Study on Fatigue Characteristics of Axial-Flow Pump Based on Two-Way Fluid–Structure Coupling
Abstract
1. Introduction
2. Numerical Simulation and Computational Methods
2.1. Fluid Governing Equations
2.2. Structural Governing Equations
2.3. Computational Model
2.4. Meshing
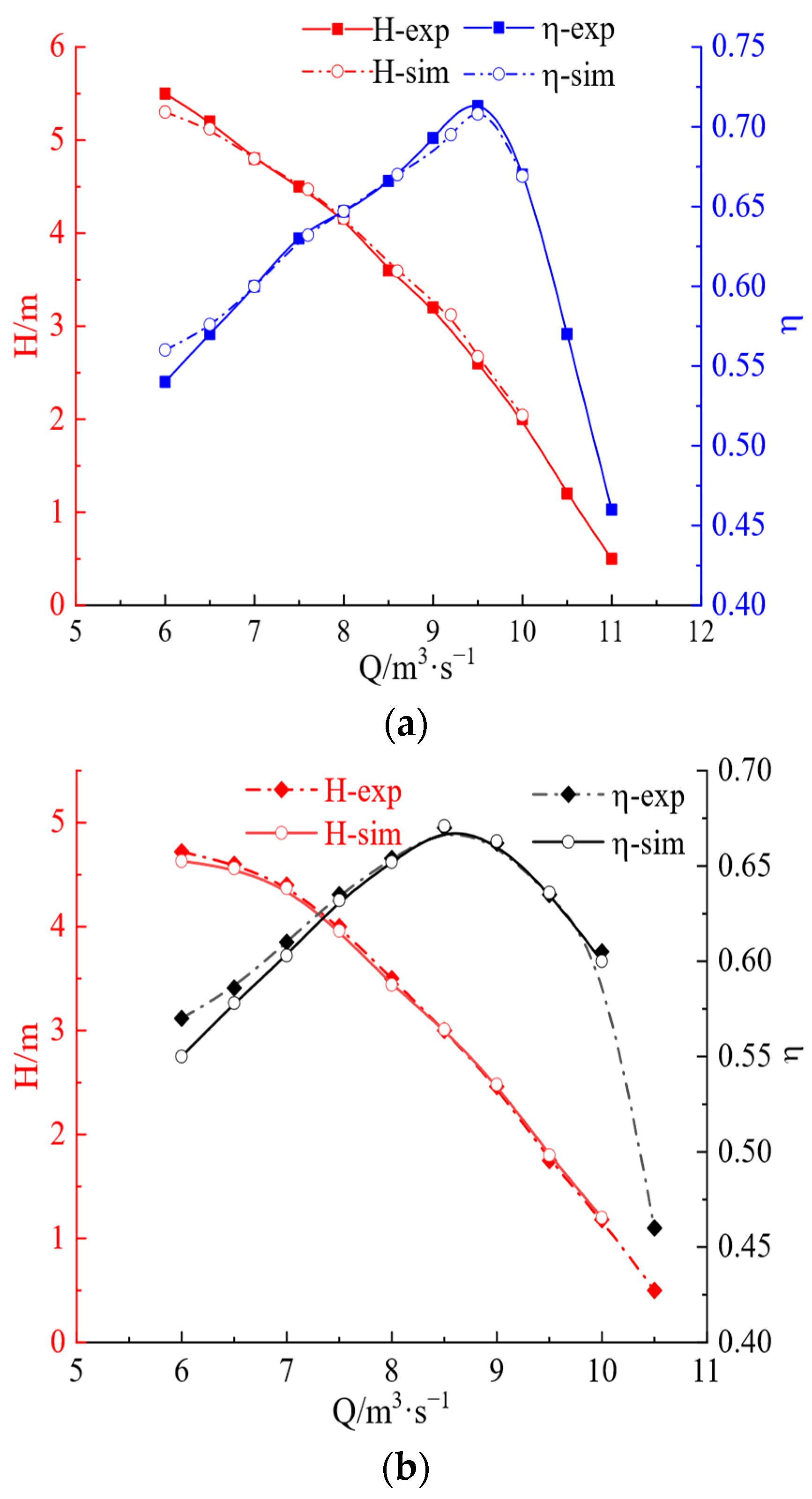
2.5. Verification of External Characteristics
2.6. Setup of Modal Analysis
3. Fluid–Structure Interaction Settings
4. Results
4.1. Dynamic Stress Distribution
4.2. Study on Fatigue Characteristics
5. Conclusions
- When the axial-flow pump operates under the pump and turbine conditions, the dynamic stress is mainly concentrated at the root of the blade, and it decreases with the increase in the flow rate; the change in the dynamic stress with time shows an obvious periodic law. Near the design flow, it appears as a regular sine wave. Under the pump conditions, the main frequency of the dynamic stress is the rotational frequency, and there is no obvious secondary frequency, while, under the turbine conditions, the main frequency is the rotational frequency, and the secondary frequency is composed of multipliers of the rotational frequency. The frequency multipliers are mainly twice the rotational frequency, three times the rotational frequency, and four times the rotational frequency, indicating that, in reverse operation, the coupling effect of the blades and the fluid receives the joint action of all the blades in the runner chamber, which is obviously related to the number of blades. The pump working conditions are only affected by the acting vanes.
- Under different flow conditions, the fatigue damage position is consistent with the stress distribution, and the damage is the most serious at the stress concentration area; the lower the flow rate, the greater the damage to the blade root. The fatigue life of the blade corresponds to the fatigue damage, and in the case of severe damage, the fatigue life is relatively low; the fatigue life is closely related to the change in the flow rate, where the lower the flow rate, the greater the stress load on the blade surface, the more serious the damage, and the lower the fatigue life. Under specific flow conditions, the minimum fatigue life also appears. The stress concentration area—that is, the root of the blade—is most prone to damage, and, in the change in dynamic stress, the rotation of the shaft plays a major role.
- The surface stress amplitude of the new, thickened blade (following the replacement of the old blade by the pumping station) is greatly reduced, and operation near the design flow rate can ensure the safe use of the blade, but, in the low-flow area, the dynamic stress amplitude is close to the fatigue limit, even at a very low flow rate. Exceeding the fatigue limit will lead to the possibility of blade cracking and affect the safe use of the blade.
Author Contributions
Funding
Data Availability Statement
Acknowledgments
Conflicts of Interest
References
- Campbell, R.; Paterson, E. Fluid–structure interaction analysis of flexible turbomachinery. J. Fluids Struct. 2011, 27, 1376–1391. [Google Scholar] [CrossRef]
- Jiang, Y.; Yoshimura, S.; Imai, R.; Katsura, H.; Yoshida, T.; Kato, C. Quantitative evaluation of flow-induced structural vibration and noise in turbomachinery by full-scale weakly coupled simulation. J. Fluids Struct. 2007, 23, 531–544. [Google Scholar] [CrossRef]
- Zhang, Q.; Hisada, T. Studies of the strong coupling and weak coupling methods in FSI analysis. Int. J. Numer. Methods Eng. 2004, 60, 2013–2029. [Google Scholar] [CrossRef]
- Wei, L.; Yongfei, Y.; Weidong, S.; Leilei, J.; Xiaoping, J. Mechanical properties of mixed-flow pump impeller based on bidirectional fluid-structure interaction. Trans. Chin. Soc. Agric. Mach. 2015, 46, 82–88. [Google Scholar]
- Li, W.; Ji, L.; Shi, W.; Zhou, L.; Jiang, X.; Zhang, Y. Fluid-structure interaction study of a mixed-flow pump impeller during startup. Eng. Comput. 2018, 35, 18–34. [Google Scholar] [CrossRef]
- Hao, Y.; Tan, L. Symmetrical and unsymmetrical tip clearances on cavitation performance and radial force of a mixed flow pump as turbine at pump mode. Renew. Energy 2018, 127, 368–376. [Google Scholar] [CrossRef]
- Ji, L.; Li, W.; Shi, W.; Tian, F.; Agarwal, R. Effect of blade thickness on rotating stall of mixed-flow pump using entropy generation analysis. Energy 2021, 236, 121381. [Google Scholar] [CrossRef]
- Chen, F.; Bi, H.; Ahn, S.-H.; Mao, Z.; Luo, Y.; Wang, Z. Investigation on Dynamic Stresses of Pump-Turbine Runner during Start Up in Turbine Mode. Processes 2021, 9, 499. [Google Scholar] [CrossRef]
- Egusquiza, E.; Valero, C.; Huang, X.; Jou, E.; Guardo, A.; Rodriguez, C. Failure investigation of a large pump-turbine runner. Eng. Fail. Anal. 2012, 19, 27–34. [Google Scholar] [CrossRef]
- Fernández, J.; Barrio, R.; Blanco, E.; Parrondo, J.L.; Marcos, A. Numerical investigation of a centrifugal pump running in reverse mode. Proc. Inst. Mech. Eng. Part A-J. Power Energy 2010, 224, 373–381. [Google Scholar] [CrossRef]
- Pei, J.; Yuan, S.; Yuan, J. Dynamic stress analysis of sewage centrifugal pump impeller based on two-way coupling method. Chin. J. Mech. Eng. 2014, 27, 369–375. [Google Scholar] [CrossRef]
- Peng, G.; Zhengwei, W.; Zongguo, Y.; Ruixiang, L. Strength analysis of a large centrifugal dredge pump case. Eng. Fail. Anal. 2009, 16, 321–328. [Google Scholar]
- Langthjem, M.; Olhoff, N. A numerical study of flow-induced noise in a two-dimensional centrifugal pump. Part I. Hydrodynamics. J. Fluids Struct. 2004, 19, 349–368. [Google Scholar] [CrossRef]
- Gao, J.Y.; Hou, Y.S.; Xi, S.Z.; Cai, Z.H.; Yao, P.P.; Shi, H.L. Prediction of flow- induced dynamic stress in an axial pump impeller using FEM. IOP Conf. Ser. Mater. Sci. Eng. 2013, 52, 022041. [Google Scholar] [CrossRef]
- Kan, K.; Zheng, Y.; Chen, H.; Cheng, J.; Gao, J.; Yang, C. Study into the Improvement of Dynamic Stress Characteristics and Prototype Test of an Impeller Blade of an Axial-Flow Pump Based on Bidirectional Fluid–Structure Interaction. Appl. Sci. 2019, 9, 3601. [Google Scholar] [CrossRef]
- Kan, K.; Zheng, Y.; Fu, S.; Liu, H.; Yang, C.; Zhang, X. Dynamic stress of impeller blade of shaft extension tubular pump device based on bidirectional fluid-structure interaction. J. Mech. Sci. Technol. 2017, 31, 1561–1568. [Google Scholar] [CrossRef]
- Zhou, Y.; Zheng, Y.; Kan, K.; Zhang, Y.; Wang, H.; Tang, W.; Zhao, M. Study on hydraulic characteristics of large vertical axial-flow pump used as constant frequency power generation. Proc. Inst. Mech. Eng. Part A J. Power Energy 2021, 235, 095765092091208. [Google Scholar] [CrossRef]
- Li, Z.; Wang, Y.; Li, T.; Liu, F.; Ji, J. The dynamic characteristics of the ultimate strength of a turbine runner blade under hydraulic excitation. Energy Sources Part A Recover. Util. Environ. Eff. 2019, 41, 3127–3137. [Google Scholar] [CrossRef]
- Schmucker, H.; Flemming, F.; Coulson, S. Two-way coupled fluid structure interaction simulation of a propeller turbine. IOP Conf. Ser. Earth Environ. Sci. 2010, 12, 012011. [Google Scholar] [CrossRef]
- Waqas, M.; Ahmad, N. Computation of Stress Distribution in Hydraulic Horizontal Propeller Turbine Runner Based on Fluid–Structure Interaction Analysis. Arab. J. Sci. Eng. 2020, 45, 9325–9337. [Google Scholar] [CrossRef]
- Zhang, Y.; Wu, Y. A review of rotating stall in reversible pump turbine. Proc. Inst. Mech. Eng. Part C J. Mech. Eng. Sci. 2017, 231, 1181–1204. [Google Scholar] [CrossRef]
- Nautiyal, H.; Kumar, A. Reverse running pumps analytical, experimental and computational study: A review. Renew. Sustain. Energy Rev. 2010, 14, 2059–2067. [Google Scholar] [CrossRef]


















| Pump | 1700ZWSQ10-2.5 | Blade Placement Angle | −6°~+4° |
|---|---|---|---|
| Diameter of impeller | 1.7 m | Impeller center elevation | 1 m |
| Number of impeller blades | 4 | Design discharge | 10 m3/s |
| Number of front guide vanes | 5 | Design head | 2.5 m |
| Number of guide vanes | 7 | Design speed | 250 r/min |
| Overcurrent Parts | Number of Elements |
|---|---|
| Imported domains | 623,100 |
| Front guide vane domain | 720,800 |
| Runner | 2,011,200 |
| Active guide vane domain | 812,300 |
| Export domains | 293,100 |
| Material | ZG06Cr13Ni4Mo |
|---|---|
| Elastic modulus E/MPa | 20,300 |
| Tensile strength σs/MPa | 550 |
| Poisson’s ratio μ | 0.291 |
| Density ρ/(kg·m−3) | 7730 |
| Fatigue limit δm MPa | 210 |
Publisher’s Note: MDPI stays neutral with regard to jurisdictional claims in published maps and institutional affiliations. |
© 2022 by the authors. Licensee MDPI, Basel, Switzerland. This article is an open access article distributed under the terms and conditions of the Creative Commons Attribution (CC BY) license (https://creativecommons.org/licenses/by/4.0/).
Share and Cite
Bai, Y.; Wu, D. Study on Fatigue Characteristics of Axial-Flow Pump Based on Two-Way Fluid–Structure Coupling. Energies 2022, 15, 8965. https://doi.org/10.3390/en15238965
Bai Y, Wu D. Study on Fatigue Characteristics of Axial-Flow Pump Based on Two-Way Fluid–Structure Coupling. Energies. 2022; 15(23):8965. https://doi.org/10.3390/en15238965
Chicago/Turabian StyleBai, Yalei, and Donglei Wu. 2022. "Study on Fatigue Characteristics of Axial-Flow Pump Based on Two-Way Fluid–Structure Coupling" Energies 15, no. 23: 8965. https://doi.org/10.3390/en15238965
APA StyleBai, Y., & Wu, D. (2022). Study on Fatigue Characteristics of Axial-Flow Pump Based on Two-Way Fluid–Structure Coupling. Energies, 15(23), 8965. https://doi.org/10.3390/en15238965

