Methane Storage Capacity of Permian Shales with Type III Kerogen in the Lower Yangtze Area, Eastern China
Abstract
:1. Introduction
2. Geological Setting
3. Samples and Methods
3.1. Samples
3.2. FE-SEM Observations
3.3. High-Pressure Methane Adsorption Experiments
3.4. Adsorption Parameters of Shale
3.4.1. Calculation of Adsorption Gas
3.4.2. Calculation of Adsorbed Gas, Free Gas, and Total Gas
3.5. Thermodynamics of Methane Adsorption
4. Results and Discussion
4.1. Isothermal Adsorption Curve
4.2. Influence of TOC Content on Adsorption Characteristics
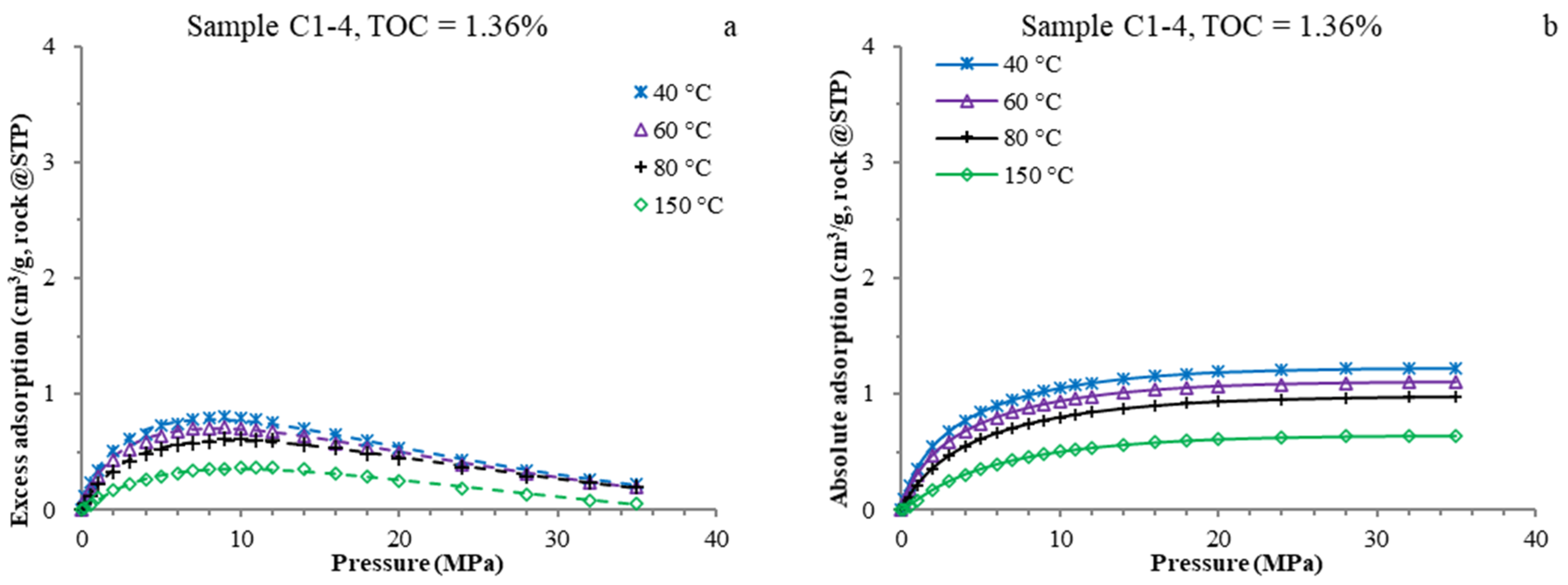
4.3. Influence of Temperature on Adsorption Characteristics
4.4. Adsorption Thermodynamics
4.5. Methane Storage Capacity of the Permian Shales
4.6. Geological Significance
5. Conclusions
- (1)
- The maximum adsorption and adsorbed phase density of the Permian shales are mainly constrained by TOC content and temperature, which are positively related to TOC but adversely related to temperature. The micropores are the most important carriers for providing sites for methane adsorption.
- (2)
- The methane adsorption capacity of Permian shales is significantly lower than that of the marine shales, which is mainly due to undeveloped organic pores. The type of organic matter is also another key factor affecting the MSC of shale.
- (3)
- The evaluation index of marine shales may not be suitable for the marine–terrestrial transitional shales. The Permian shales with development potential in the Lower Yangtze area should have a higher TOC content (e.g., >5%) and porosity (e.g., >3%). The overpressure stable reservoirs with rich-organic shale and deep burial depth are preferred to be selected for the next exploration.
Author Contributions
Funding
Institutional Review Board Statement
Informed Consent Statement
Data Availability Statement
Acknowledgments
Conflicts of Interest
References
- Pang, F.; Zhang, Z.; Zhang, J.; Chen, K.; Shi, D.; Bao, S.; Li, S.; Guo, T. Progress and prospect on exploration and development of shale gas in the Yangtze River Economic Belt. Earth Sci. 2020, 45, 2152–2159. [Google Scholar]
- Zou, X.; Li, X.; Zhang, L.; Li, H.; Guo, M.; Zhao, P. Characteristics of Pore Structure and Gas Content of the Lower Paleozoic Shale from the Upper Yangtze Plate, South China. Energies 2021, 14, 7603. [Google Scholar] [CrossRef]
- Gai, H.; Li, T.; Wang, X.; Tian, H.; Xiao, X.; Zhou, Q. Methane adsorption characteristics of overmature Lower Cambrian shales of deepwater shelf facies in Southwest China. Mar. Pet. Geol. 2020, 120, 104565. [Google Scholar] [CrossRef]
- Zou, C.; Zhu, R.; Chen, Z.; Ogg, J.; Wu, S.; Dong, D.; Qiu, Z.; Wang, Y.; Wang, L.; Lin, S. Organic-matter-rich shales of China. Earth-Sci. Rev. 2019, 189, 51–78. [Google Scholar] [CrossRef]
- Zhang, J.; Li, X.; Zhang, X.; Zhang, M.; Cong, G.; Zhang, G.; Wang, F. Geochemical and geological characterization of marine–continental transitional shales from Longtan Formation in Yangtze area, South China. Mar. Pet. Geol. 2018, 96, 1–15. [Google Scholar] [CrossRef]
- Zhang, T.; Zhang, Y.; Jia, M.; Shao, D.; Yan, J. Key scientific issues on controlling the variation of gas contents of Cambrian marine shales in Southern China. Bull. Min. Petrol. Geol. 2018, 37, 572–579. [Google Scholar]
- Tian, H.; Li, T.; Zhang, T.; Xiao, X. Characterization of methane adsorption on overmature Lower Silurian-Upper Ordovician shales in Sichuan Basin, southwest China: Experimental results and geological implications. Int. J. Coal Geol. 2016, 156, 36–49. [Google Scholar] [CrossRef]
- Pan, L.; Xiao, X.; Tian, H.; Zhou, Q.; Cheng, P. Geological models of gas in place of the Longmaxi shale in Southeast Chongqing, South China. Mar. Pet. Geol. 2016, 73, 433–444. [Google Scholar] [CrossRef]
- Mahmud, H.B.; Ermila, M.; Bennour, Z.; Mahmud, W.M. A review of fracturing technologies utilized in shale gas resources. In Shale Gas Production-Lessons Learned; IntechOpen: London, UK, 2020; pp. 1–24. Available online: https://www.intechopen.com/online-first/72128 (accessed on 16 May 2020).
- Wang, S.; Gao, W.; Guo, T.; Bao, S.; Jin, J.; Xu, Q. The discovery of shale gas, coalbed gas and tight sandstone gas in Permian Longtan Formation, northern Guizhou Province. Geol. China 2020, 47, 249–250. [Google Scholar]
- Shi, G.; Li, J.; Liao, S.; Wu, T.; Huang, N.; Fang, C. Discovery of Permian shale gas in the well Wanyoudi No. 1, Xuancheng, Anhui Province. Geol. China 2020, 48, 669–670. [Google Scholar]
- Chen, Z.; Wang, Z.; Li, S. Geological condition analysis of shale gas and coalbed methane of Leping Formation in Well Quye1 of Pingle Depression. Pet. Geo. Rec. Eff. 2019, 26, 50–55. [Google Scholar]
- Zhao, W.; Li, J.; Yang, T.; Wang, S.; Huang, J. Geological difference and its significance of marine shale gases in South China. Pet. Explor. Dev. 2016, 43, 547–559. [Google Scholar] [CrossRef]
- Li, T.; Tian, H.; Xiao, X.; Cheng, P.; Zhou, Q.; Wei, Q. Geochemical characterization and methane adsorption capacity of overmature organic-rich Lower Cambrian shales in northeast Guizhou region, southwest China. Mar. Pet. Geol. 2017, 86, 858–873. [Google Scholar] [CrossRef]
- Tian, H.; Pan, L.; Zhang, T.; Xiao, X.; Meng, Z.; Huang, B. Pore characterization of organic-rich Lower Cambrian shales in Qiannan Depression of Guizhou Province, Southwestern China. Mar. Pet. Geol. 2015, 62, 28–43. [Google Scholar] [CrossRef]
- Tian, H.; Pan, L.; Xiao, X.; Wilkins, R.W.T.; Meng, Z.; Huang, B. A preliminary study on the pore characterization of Lower Silurian black shales in the Chuandong Thrust Fold Belt, southwestern China using low pressure N2 adsorption and FE-SEM methods. Mar. Pet. Geol. 2013, 48, 8–19. [Google Scholar] [CrossRef]
- Pan, L.; Xiao, X.; Tian, H.; Zhou, Q.; Chen, J.; Li, T.; Wei, Q. A preliminary study on the characterization and controlling factors of porosity and pore structure of the Permian shales in Lower Yangtze region, Eastern China. Int. J. Coal Geol. 2015, 146, 68–78. [Google Scholar] [CrossRef]
- Zhao, P.; Gao, B.; Guo, Z.; Wei, Z. Exploration potential of marine-continental transitional and deep-water shelf shale gas in Upper Permian, Sichuan Basin. Petrol. Geol. Exp. 2020, 42, 335–344. [Google Scholar]
- Gai, H.; Tian, H.; Xiao, X. Late gas generation potential for different types of shale source rocks: Implications from pyrolysis experiments. Int. J. Coal Geol. 2018, 193, 16–29. [Google Scholar] [CrossRef]
- Mahlstedt, N.; Horsfield, B. Metagenetic methane generation in gas shales I. Screening protocols using immature samples. Mar. Pet. Geol. 2012, 31, 27–42. [Google Scholar] [CrossRef]
- Dai, H.; Shen, B.; Li, K.; Zhang, X.; Xu, X.; Xu, Z.; Zhou, J. Characteristics and hydrocarbon-generating process of the organic-rich shale of Permian Dalong Formation in North Sichuan: Pyrolysis experiments with geological constrain. J. Nanjing Univ. (Nat. Sci.) 2020, 56, 382–392. [Google Scholar]
- Chen, J.; Xiao, X. Evolution of nanoporosity in organic-rich shales during thermal maturation. Fuel 2014, 129, 173–181. [Google Scholar] [CrossRef]
- Liang, D.; Guo, T.; Chen, J.; Bian, L.; Zhao, Z. Some progresses on studies of hydrocarbon generation and accumulation in marine sedimentary regions, Southern China (Part 1): Distribution of four suits of regional marine source rocks. Mar. Orig. Pet. Geol. 2008, 13, 1–16. [Google Scholar]
- Li, Q.; Xu, S.; Chen, K.; Song, T.; Meng, F.; He, S.; Lu, Y.; Shi, W.; Gou, Q.; Wang, Y. Analysis of shale gas accumulation conditions of Upper Permian in the Lower Yangtze Region. Geol. China 2020. Available online: https://kns.cnki.net/kcms/dtail/11.1167.-p.20200429.1018.004.html (accessed on 16 April 2020).
- Huang, B.; Hao, H.; Jin, Q.; Zhou, G.; Zhao, X. Characterization of pores and methane sorption capacity of Permian shales in Southeast Anhui, Lower Yangtze region. Nat. Gas Geosci. 2015, 26, 1516–1524. [Google Scholar]
- Chen, P.; Zhang, M.; Xu, Y.; Liu, J.; Du, X.; Hu, X.; Lu, Y. The shale reservoir characteristic of Dalong Formation Upper Permian in Chaohu-Jingxian, Lower Yangtze area. Acta Pet. Sin. 2013, 29, 2925–2935. [Google Scholar]
- Ambrose, R.J.; Hartman, R.C.; Diaz-Campos, M.; Akkutlu, I.Y.; Songdergeld, C.H. Shale gas-in-place calculations part I: New pore-scale considerations. SPE J. 2012, 17, 219–229. [Google Scholar] [CrossRef]
- Curtis, J.B. Fractured shale-gas systems. AAPG Bull. 2002, 86, 1921–1938. [Google Scholar]
- Zhang, B.; Shan, B.; Zhao, Y.; Zhang, L. Review of formation and gas characteristics in shale gas reservoirs. Energies 2020, 13, 5427. [Google Scholar] [CrossRef]
- Rexer, T.F.; Mathia, E.J.; Aplin, A.C.; Thomas, K.M. High-pressure methane adsorption and characterization of pores in Posidonia shales and isolated kerogens. Energy Fuels 2014, 28, 2886–2901. [Google Scholar] [CrossRef] [Green Version]
- Rexer, T.F.T.; Benham, M.J.; Aplin, A.C.; Thomas, K.M. Methane adsorption on shale under simulated geological temperature and pressure conditions. Energy Fuels 2013, 27, 3099–3106. [Google Scholar] [CrossRef] [Green Version]
- Ross, D.J.K.; Bustin, R.M. The importance of shale composition and pore structure upon gas storage potential of shale gas reservoirs. Mar. Pet. Geol. 2009, 26, 916–927. [Google Scholar] [CrossRef]
- Gong, L.; Zhang, Y.; Li, N.; Gu, Z.; Ding, B.; Zhu, C. Molecular Investigation on the Displacement Characteristics of CH4 by CO2, N2 and Their Mixture in a Composite Shale Model. Energies 2021, 14, 2. [Google Scholar] [CrossRef]
- Song, R.; Wang, Y.; Sun, S.; Liu, J. Characterization and microfabrication of natural porous rocks: From micro-CT imaging and digital rock modelling to micro-3D-printed rock analogs. J. Pet. Sci. Eng. 2021, 205, 108827. [Google Scholar] [CrossRef]
- Middleton, R.; Viswanathan, H.; Currier, R.; Gupta, R. CO2 as a fracturing fluid: Potential for commercial-scale shale gas production and CO2 sequestration. Energy Procedia 2014, 63, 7780–7784. [Google Scholar] [CrossRef] [Green Version]
- Feng, Z.; He, Y.; Wu, S. Listhofacies paleogeography of Permian Middle and Lower Yangtze region. Acta Sedimentol. Sin. 1993, 11, 13–24. [Google Scholar]
- Zhu, G.; Xu, J.; Liu, G.; Li, S.; Yu, P. Tectonic pattern and dynamic mechanism of the foreland deformation in the Lower Yangtze region. Reg. Geol. China 1999, 18, 73–79. [Google Scholar]
- Yuan, Y.; Guo, T.; Fu, X.; Lu, Q.; Hu, S. Thermal history and secondary hydrocarbon generation intensity of marine source rocks in Lower Yangtze Area. Geoscience 2006, 20, 283–290. [Google Scholar]
- Zhang, H.; Zhou, L.; Li, J. Hydrocarbon exploration potential analysis of the Lower Marine Formation assemblage in the Lower Yangtze Region. Pet. Geol. Exp. 2006, 28, 15–20. [Google Scholar]
- Yu, K.; Guo, N. Evaluation on the geology conditions of the Lower Paleozoic hydrocarbon in Lower Yangtze area. Pet. Geol. Exp. 2001, 23, 41–46. [Google Scholar]
- Loucks, R.G.; Reed, R.M.; Ruppel, S.C.; Jarcie, D.M. Morphology, genesis, and distribution of nanometer-scale pores in siliceous mudstones of the Mississippian Barnett Shale. J. Sediment. Res. 2009, 79, 848–861. [Google Scholar] [CrossRef] [Green Version]
- Gasparik, M.; Rexer, T.F.T.; Aplin, A.C.; Billemont, P.; Weireld, G.D.; Gensterblum, Y.; Henry, M.; Krooss, B.M.; Liu, S.B.; Ma, X.Z.; et al. First international inter-laboratory comparison of high-pressure CH4, CO2 and C2H6 sorption isotherms on carbonaceous shales. Int. J. Coal Geol. 2014, 132, 131–146. [Google Scholar] [CrossRef] [Green Version]
- Ottiger, S.; Pini, R.; Storti, G.; Mazzotti, M. Competitive adsorption equilibria of CO2 and CH4 on a dry coal. Adsorption 2008, 14, 539–556. [Google Scholar] [CrossRef]
- Pini, R.; Ottiger, S.; Burlini, L.; Storti, G.; Mazzotti, M. Sorption of carbon dioxide, methane and nitrogen in dry coals at high pressure and moderate temperature. Int. J. Greenh. Gas Control 2010, 4, 90–101. [Google Scholar] [CrossRef]
- Bae, J.S.; Bhatia, S.K. High-pressure adsorption of methane and carbon dioxide on coal. Energy Fuels 2006, 20, 2599–2607. [Google Scholar] [CrossRef]
- Murata, K.; El-Merraoui, M.; Kaneko, K. A new determination method of absolute adsorption isotherm of supercritical gases under high pressure with a special relevance to density-functional theory study. J. Chem. Phys. 2001, 114, 4196–4205. [Google Scholar] [CrossRef]
- Langmuir, I. The adsorption of gases on plane surfaces of glass, mica and platinum. J. Am. Chem. Soc. 1918, 40, 1361–1403. [Google Scholar] [CrossRef] [Green Version]
- Sakurovs, R.; Day, S.; Weir, S.; Duffy, G. Application of a modified Dubinin- Radushkevich equation to adsorption of gases by coals under supercritical conditions. Energy Fuels 2007, 21, 992–997. [Google Scholar] [CrossRef]
- Gensterblum, Y.; Merkel, A.; Busch, A.; Krooss, B.M. High-pressure CH4 and CO2 sorption isotherms as a function of coal maturity and the influence of moisture. Int. J. Coal Geol. 2013, 118, 45–57. [Google Scholar] [CrossRef]
- Gensterblum, Y.; Merkel, A.; Busch, A.; Krooss, B.M.; Littke, R. Gas saturation and CO2 enhancement potential of coalbed methane reservoirs as a function of depth. AAPG Bull. 2014, 98, 395–420. [Google Scholar] [CrossRef]
- White, C.M.; Smith, D.H.; Jones, K.L.; Goodman, A.L.; Jikich, S.A.; LaCount, R.B.; DuBose, S.B.; Ozdermir, E.; Morsi, B.I.; Schroeder, K.T. Sequestration of carbon dioxide in coal with enhanced coalbed methane reservoirs—A review. Energy Fuels 2005, 19, 659–724. [Google Scholar] [CrossRef]
- Myers, A.L.; Monson, P.A. Adsorption in porous materials at high pressure: Theory and experiment. Langmuir 2002, 18, 10261–10273. [Google Scholar] [CrossRef]
- Zhang, T.; Ellis, G.S.; Ruppel, S.C.; Milliken, K.; Yang, R. Effect of organicmatter type and thermal maturity on methane adsorption in shale-gas systems. Org. Geochem. 2012, 47, 120–131. [Google Scholar] [CrossRef]
- Rouquerol, J.; Avnir, D.; Fairbridge, C.W.; Everett, D.H.; Haynes, J.H.; Pernicone, N.; Ramsay, J.D.F.; Sing, K.S.W.; Unger, K.K. Physical chemistry Division Commission on Colloid and Surface Chemistry, Subcommittee on Characterization of Porous Solids: Recommendations for the characterization of porous solids. Pure Appl. Chem. 1994, 66, 1739–1758. [Google Scholar] [CrossRef]
- Sui, H.; Yao, J. Molecular simulation of CO2/CH4 competitive adsorption in kerogen. J. China Univ. Pet. 2016, 40, 147–154. [Google Scholar]
- Sircar, S. Estimation of isosteric heats of adsorption of single gas and multicomponent gas mixtures. Ind. Eng. Chem. Res. 1992, 31, 1813–1819. [Google Scholar] [CrossRef]
- Ji, L.; Zhang, T.; Milliken, K.L.; Qu, J.; Zhang, X. Experimental investigation of main controls to methane adsorption in clay-rich rocks. Appl. Geochem. 2012, 27, 2533–2545. [Google Scholar] [CrossRef]
- Ziemiański, P.P.; Derkowski, A.; Szczurowski, J.; Kozieł, M. The structural versus textural control on the methane sorption capacity of clay minerals. Int. J. Coal Geol. 2020, 224, 103483. [Google Scholar] [CrossRef]
- Chalmers, G.R.L.; Bustin, R.M.; Ian, P.M. Characterization of gas shale pore systems by porosimetry, pycnometry, surface area, and field emission scanning electron microscopy/transmission electron microscopy image analyses: Examples from the Barnett, Woodford, Haynesville, Marcellus, and Doig units. AAPG Bull. 2012, 96, 1099–1119. [Google Scholar]
- Sing, K.S.W.; Everett, D.H.; Haul, R.A.W.; Moscou, L.; Pierotti, R.A.; Rouquerol, J.; Siemieniewska, T. Reporting physisorption data for gas/sold systems with special reference to the determination of surface area and porosity. Pure Appl. Chem. 1985, 57, 603–619. [Google Scholar] [CrossRef]
- Mosher, K.; He, J.; Liu, Y.; Rupp, E.; Wilcox, J. Molecular simulation of methane adsorption in micro- and mesoporous carbons with applications to coal and gas shale systems. Int. J. Coal Geol. 2013, 109–110, 36–44. [Google Scholar] [CrossRef]
- Zhou, S.; Wang, H.; Xue, H.; Guo, W.; Li, X. Supercritical methane adsorption on shale gas: Mechanism and model. China Sci. Bull. 2017, 62, 4189–4200. [Google Scholar] [CrossRef]
- Gasparik, M.; Betier, P.; Gensterblum, Y.; Ghanizadeh, A.; Krooss, B.M.; Littke, R. Geological controls on the methane storage capacity in organic-rich shales. Int. J. Coal Geol. 2014, 123, 34–51. [Google Scholar] [CrossRef]
- Wang, L.; Li, C.; Shi, Y.; Wang, Y. Distributions of geotemperature and terrestrial heat flow density in Lower Yangtze area. Acta Geogr. Sin. 1995, 38, 469–476. [Google Scholar]
- Hu, D.; Zhang, H.; Ni, K.; Yu, G. Main controlling factors for gas preservation conditions of marine shales in southeastern margins of the Sichuan Basin. Nat. Gas Ind. 2014, 34, 17–23. [Google Scholar]
- Liu, H.; Wang, H. Ultra-low water saturation characteristics and the identification of over-pressured play fairways of marine shales in south China. Nat. Gas Ind. 2013, 33, 140–144. [Google Scholar]
- Wei, Z.; Wei, X. Comparison of gas-bearing property between different pore types of shale: A case from the Upper Ordovician Wufeng and Longmaxi Fms in the Jiaoshiba area, Sichuan Basin. Nat. Gas Ind. 2014, 34, 37–41. [Google Scholar]
- Huang, L.; Ning, Z.; Wang, Q.; Zhang, W.; Cheng, Z.; Wu, X.; Qin, H. Effect of organic type and moisture on CO2/CH4 competitive adsorption in kerogen with implications for CO2 sequestration and enhanced CH4 recovery. Appl. Energy 2018, 210, 28–43. [Google Scholar] [CrossRef]
- Li, W.; Stevens, L.A.; Uguna, C.N.; Vane, C.H.; Meredith, W.; Tang, L.; Li, Q.; Snape, C.E. Comparison of the impact of moisture on methane adsorption and nanoporosity for over mature shales and their kerogens. Int. J. Coal Geol. 2021, 237, 103705. [Google Scholar] [CrossRef]
- Setzmann, U.; Wagner, W. A new equation of state and tables of thermodynamic properties for methane covering the range from the melting line to 625 K at pressures up to 100 MPa. J. Phys. Chem. Ref. Data 1991, 20, 1061. [Google Scholar] [CrossRef] [Green Version]
- Li, Y.; Liu, H.; Zhang, L.; Lu, Z.; Li, Q.; Huang, Y. Lower limits of evaluation parameters for the lower Paleozoic Longmaxi shale gas in southern Sichuan Province. Sci. China Earth Sci. 2013, 56, 710–717. [Google Scholar] [CrossRef]
















| Sample | Depth | TOC | Ro | Porosity | Vmic | SBET | Mineralogical Compositions Relative Percent (%) | ||||
|---|---|---|---|---|---|---|---|---|---|---|---|
| (m) | (wt.%) | (%) | (%) | cm3/100 g | (m2/g) | Quartz | Feldspar | Clays 1 | Carbonate 2 | Other 3 | |
| C1-1 | 123.4 | 9.95 | 2.34 | 3.59 | 0.79 | 17.91 | 62.2 | 21.2 | 11.3 | 0 | 5.3 |
| C1-4 | 261.9 | 1.36 | 2.44 | 2.09 | 0.38 | 9.61 | 30.5 | 10.9 | 58.6 | 0 | 0 |
| C1-5 | 288.0 | 0.94 | Nd 4 | 1.96 | 0.39 | 10.09 | 34.8 | 5.80 | 59.4 | 0 | 0 |
| C1-7 | 326.3 | 11.8 | 2.51 | 4.65 | 0.80 | 18.24 | 86.6 | 0 | 12.7 | 0 | 1 |
| C1-9 | 337.2 | 6.18 | 2.58 | 2.29 | 0.47 | 14.08 | 45.2 | 0 | 34.9 | 18.0 | 1.9 |
| C1-10 | 341.8 | 8.83 | 2.55 | 2.97 | 0.66 | 19.77 | 32.0 | 0 | 37.3 | 21.8 | 8.9 |
| Sample | (cm3/g) 1 | Pressure (MPa) | (cm3/g) 1 | D (mol2/KJ2) | (g/cm3) | (cm3/100 g) |
|---|---|---|---|---|---|---|
| C1-1 | 2.08 | ~10 | 3.17 | 0.0097 | 0.347 | 0.65 |
| C1-4 | 0.72 | ~9 | 1.11 | 0.0121 | 0.243 | 0.33 |
| C1-5 | 1.03 | ~11 | 1.60 | 0.0132 | 0.282 | 0.41 |
| C1-7 | 2.02 | ~10 | 3.01 | 0.0091 | 0.360 | 0.60 |
| C1-9 | 1.37 | ~9 | 2.11 | 0.0100 | 0.314 | 0.48 |
| C1-10 | 1.64 | ~11 | 2.49 | 0.0110 | 0.327 | 0.54 |
| TOC | Clay | Porosity | |||||||
|---|---|---|---|---|---|---|---|---|---|
| Clay | −0.946 ** | ||||||||
| Porosity | 0.904 * | −0.886 * | |||||||
| 0.944 ** | −0.819 * | 0.769 | |||||||
| 0.957 ** | −0.936 ** | 0.934 ** | 0.902 * | ||||||
| 0.956 ** | −0.96 ** | 0.873 * | 0.900 * | 0.967 ** | |||||
| 0.949 ** | −0.958 ** | 0.859 * | 0.896 * | 0.961 ** | 1.000 ** | ||||
| 0.946 ** | −0.926 ** | 0.848 * | 0.891 * | 0.914 ** | 0.978 ** | 0.977 ** | |||
| 0.930 ** | −0.946 ** | 0.826 * | 0.890 * | 0.951 ** | 0.995 ** | 0.997 ** | 0.965 ** | ||
| D | −0.957 ** | 0.906 * | −0.792 | −0.891 * | −0.849 * | −0.862 * | −0.856 * | −0.859 * | −0.835 * |
| Samples | Temperature | 1/Temperature | Pressure | D | ||||
|---|---|---|---|---|---|---|---|---|
| (°C) | (1/K) | (cm3/g) 1 | (MPa) | (mol2/KJ2) | (g/cm3) | (cm3/g) 1 | (cm3/100 g) | |
| C1-4 | 40 | 0.003195 | 0.80 | ~8 | 0.0126 | 0.26 | 1.23 | 0.34 |
| 60 | 0.003003 | 0.72 | ~8 | 0.24 | 1.11 | 0.33 | ||
| 80 | 0.002833 | 0.61 | ~9 | 0.23 | 0.98 | 0.31 | ||
| 150 | 0.002364 | 0.37 | ~10 | 0.16 | 0.65 | 0.29 | ||
| C1-7 | 40 | 0.003195 | 2.25 | ~9 | 0.0091 | 0.37 | 3.30 | 0.64 |
| 60 | 0.003003 | 2.02 | ~9 | 0.36 | 3.01 | 0.6 | ||
| 80 | 0.002833 | 1.84 | ~11 | 0.33 | 2.83 | 0.61 | ||
| 100 | 0.002681 | 1.57 | ~12 | 0.30 | 2.43 | 0.57 | ||
| 150 | 0.002364 | 1.27 | ~14 | 0.26 | 1.99 | 0.55 | ||
| C1-10 | 40 | 0.003195 | 1.84 | ~9 | 0.0099 | 0.33 | 2.71 | 0.58 |
| 60 | 0.003003 | 1.64 | ~10 | 0.33 | 2.49 | 0.54 | ||
| 80 | 0.002833 | 1.48 | ~11 | 0.30 | 2.26 | 0.53 | ||
| 100 | 0.002681 | 1.21 | ~12 | 0.27 | 1.90 | 0.50 | ||
| 120 | 0.002545 | 1.08 | ~13 | 0.25 | 1.75 | 0.50 | ||
| 150 | 0.002364 | 0.86 | ~13 | 0.22 | 1.39 | 0.45 |
Publisher’s Note: MDPI stays neutral with regard to jurisdictional claims in published maps and institutional affiliations. |
© 2022 by the authors. Licensee MDPI, Basel, Switzerland. This article is an open access article distributed under the terms and conditions of the Creative Commons Attribution (CC BY) license (https://creativecommons.org/licenses/by/4.0/).
Share and Cite
Pan, L.; Chen, L.; Cheng, P.; Gai, H. Methane Storage Capacity of Permian Shales with Type III Kerogen in the Lower Yangtze Area, Eastern China. Energies 2022, 15, 1875. https://doi.org/10.3390/en15051875
Pan L, Chen L, Cheng P, Gai H. Methane Storage Capacity of Permian Shales with Type III Kerogen in the Lower Yangtze Area, Eastern China. Energies. 2022; 15(5):1875. https://doi.org/10.3390/en15051875
Chicago/Turabian StylePan, Lei, Ling Chen, Peng Cheng, and Haifeng Gai. 2022. "Methane Storage Capacity of Permian Shales with Type III Kerogen in the Lower Yangtze Area, Eastern China" Energies 15, no. 5: 1875. https://doi.org/10.3390/en15051875
APA StylePan, L., Chen, L., Cheng, P., & Gai, H. (2022). Methane Storage Capacity of Permian Shales with Type III Kerogen in the Lower Yangtze Area, Eastern China. Energies, 15(5), 1875. https://doi.org/10.3390/en15051875
