Decay on Cyclic CO2 Capture Performance of Calcium-Based Sorbents Derived from Wasted Precursors in Multicycles
Abstract
:1. Introduction
2. Experiment
2.1. Preparation of Waste Calcium-Based Sorbents
2.2. Experimental System and Operating Conditions for CO2 Capture
2.3. Analysis Methods
2.4. Characterization of Sorbents
3. Results and Discussion
3.1. Characterization Analysis of Sorbents
3.2. Influence of Cycle Number on CO2 Capture Characteristics of Calcium-Based Sorbents
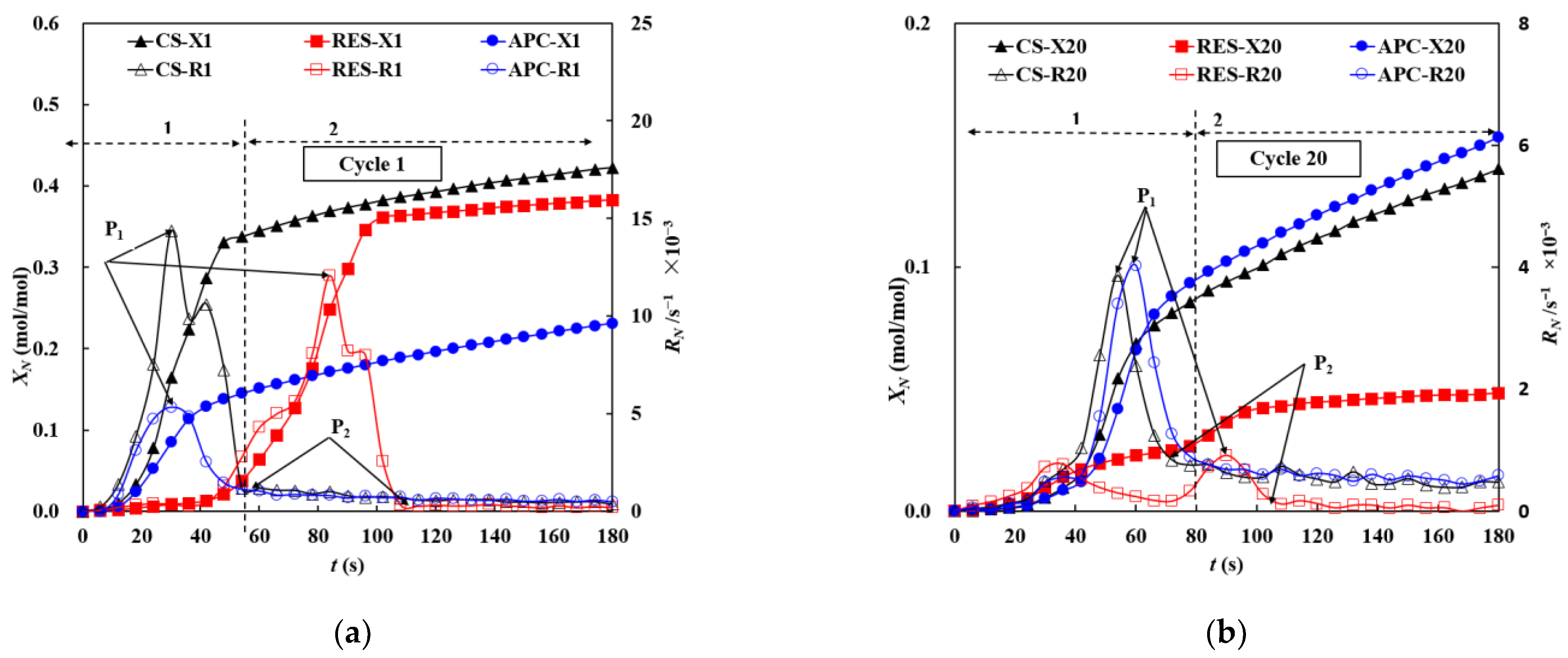
3.3. Influence of Reaction Time on CO2 Capture Characteristics of Calcium-Based Sorbents
3.4. Characteristics of Decay of Carbonation Reactivity
4. Conclusions
Author Contributions
Funding
Institutional Review Board Statement
Informed Consent Statement
Data Availability Statement
Conflicts of Interest
References
- Yu, B.Y.; Zhao, G.P.; An, R.Y.; Chen, J.M.; Tan, J.X.; Li, X.Y. Research on China’s CO2 emission pathway under carbon neutral target. J. Beijing Inst. Technol. 2021, 23, 17–24. [Google Scholar]
- Salaudeen, S.A.; Acharya, B.; Dutta, A. CaO-based CO2 sorbents: A review on screening, enhancement, cyclic stability, regeneration and kinetics modelling. J. CO2 Util. 2018, 23, 179–199. [Google Scholar] [CrossRef]
- Mukherjee, S.; Bandyopadhyay, S.S.; Samanta, A.N. Experimental measurements and modelling of CO2 solubility in aqueous mixtures of benzylamine and N-(2-aminoethyl) ethanolamine. Asia Pac. J. Chem. Eng. 2018, 13, e2264. [Google Scholar] [CrossRef]
- Zhang, Z.; Wang, Y.; Zhu, L.; Li, J.; Wang, F.; Yu, G. Effects of coal ash on iron-based oxygen carrier in chemical-looping combustion using three different rank coals as fuel. Asia Pac. J. Chem. Eng. 2019, 14, e2313. [Google Scholar] [CrossRef]
- Habib, M.A.; Badr, H.M.; Ahmed, S.F.; Ben-Mansour, R.; Mezghani, K.; Imashuku, S. A review of recent developments in carbon capture utilizing oxy-fuel combustion in conventional and ion transport membrane systems. Int. J. Energy Res. 2011, 35, 741–764. [Google Scholar] [CrossRef]
- Zhao, N.; You, F. Can renewable generation, energy storage and energy efficient technologies enable carbon neutral energy transition? Appl. Energy 2020, 79, 115889. [Google Scholar] [CrossRef]
- Cai, N.S.; Fang, F.; Li, Z.S. Research and Development on cyclic calcination/carbonation reaction with Ca-based sorbents to CO2 capture from flue gases. Proc. Chin. Soc. Electr. Eng. 2010, 30, 35–43. [Google Scholar]
- Cheng, Y.H.; Ershun, D.; Tian, X.; Zhang, N.; Kang, C.Q. Carbon capture power plants in power systems: Review and latest research trends. Glob. Energy Interconnect. 2020, 3, 339–350. [Google Scholar]
- Koros, W.J.; Ryan, P.L. Water and beyond: Expanding the spectrum of large-scale energy efficient separation processes. AIChE J. 2012, 58, 2624–2633. [Google Scholar] [CrossRef]
- Moioli, S.; Pellegrini, L.A.; Ho, M.T.; Wiley, D.E. A comparison between amino acid based solvent and traditional amine solvent processes for CO2 removal. Chem. Eng. Res. Des. 2019, 146, 509–517. [Google Scholar] [CrossRef]
- Kotyczka-Moranska, M.; Tomaszewicz, G.; Labojko, G. Comparison of different methods for enhancing CO2 capture by CaO-based sorbents, review. Physicochem. Probl. Miner. Process. 2012, 48, 77–90. [Google Scholar]
- Kumar, S.; Saxena, S.K. A comparative study of CO2 sorption properties for different oxides. Mater. Renew. Sustain. Energy 2014, 3, 30. [Google Scholar] [CrossRef] [Green Version]
- Tian, H.; Sun, R.; Song, C.F.; Deng, S.; Shi, L.F.; Kang, K.; Shu, G.Q. Performance optimization of novel hybrid cryogenic CO2 capture process with membrane separation. Chem. Ind. Eng. Prog. 2010, 39, 2884–2892. [Google Scholar]
- Moioli, S.; Pellegrini, L.A. Modeling the methyldiethanolamine-piperazine scrubbing system for CO2 removal: Thermodynamic analysis. Front. Chem. Sci. Eng. 2016, 10, 162–175. [Google Scholar] [CrossRef]
- Tang, S.; Zhu, L.; Fan, J.M.; Jiang, P. Research progress in modified Ca-based sorbents for cyclic CO2 capture. Mod. Chem. Ind. 2015, 35, 44–48. [Google Scholar]
- Abanades, J.C.; Grasa, G.; Alonso, M. Cost structure of a post combustion CO2 capture system using CaO. Environ. Sci. Technol. 2007, 411, 5523–5527. [Google Scholar] [CrossRef] [Green Version]
- Champagne, S.; Lu, D.Y.; MacChi, A.; Symonds, R.T.; Anthony, E.J. Influence of steam injection during calcination on the reactivity of CaO-based sorbent for carbon capture. Ind. Eng. Chem. Res. 2013, 52, 2241–2246. [Google Scholar] [CrossRef]
- Materic, V.; Hyland, M.; Jones, M.I.; Holt, R. Investigation of the friability of Calooping sorbents during and after hydration based reactivation. Fuel 2014, 127, 70–77. [Google Scholar] [CrossRef]
- Blamey, J.; Anthony, E.J.; Wang, J.; Fennell, P.S. The calcium looping cycle for large-scale CO2 capture. Prog. Energy Combust. Sci. 2010, 36, 260–279. [Google Scholar] [CrossRef]
- Feng, Z.X.; Zheng, Y.; Zhang, L.; Zheng, C.G. Research on high temperature sintering behavior of CaO sorbent used in multi-cyclic CO2 Capturing. J. Eng. Thermophys. 2009, 30, 537–539. [Google Scholar]
- Manovic, V.; Charland, J.P.; Blamey, J.; Fennell, P.S.; Lu, D.Y.; Anthony, E.J. Influence of calcination conditions on carrying capacity of CaO-based sorbent in CO2 looping cycles. Fuel 2009, 88, 1893–1900. [Google Scholar] [CrossRef]
- Wang, C.B.; Zhou, X.; Zhang, B.; Bai, Y.F. Effect of sintering on the limestone calcination/carbonation looping cycle for CO2 capture. Proc. Chin. Soc. Electr. Eng. 2014, 34, 6271–6278. [Google Scholar]
- Coppola, A.; Palladino, L.; Montagnaro, F. Reactivation by Steam Hydration of Sorbents for Fluidized-Bed Calcium Looping. Energy Fuels 2015, 29, 4436–4446. [Google Scholar] [CrossRef] [Green Version]
- Zhang, L.; Zhang, B.; Yang, Z.; Guo, M. The role of water on the performance of calcium oxide-Based sorbents for carbon dioxide capture: A review. Energy Technol. 2015, 3, 10–19. [Google Scholar] [CrossRef]
- Sotenko, M.; Fern’andez, J.; Hu, G.; Derevschikov, V.; Lysikov, A.; Parkhomchuk, E.; Semeykina, V.; Okunev, A.; Rebrov, E.V. Performance of novel CaO-based sorbents in high temperature CO2 capture under RF heating. Chem. Eng. Process. Process Intensif. 2017, 122, 487–492. [Google Scholar] [CrossRef]
- Bazaikin, Y.V.; Malkovich, E.G.; Prokhorov, D.I.; Derevschikov, V.S. Detailed modeling of sorptive and textural properties of CaO-based sorbents with various porous structures. Sep. Purif. Technol. 2021, 255, 117746. [Google Scholar] [CrossRef]
- Olivares-Marín, M.; Cuerda-Correa, E.M.; Nieto-Sánchez, A.; García, S.; Pevida, C.; Román, S. Influence of morphology, porosity and crystal structure of CaCO3 precursors on the CO2 capture performance of CaO-derived sorbents. Chem. Eng. J. 2013, 217, 71–81. [Google Scholar] [CrossRef]
- Abanades, J.C.; Alvarez, D. Conversion limits in the reaction of CO2 with lime. Energy Fuels 2003, 17, 308–315. [Google Scholar] [CrossRef]
- Wang, J.S.; Anthony, E.J. On the decay behavior of the CO2 absorption capacity of CaO-based sorbets. Ind. Eng. Chem. Res. 2005, 44, 627–629. [Google Scholar] [CrossRef]
- Grasa, G.S.; Abanades, J.C. CO2 capture capacity of CaO in long series of carbonation/calcination cycles. Ind. Eng. Chem. Res. 2006, 45, 8846–8851. [Google Scholar] [CrossRef]
- Valverde, J.M. A model on the CaO multicyclic conversion in the Ca-looping process. Chem. Eng. J. 2013, 228, 1195–1206. [Google Scholar] [CrossRef]
- Yancheshmeh, M.S.; Radfarnia, H.R.; Iliuta, M.C. Influence of steam addition during carbonation or calcination on the CO2 capture performance of Ca9Al6O18-CaO sorbent. J. Nat. Gas Sci. Eng. 2016, 36, 1062–1069. [Google Scholar] [CrossRef]
- Rong, N.; Wang, Q.; Fang, M.; Cheng, L.; Luo, Z.; Cen, K. Steam hydration reactivation of CaO-based sorbent in cyclic carbonation/calcination for CO2 capture. Energy Fuels 2013, 27, 5332–5340. [Google Scholar] [CrossRef]
- Rouqueról, J.; Avnir, D.; Fairbridge, C.W.; Everett, D.H.; Haynes, J.M.; Pernicone, N.; Ramsay, J.D.F.; Sing, K.S.W.; Unger, K.K. Recommendations for the characterization of porous solids (Technical Report). Pure Appl. Chem. 1994, 66, 1739–1758. [Google Scholar] [CrossRef]
- Li, C.C.; Cheng, J.Y.; Liu, W.H.; Huang, C.M.; Hsu, H.W.; Lin, H.P. Enhancement in cyclic stability of the CO2 adsorption capacity of CaO-based sorbents by hydration for the calcium looping cycle. J. Taiwan Inst. Chem. Eng. 2014, 45, 227–232. [Google Scholar] [CrossRef]
- Feng, B.; An, H.; Tan, E. Screening of CO2 adsorbing materials for zero emission power generation systems. Energy Fuels 2007, 21, 426–434. [Google Scholar] [CrossRef]
- Mess, D.; Sarofim, A.F.; Longwell, J.P. Product layer diffusion during the reaction of calcium oxide with carbon dioxide. Energy Fuels 1999, 13, 999–1005. [Google Scholar] [CrossRef]
- Bouquet, E.; Leyssens, G.; Schönnenbeck, C.; Gilot, P. The decrease of carbonation efficiency of CaO along calcination–carbonation cycles: Experiments and modelling. Chem. Eng. Sci. 2009, 64, 2136–2146. [Google Scholar] [CrossRef]
- Li, Y.J.; Zhao, C.S.; Chen, H.C.; Duan, L.B.; Chen, X.P. Cyclic CO2 capture behavior of KMnO4-doped CaO-based sorbent. Fuel 2010, 89, 642–649. [Google Scholar] [CrossRef]










| Step | Temperature Range (°C) | Reaction Gas | Gas Flow Rate (mL/min) | Rate of Temperature Increase (Decrease) (°C/min) | Stage |
|---|---|---|---|---|---|
| 1 | 30–600 | N2 | 50 | 5 | Preheating |
| 2 | 600–750 | N2 | 50 | 5 | Carbonation |
| CO2 | 20 | ||||
| 3 | 750–900 | N2 | 50 | 5 | Calcination |
| 4 | 900–600 | N2 | 50 | 5 | Cooling |
| 5 | Repeat steps 2–4 | ||||
| Component Sample | CaO | SiO2 | Al2O3 | Fe2O3 | MgO | Other | LOI |
|---|---|---|---|---|---|---|---|
| CS | 73.88 | 4.6 | 2.69 | 0.35 | 0.015 | 0.645 | 17.82 |
| RES | 85.15 | 0.04 | 0.43 | 0.12 | 0.015 | 1.184 | 13.061 |
| Samples | SBET (m2 g−1) | Vtotal (cm3 g−1) | Average Pore Diameter (nm) |
|---|---|---|---|
| CS | 18.4321 | 0.132978 | 29.0178 |
| RES | 15.2060 | 0.080103 | 21.0714 |
| APC | 23.6375 | 0.128815 | 21.7984 |
| Model | Coefficient | CS | RES | APC |
|---|---|---|---|---|
| fm | 0.9462 | 0.7953 | 0.9563 | |
| fw | 0.1325 | 0.1267 | 0.1345 | |
| R | 0.9976 | 0.9872 | 0.9983 | |
| k | 0.0633 | 0.3117 | 0.0491 | |
| R | 0.9917 | 0.9928 | 0.9963 | |
| Xr | 0.1325 | 0.1267 | 0.1345 | |
| k | 0.0977 | 0.5661 | 0.0742 | |
| R | 0.9857 | 0.9765 | 0.9934 | |
| Xr | 0.1325 | 0.1267 | 0.1345 | |
| X1 | 0.7264 | 0.6719 | 0.7471 | |
| k | 0.0343 | 0.3492 | 0.0237 | |
| R | 0.9983 | 0.9966 | 0.9976 |
Publisher’s Note: MDPI stays neutral with regard to jurisdictional claims in published maps and institutional affiliations. |
© 2022 by the authors. Licensee MDPI, Basel, Switzerland. This article is an open access article distributed under the terms and conditions of the Creative Commons Attribution (CC BY) license (https://creativecommons.org/licenses/by/4.0/).
Share and Cite
Gong, D.; Zhang, Z.; Zhao, T. Decay on Cyclic CO2 Capture Performance of Calcium-Based Sorbents Derived from Wasted Precursors in Multicycles. Energies 2022, 15, 3335. https://doi.org/10.3390/en15093335
Gong D, Zhang Z, Zhao T. Decay on Cyclic CO2 Capture Performance of Calcium-Based Sorbents Derived from Wasted Precursors in Multicycles. Energies. 2022; 15(9):3335. https://doi.org/10.3390/en15093335
Chicago/Turabian StyleGong, Dehong, Zhongxiao Zhang, and Ting Zhao. 2022. "Decay on Cyclic CO2 Capture Performance of Calcium-Based Sorbents Derived from Wasted Precursors in Multicycles" Energies 15, no. 9: 3335. https://doi.org/10.3390/en15093335
APA StyleGong, D., Zhang, Z., & Zhao, T. (2022). Decay on Cyclic CO2 Capture Performance of Calcium-Based Sorbents Derived from Wasted Precursors in Multicycles. Energies, 15(9), 3335. https://doi.org/10.3390/en15093335
