.A.; Mohamed, R.; Husaini, T. PEM fuel cell system control: A review. Renew. Energy 2017, 113, 620–638. [Google Scholar] [CrossRef]
- Matraji, I.; Ahmed, F.S.; Laghrouche, S.; Wack, M. Comparison of robust and adaptive second order sliding mode control in PEMFC air-feed systems. Int. J. Hydrogen Energy 2015, 40, 9491–9504. [Google Scholar] [CrossRef]
- Zhang, H.K.; Wang, Y.F.; Wang, D.H.; Wang, Y.L. Adaptive robust control of oxygen excess ratio for PEMFC system based on type-2 fuzzy logic system. Inf. Sci. 2020, 511, 1–17. [Google Scholar] [CrossRef]
- Chen, J.; He, H. Improve hydrogen economy for vehicular fuel cell system via investigation and control of optimal operating oxygen excess ratio. Energy Rep. 2022, 8, 5883–5897. [Google Scholar] [CrossRef]
- Pukrushpan, J.T.; Stefanopoulou, A.G.; Peng, H. Control of Fuel Cell Power Systems: Principles, Modeling, Analysis and Feedback Design; Springer Science & Business Media: Berlin/Heidelberg, Germany, 2004. [Google Scholar]
- Talj, R.J.; Hissel, D.; Ortega, R.; Becherif, M.; Hilairet, M. Experimental validation of a PEM fuel-cell reduced-order model and a moto-compressor higher order sliding-mode control. IEEE Trans. Ind. Electron. 2009, 57, 1906–1913. [Google Scholar] [CrossRef]
- Gruber, J.K.; Bordons, C.; Dorado, F. Nonlinear control of the air feed of a fuel cell. In Proceedings of the 2008 American Control Conference, Seattle, WA, USA, 11–13 June 2008; IEEE: Piscataway, NJ, USA, 2008; pp. 1121–1126. [Google Scholar]
- Niknezhadi, A.; Allué-Fantova, M.; Kunusch, C.; Ocampo-Martínez, C. Design and implementation of LQR/LQG strategies for oxygen stoichiometry control in PEM fuel cells based systems. J. Power Sources 2011, 196, 4277–4282. [Google Scholar] [CrossRef]
- Li, M.; Lu, J.; Hu, Y.; Gao, J. Oxygen Excess Ratio Controller Design of PEM Fuel Cell. IFAC-Pap. OnLine 2018, 51, 493–498. [Google Scholar] [CrossRef]
- Wang, Y.; Li, H.; Feng, H.; Han, K.; He, S.; Gao, M. Simulation study on the PEMFC oxygen starvation based on the coupling algorithm of model predictive control and PID. Energy Convers. Manag. 2021, 249, 114851. [Google Scholar] [CrossRef]
- Ziogou, C.; Papadopoulou, S.; Georgiadis, M.C.; Voutetakis, S. On-line nonlinear model predictive control of a PEM fuel cell system. J. Process Control. 2013, 23, 483–492. [Google Scholar] [CrossRef]
- Deng, H.; Li, Q.; Cui, Y.; Zhu, Y.; Chen, W. Nonlinear controller design based on cascade adaptive sliding mode control for PEM fuel cell air supply systems. Int. J. Hydrog. Energy 2019, 44, 19357–19369. [Google Scholar] [CrossRef]
- Kunusch, C.; Puleston, P.F.; Mayosky, M.A.; Riera, J. Sliding mode strategy for PEM fuel cells stacks breathing control using a super-twisting algorithm. IEEE Trans. Control. Syst. Technol. 2008, 17, 167–174. [Google Scholar] [CrossRef]
- Na, W.K.; Gou, B. Feedback-linearization-based nonlinear control for PEM fuel cells. IEEE Trans. Energy Convers. 2008, 23, 179–190. [Google Scholar]
- Baroud, Z.; Benmiloud, M.; Benalia, A.; Ocampo-Martinez, C. Novel hybrid fuzzy-PID control scheme for air supply in PEM fuel-cell-based systems. Int. J. Hydrog. Energy 2017, 42, 10435–10447. [Google Scholar] [CrossRef]
- Wang, Y.; Wang, Y.; Zhao, J.; Xu, J. Observer-based adaptive neural network control for PEMFC air-feed subsystem. Appl. Soft Comput. 2021, 113, 108003. [Google Scholar] [CrossRef]
- Costa, N.; Sanchez, L.; Ansean, D.; Dubarry, M. Li-ion battery degradation modes diagnosis via Convolutional Neural Networks. J. Energy Storage 2022, 55, 105558. [Google Scholar] [CrossRef]
- Damour, C.; Benne, M.; Lebreton, C.; Deseure, J.; Grondin-Perez, B. Real-time implementation of a neural model-based self-tuning PID strategy for oxygen stoichiometry control in PEM fuel cell. Int. J. Hydrogen Energy 2014, 39, 12819–12825. [Google Scholar] [CrossRef]
- Laghrouche, S.; Liu, J.; Ahmed, F.S.; Harmouche, M.; Wack, M. Adaptive second-order sliding mode observer-based fault reconstruction for PEM fuel cell air-feed system. IEEE Trans. Control. Syst. Technol. 2014, 23, 1098–1109. [Google Scholar] [CrossRef]
- Pukrushpan, J.T.; Peng, H.; Stefanopoulou, A.G. Simulation and analysis of transient fuel cell system performance based on a dynamic reactant flow model. ASME Int. Mech. Eng. Congr. Exposition. 2002, 36290, 637–648. [Google Scholar]
- Talj, R.J.; Ortega, R.; Hilairet, M. A controller tuning methodology for the air supply system of a PEM fuel-cell system with guaranteed stability properties. Int. J. Control. 2009, 82, 1706–1719. [Google Scholar] [CrossRef]
- Zhu, Y.; Zou, J.; Li, S.; Peng, C. An adaptive sliding mode observer based near-optimal OER tracking control approach for PEMFC under dynamic operation condition. Int. J. Hydrogen Energy 2022, 47, 1157–1171. [Google Scholar] [CrossRef]
- Matraji, I.; Laghrouche, S.; Jemei, S.; Wack, M. Robust control of the PEM fuel cell air-feed system via sub-optimal second order sliding mode. Appl. Energy 2013, 104, 945–957. [Google Scholar] [CrossRef]
- Sankar, K.; Jana, A.K. Nonlinear multivariable sliding mode control of a reversible PEM fuel cell integrated system. Energy Convers. Manag. 2018, 171, 541–565. [Google Scholar] [CrossRef]
- Yuan, H.; Dai, H.; Wu, W.; Xie, J.; Shen, J.; Wei, X. A fuzzy logic PI control with feedforward compensation for hydrogen pressure in vehicular fuel cell system. Int. J. Hydrogen Energy 2021, 46, 5714–5728. [Google Scholar] [CrossRef]









Disclaimer/Publisher’s Note: The statements, opinions and data contained in all publications are solely those of the individual author(s) and contributor(s) and not of MDPI and/or the editor(s). MDPI and/or the editor(s) disclaim responsibility for any injury to people or property resulting from any ideas, methods, instructions or products referred to in the content. |
© 2022 by the authors. Licensee MDPI, Basel, Switzerland. This article is an open access article distributed under the terms and conditions of the Creative Commons Attribution (CC BY) license (https://creativecommons.org/licenses/by/4.0/).
Share and Cite
Tang, A.; Yang, L.; Zeng, T.; Yu, Q. Cascade Control Method of Sliding Mode and PID for PEMFC Air Supply System. Energies 2023, 16, 228. https://doi.org/10.3390/en16010228
Tang A, Yang L, Zeng T, Yu Q. Cascade Control Method of Sliding Mode and PID for PEMFC Air Supply System. Energies. 2023; 16(1):228. https://doi.org/10.3390/en16010228
Chicago/Turabian StyleTang, Aihua, Lin Yang, Tao Zeng, and Quanqing Yu. 2023. "Cascade Control Method of Sliding Mode and PID for PEMFC Air Supply System" Energies 16, no. 1: 228. https://doi.org/10.3390/en16010228
APA StyleTang, A., Yang, L., Zeng, T., & Yu, Q. (2023). Cascade Control Method of Sliding Mode and PID for PEMFC Air Supply System. Energies, 16(1), 228. https://doi.org/10.3390/en16010228

