Effects of Water–Rock Interaction on the Permeability of the Near-Well Reservoir in an Enhanced Geothermal System
Abstract
1. Introduction
2. Geological Conditions of Regional Geothermal Resources
3. Numerical Simulation Method
3.1. Simulator
3.2. Governing Equations
4. Model Establishment
4.1. Conceptual Model
4.2. Parameter Setting
4.3. Simulation Schemes
5. Results and Discussion
5.1. Changes at Different Distances from the Injection Well
5.2. Changes at Injection Point
5.3. Sensitivity Analysis
5.3.1. Influence of Different Injection Flow Rates
5.3.2. Influence of Different Injection Temperatures
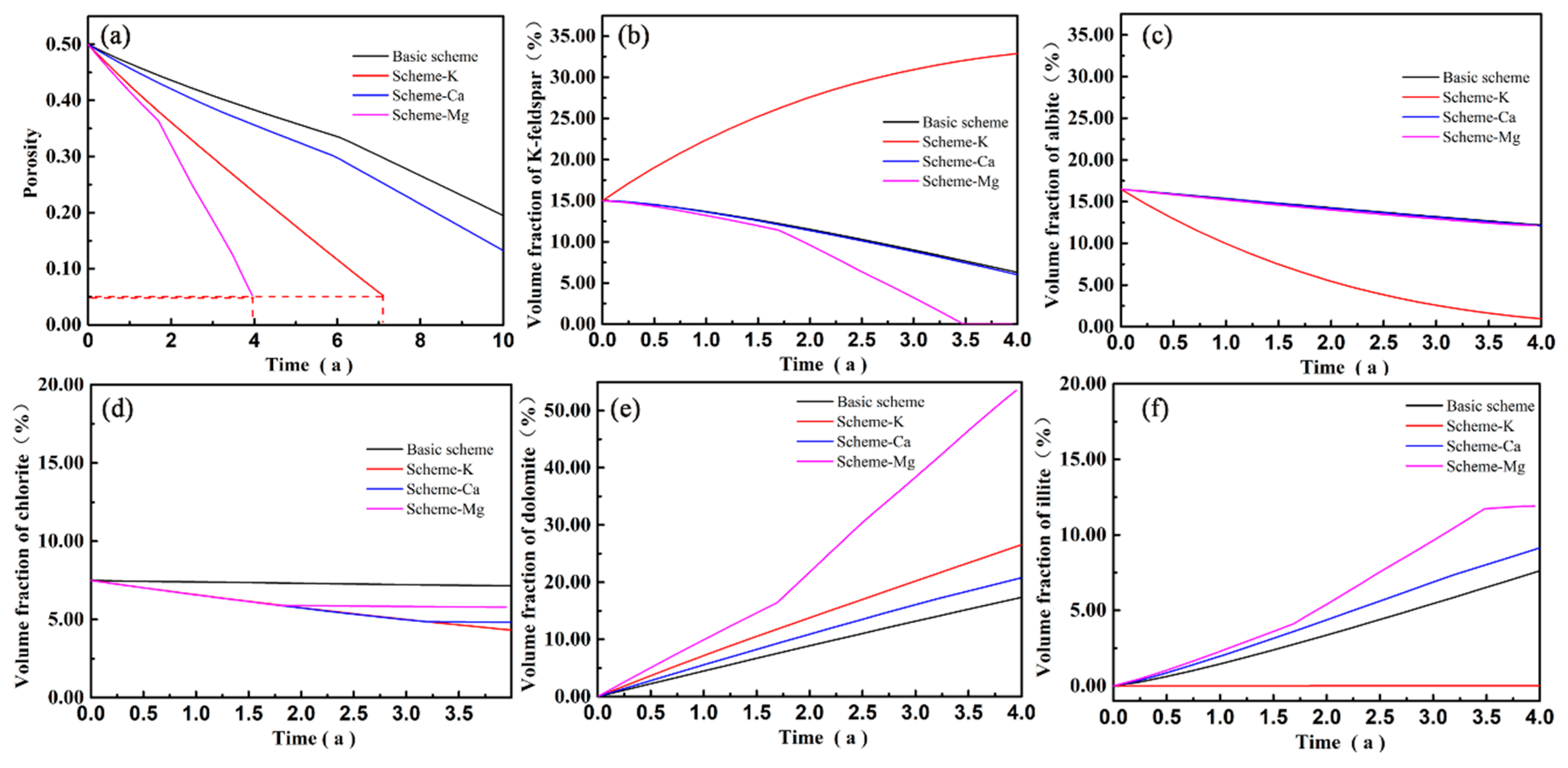
5.3.3. Influence of Different Hydrochemical Compositions
6. Conclusions
Author Contributions
Funding
Institutional Review Board Statement
Informed Consent Statement
Data Availability Statement
Acknowledgments
Conflicts of Interest
References
- Soltani, M.; Kashkooli, F.M.; Dehghani-Sanij, A.R.; Kazemi, A.R.; Bordbar, N.; Farshchi, M.J.; Elmi, M.; Gharali, K.; Dusseault, M.B. A comprehensive study of geothermal heating and cooling systems. Sustain. Cities Soc. 2019, 44, 793–818. [Google Scholar] [CrossRef]
- Hu, X.; Lv, J.; Li, S.; Du, G.; Wang, Z.; Li, H.; Zhu, H. Joint interpretation technology of favorable HDR geothermal resource exploration in Northern Songliao Basin. Unconv. Resour. 2022, 2, 133–138. [Google Scholar] [CrossRef]
- Rathnaweera, T.D.; Wu, W.; Ji, Y.; Gamage, R.P. Understanding injection-induced seismicity in enhanced geothermal systems: The coupled thermo-hydro-mechanical-chemical process to anthropogenic earthquake prediction. Earth-Sci. Rev. 2020, 205, 103182. [Google Scholar] [CrossRef]
- Wang, D.; Dong, Y.; Li, Y.; Wang, Y.; Li, Y.; Liu, H.; Zhang, W.; Sun, D.; Yu, B. Numerical simulation of heat recovery potential of hot dry rock under alternate temperature loading. Unconv. Resour. 2022, 2, 170–182. [Google Scholar] [CrossRef]
- Kharseh, M.; Al-Khawaja, M. Optimizing Geothermal Energy Resource. Mech. Eng. Autom. 2015, 5, 667–675. [Google Scholar]
- Barcelona, H.; Senger, M.; Yagupsky, D. Resource assessment of the Copahue geothermal field. Geothermics 2021, 90, 101987. [Google Scholar] [CrossRef]
- El Bouazouli, A.; Baidder, L.; Diagana, O.; Rhouzlane, S.; Bichri, A. Prospecting of potential geothermal resources from the east to the Moroccan Sahara. Mater. Today Proc. 2020, 27, 3224–3233. [Google Scholar] [CrossRef]
- Olasolo, P.; Juárez, M.C.; Morales, M.P.; D’Amico, S.; Liarte, I.A. Enhanced geothermal systems (EGS): A review. Renew. Sustain. Energy Rev. 2016, 56, 133–144. [Google Scholar] [CrossRef]
- Alegria, P.; Catalan, L.; Araiz, M.; Rodriguez, A.; Astrain, D. Experimental development of a novel thermoelectric generator without moving parts to harness shallow hot dry rock fields. Appl. Therm. Eng. 2022, 200, 117619. [Google Scholar] [CrossRef]
- Lv, Y.; Yuan, C.; Zhu, X.; Gan, Q.; Li, H. THMD analysis of fluid injection-induced fault reactivation and slip in EGS. Geothermics 2022, 99, 102303. [Google Scholar] [CrossRef]
- Asai, P.; Podgorney, R.; McLennan, J.; Deo, M.; Moore, J. Analytical model for fluid flow distribution in an Enhanced Geothermal Systems (EGS). Renew. Energy 2022, 193, 821–831. [Google Scholar] [CrossRef]
- Borgia, A.; Pruess, K.; Kneafsey, T.J.; Oldenburg, C.M.; Pan, L. Simulation of CO2-EGS in a Fractured Reservoir with Salt Precipitation. Energy Procedia 2013, 37, 6617–6624. [Google Scholar] [CrossRef]
- Driba, D. 1D Thermal-Hydraulic-Chemical (THC) Reactive transport modeling for deep geothermal systems: A case study of Groß Schönebeck reservoir, Germany. In Agu Fall Meeting; American Geophysical Union: San Francisco, CA, USA, 2014. [Google Scholar]
- Ren, G.; Jiang, J.; Younis, R.M. A Model for Coupled Geomechanics and Multiphase Flow in Fractured Porous Media Using Embedded Meshes. Adv. Water Resour. 2018, 122, 113–130. [Google Scholar] [CrossRef]
- Salimzadeh, S.; Paluszny, A.; Nick, H.M.; Zimmerman, R.W. A Three-Dimensional Coupled Thermo-Hydro-Mechanical Model for Deformable Fractured Geothermal Systems. Geothermics 2017, 71, 212–224. [Google Scholar] [CrossRef]
- Pei, Y.; Sepehrnoori, K. Efficient Modeling of Depletion Induced Fracture Deformation in Unconventional Reservoirs. In Proceedings of the SPE Annual Technical Conference and Exhibition, Dubai, United Arab Emirates, 21–23 September 2021. [Google Scholar] [CrossRef]
- Li, T.; Han, D.; Yang, F.; Li, J.; Wang, D.; Yu, B.; Wei, J. Modeling Study of the Thermal-Hydraulic-Mechanical Coupling Process for EGS Based on the Framework of EDFM and XFEM. Geothermics 2022, 89, 101953. [Google Scholar] [CrossRef]
- Yuan, Y.; Xu, T.; Moore, J.; Lei, H.; Feng, B. Coupled Thermo–Hydro–Mechanical Modeling of Hydro-Shearing Stimulation in an Enhanced Geothermal System in the Raft River Geothermal Field, USA. Rock Mech. Rock Eng. 2020, 53, 5371–5388. [Google Scholar] [CrossRef]
- Regenspurg, S.; Feldbusch, E.; Byrne, J.; Deon, F.; Driba, D.L.; Henninges, J.; Kappler, A.; Naumann, R.; Reinsch, T.; Schubert, C. Mineral precipitation during production of geothermal fluid from a Permian Rotliegend reservoir. Geothermics 2015, 54, 122–135. [Google Scholar] [CrossRef]
- Ma, Z.; Xu, Y.; Zhai, M.; Wu, M. Clogging mechanism in the process of reinjection of used geothermal water: A simulation research on Xianyang No.2 reinjection well in a super-deep and porous geothermal reservoir. J. Groundw. Sci. Eng. 2017, 5, 311–325. [Google Scholar]
- Yanaze, T.; Yoo, S.; Marumo, K.; Ueda, A. Prediction of permeability reduction due to silica scale deposition with a geochemical clogging model at Sumikawa Geothermal Power Plant. Geothermics 2019, 79, 114–128. [Google Scholar] [CrossRef]
- Zhao, Y.; Feng, B.; Zhang, G.; Shangguan, S.; Qi, X.; Li, X.; Qiao, Y.; Xu, J. Study of the interaction between the granitic hot-dry rock (HDR) and different injection waters. Acta Geol. Sin. 2020, 94, 2115–2123. [Google Scholar]
- Ke, Z.; Feng, B.; Liu, Y.; Cui, Z.; Liu, X. Dissolution and sedimentation patterns of typical minerals in artificial reservoirs under different environment. Unconv. Resour. 2022, 2, 60–71. [Google Scholar] [CrossRef]
- Feng, C.; Gao, G.; Zhang, S.; Sun, D.; Zhu, S.; Tan, C.; Ma, X. Fault slip potential induced by fluid injection in the Matouying enhanced geothermal system (EGS) field, Tangshan seismic region, North China. Nat. Hazards Earth Syst. Sci. 2022, 22, 2257–2287. [Google Scholar] [CrossRef]
- Qi, X.; Shangguan, S.; Zhang, G.; Pan, M.; Su, Y.; Tian, L.; Li, X.; Qiao, Y.; Zhang, J. Site selection and developmental prospect of a hot dry rock resource project in the Matouying Uplift, Hebei Province. Earth Sci. Front. 2020, 27, 94–102. [Google Scholar]
- Shangguan, S. Occurrence conditions of hot-dry-rock geothermal resources and development prospects in Matouying area. China Energy Environ. Prot. 2017, 39, 155–165. [Google Scholar]
- Zhang, Y.; Gao, L.; Liu, X.; Zhao, Y.; Wang, D.; Zhang, J. Drilling technology of the M-1 well in hot dry rock of Matouying, Tangshan. Geol. Explor. 2022, 58, 176–186. [Google Scholar]
- Xu, T.F.; Spycher, N.; Sonnenthal, E.; Zhang, G.X.; Zheng, L.E.; Pruess, K. TOUGHREACT Version 2.0: A simulator for subsurface reactive transport under non-isothermal multiphase flow conditions. Comput. Geosci. 2011, 37, 763–774. [Google Scholar] [CrossRef]
- Xu, T.; Sonnenthal, E.; Spycher, N.; Pruess, K. TOUGHREACT User’s Guide: A Simulation Program for Non-Isothermal Multiphase Reactive Geochemical Transport in Variably Saturated Geologic Media; V1.2.1; Lawrence Berkeley National Lab. (LBNL): Berkeley, CA, USA, 2008. [Google Scholar]
- Xu, T.; Hu, Z.; Feng, B.; Feng, G.; Li, F.; Jiang, Z. Numerical evaluation of building heating potential from a co-axial closed-loop geothermal system using wellbore–reservoir coupling numerical model. Energy Explor. Exploit. 2020, 38, 733–754. [Google Scholar] [CrossRef]
- Qi, X.; Zhang, G.; Shangguan, S.; Su, Y.; Tian, L.; Li, X.; Qiao, Y.; Liu, X. A brief analysis of hot and dry rock geothermal resource hosting and distribution in Hebei Province. Coal Geol. China 2018, 30, 47–73. [Google Scholar]
- Cui, Z.; Shangguan, S.; Gherardi, F.; Qi, X.; Xu, J.; He, S.; Feng, B. Experimental Study on the Effect and Mechanism of Chemical Stimulation on Deep High-Temperature Granite. Front. Earth Sci. 2022, 10, 893969. [Google Scholar] [CrossRef]
- Shangguan, S.; Sun, D.; Zhang, G.; Yang, Y.; Qi, X.; Chen, D.; Qiao, Y.; Li, A.; Chen, Q. In-situ stress measurement and fault stability analysis within a depth of 3–4 km in the Tangshan area. Acta Geol. Sin. 2021, 95, 3915–3925. [Google Scholar]
- Xu, J.; Feng, B.; Cui, Z.; Liu, X.; Ke, Z.; Feng, G. Comparative Study of Acid and Alkaline Stimulants with Granite in an Enhanced Geothermal System. Acta Geol. Sin. 2021, 95, 1926–1939. [Google Scholar] [CrossRef]
- Na, J.; Xu, T.F.; Jiang, Z.J.; Bao, X.H.; Wu, Y.D.; Feng, B. A study on the interaction of mud acid with rock for chemical stimulation in an enhanced geothermal system. Environ. Earth Sci. 2016, 75, 1025. [Google Scholar] [CrossRef]
- Yang, Z.; Wang, F.; Yang, B.; Tian, H.; Xu, T. Numerical simulation of the influence of Chlorite on the content of mineral trapping of CO2 in the sandstone. Bull. Mineral. Petrol. Geochem. 2014, 33, 201–207. [Google Scholar]
- Xue, W.; Tan, X.; Li, Z.; Qiu, Y.; Yong, Y.; Jiang, W. Dissolution mechanism of feldspars in the clastic rocks and its contribution to diagenesis. Complex Hydrocarb. Reserv. 2015, 1, 1–6, 61. [Google Scholar]











| Cation | Content (mg/L) | Proportion | Anion | Content (mg/L) | Proportion |
|---|---|---|---|---|---|
| K+ | 18.20 | 4.17% | F− | 1.28 | 0.16% |
| Na+ | 225.49 | 51.71% | Cl− | 295.03 | 36.86% |
| Ca2+ | 111.96 | 25.68% | NO3− | 6.91 | 0.86% |
| Mg2+ | 31.48 | 7.22% | SO4− | 169.41 | 21.16% |
| Fe2+ | 0.54 | 0.12% | HCO3− | 327.86 | 40.96% |
| Zn2+ | 48.39 | 11.10% |
| Parameter | Value |
|---|---|
| Density (kg/m³) | 2750.00 |
| Porosity: | |
| Fractured reservoir | 0.50 |
| Impermeable matrix | 0.01 |
| Permeability (m2): | |
| Fractured reservoir | 6.99 × 10−14 |
| Impermeable matrix | 0 |
| Thermal conductivity (W/kg·m) | 2.20 |
| Specific heat capacity (J/K·kg) | 794.00 |
| Mineral | Neutral Mechanism | Acid Mechanism | Base Mechanism | A | |||||
|---|---|---|---|---|---|---|---|---|---|
| K25 | E | K25 | E | n(H+) | K25 | E | n(H+) | ||
| (mol/m2/s) | (KJ/mol) | (mol/m2/s) | (KJ/mol) | (mol/m2/s) | (KJ/mol) | (cm2/g) | |||
| Quartz | 1.203 × 10−14 | 87.70 | 9.8 | ||||||
| K-f × 10ldspar | 3.890 × 10−13 | 38.00 | 8.710 × 10−11 | 51.70 | 0.500 | 6.310 × 10−12 | 94.10 | −0.823 | 9.8 |
| Albit × 10 | 2.754 × 10−13 | 69.80 | 6.918 × 10−11 | 65.00 | 0.457 | 2.512 × 10−16 | 71.00 | −0.572 | 9.8 |
| Chlorit × 10 | 3.020 × 10−13 | 88.00 | 7.762 × 10−12 | 88.00 | 0.500 | 151.6 | |||
| Montmor-Na | 1.660 × 10−13 | 35.00 | 1.047 × 10−11 | 23.60 | 0.340 | 3.020 × 10−17 | 58.90 | −0.400 | 151.6 |
| Montmor-Ca | 1.660 × 10−13 | 35.00 | 1.047 × 10−11 | 23.60 | 0.340 | 3.020 × 10−17 | 58.90 | −0.400 | 151.6 |
| Illit × 10 | 1.660 × 10−13 | 35.00 | 1.047 × 10−11 | 23.60 | 0.340 | 3.020 × 10−17 | 58.90 | −0.400 | 151.6 |
| Calcit × 10 | 1.550 × 10−16 | 23.50 | 6.018 × 10−13 | 14.40 | 1.000 | 9.8 | |||
| Kaolinit × 10 | 6.918 × 10−14 | 22.20 | 4.898 × 10−12 | 65.90 | 0.777 | 8.913 × 10−18 | 17.90 | −0.472 | 151.6 |
| Montmor-Mg | 1.660 × 10−13 | 35.00 | 1.047 × 10−11 | 23.60 | 0.340 | 3.020 × 10−17 | 58.90 | −0.400 | 151.6 |
| Montmor-K | 1.660 × 10−13 | 35.00 | 1.047 × 10−11 | 23.60 | 0.340 | 3.020 × 10−17 | 58.90 | −0.400 | 151.6 |
| Dolomit × 10 | 2.951 × 10−8 | 52.20 | 6.457 × 10−4 | 36.10 | 0.500 | 9.8 | |||
| Dawsonit × 10 | 1.260 × 10−9 | 62.76 | 6.457 × 10−4 | 36.10 | 0.500 | 9.8 | |||
| Sid × 10rit × 10 | 1.260 × 10−9 | 62.76 | 6.457 × 10−4 | 36.10 | 0.500 | 9.8 | |||
| Magn × 10sit × 10 | 4.508 × 10−11 | 23.50 | 4.169 × 10−11 | 14.40 | 1.000 | 9.8 | |||
| H × 10matit × 10 | 2.512 × 10−15 | 66.20 | 4.074 × 10−10 | 66.20 | 1.000 | 9.8 | |||
| Scheme No. | Injection Flow Rate (m3/h) | Injection Temperature (℃) |
|---|---|---|
| 1 | 3 | 70 |
| 2 | 4 | 70 |
| 3 (Basic Scheme) | 5 | 70 |
| 4 | 6 | 70 |
| 5 | 5 | 90 |
| 6 | 5 | 50 |
Publisher’s Note: MDPI stays neutral with regard to jurisdictional claims in published maps and institutional affiliations. |
© 2022 by the authors. Licensee MDPI, Basel, Switzerland. This article is an open access article distributed under the terms and conditions of the Creative Commons Attribution (CC BY) license (https://creativecommons.org/licenses/by/4.0/).
Share and Cite
Feng, B.; Cui, Z.; Liu, X.; Shangguan, S.; Qi, X.; Li, S. Effects of Water–Rock Interaction on the Permeability of the Near-Well Reservoir in an Enhanced Geothermal System. Energies 2022, 15, 8820. https://doi.org/10.3390/en15238820
Feng B, Cui Z, Liu X, Shangguan S, Qi X, Li S. Effects of Water–Rock Interaction on the Permeability of the Near-Well Reservoir in an Enhanced Geothermal System. Energies. 2022; 15(23):8820. https://doi.org/10.3390/en15238820
Chicago/Turabian StyleFeng, Bo, Zhenpeng Cui, Xiyao Liu, Shuantong Shangguan, Xiaofei Qi, and Shengtao Li. 2022. "Effects of Water–Rock Interaction on the Permeability of the Near-Well Reservoir in an Enhanced Geothermal System" Energies 15, no. 23: 8820. https://doi.org/10.3390/en15238820
APA StyleFeng, B., Cui, Z., Liu, X., Shangguan, S., Qi, X., & Li, S. (2022). Effects of Water–Rock Interaction on the Permeability of the Near-Well Reservoir in an Enhanced Geothermal System. Energies, 15(23), 8820. https://doi.org/10.3390/en15238820
