Investigation of the Effect of Climate Change on Energy Produced by Hydroelectric Power Plants (HEPPs) by Trend Analysis Method: A Case Study for Dogancay I–II HEPPs
Abstract
:1. Introduction
2. Materials and Methods
2.1. Study Area
2.2. Trend Analysis by IPTA Method
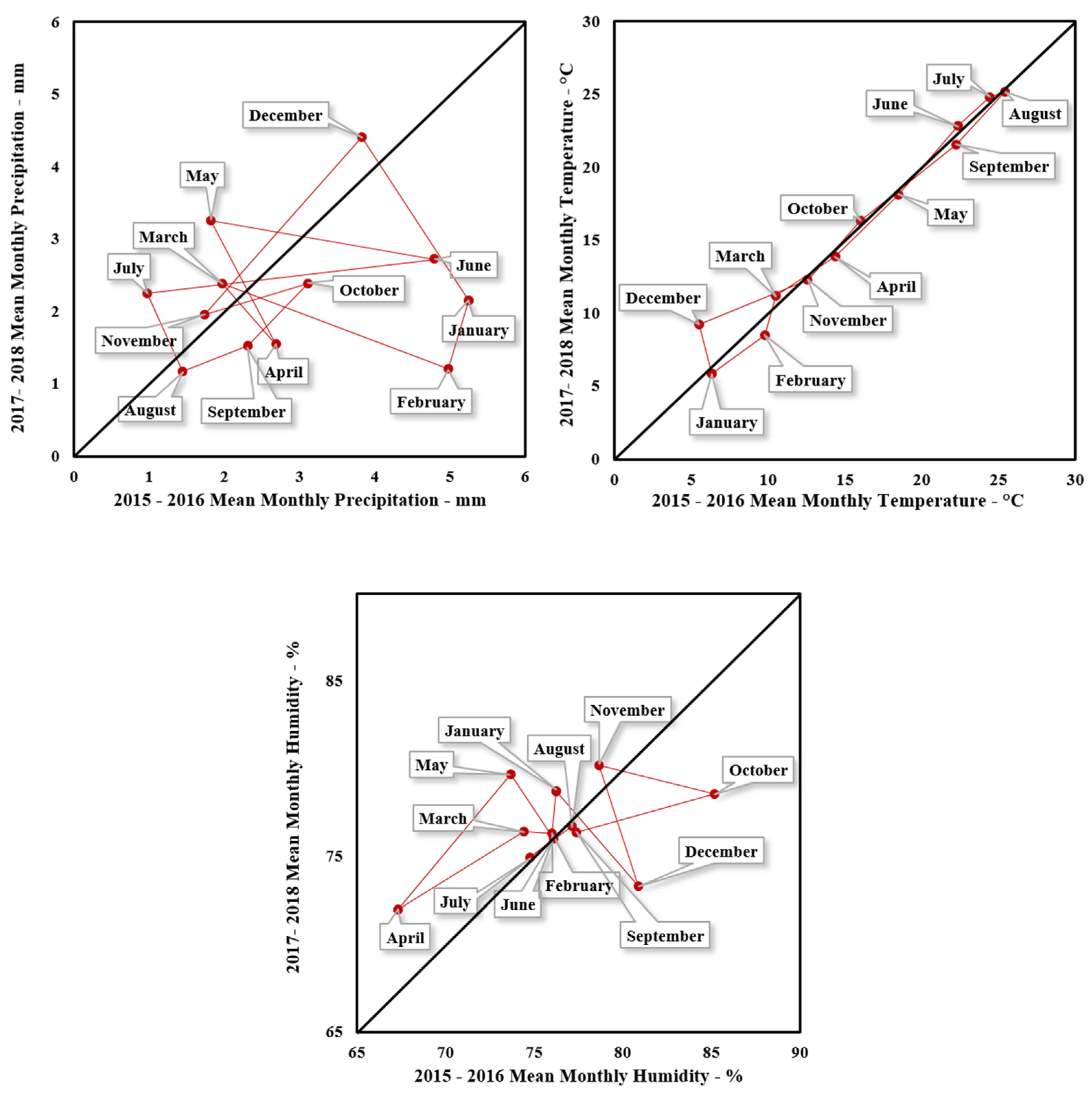
- In this method, the time scale of the data can be daily, weekly, monthly, or annual.
- In this study, since the time scale of the data is selected monthly, the processing steps of the IPTA method are explained according to this time scale.
- The length of the existing data set in the analysis of the data set is divided into two equal parts with the IPTA method (e.g., if the length of the data set is 30 years, it is divided into two equal parts, the first data set for 15 years and the second data set for 15 years).
- Since the time scale of the data is monthly, arithmetic means and standard deviations are calculated for each month (for both data sets).
- These calculated data are placed on the cartesian coordinate axis.
- The first data set is placed on the x-axis of the coordinate axis and the second data set is placed on the y-axis.
- The endpoint of the polygon created for each month is created as in Figure 4.
- The 45-degree (1:1) line shown in Figure 4 is the non-trend region.
- The upper region of the 45-degree line is increasing trend region.
- The lower region of the 45-degree line is decreasing trend region.
- The origin of the coordinate axis can be different from zero. For arithmetic mean or standard deviation values, the smallest initial value can also be selected.
- The polygon finish lines created for each month are combined with each other.
- This finish line constitutes trend information.
- The polygon formed by the distribution of these finish lines may vary depending on the effects of hydro-meteorological events.
- If a single polygon is formed in the IPTA graph, it is concluded that its data changes systematically.
- The longer the line between the two months, the more significant the trend that exists between these two months.
- January, February, March, May, and June are in the increasing trend region in Figure 4.
- July, August, September, October, and November are in the decreasing trend region.
- April–December is in non-trend region.
- The longest line showing the transition between the two months is between August and September.
- Since the data have a homogeneous structure, a single polygon is formed.
- If the data have a complex structure, multiple polygons will appear on the IPTA graph.
3. Results
4. Discussion
5. Conclusions
- One of the biggest causes of climate change is the use of fossil fuels. The public should be informed to reduce the use of this fuel.
- Conservation of existing water resources is of great importance for climate change. Therefore, the public should be informed about water consumption.
- Controlling the carbon emission values of industrial factories is of great importance for climate change.
- Increasing the use of renewable energy sources is also extremely important for climate change.
Author Contributions
Funding
Institutional Review Board Statement
Informed Consent Statement
Data Availability Statement
Conflicts of Interest
References
- Yapraklı, S.; Bayramoğlu, T. Energy Use and Climate Change in Turkey: A Descriptive Application for The Period 1990–2030. Gazi Univ. J. Fac. Econ. Adm. Sci. 2017, 19, 430–453. [Google Scholar]
- Ceribasi, G.; Caliskan, M. Short-and Long-Term Prediction of Energy to be Produced in Hydroelectric Energy Plants of Sakarya Basin in Turkey. Energy Sources Part A-Recovery Util. Environ. Eff. 2019, 1–16. [Google Scholar] [CrossRef]
- Mann, H. Mann Nonparametric Test Against Trend. Econometrica 1945, 13, 245–259. [Google Scholar] [CrossRef]
- Sen, P.K. Estimates of The Regression Coefficient Based on Kendall’s Tau. J. Am. Stat. Assoc. 1968, 63, 1379–1389. [Google Scholar] [CrossRef]
- Kendall, M.G. Rank Correlation Methods; Charles Griffin: London, UK, 1975. [Google Scholar]
- Şen, Z. Innovative Trend Analysis Methodology. J. Hydrol. Eng. 2012, 17, 1042–1046. [Google Scholar] [CrossRef]
- Şen, Z.; Şişman, E.; Dabanli, I. Innovative Polygon Trend Analysis (IPTA) and Applications. J. Hydrol. 2019, 575, 202–210. [Google Scholar] [CrossRef]
- Jones, J.R.; Schwartz, J.S.; Ellis, K.N.; Hathaway, J.M.; Jawdy, C.M. Temporal Variability of Precipitation in The Upper Tennessee Valley. J. Hydrol. Reg. Stud. 2015, 3, 125–138. [Google Scholar] [CrossRef] [Green Version]
- Zhang, A.; Zheng, C.; Wang, S.; Yao, Y. Analysis of Streamflow Variations in The Heihe River Basin, Northwest China: Trends, Abrupt Changes, Driving Factors and Ecological Influences. J. Hydrol. Reg. Stud. 2015, 3, 106–124. [Google Scholar] [CrossRef] [Green Version]
- Dabanlı, İ.; Şen, Z.; Yeleğen, M.Ö.; Şişman, E.; Selek, B.; Güçlü, Y.S. Trend Assessment by The Innovative–Şen Method. Water Resour. Manag. 2016, 30, 5193–5203. [Google Scholar] [CrossRef]
- Tabari, H.; Taye, M.T.; Onyutha, C.; Willems, P. Decadal Analysis of River Flow Extremes Using Quantile-Based Approaches. Water Resour. Manag. 2017, 31, 3371–3387. [Google Scholar] [CrossRef]
- Ceribasi, G. Analysis of Meteorological and Hydrological Data of Iznik Lake Basin by Using Innovative Sen Method. J. Environ. Prot. Ecol. 2018, 19, 15–24. [Google Scholar]
- Dabanlı, İ.; Şen, Z. Classical and Innovative-Şen Trend Assessment under Climate Change Perspective. Int. J. Glob. Warm. 2018, 15, 19–37. [Google Scholar] [CrossRef] [Green Version]
- Almazroui, M.; Şen, Z.; Mohorji, A.M.; Islam, M.N. Impacts of Climate Change on Water Engineering Structures in Arid Regions: Case Studies in Turkey and Saudi Arabia. Earth Syst. Environ. 2019, 3, 43–57. [Google Scholar] [CrossRef]
- Ceribasi, G. Analyzing Rainfall Datas’ of Eastern Black Sea Basin by Using Sen Method and Trend Methods. J. Inst. Sci. Technol. 2019, 9, 254–264. [Google Scholar] [CrossRef]
- Ceribasi, G.; Aytulun, U. Investigation of The Effect of Climate Change on Precipitation and Temperature Data of Susurluk Basin and Van Lake Closed Basin. Int. J. Glob. Warm. 2020, 22, 54–71. [Google Scholar] [CrossRef]
- Han, J.; Singh, V.P. Forecasting of Droughts and Tree Mortality under Global Warming: A Review of Causative Mechanisms and Modeling Methods. J. Water Clim. Chang. 2020, 11, 600–632. [Google Scholar] [CrossRef] [Green Version]
- Li, T.; Zhou, Z.; Fu, Q.; Liu, D.; Li, M.; Hou, R.; Li, L. Analysis of Precipitation Changes and Its Possible Reasons in Songhua River Basin of China. J. Water Clim. Chang. 2020, 11, 839–864. [Google Scholar] [CrossRef] [Green Version]
- Nikakhtar, M.; Rahmati, S.H.; Bavani, A.R.M. Impact of Climate Change on The Future Quality of Surface Waters: Case Study of The Ardak River, Northeast of Iran. J. Water Clim. Chang. 2020, 11, 685–702. [Google Scholar] [CrossRef] [Green Version]
- Ceribasi, G.; Ceyhunlu, A.I. Analysis of Total Monthly Precipitation of Susurluk Basin in Turkey Using Innovative Polygon Trend Analysis Method. J. Water Clim. Chang. 2021, 12, 1532–1543. [Google Scholar] [CrossRef]
- Achite, M.; Ceribasi, G.; Ceyhunlu, A.I.; Wałęga, A.; Caloiero, T. The Innovative Polygon Trend Analysis (IPTA) As A Simple Qualitative Method to Detect Changes in Environment–Example Detecting Trends of The Total Monthly Precipitation in Semiarid Area. Sustainability 2021, 13, 12674. [Google Scholar] [CrossRef]
- Ceribasi, G.; Ceyhunlu, A.I.; Ahmed, N. Analysis of Temperature Data by Using Innovative Polygon Trend Analysis and Trend Polygon Star Concept Methods: A Case Study for Susurluk Basin, Turkey. Acta Geophys. 2021, 69, 1949–1961. [Google Scholar] [CrossRef]
- Ahmed, N.; Wang, G.; Booij, M.J.; Ceribasi, G.; Bhat, M.D.; Ceyhunlu, A.I.; Ahmed, A. Changes in monthly streamflow in the Hindukush–Karakoram–Himalaya Region of Pakistan using innovative polygon trend analysis. Stoch. Environ. Res. Risk. Assess. 2022, 36, 811–830. [Google Scholar] [CrossRef]
- Akçay, F.; Kankal, M.; Şan, M. Innovative Approaches to The Trend Assessment of Streamflows in The Eastern Black Sea Basin, Turkey. Hydrol. Sci. J. 2022; in press. [Google Scholar]
- Hırca, T.; Eryılmaz Türkkan, G.; Niazkar, M. Applications of Innovative Polygonal Trend Analyses to Precipitation Series of Eastern Black Sea Basin, Turkey. Theor. Appl. Climatol. 2022, 147, 651–667. [Google Scholar] [CrossRef]
- Li, Y.S.; Lu, H.; Yang, K.; Wang, W.; Tang, Q.; Khem, S.; Yang, F.; Huang, Y. Meteorological and hydrological droughts in Mekong River Basin and surrounding areas under climate change. J. Hydrol. Reg. Stud. 2021, 36, 100873. [Google Scholar] [CrossRef]
- Ehteram, M.; Mousavi, S.F.; Karami, H.; Farzin, S.; Singh, V.P.; Chau, K.; El-Shafie, A. Reservoir operation based on evolutionary algorithms and multi-criteria decision-making under climate change and uncertainty. J. Hydroinform. 2018, 20, 332–355. [Google Scholar] [CrossRef]
- Jin, S.; Zheng, Z.; Ning, L. Separating variance in the runoff in Beijing’s river system under climate change and human activities. Phys. Chem. Earth 2021, 123, 103044. [Google Scholar] [CrossRef]
- Yaykiran, S.; Cuceloglu, G.; Ekdal, A. Estimation of Water Budget Components of the Sakarya River Basin by Using the WEAP-PGM Model. Water 2019, 11, 271. [Google Scholar] [CrossRef] [Green Version]
- Şen, Z. Trend Identification Simulation and Application. J. Hydrol. Eng. 2014, 19, 635–642. [Google Scholar] [CrossRef]
- Şen, Z. Innovative Trend Significance Test and Applications. Theor. Appl. Climatol. 2017, 127, 939–947. [Google Scholar] [CrossRef]
- Bougara, H.; Hamed, K.B.; Borgemeister, C.; Tischbein, B.; Kumar, N. Analyzing Trend and Variability of Rainfall in The Tafna Basin (Northwestern Algeria). Atmosphere 2020, 11, 347. [Google Scholar] [CrossRef] [Green Version]
- Ahmad, I.; Tang, D.; Wang, T.F.; Wang, M.; Wagan, B. Precipitation Trends over Time Using Mann-Kendall and Spearman’s rho Tests in Swat River Basin, Pakistan. Adv. Meteorol. 2015, 2015, 431860. [Google Scholar] [CrossRef] [Green Version]
- Chen, Y.; Guan, Y.; Shao, G.; Zhang, D. Investigating Trends in Streamflow and Precipitation in Huangfuchuan Basin with Wavelet Analysis and the Mann-Kendall Test. Water 2016, 8, 77. [Google Scholar] [CrossRef] [Green Version]
- Kamal, N.; Pachauri, S. Mann-Kendall Test—A Novel Approach for Statistical Trend Analysis. Int. J. Comput. Trends Technol. 2018, 63, 18–21. [Google Scholar] [CrossRef]
- Wang, F.; Shao, W.; Yu, H.; Kan, G.; He, X.; Zhang, D.; Ren, M.; Wang, G. Re-evaluation of the Power of the Mann-Kendall Test for Detecting Monotonic Trends in Hydrometeorological Time Series. Front. Earth Sci. 2020, 8, 14. [Google Scholar] [CrossRef]
- Młyński, D.; Wałęga, A.; Bugajski, P.; Operacz, A.; Kurek, K. Verfication of empirical formuals for calculating mean low flow in reflect to affecting on disposable water resources. Acta Sci. Pol. Form. Circumiectus 2019, 18, 83–92. [Google Scholar] [CrossRef]
- Młyński, D.; Wałęga, A.; Książek, L.; Florek, J.; Petroselli, A. Possibility of Using Selected Rainfall-Runoff Models for Determining the Design Hydrograph in Mountainous Catchments: A Case Study in Poland. Water 2020, 12, 1450. [Google Scholar] [CrossRef]
- Młyński, D.; Wałęga, A.; Kuriqi, A. Influence of meteorological drought on environmental flows in mountain catchments. Ecol. Indic. 2021, 133, 108460. [Google Scholar] [CrossRef]
- Blain, G.C. The Mann-Kendall test the need to consider the interaction between serial correlation and trend. Acta Sci. Agron. 2013, 36, 393–402. [Google Scholar]
- Yue, S.; Wang, C.Y. The Mann-Kendall test modified by effective sample size to detect trend in serially correlated hydrological series. Water Resour. Manag. 2004, 18, 201–218. [Google Scholar] [CrossRef]
- Serinaldi, F.; Kilsby, C.G.; Lombardo, F. Untenable nonstationarity: An assessment of the fitness for purpose of trend tests in hydrology. Adv. Water Resour. 2018, 111, 132–155. [Google Scholar] [CrossRef]
- Mohorji, A.M.; Şen, Z.; Almazroui, M. Trend Analyses Revision and Global Monthly Temperature Innovative Multi-Duration Analysis. Earth Syst. Environ. 2017, 1, 9. [Google Scholar] [CrossRef] [Green Version]
- Rathnayake, U. Comparison of Statistical Methods to Graphical Methods in Rainfall Trend Analysis: Case Studies from Tropical Catchments. Adv. Meteorol. 2019, 2019, 8603586. [Google Scholar] [CrossRef] [Green Version]
- Serinaldi, F.; Chebana, F.; Kilsby, C.G. Dissecting innovative trend analysis. Stoch. Environ. Res. Risk Assess. 2020, 34, 733–754. [Google Scholar] [CrossRef]
- Wałęga, A.; Młyński, D.; Bogdał, A.; Kowalik, T. Analysis of the Course and Frequency of High Water Stages in Selected Catchments of the Upper Vistula Basin in the South of Poland. Water 2016, 8, 394. [Google Scholar] [CrossRef]
- Sojka, M. Directions and Extent of Flows Changes in Warta River Basin (Poland) in the Context of the Efficiency of Run-of-River Hydropower Plants and the Perspectives for Their Future Development. Energies 2022, 15, 439. [Google Scholar] [CrossRef]
- Hamududu, B.; Killingtveit, A. Assessing climate change impacts on global hydropower. Energies 2012, 5, 305–322. [Google Scholar] [CrossRef] [Green Version]
- Dallison, R.H.J.; Patil, S.D.; Williams, A.P. Impacts of climate change on future water availability for hydropower and public water supply in Wales, UK. J. Hydrol. Reg. Stud. 2021, 36, 100866. [Google Scholar] [CrossRef]
- Gaudard, L.; Romerio, F.; Dalla Valle, F.; Gorret, R.; Maran, S.; Ravazzani, G.; Stoffel, M.; Volonterio, M. Climate change impacts on hydropower in the Swiss and Italian Alps. Sci. Total Environ. 2014, 493, 1211–1221. [Google Scholar] [CrossRef]
- Kuriqi, A.; Pinheiro, A.N.; Sordo-Ward, A.; Garrote, L. Influence of hydrologically based environmental flow methods on flow alteration and energy production in a run-of-river hydropower plant. J. Clean. Prod. 2019, 232, 1028–1042. [Google Scholar] [CrossRef]
- Operacz, A.; Wałęga, A.; Cupak, A.; Tomaszewska, B. The comparison of environmental flow assessment—The barrier for investment in Poland or river protection? J. Clean. Prod. 2018, 193, 575–592. [Google Scholar] [CrossRef]
- Młyński, D.; Operacz, A.; Wałęga, A. Sensitivity of methods for calculating environmental flows based on hydrological characteristics of watercourses regarding the hydropower potential of rivers. J. Clean. Prod. 2020, 250, 119527. [Google Scholar] [CrossRef]
- Ali, R.; Kuriqi, A.; Abubaker, S.; Kisi, O. Long-Term Trends and Seasonality Detection of the Observed Flow in Yangtze River Using Mann-Kendall and Sen’s Innovative Trend Method. Water 2019, 11, 1855. [Google Scholar] [CrossRef] [Green Version]
- Huang, X.; Suwal, N.; Fan, J.; Pandey, K.P.; Jia, Y. Hydrological Alteration Assessment by Histogram Comparison Approach: A Case Study of Erdu River Basin, China. J. Coast. Res. 2019, 93, 139–145. [Google Scholar] [CrossRef]
- Suwal, N.; Kuriqi, A.; Huang, X.; Delgado, J.; Młyński, D.; Walega, A. Environmental Flows Assessment in Nepal: The Case of Kaligandaki River. Sustainability 2020, 12, 8766. [Google Scholar] [CrossRef]
- Sahu, N.; Sayama, T.; Saini, A.; Panda, A.; Takara, K. Understanding the Hydropower and Potential Climate Change Impact on the Himalayan River Regimes—A Study of Local Perceptions and Responses from Himachal Pradesh, India. Water 2020, 12, 2739. [Google Scholar] [CrossRef]
- Mehedi Hasana, M.; Wyseure, G. Impact of climate change on hydropower generation in Rio Jubones Basin, Ecuador. Water Sci. Eng. 2018, 11, 157–166. [Google Scholar] [CrossRef]
- Qin, P.; Hongmei, X.; Min, L.; Liangmin, D.; Chan, X.; Lüliu, L.; Brian, T. Climate change impacts on Three Gorges Reservoir impoundment and hydropower generation. J. Hydrol. 2018, 580, 123922. [Google Scholar] [CrossRef]
- Savelsberg, J.; Schillinger, M.; Schlecht, I.; Weigt, H. The Impact of Climate Change on Swiss Hydropower. Sustainability 2018, 10, 2541. [Google Scholar] [CrossRef] [Green Version]
- Afram, S.B.; Kwadwo, O. Impact of climate change and variability on hydropower in Ghana. Afr. Geogr. Rev. 2019, 38, 19–31. [Google Scholar]








| Parameter | Dogancay I HEPP | Dogancay sII HEPP |
|---|---|---|
| Installed Power | 15.942 Mw | 15.663 Mw |
| Installed Power Ratio | %0.0372 | %0.0372 |
| Production Capacity | 171.63 GWh/year | 171.63 GWh/year |
| Location | Sakarya, Geyve | Sakarya, Geyve |
| License Number | EU/1188-4/856 | EU/1188-4/856 |
| Operating Company | Akfen Energy | Akfen Energy |
| Coordinates | 40.57982, 30.33603 | 40.63992, 30.34117 |
| Parameter | January | February | March | April | May | June | July | August | September | October | November | December |
|---|---|---|---|---|---|---|---|---|---|---|---|---|
| Dogancay I (Energy) | ||||||||||||
| Dogancay I (Runoff) | ||||||||||||
| Dogancay I (Efficiency) | ||||||||||||
| Dogancay II (Energy) | ||||||||||||
| Dogancay II (Runoff) | ||||||||||||
| Dogancay II (Efficiency) | ||||||||||||
| Sakarya (Precipitation) | ||||||||||||
| Sakarya (Temperature) | ||||||||||||
| Sakarya (Humidity) | ||||||||||||
| Increasing Trend | Decreasing Trend | Non-Trend | ||||||||||
| Parameter | January | February | March | April | May | June | July | August | September | October | November | December |
|---|---|---|---|---|---|---|---|---|---|---|---|---|
| Dogancay I (Energy) | ||||||||||||
| Dogancay I (Runoff) | ||||||||||||
| Dogancay I (Efficiency) | ||||||||||||
| Dogancay II (Energy) | ||||||||||||
| Dogancay II (Runoff) | ||||||||||||
| Dogancay II (Efficiency) | ||||||||||||
| Sakarya (Precipitation) | ||||||||||||
| Sakarya (Temperature) | ||||||||||||
| Sakarya (Humidity) | ||||||||||||
| Increasing Trend | Decreasing Trend | No Trend | ||||||||||
| Dogancay I HEPP—Energy | January–February | February–March | March–April | April–May | May–June | June–July | July–August | August–September | September–October | October–November | November–December | December–January | |
| Arithmetic Mean | Trend Length (Mw) | 42.390 | 32.573 | 66.150 | 76.840 | 15.126 | 35.189 | 116.742 | 109.156 | 43.058 | 18.375 | 105.289 | 132.94 |
| Trend Slope | −1.867 | 0.504 | 1.250 | 1.390 | −3.216 | −6.927 | −3.108 | 1.715 | −492.186 | −1.179 | 1.959 | 1.270 | |
| Standard Deviation | Trend Length (Mw) | 54.477 | 29.456 | 55.498 | 77.210 | 50.661 | 16.900 | 136.635 | 143.451 | 33.035 | 56.587 | 71.831 | 23.342 |
| Trend Slope | −3.197 | 6.497 | −2.676 | −0.737 | −0.806 | 4.348 | −7.475 | 8.275 | −0.101 | 0.299 | −0.246 | 2.535 | |
| Dogancay I HEPP—Runoff | January–February | February–March | March–April | April–May | May–June | June–July | July–August | August–September | September–October | October–November | November–December | December–January | |
| Arithmetic Mean | Trend Length (m3/s) | 398.85 | 306.48 | 622.41 | 722.99 | 142.32 | 331.09 | 1098.44 | 1027.06 | 405.13 | 172.89 | 990.68 | 1250.88 |
| Trend Slope | −1.87 | 0.50 | 1.25 | 1.39 | −3.22 | −6.93 | −3.11 | 1.71 | −492.19 | −1.18 | 1.96 | 1.27 | |
| Standard Deviation | Trend Length (m3/s) | 512.58 | 277.16 | 522.18 | 726.47 | 476.68 | 159.01 | 1285.61 | 1349.74 | 310.83 | 532.44 | 675.87 | 219.63 |
| Trend Slope | −3.20 | 6.50 | −2.68 | −0.74 | −0.81 | 4.35 | −7.47 | 8.27 | −0.10 | 0.30 | −0.25 | 2.53 | |
| Dogancay I HEPP—Efficiency | January–February | February–March | March–April | April–May | May–June | June–July | July–August | August–September | September–October | October–November | November–December | December–January | |
| Arithmetic Mean | Trend Length (%) | 0.270 | 0.810 | 1.462 | 0.766 | 1.477 | 3.113 | 2.871 | 2.134 | 3.767 | 2.680 | 6.106 | 1.023 |
| Trend Slope | −4.925 | 0.671 | −0.344 | −1.248 | −1.530 | 2.573 | 0.752 | 0.493 | 14.649 | −0.626 | 4.966 | 0.308 | |
| Standard Deviation | Trend Length (%) | 1.425 | 1.222 | 0.781 | 1.926 | 1.934 | 1.091 | 1.337 | 1.717 | 1.561 | 4.338 | 4.500 | 1.994 |
| Trend Slope | 0.881 | −1.442 | 0.698 | −27.968 | 61.516 | −5.155 | 1.255 | 10.070 | 0.178 | 0.393 | 0.227 | 0.339 | |
| Dogancay II HEPP—Energy | January–February | February–March | March–April | April–May | May–June | June–July | July–August | August–September | September–October | October–November | November–December | December–January | |
| Arithmetic Mean | Trend Length (Mw) | 70.321 | 34.013 | 69.878 | 104.394 | 43.845 | 44.906 | 121.479 | 111.975 | 47.160 | 20.079 | 118.192 | 136.851 |
| Trend Slope | −0.636 | 0.394 | 1.339 | 0.878 | 0.393 | 1.427 | 4.304 | 2.102 | 6.693 | −1.382 | 1.714 | 1.508 | |
| Standard Deviation | Trend Length (Mw) | 63.074 | 25.325 | 73.367 | 69.942 | 102.422 | 56.059 | 154.284 | 154.686 | 26.080 | 58.585 | 65.370 | 38.052 |
| Trend Slope | 11.309 | −6.199 | −1.009 | −1.084 | −0.358 | −0.356 | −4.008 | 25.048 | −0.181 | 0.263 | −0.234 | 0.633 | |
| Dogancay II HEPP—Runoff | January–February | February–March | March–April | April–May | May–June | June–July | July–August | August–September | September–October | October–November | November–December | December–January | |
| Arithmetic Mean | Trend Length (m3/s) | 673.441 | 325.732 | 669.197 | 999.751 | 419.889 | 430.049 | 1163.37 | 1072.35 | 451.642 | 192.292 | 1131.893 | 1310.586 |
| Trend Slope | −0.636 | 0.394 | 1.339 | 0.878 | 0.393 | 1.427 | 4.304 | 2.102 | 6.693 | −1.382 | 1.714 | 1.508 | |
| Standard Deviation | Trend Length (m3/s) | 604.045 | 242.529 | 702.617 | 669.817 | 980.864 | 536.857 | 1477.53 | 1481.38 | 249.760 | 561.048 | 626.034 | 364.414 |
| Trend Slope | 11.309 | −6.199 | −1.009 | −1.084 | −0.358 | −0.356 | −4.008 | 25.048 | −0.181 | 0.263 | −0.234 | 0.633 | |
| Dogancay II HEPP—Efficiency | January–February | February–March | March–April | April–May | May–June | June–July | July–August | August–September | September–October | October–November | November–December | December–January | |
| Arithmetic Mean | Trend Length (%) | 2.488 | 1.743 | 2.855 | 3.603 | 2.639 | 3.957 | 2.547 | 1.491 | 4.057 | 3.255 | 6.163 | 2.110 |
| Trend Slope | −0.092 | 0.305 | 0.065 | 0.641 | −0.555 | 1.529 | 0.134 | −0.420 | 11.065 | −0.619 | 6.465 | 2.316 | |
| Standard Deviation | Trend Length (%) | 3.666 | 2.889 | 2.997 | 3.586 | 2.524 | 0.813 | 1.180 | 0.392 | 1.433 | 3.963 | 3.302 | 3.269 |
| Trend Slope | 1.154 | −0.571 | −0.498 | 9.040 | −1.082 | −2.707 | 28.055 | 0.580 | 0.282 | 0.390 | 0.567 | −0.121 | |
| Sakarya Province—Precipitation | January–February | February–March | March–April | April–May | May–June | June–July | July–August | August–September | September–October | October–November | November–December | December–January | |
| Arithmetic Mean | Trend Length (mm) | 0.982 | 3.230 | 1.105 | 1.911 | 3.019 | 3.847 | 1.172 | 0.928 | 1.181 | 1.439 | 3.217 | 2.661 |
| Trend Slope | 3.525 | −0.393 | −1.172 | −1.973 | −0.178 | 0.124 | −2.289 | 0.406 | 1.071 | 0.311 | 1.168 | −1.596 | |
| Standard Deviation | Trend Length (mm) | 0.441 | 0.951 | 0.540 | 0.386 | 1.365 | 2.686 | 0.717 | 1.063 | 1.334 | 1.097 | 2.529 | 2.930 |
| Trend Slope | −0.308 | −1.943 | −0.499 | −4.776 | −0.151 | 0.222 | 0.389 | −1.876 | 0.448 | 0.089 | 0.091 | 0.023 | |
| Sakarya Province—Temperature | January–February | February–March | March–April | April–May | May–June | June–July | July–August | August–September | September–October | October–November | November–December | December–January | |
| Arithmetic Mean | Trend Length (°C) | 4.332 | 2.793 | 4.695 | 5.950 | 6.060 | 2.880 | 1.075 | 4.809 | 8.109 | 5.310 | 7.714 | 3.521 |
| Trend Slope | 0.775 | 3.789 | 0.692 | 1.029 | 1.215 | 0.972 | 0.334 | 1.122 | 0.847 | 1.165 | 0.429 | −3.996 | |
| Standard Deviation | Trend Length (°C) | 2.894 | 1.225 | 1.601 | 2.650 | 1.419 | 1.435 | 0.684 | 1.778 | 1.531 | 1.535 | 1.905 | 1.975 |
| Trend Slope | −0.836 | −1.038 | 0.436 | 0.344 | −0.817 | 0.210 | −2.117 | −0.115 | −0.984 | −0.665 | 6.670 | 0.067 | |
| Sakarya Province—Humidity | January–February | February–March | March–April | April–May | May–June | June–July | July–August | August–September | September–October | October–November | November–December | December–January | |
| Arithmetic Mean | Trend Length (%) | 2.430 | 1.594 | 8.354 | 9.975 | 4.384 | 1.697 | 2.943 | 0.439 | 8.122 | 6.747 | 7.258 | 7.153 |
| Trend Slope | 10.680 | −0.060 | 0.625 | 1.211 | −1.522 | 0.781 | 0.738 | −1.463 | 0.281 | −0.251 | −3.094 | −1.173 | |
| Standard Deviation | Trend Length (%) | 8.809 | 9.583 | 3.067 | 2.314 | 5.376 | 5.670 | 2.878 | 1.258 | 0.458 | 1.415 | 4.027 | 5.266 |
| Trend Slope | 11.273 | −2.987 | −0.101 | −1.157 | −0.119 | 0.071 | 1.111 | −27.186 | 0.151 | −1.067 | 29.103 | 1.883 | |
Publisher’s Note: MDPI stays neutral with regard to jurisdictional claims in published maps and institutional affiliations. |
© 2022 by the authors. Licensee MDPI, Basel, Switzerland. This article is an open access article distributed under the terms and conditions of the Creative Commons Attribution (CC BY) license (https://creativecommons.org/licenses/by/4.0/).
Share and Cite
Ceribasi, G.; Ceyhunlu, A.I.; Wałęga, A.; Młyński, D. Investigation of the Effect of Climate Change on Energy Produced by Hydroelectric Power Plants (HEPPs) by Trend Analysis Method: A Case Study for Dogancay I–II HEPPs. Energies 2022, 15, 2474. https://doi.org/10.3390/en15072474
Ceribasi G, Ceyhunlu AI, Wałęga A, Młyński D. Investigation of the Effect of Climate Change on Energy Produced by Hydroelectric Power Plants (HEPPs) by Trend Analysis Method: A Case Study for Dogancay I–II HEPPs. Energies. 2022; 15(7):2474. https://doi.org/10.3390/en15072474
Chicago/Turabian StyleCeribasi, Gokmen, Ahmet Iyad Ceyhunlu, Andrzej Wałęga, and Dariusz Młyński. 2022. "Investigation of the Effect of Climate Change on Energy Produced by Hydroelectric Power Plants (HEPPs) by Trend Analysis Method: A Case Study for Dogancay I–II HEPPs" Energies 15, no. 7: 2474. https://doi.org/10.3390/en15072474
APA StyleCeribasi, G., Ceyhunlu, A. I., Wałęga, A., & Młyński, D. (2022). Investigation of the Effect of Climate Change on Energy Produced by Hydroelectric Power Plants (HEPPs) by Trend Analysis Method: A Case Study for Dogancay I–II HEPPs. Energies, 15(7), 2474. https://doi.org/10.3390/en15072474

