An Optimized Time Sequence for Sensorless Control of IPMSM Drives via High-Frequency Square-Wave Signal Injection Scheme
Abstract
:1. Introduction
- (1)
- (2)
- (3)
- (1)
- To avoid the utilization of LPFs in signal processing, the filterless signal processing method is proposed, which can enhance the system bandwidth.
- (2)
- The digital time delay in sensorless control is discussed, and an optimized time sequence is proposed, which can eliminate the additional position estimation error caused by the digital time delay.
2. Filterless HF SWVI Scheme for IPMSM Drive
2.1. Mechanism of HF SWVI Scheme
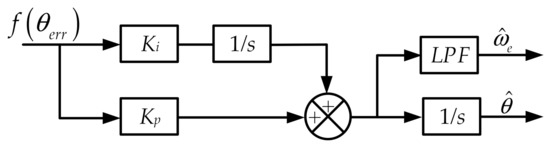
2.2. Proposed Filterless Signal Processing Method
3. Analysis and Compensation of Position Estimation Error
3.1. Analysis of Digital Time Delay Effect
3.2. Compensation Strategy for Digital Time-Delay
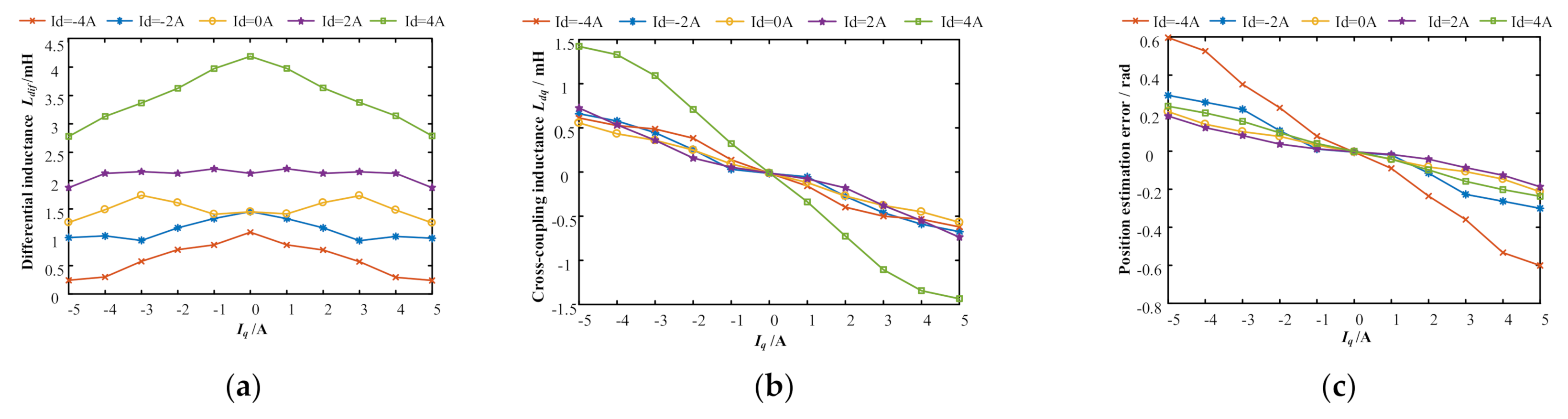
3.3. Compensation for Cross-Coupling Magnetic Saturation
4. Simulation and Experimental Validation
4.1. Simulation Results
4.2. Experimental Results
5. Conclusions
Author Contributions
Funding
Data Availability Statement
Conflicts of Interest
References
- Xiong, C.; Xu, H.; Guan, T.; Zhou, P. A Constant Switching Frequency Multiple-vector-based Model Predictive Current Control of Five-phase PMSM with Nonsinusoidal Back EMF. IEEE Trans. Ind. Electron. 2020, 67, 1695–1707. [Google Scholar] [CrossRef]
- Choi, J. Regression Model-Based Flux Observer for IPMSM Sensorless Control with Wide Speed Range. Energies 2021, 14, 6269. [Google Scholar] [CrossRef]
- Wang, S.; Zhao, J.; Yang, K. High Frequency Square-Wave Voltage Injection Scheme-Based Position Sensorless Control of IPMSM in the Low- and Zero- Speed Range. Energies 2019, 12, 4776. [Google Scholar] [CrossRef] [Green Version]
- Zhang, L.; Fan, Y.; Cheng, M. Design and Comparison of Three-phase and Five-phase FTFSCW-IPM Motor Open-end Winding Drive Systems for Electric Vehicles Applications. IEEE Trans. Veh. Technol. 2018, 67, 385–396. [Google Scholar] [CrossRef]
- Lu, K.; Lei, X.; Blaabjerg, F. Artificial Inductance Concept to Compensate Nonlinear Inductance Effects in the Back EMF-Based Sensorless Control Method for PMSM. IEEE Trans. Energy Convers. 2013, 28, 593–600. [Google Scholar] [CrossRef]
- Yu, K.; Fan, Y.; Chen, J.; Wang, Y. Fault-Tolerant Sensorless Control of Position Sensor Failure for Permanent Magnet Vernier Machine. In Proceedings of the 23rd International Conference on Electrical Machines and Systems (ICEMS), Hamamatsu, Japan, 24–27 November 2020; pp. 1251–1256. [Google Scholar]
- Hinkkanen, M.; Leppanen, V.M.; Luomi, J. Flux Observer Enhanced with Low-frequency Signal Injection Allowing Sensorless Zero-frequency Operation of Induction Motors. IEEE Trans. Ind. Appl. 2005, 41, 52–59. [Google Scholar] [CrossRef] [Green Version]
- Basic, D.; Malrait, F.; Rouchon, P. Current Controller for Low-Frequency Signal Injection and Rotor Flux Position Tracking at Low speeds. IEEE Trans. Ind. Electron. 2011, 58, 4010–4022. [Google Scholar] [CrossRef] [Green Version]
- Wang, G.; Xiao, D.; Zhao, N.; Zhang, X.; Wang, W.; Xu, D. Low-Frequency Pulse Voltage Injection Scheme-Based Sensorless Control of IPMSM Drives for Audible Noise Reduction. IEEE Trans. Ind. Electron. 2017, 64, 8415–8426. [Google Scholar] [CrossRef]
- Corley, M.J.; Lorenz, R.D. Rotor Position and Velocity Estimation for A Salient-pole Permanent Magnet Synchronous Machine at Standstill and High Speeds. IEEE Trans. Ind. Appl. 1998, 34, 784–789. [Google Scholar] [CrossRef]
- Kim, S.; Im, J.; Kim, R.A. New Rotor Position Estimation Method of IPMSM using All-Pass-Filter on High Frequency Rotating Voltage Signal Injection. IEEE Trans. Ind. Electron. 2016, 63, 6499–6509. [Google Scholar] [CrossRef]
- Al-nabi, E.; Wu, B.; Zargari, N.R.; Sood, V. Sensorless Control of CSC-Fed IPM Machine for Zero- and Low-Speed Operations Using Pulsating HFI Method. IEEE Trans. Ind. Electron. 2013, 60, 1711–1723. [Google Scholar] [CrossRef]
- Ha, J.I.; Ide, K.; Sawa, T.; Sul, S.K. Sensorless Rotor Position Estimation of An Interior Permanent-magnet Motor from Initial States. IEEE Trans. Ind. Appl. 2003, 39, 761–767. [Google Scholar]
- Wu, C.; Zhao, Y.; Sun, M. Enhancing Low-Speed Sensorless Control of PMSM Using Phase Voltage Measurements and Online Multiple Parameter Identification. IEEE Trans. Power Electron. 2020, 35, 10700–10710. [Google Scholar] [CrossRef]
- Yoon, Y.; Sul, S.; Ide, K. High-Bandwidth Sensorless Algorithm for AC Machines Based on Square-Wave-Type Voltage Injection. IEEE Trans. Ind. Appl. 2009, 47, 1361–1370. [Google Scholar] [CrossRef]
- Hwang, C.; Lee, Y.; Sul, S. Analysis on Position Estimation Error in Position-Sensorless Operation of IPMSM Using Pulsating Square Wave Signal Injection. IEEE Trans. Ind. Appl. 2019, 55, 458–470. [Google Scholar] [CrossRef]
- Kim, S.; Ha, J.; Sul, S. PWM Switching Frequency Signal Injection Sensorless Method in IPMSM. IEEE Trans. Ind. Appl. 2012, 48, 1576–1587. [Google Scholar] [CrossRef]
- Ni, R.; Xu, D.; Zhang, G. Square-Wave Voltage Injection Algorithm for PMSM Position Sensorless Control with High Robustness to Voltage Errors. IEEE Trans. Power Electron. 2017, 32, 5425–5437. [Google Scholar] [CrossRef]
- Zhang, G.; Wang, G.; Xu, D. Saliency-based Position Sensorless Control Methods for PMSM Drives-A review. Chin. J. Electr. Eng. 2017, 3, 14–23. [Google Scholar]
- Jang, J.H.; Sul, S.; Sawamura, M. Sensorless Drive of Surface-mounted Permanent-magnet Motor by High-frequency Signal Injection Based on Magnetic Saliency. IEEE Trans. Ind. Appl. 2003, 39, 1031–1039. [Google Scholar] [CrossRef]
- Li, H.; Zhang, X.; Yang, S.; Liu, S. Unified Graphical Model of High-Frequency Signal Injection Methods for PMSM Sensorless Control. IEEE Trans. Ind. Electron. 2020, 67, 4411–4421. [Google Scholar] [CrossRef]
- Wang, Q.; Zhao, N.; Wang, G.; Zhao, S.; Chen, Z.; Zhang, G.; Xu, D. An Offline Parameter Self-Learning Method Considering Inverter Nonlinearity with Zero-Axis Voltage. IEEE Trans. Power Electron. 2021, 36, 14098–14109. [Google Scholar] [CrossRef]
- Wang, G.; Yang, L.; Xu, D. Pseudo-Random High-Frequency Square-Wave Voltage Injection Based Sensorless Control of IPMSM Drives for Audible Noise Reduction. IEEE Trans. Ind. Electron. 2016, 63, 7423–7433. [Google Scholar] [CrossRef]
- Wu, T.; Luo, D.; Wu, X.; Liu, K.; Huang, S.; Peng, X. Square-wave Voltage Injection Based PMSM Sensorless Control Considering Time Delay at Low Switching Frequency. IEEE Trans. Ind. Electron 2022, 69, 5525–5535. [Google Scholar] [CrossRef]
- Li, Y.; Zhu, Z.Q.; Howe, D.; Stone, D.A. Improved Rotor-Position Estimation by Signal Injection in Brushless AC Motors, Accounting for Cross-Coupling Magnetic Saturation. IEEE Trans. Ind. Appl. 2009, 45, 1843–1850. [Google Scholar] [CrossRef] [Green Version]
- Garcia, P.; Briz, F.; Lorenz, R.D. Saliency-Tracking-Based Sensorless Control of AC Machines Using Structured Neural Networks. IEEE Trans. Ind. Appl. 2007, 43, 77–86. [Google Scholar] [CrossRef]
- Zhu, Z.Q.; Li, Y.; Bingham, M. Compensation for Rotor Position Estimation Error due to Cross-Coupling Magnetic Saturation in Signal Injection Based Sensorless Control of PM Brushless AC Motors. In Proceedings of the International Electric Machines & Drives Conference (IEMDC), Antalya, Turkey, 3–5 May 2007; pp. 208–213. [Google Scholar]
- Lee, Y.; Kwon, Y.; Morimoto, S. Compensation of Position Estimation Error for Precise Position-sensorless Control of IPMSM Based on High-frequency Pulsating Voltage Injection. In Proceedings of the 2017 IEEE Energy Conversion Congress and Exposition (ECCE), Cincinnati, OH, USA, 1–5 October 2017; pp. 859–864. [Google Scholar]
- Guerrero, J.M.; Leetmaa, M.; Lorenz, R.D. Inverter Nonlinearity Effects in High-frequency Signal-injection-based Sensorless Control Methods. IEEE Trans. Ind. Appl. 2005, 41, 618–626. [Google Scholar] [CrossRef]
- Zhang, X.; Zhang, C.; Qiao, M.; Yu, F. Analysis and Experiment of Multi-phase Induction Motor Drives for Electrical Propulsion. In Proceedings of the 2008 International Conference on Electrical Machines and Systems, Wuhan, China, 17–20 October 2008; pp. 1251–1254. [Google Scholar]
- Kim, S.H.; Park, N.C. Simple sensorless algorithm for interior permanent magnet synchronous motors based on high-frequency voltage injection method. IET Electric Power Appl. 2014, 8, 68–75. [Google Scholar]
- Zhang, G.; Wang, G.; Xiao, D. Filterless Square-Wave Injection Based Initial Position Detection for Permanent Magnet Synchronous Machines. Trans. CES 2017, 32, 162–168. [Google Scholar]
- Bae, B.H.; Sul, S. A Compensation Method for Time Delay of Full-digital Synchronous Frame Current Regulator of PWM AC drives. IEEE Trans. Ind. Appl. 2003, 39, 802–810. [Google Scholar] [CrossRef]

















| Parameters | Unit | Value |
|---|---|---|
| Rated power P | W | 2000 |
| Rated speed nr | r/min | 1500 |
| Number of phases | / | 5 |
| Number of rotor pole-pair | / | 9 |
| Stator resistance Rs | Ω | 0.5 |
| d-axis inductance Ld | mH | 11.8 |
| q-axis inductance Lq | mH | 13.7 |
| Moment of inertia J | Kg·m2 | 0.005 |
| Rated load TL | N.m | 11 |
Publisher’s Note: MDPI stays neutral with regard to jurisdictional claims in published maps and institutional affiliations. |
© 2022 by the authors. Licensee MDPI, Basel, Switzerland. This article is an open access article distributed under the terms and conditions of the Creative Commons Attribution (CC BY) license (https://creativecommons.org/licenses/by/4.0/).
Share and Cite
Yu, K.; Wang, Z.; Li, L. An Optimized Time Sequence for Sensorless Control of IPMSM Drives via High-Frequency Square-Wave Signal Injection Scheme. Energies 2022, 15, 2246. https://doi.org/10.3390/en15062246
Yu K, Wang Z, Li L. An Optimized Time Sequence for Sensorless Control of IPMSM Drives via High-Frequency Square-Wave Signal Injection Scheme. Energies. 2022; 15(6):2246. https://doi.org/10.3390/en15062246
Chicago/Turabian StyleYu, Ke, Zuo Wang, and Ling Li. 2022. "An Optimized Time Sequence for Sensorless Control of IPMSM Drives via High-Frequency Square-Wave Signal Injection Scheme" Energies 15, no. 6: 2246. https://doi.org/10.3390/en15062246
APA StyleYu, K., Wang, Z., & Li, L. (2022). An Optimized Time Sequence for Sensorless Control of IPMSM Drives via High-Frequency Square-Wave Signal Injection Scheme. Energies, 15(6), 2246. https://doi.org/10.3390/en15062246
