A Review of Flow and Heat Transfer Characteristics of Supercritical Carbon Dioxide under Cooling Conditions in Energy and Power Systems
Abstract
1. Introduction
2. Thermal–Physical Properties of SCO2
3. Summary of Experimental Studies
3.1. Horizontal Tubes
3.1.1. Effect of Mass Flux on Heat Transfer Characteristics
3.1.2. Effect of Operating Pressure on Heat Transfer Characteristics
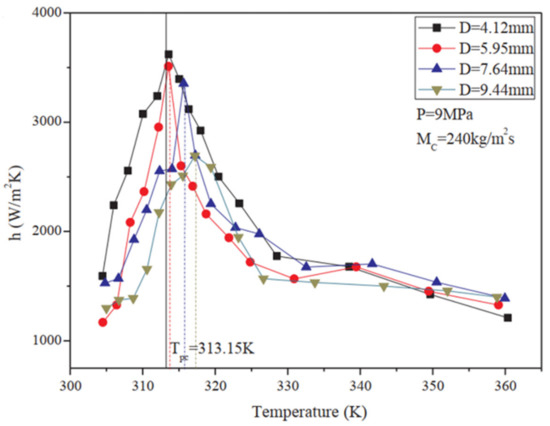
3.1.3. Effect of Tube Diameter on Heat Transfer Characteristics
3.1.4. Pressure Drop Characteristic
3.2. Vertical Tubes
3.3. Enhanced Channels
3.3.1. Semi–Circular Channels
3.3.2. Helically Coiled Tubes
3.3.3. Other Types of Channels
4. Summary of Numerical Studies

4.1. In–House Codes
4.2. Commercial Computational Fluid Dynamics Solvers
4.2.1. Horizontal Tubes
4.2.2. Vertical Tubes
4.2.3. Inclined Tubes
4.2.4. Semi–Circular Channels
4.2.5. Helically Coiled Tubes
4.2.6. Fluted Tubes
4.2.7. Square Microchannels
4.2.8. Other Types of Channels
4.3. Direct Numerical Simulations
5. Summary of Heat Transfer Correlations
6. Conclusions
- (1)
- The effects of parameters such as mass flow, pressure, pipe diameter, and buoyancy on flow heat transfer under different channel types have been studied in experiments—the heat transfer coefficient increases as the flow rate increases under cooling conditions. The thermo–physical properties of SCO2 change drastically near the pseudo–critical point and, the closer to the critical point, the larger the peak value of physical property change. The heat transfer coefficient reaches a more significant peak value in the pseudo–critical region when the operating pressure is close to Pc. Nu decreases with the decrease in tube diameter. The pressure drop exhibits a trend consistent with the heat transfer coefficient.
- (2)
- In terms of numerical research, most simulation works were based on the commercial software FLUENT or CFX. Detailed velocity, temperature, and turbulence distribution information under different channel types were obtained, and unique phenomena, such as secondary flow and changes in buoyancy along the flow process, were analyzed. However, the RANS model cannot give reliable results quantitatively, and the performance of the same RANS model under different operating conditions varies greatly. Therefore, it is not easy to achieve model generality. Although DNS can only be carried out at low Re at present, it can study the unsteady flow characteristics of SCO2 turbulent flow with strong buoyancy in the tubes and create a database for establishing new turbulence models.
- (3)
- A large number of heat transfer correlations have been established. These correlations are fairly predictable within their corresponding parameter ranges but, so far, there is no general correlation that can be used for the entire SCO2 cooling operating range. Establishing a general correlation requires a clearer understanding of the SCO2 cooling process.
7. Future Scopes
- (1)
- There is an urgent need to conduct more detailed mechanism experimental studies to understand the specific causes of irregular heat transfer.
- (2)
- To improve the simulation results’ accuracy, more abundant numerical information should be obtained. In addition to improving existing RANS models, advanced simulation methods can also be considered under SCO2 cooling conditions, such as direct simulation Monte Carlo (DSMC), lattice Boltzmann method (LBM), large eddy simulation (LES), and molecular dynamics methods (MDM).
- (3)
- The structural design and optimization of gas coolers/condensers should be carried out in strict accordance with the heat transfer mechanism, and the state of heat transfer enhancement should be used as much as possible to avoid the form of deterioration. More advanced heat transfer enhancement technology should be used in practical engineering to improve heat transfer efficiency.
- (4)
- Since the working conditions are constantly changing in the actual process, it is necessary to study the dynamic heat transfer characteristics of the heat exchanger and the thermodynamic characteristics relative to the entire system. Furthermore, not only does the individual heat exchanger need to be optimized, but the whole system needs to be given special attention. Due to the high computational cost and time required for CFD simulations, system optimization studies can be considered using simplified models of gas coolers or condensers (e.g., machine learning techniques) and other components. The coupled model can be used to improve the overall performance of the optimized system.
- (5)
- After further study of heat transfer and flow mechanisms, all factors that affect heat transfer should be considered in developing empirical correlations and the design of SCO2 heat exchangers. A correlation that can cover all SCO2 cooling conditions and show the local heat transfer performance needs to be developed. Accurate heat transfer correlations can improve the accuracy of heat exchanger design, thereby increasing the system’s efficiency.
Author Contributions
Funding
Conflicts of Interest
References
- Tafur-Escanta, P.; Valencia-Chapi, R.; López-Guillem, M.; Fierros-Peraza, O.; Muñoz-Antón, J. Electrical energy storage using a supercritical CO2 heat pump. Energy Rep. 2022, 8, 502–507. [Google Scholar] [CrossRef]
- Muhammad, H.A.; Cho, J.; Cho, J.; Choi, B.; Roh, C.; Ishfaq, H.A.; Lee, G.; Shin, H.; Baik, Y.-J.; Lee, B. Performance improvement of supercritical carbon dioxide power cycle at elevated heat sink temperatures. Energy 2022, 239, 122216. [Google Scholar] [CrossRef]
- Han, S.H.; Choi, Y.D.; Shin, J.K.; Kim, Y.C.; Kim, M.S. Turbulent heat transfer of supercritical carbon dioxide in square cross–sectional duct flow. J. Mech. Sci. Technol. 2008, 22, 2563–2577. [Google Scholar] [CrossRef]
- Zamengo, M.; Yoshida, K.; Morikawa, J. Numerical evaluation of a Carnot battery system comprising a chemical heat storage/pump and a Brayton cycle. J. Energy Storage 2021, 41, 102955. [Google Scholar] [CrossRef]
- Bianchi, G.; Besagni, G.; Tassou, S.A.; Markides, C.N. Overview and outlook of research and innovation in energy systems with carbon dioxide as the working fluid. Appl. Therm. Eng. 2021, 195, 117180. [Google Scholar] [CrossRef]
- He, F.; Liu, X.; Wang, M.; Zhou, S.; Heydarian, D. Energy, exergy, exergoeconomic, and environmental analyses and multi–objective optimization of a biomass–to–energy integrated thermal power plant. Alex. Eng. J. 2022, 61, 5629–5648. [Google Scholar] [CrossRef]
- Fan, G.; Du, Y.; Li, H.; Dai, Y. Off–design behavior investigation of the combined supercritical CO2 and organic Rankine cycle. Energy 2021, 237, 121529. [Google Scholar] [CrossRef]
- Zhao, Z.; Shi, X.; Zhang, M.; Ouyang, T. Multi–scale assessment and multi–objective optimization of a novel solid oxide fuel cell hybrid power system fed by bio–syngas. J. Power Sources 2022, 524, 231047. [Google Scholar] [CrossRef]
- Cao, Y.; Li, P.; Qiao, Z.; Ren, S.; Si, F. A concept of a supercritical CO2 Brayton and organic Rankine combined cycle for solar energy utilization with typical geothermal as auxiliary heat source: Thermodynamic analysis and optimization. Energy Rep. 2022, 8, 322–333. [Google Scholar] [CrossRef]
- Baik, S.; Kim, S.G.; Lee, J.; Lee, J.I. Study on CO2—Water printed circuit heat exchanger performance operating under various CO2 phases for S–CO2 power cycle application. Appl. Therm. Eng. 2017, 113, 1536–1546. [Google Scholar] [CrossRef]
- Duffey, R.B.; Pioro, I.L. Experimental heat transfer of supercritical carbon dioxide flowing inside channels (survey). Nucl. Eng. Des. 2005, 235, 913–924. [Google Scholar] [CrossRef]
- Cabeza, L.F.; de Gracia, A.; Fernández, A.I.; Farid, M.M. Supercritical CO2 as heat transfer fluid: A review. Appl. Therm. Eng. 2017, 125, 799–810. [Google Scholar] [CrossRef]
- Fang, X.; Xu, Y.; Su, X.; Shi, R. Pressure drop and friction factor correlations of supercritical flow. Nucl. Eng. Des. 2012, 242, 323–330. [Google Scholar] [CrossRef]
- Huang, D.; Wu, Z.; Sunden, B.; Li, W. A brief review on convection heat transfer of fluids at supercritical pressures in tubes and the recent progress. Appl. Energy 2016, 162, 494–505. [Google Scholar] [CrossRef]
- Cheng, L.; Ribatski, G.; Thome, J.R. Analysis of supercritical CO2 cooling in macro– and micro–channels. Int. J. Refrig. 2008, 31, 1301–1316. [Google Scholar] [CrossRef]
- Rao, N.T.; Oumer, A.N.; Jamaludin, U.K. State–of–the–art on flow and heat transfer characteristics of supercritical CO2 in various channels. J. Supercrit. Fluids 2016, 116, 132–147. [Google Scholar] [CrossRef]
- Li, W.; Yu, Z. Heat exchangers for cooling supercritical carbon dioxide and heat transfer enhancement: A review and assessment. Energy Rep. 2021, 7, 4085–4105. [Google Scholar] [CrossRef]
- Ehsan, M.M.; Guan, Z.; Klimenko, A.Y. A comprehensive review on heat transfer and pressure drop characteristics and correlations with supercritical CO2 under heating and cooling applications. Renew. Sustain. Energy Rev. 2018, 92, 658–675. [Google Scholar] [CrossRef]
- Wang, J.; Guan, Z.; Gurgenci, H.; Sun, Y.; Hooman, K. A comprehensive review on numerical approaches to simulate heat transfer of turbulent supercritical CO2 flows. Numer. Heat Transf. Part B Fundam. 2020, 77, 349–400. [Google Scholar] [CrossRef]
- Xie, J.; Liu, D.; Yan, H.; Xie, G.; Boetcher, S.K.S. A review of heat transfer deterioration of supercritical carbon dioxide flowing in vertical tubes: Heat transfer behaviors, identification methods, critical heat fluxes, and heat transfer correlations. Int. J. Heat Mass Transf. 2020, 149, 119223. [Google Scholar] [CrossRef]
- Huang, D.; Li, W. A brief review on the buoyancy criteria for supercritical fluids. Appl. Therm. Eng. 2018, 131, 977–987. [Google Scholar] [CrossRef]
- Liao, S.M.; Zhao, T.S. Measurements of Heat Transfer Coefficients from Supercritical Carbon Dioxide Flowing in Horizontal Mini/Micro Channels. J. Heat Transf. 2002, 124, 413–420. [Google Scholar] [CrossRef]
- Pitla, S.S.; Groll, E.A.; Ramadhyani, S. New correlation to predict the heat transfer coefficient during in–tube cooling of turbulent supercritical CO2. Int. J. Refrig. 2002, 25, 887–895. [Google Scholar] [CrossRef]
- Yoon, S.H.; Kim, J.H.; Hwang, Y.W.; Kim, M.S.; Min, K.; Kim, Y. Heat transfer and pressure drop characteristics during the in–tube cooling process of carbon dioxide in the supercritical region. Int. J. Refrig. 2003, 26, 857–864. [Google Scholar] [CrossRef]
- Dang, C.; Hihara, E. In–tube cooling heat transfer of supercritical carbon dioxide. Part 1. Experimental measurement. Int. J. Refrig. 2004, 27, 736–747. [Google Scholar] [CrossRef]
- Kuang, G.; Ohadi, M.M.; Zhao, Y. Experimental study on gas cooling heat transfer for supercritical CO2 in microchannels. In Proceedings of the International Conference on Nanochannels, Microchannels, and Minichannels, Rochester, NY, USA, 17–19 July 2004; pp. 325–332. [Google Scholar]
- Huai, X.L.; Koyama, S.; Zhao, T.S. An experimental study of flow and heat transfer of supercritical carbon dioxide in multi–port mini channels under cooling conditions. Chem. Eng. Sci. 2005, 60, 3337–3345. [Google Scholar] [CrossRef]
- Son, C.-H.; Park, S.-J. An experimental study on heat transfer and pressure drop characteristics of carbon dioxide during gas cooling process in a horizontal tube. Int. J. Refrig. 2006, 29, 539–546. [Google Scholar] [CrossRef]
- Bruch, A.; Bontemps, A.; Colasson, S. Experimental investigation of heat transfer of supercritical carbon dioxide flowing in a cooled vertical tube. Int. J. Heat Mass Transf. 2009, 52, 2589–2598. [Google Scholar] [CrossRef]
- Jiang, P.X.; Zhao, C.R.; Shi, R.F.; Chen, Y.; Ambrosini, W. Experimental and numerical study of convection heat transfer of CO2 at super–critical pressures during cooling in small vertical tube. Int. J. Heat Mass Transf. 2009, 52, 4748–4756. [Google Scholar] [CrossRef]
- Jing, L.; Weifeng, W.; Chuanyu, Z.; Huizhong, Z.; Guoqing, Y. An Experimental Study on Convective Heat Transfer of Supercritical Carbon Dioxide. In Proceedings of the 2009 International Conference on Energy and Environment Technology, Guilin, China, 16–18 October 2009; pp. 18–22. [Google Scholar] [CrossRef]
- Oh, H.K.; Son, C.H. New correlation to predict the heat transfer coefficient in–tube cooling of supercritical CO2 in horizontal macro–tubes. Exp. Therm. Fluid Sci. 2010, 34, 1230–1241. [Google Scholar] [CrossRef]
- Van Eldik, M.; Harris, P.M.; Kaiser, W.H.; Rousseau, P.G. Theoretical and experimental analysis of supercritical carbon dioxide cooling. In Proceedings of the 15th International Refrigerator and Air Condition Conference, West Lafayette, ID, USA, 14–17 July 2014; p. 1360. [Google Scholar]
- Liu, Z.B.; He, Y.L.; Yang, Y.F.; Fei, J.Y. Experimental study on heat transfer and pressure drop of supercritical CO2 cooled in a large tube. Appl. Therm. Eng. 2014, 70, 307–315. [Google Scholar] [CrossRef]
- Ding, T.; Li, Z. Research on convection heat transfer character of super critical carbon dioxide flows inside horizontal tube. Int. J. Heat Mass Transf. 2016, 92, 665–674. [Google Scholar] [CrossRef]
- Ma, T.; Chu, W.X.; Xu, X.Y.; Chen, Y.T.; Wang, Q.W. An experimental study on heat transfer between supercritical carbon dioxide and water near the pseudo–critical temperature in a double pipe heat exchanger. Int. J. Heat Mass Transf. 2016, 93, 379–387. [Google Scholar] [CrossRef]
- Zhang, G.W.; Hu, P.; Chen, L.X.; Chen, L.X.; Liu, M.H. Experimental and simulation investigation on heat transfer characteristics of in–tube supercritical CO2 cooling flow. Appl. Therm. Eng. 2018, 143, 1101–1113. [Google Scholar] [CrossRef]
- Lei, Y.; Xu, B.; Chen, Z. Experimental investigation on cooling heat transfer and buoyancy effect of supercritical carbon dioxide in horizontal and vertical micro–channels. Int. J. Heat Mass Transf. 2021, 181, 121792. [Google Scholar] [CrossRef]
- Wahl, A.; Mertz, R.; Laurien, E.; Starflinger, J. Heat transfer correlation for sCO2 cooling in a 2 mm tube. J. Supercrit. Fluids 2021, 173, 105221. [Google Scholar] [CrossRef]
- Li, H.; Kruizenga, A.; Anderson, M.; Corradini, M.; Luo, Y.; Wang, H.; Li, H. Development of a new forced convection heat transfer correlation for CO2 in both heating and cooling modes at supercritical pressures. Int. J. Therm. Sci. 2011, 50, 2430–2442. [Google Scholar] [CrossRef]
- Li, H.; Zhang, Y.; Zhang, L.; Yao, M.; Kruizenga, A.; Anderson, M. PDF–based modeling on the turbulent convection heat transfer of supercritical CO2 in the printed circuit heat exchangers for the supercritical CO2 Brayton cycle. Int. J. Heat Mass Transf. 2016, 98, 204–218. [Google Scholar] [CrossRef]
- Chu, W.X.; Li, X.H.; Ma, T.; Chen, Y.T.; Wang, Q.W. Experimental investigation on S CO2–water heat transfer characteristics in a printed circuit heat exchanger with straight channels. Int. J. Heat Mass Transf. 2017, 113, 184–194. [Google Scholar] [CrossRef]
- Chu, W.; Li, X.; Chen, Y.; Wang, Q.; Ma, T. Experimental Study on Small Scale Printed Circuit Heat Exchanger with Zigzag Channels. Heat Transf. Eng. 2020, 42, 723–735. [Google Scholar] [CrossRef]
- Liu, S.H.; Huang, Y.P.; Wang, J.F.; Liu, R.L.; Zang, J.G. Experimental study of thermal–hydraulic performance of a printed circuit heat exchanger with straight channels. Int. J. Heat Mass Transf. 2020, 160, 120109. [Google Scholar] [CrossRef]
- Park, J.H.; Kwon, J.G.; Kim, T.H.; Kim, M.H.; Cha, J.E.; Jo, H. Experimental study of a straight channel printed circuit heat exchanger on supercritical CO2 near the critical point with water cooling. Int. J. Heat Mass Transf. 2020, 150, 119364. [Google Scholar] [CrossRef]
- Wang, K.Z.; Xu, X.X.; Liu, C.; Bai, W.J.; Dang, C.B. Experimental and numerical investigation on heat transfer characteristics of supercritical CO2 in the cooled helically coiled tube. Int. J. Heat Mass Transf. 2017, 108, 1645–1655. [Google Scholar] [CrossRef]
- Xu, X.; Zhang, Y.; Liu, C.; Zhang, S.; Dang, C. Experimental investigation of heat transfer of supercritical CO2 cooled in helically coiled tubes based on exergy analysis. Int. J. Refrig. 2018, 89, 177–185. [Google Scholar] [CrossRef]
- Liu, X.; Xu, X.; Liu, C.; He, J.; Dang, C. The effect of geometry parameters on the heat transfer performance of supercritical CO2 in horizontal helically coiled tube under the cooling condition. Int. J. Refrig. 2019, 106, 650–661. [Google Scholar] [CrossRef]
- Lee, H.S.; Kim, H.J.; Yoon, J.I.; Choi, K.H.; Son, C.H. The cooling heat transfer characteristics of the supercritical CO2 in micro–fin tube. Heat Mass Transf. 2012, 49, 173–184. [Google Scholar] [CrossRef]
- Yu, P.Y.; Lin, W.K.; Wang, C.C. Performance evaluation of a tube–in–tube CO2 gas cooler used in a heat pump water heater. Exp. Therm. Fluid Sci. 2014, 54, 304–312. [Google Scholar] [CrossRef]
- Yang, C.Y.; Liao, K.C. Effect of Experimental Method on the Heat Transfer Performance of Supercritical Carbon Dioxide in Microchannel. J. Heat Transf. 2017, 139, 112404. [Google Scholar] [CrossRef]
- Zhu, Y.; Huang, Y.; Lin, S.; Li, C.; Jiang, P. Study of convection heat transfer of CO2 at supercritical pressures during cooling in fluted tube–in–tube heat exchangers. Int. J. Refrig. 2019, 104, 161–170. [Google Scholar] [CrossRef]
- Bin, D.; Jing, L.V.; Congxu, Y.I.N.; Na, Q.I.N.; Yaping, D.U. Experimental Study of Heat Transfer to Supercritical Carbon Dioxide in a Horizontal Tube. Fluid Mach. 2006, 34, 57–61. [Google Scholar]
- Huai, X.L.; Shigeru, K. Heat transfer and pressure drop of supercritical carbon dioxide in multi–port channels. J. Eng. Thermophys. 2004, 25, 843–845. [Google Scholar]
- Lv, J.; Fu, M.; Qin, N.; Dong, B. Experimental Study on Heat Transfer Characteristics of Supercritical Carbon Dioxide in Horizontal Tube. J. Refrig. 2007, 28, 8–11. [Google Scholar] [CrossRef]
- Lian, J.; Xu, D.; Chang, H.; Xu, Z.; Lu, X.; Wang, Q.; Ma, T. Thermal and mechanical performance of a hybrid printed circuit heat exchanger used for supercritical carbon dioxide Brayton cycle. Energy Convers. Manag. 2021, 245, 114573. [Google Scholar] [CrossRef]
- Wang, Q.; Xu, B.; Huang, X.; Chen, Q.; Wang, H. Heat transfer and flow characteristics of straight–type PCHEs with rectangular channels of different widths. Nucl. Eng. Des. 2022, 391, 111734. [Google Scholar] [CrossRef]
- Xu, X.; Liu, C.; Dang, C.; Wu, Y.; Liu, X. Experimental investigation on heat transfer characteristics of supercritical CO2 cooled in horizontal helically coiled tube. Int. J. Refrig. 2016, 67, 190–201. [Google Scholar] [CrossRef]
- Saeed, M.; Ali Awais, A.; Berrouk, A.S. CFD aided design and analysis of a precooler with zigzag channels for supercritical CO2 power cycle. Energy Convers. Manag. 2021, 236, 114029. [Google Scholar] [CrossRef]
- Yang, M. Numerical study of the heat transfer to carbon dioxide in horizontal helically coiled tubes under supercritical pressure. Appl. Therm. Eng. 2016, 109, 685–696. [Google Scholar] [CrossRef]
- Yu, Z.; Tao, L.; Huang, L.; Wang, D. Numerical investigation on cooling heat transfer and flow characteristic of supercritical CO2 in spirally fluted tubes. Int. J. Heat Mass Transf. 2020, 163, 120399. [Google Scholar] [CrossRef]
- Lei, Y.; Chen, Z. Numerical study on cooling heat transfer and pressure drop of supercritical CO2 in wavy microchannels. Int. J. Refrig. 2018, 90, 46–57. [Google Scholar] [CrossRef]
- Pitla, S.; Groll, E.; Ramadhyani, S. Convective Heat Transfer from In–Tube Flow of Turbulent Supercritical Carbon Dioxide: Part 1—Numerical Analysis. HVAC&R Res. 2001, 7, 345–366. [Google Scholar]
- Dang, C.; Hihara, E. In–tube cooling heat transfer of supercritical carbon dioxide. Part 2. Comparison of numerical calculation with different turbulence models. Int. J. Refrig. 2004, 27, 748–760. [Google Scholar] [CrossRef]
- Dang, C.; Hihara, E. Numerical study on in–tube laminar heat transfer of supercritical fluids. Appl. Therm. Eng. 2010, 30, 1567–1573. [Google Scholar] [CrossRef]
- Du, Z.; Lin, W.; Gu, A. Numerical investigation of cooling heat transfer to supercritical CO2 in a horizontal circular tube. J. Supercrit. Fluids 2010, 55, 116–121. [Google Scholar] [CrossRef]
- Cao, X.L.; Rao, Z.H.; Liao, S.M. Laminar convective heat transfer of supercritical CO2 in horizontal miniature circular and triangular tubes. Appl. Therm. Eng. 2011, 31, 2374–2384. [Google Scholar] [CrossRef]
- Tanahashi, M.; Tominaga, Y.; Shimura, M.; Hashimoto, K.; Miyauchi, T. DNS of Supercritical Carbon Dioxide Turbulent Channel Flow. In Progress in Wall Turbulence: Understanding and Modeling; Springer: Dordrecht, The Netherlands, 2011; pp. 429–436. [Google Scholar]
- Du, Z.; Lin, W.; Gu, J. Numerical Investigation for Heat Transfer of Supercritical CO2 Cooled in a Vertical Circular Tube. Heat Transf. Eng. 2012, 33, 905–911. [Google Scholar] [CrossRef]
- Yang, F.Y.; Wang, K.; Liu, T.; Wang, Y.Q.; Liu, Z.C. Convection Heat Transfer of CO2 at Supercritical Pressures in Microtubes. Chem. Eng. Technol. 2013, 36, 2051–2056. [Google Scholar] [CrossRef]
- Yang, C.; Xu, J.; Wang, X.; Zhang, W. Mixed convective flow and heat transfer of supercritical CO2 in circular tubes at various inclination angles. Int. J. Heat Mass Transf. 2013, 64, 212–223. [Google Scholar] [CrossRef]
- Rao, Z.; Liao, S. A numerical investigation of turbulent convective heat transfer of supercritical CO2 in vertical mini tubes. Prog. Comput. Fluid Dyn. Int. J. 2014, 14, 166–176. [Google Scholar] [CrossRef]
- Zhao, Z.; Che, D. Numerical Investigation of Conjugate Heat Transfer to Supercritical CO2 in a Vertical Tube–in–Tube Heat Exchanger. Numer. Heat Transf. Part A Appl. 2014, 67, 857–882. [Google Scholar] [CrossRef]
- Yang, M. Numerical study of the characteristic influence of the helically coiled tube on the heat transfer of carbon dioxide. Appl. Therm. Eng. 2016, 102, 882–896. [Google Scholar] [CrossRef]
- Yang, M. Numerical Study on the Heat Transfer of Carbon Dioxide in Horizontal Straight Tubes under Supercritical Pressure. PLoS ONE 2016, 11, e0159602. [Google Scholar] [CrossRef] [PubMed]
- Pandey, S.; Chu, X.; Laurien, E. Investigation of in–tube cooling of carbon dioxide at supercritical pressure by means of direct numerical simulation. Int. J. Heat Mass Transf. 2017, 114, 944–957. [Google Scholar] [CrossRef]
- Pandey, S.; Chu, X.; Laurien, E.; Weigand, B. Buoyancy induced turbulence modulation in pipe flow at supercritical pressure under cooling conditions. Phys. Fluids 2018, 30, 65105. [Google Scholar] [CrossRef]
- Xiang, M.; Guo, J.; Huai, X.; Cui, X. Thermal analysis of supercritical pressure CO2 in horizontal tubes under cooling condition. J. Supercrit. Fluids 2017, 130, 389–398. [Google Scholar] [CrossRef]
- Wang, J.; Guan, Z.; Gurgenci, H.; Veeraragavan, A.; Kang, X.; Sun, Y.; Hooman, K. Numerical study on cooling heat transfer of turbulent supercritical CO2 in large horizontal tubes. Int. J. Heat Mass Transf. 2018, 126, 1002–1019. [Google Scholar] [CrossRef]
- Wang, X.; Xiang, M.; Huo, H.; Liu, Q. Numerical study on nonuniform heat transfer of supercritical pressure carbon dioxide during cooling in horizontal circular tube. Appl. Therm. Eng. 2018, 141, 775–787. [Google Scholar] [CrossRef]
- Chai, L.; Tassou, S.A. Effect of cross–section geometry on the thermohydraulic characteristics of supercritical CO2 in minichannels. Energy Procedia 2019, 161, 446–453. [Google Scholar] [CrossRef]
- Diao, L.; Chen, Y.; Li, Y. Nonuniform heat transfer of supercritical pressure carbon dioxide under turbulent cooling condition in circular tubes at various inclination angles. Nucl. Eng. Des. 2019, 352, 110153. [Google Scholar] [CrossRef]
- Guo, J.; Xiang, M.; Zhang, H.; Huai, X.; Cheng, K.; Cui, X. Thermal–hydraulic characteristics of supercritical pressure CO2 in vertical tubes under cooling and heating conditions. Energy 2019, 170, 1067–1081. [Google Scholar] [CrossRef]
- Ren, Z.; Zhao, C.R.; Jiang, P.X.; Bo, H.L. Investigation on local convection heat transfer of supercritical CO2 during cooling in horizontal semicircular channels of printed circuit heat exchanger. Appl. Therm. Eng. 2019, 157, 113697. [Google Scholar] [CrossRef]
- Wang, J.; Li, J.; Gurgenci, H.; Veeraragavan, A.; Kang, X.; Hooman, K. Computational investigations on convective flow and heat transfer of turbulent supercritical CO2 cooled in large inclined tubes. Appl. Therm. Eng. 2019, 159, 113922. [Google Scholar] [CrossRef]
- Zhang, H.; Guo, J.; Huai, X.; Cui, X. Thermodynamic performance analysis of supercritical pressure CO2 in tubes. Int. J. Therm. Sci. 2019, 146, 106102. [Google Scholar] [CrossRef]
- Ren, Z.; Zhang, L.; Zhao, C.-R.; Jiang, P.X.; Bo, H.L. Local Flow and Heat Transfer of Supercritical CO2 in Semicircular Zigzag Channels of Printed Circuit Heat Exchanger during Cooling. Heat Transf. Eng. 2020, 42, 1889–1913. [Google Scholar] [CrossRef]
- Yu, Z.; Tao, L.; Huang, L.; Wang, D.; Zhang, S.; Yu, Q.; Li, M. Numerical investigation on cooling heat transfer and flow characteristics of supercritical CO2 in spirally fluted tube at various inclination angles. Int. J. Therm. Sci. 2021, 166, 106916. [Google Scholar] [CrossRef]
- Yang, M.; Li, G.; Liao, F.; Li, J.; Zhou, X. Numerical study of characteristic influence on heat transfer of supercritical CO2 in helically coiled tube with non–circular cross section. Int. J. Heat Mass Transf. 2021, 176, 121511. [Google Scholar] [CrossRef]
- Asinari, P. Numerical prediction of turbulent convective heat transfer in mini/micro channels for carbon dioxide at supercritical pressure. Int. J. Heat Mass Transf. 2005, 48, 3864–3879. [Google Scholar] [CrossRef][Green Version]
- Rao, Z.H.; Liao, S.M. Numerical solution of mixed convective heat transfer of supercritical carbon dioxide in horizontal mini tubes. J. Therm. Sci. Technol. 2005, 4, 113–117. [Google Scholar]
- Rao, Z.H.; Liao, S.M. Numerical Simulation on Laminar Convection of Supercritical Carbon Dioxide in Horizontal Triangular Mini Ducts. J. Refrig. 2006, 27, 43–47. [Google Scholar]
- Wang, J.; Guan, Z.; Gurgenci, H.; Veeraragavan, A.; Kang, X.; Hooman, K. A computationally derived heat transfer correlation for in–tube cooling turbulent supercritical CO2. Int. J. Therm. Sci. 2019, 138, 190–205. [Google Scholar] [CrossRef]
- Yang, C.Y.; Xu, J.L.; Wang, X.D.; Zhang, W. Numerical simulation of laminar mixed convection heat transfer of supercritical carbon dioxide in horizontal tube. Cryogenics 2012, 4, 24–29. [Google Scholar]
- Zhang, L.N.; Liu, M.S.; Dong, Q.W. A computational study of cooling heat transfer of supercritical carbon dioxide in mini–tube. J. Eng. Thermophys. 2010, 31, 473–476. [Google Scholar]
- Dong, Q.W.; Cao, K.; Liu, M.S.; Zhang, L.N. Numerical Study of Convection Heat Transfer of Supercritical CO2 in a Vertical Mini–tube. J. Zhengzhou Univ. Eng. Sci. 2010, 31, 5–8, 17. [Google Scholar]
- Cao, K.; Dong, Q.W.; Liu, M.S.; Zhang, L.N. Numerical study of cooling convection heat transfer of supercritical CO2. Cryogenics 2012, 56–60. [Google Scholar]
- Zhao, C.-R.; Jiang, P.X. Convection heat transfer of CO2 at supercritical pressures in tube during cooling. J. Eng. Thermophys. 2009, 1, 456–460. [Google Scholar]
- Kruizenga, A.; Li, H.; Anderson, M.; Corradini, M. Supercritical Carbon Dioxide Heat Transfer in Horizontal Semicircular Channels. J. Heat Transf. 2012, 134, 81802. [Google Scholar] [CrossRef]
- Kruizenga, A.; Anderson, M.; Fatima, R.; Corradini, M.; Towne, A.; Ranjan, D. Heat Transfer of Supercritical Carbon Dioxide in Printed Circuit Heat Exchanger Geometries. J. Therm. Sci. Eng. Appl. 2011, 3, 31002. [Google Scholar] [CrossRef]
- Xu, X.X.; Wu, Y.Y.; Liu, C.; Wang, K.Z.; Ye, J. Numerical study of cooling heat transfer of supercritical carbon dioxide in a horizontal helically coiled tube. Acta Phys. Sin. 2015, 64, 54401. [Google Scholar]
- Yu, Z.; Tao, L.; Zhang, S.; Li, M. Numerical and experimental investigation on cooling heat transfer and flow characteristics of supercritical CO2 in spirally fluted tubes. Int. J. Therm. Sci. 2022, 37, 107–116. [Google Scholar]
- Li, M.; Tao, L.-R.; Yu, Z.-Y.; Yu, Q. Numerical Investigation on Cooling and Heat Transfer of Supercritical CO2 in Horizontal Spiral Groove Tubes. J. Eng. Therm. Energy Power 2021, 36, 51–59. [Google Scholar]
- Li, M.; Tao, L.-R.; Yu, Z.-Y.; Yu, Q. Numerical simulation of supercritical CO2 cooling heat transfer in different heat exchange tube. Chem. Eng. 2021, 49, 54–58. [Google Scholar]
- Lei, Y.; Chen, Z. Cooling heat transfer and pressure drop of supercritical CO2 in wavy microchannels with consistent and opposite crests and troughs. Int. J. Refrig. 2020, 109, 64–81. [Google Scholar] [CrossRef]
- He, S.; Kim, W.S.; Jiang, P.X.; Jackson, J.D. Simulation of mixed convection heat transfer to carbon dioxide at supercritical pressure. Proc. Inst. Mech. Eng. Part C J. Mech. Eng. Sci. 2004, 218, 1281–1296. [Google Scholar] [CrossRef]
- Pucciarelli, A.; Ambrosini, W. Fluid–to–fluid scaling of heat transfer phenomena with supercritical pressure fluids: Results from RANS analyses. Ann. Nucl. Energy 2016, 92, 21–35. [Google Scholar] [CrossRef]
- Bae, J.H.; Yoo, J.Y.; Choi, H. Direct numerical simulation of turbulent supercritical flows with heat transfer. Phys. Fluids 2005, 17, 105104. [Google Scholar] [CrossRef]
- He, J.; Tian, R.; Jiang, P.X.; He, S. Turbulence in a heated pipe at supercritical pressure. J. Fluid Mech. 2021, 920, A45. [Google Scholar] [CrossRef]
- Kuang, G.; Ohadi, M.; Dessiatoun, S. Semi–Empirical Correlation of Gas Cooling Heat Transfer of Supercritical Carbon Dioxide in Microchannels. HVAC&R Res. 2008, 14, 861–870. [Google Scholar]
- Fang, X.; Xu, Y. Modified heat transfer equation for in–tube supercritical CO2 cooling. Appl. Therm. Eng. 2011, 31, 3036–3042. [Google Scholar] [CrossRef]















| References | Pipe Types and Material | Tube Diameter ID (mm) | Tube Length L (mm) | Inlet Temperature T (°C) | Inlet Pressure p (MPa) | Mass Flux G (kg/m2. s) | Flow Form |
|---|---|---|---|---|---|---|---|
| Liao and Zhao [22] | circular tube, stainless steel (SS) | 0.50–2.16 | 110 | 20–110 | 7.4–12 | 0.02–0.2 kg/min | forced |
| Pitla et al. [23] | circular tube, SS | 4.72 | 1300/1800 | 120 | 8–12 | 1143–2228.9 | – |
| Yoon et al. [24] | circular tube, copper | 7.73 | 1000 | 50–80 | 7.5–8.8 | 225–450 | forced |
| Dang and Hihara [25] | circular tube, copper | 1–6 | 475 | 30–70 | 8–10 | 200–1200 | – |
| Kuang et al. [26] | circular tube, SS | 0.79 | 635 | 25–45 | 8–10 | 300–1200 | forced |
| Huai et al. [27] | circular tube, aluminum | 1.31 | 500 | 22–53 | 7.4–8.5 | 113.7–418.6 | forced |
| Son and Park [28] | circular tube, SS | 7.75 | 6000 | 90–100 | 7.5–10 | 200–400 | – |
| Bruch et al. [29] | circular tube, copper | 6 | 750 | 15–70 | 7.4–12 | 50–590 | mixed |
| Jiang et al. [30] | circular tube, SS | 2 | 150 | 55–70 | 7.8–9.8 | Re = 434,069,108,640 | mixed |
| Lv et al. [31] | circular tube, SS | 3.8 | 1600 | 76.3–93.6 | 8–10 | 300–800 | – |
| Oh and Son [32] | circular tube, SS | 4.55/7.75 | 4000/6000 | 90–100 | 7.5–10 | 200–600 | forced |
| Eldik et al. [33] | circular tube, SS | 16 | – | 90–120 | 8–11 | Re = 350,000–680,000 | forced |
| Liu et al. [34] | circular tube, copper | 4–10.7 | 1200 | 25–67 | 7.5–8.5 | 74.1–795.8 | – |
| Ding and Li [35] | circular tube, SS | 7.5 | 3000 | 29–55 | 8–10 | 880.3–1383.3 | – |
| Ma et al. [36] | circular tube, SS | 12 | 1500 | 50–70 | 8–10 | 491–823 | mixed |
| Zhang et al. [37] | circular tube, SS | 4.12–9.44 | 1000 | 70 | 8–9 | 160–320 | mixed |
| Lei et al. [38] | circular tube, SS | 1 | 1200 | 34.41–42.09 | 7.5–8.2 | 467.9–907.9 | mixed |
| Wahl et al. [39] | circular tube, SS | 2 | 1200 | 10–85 | 7.7–8.5 | 400–1300 | forced |
| Li et al. [40,41] | semi–circular channel, SS | 1.17 (hydraulic diameter) | 500 | 10–90 | 7.5–10 | 326–762 | forced |
| Baik et al. [10] | semi–circular zigzag channel, SS | 1.8 (hydraulic diameter) | 200 | 26–43 | 7.3–8.6 | Re = 15,000–100,000 | forced |
| Chu et al. [42] | semi–circular channel, SS | 1.4 | 150 | 36.85–101.85 | 8–11 | 150–650 kg/h | mixed |
| Chu et al. [43] | semi–circular zigzag channel, SS | 2.8 | 100 | 43.2–65.9 | 8–11 | 200–430 kg/h | mixed |
| Liu et al. [44] | semi–circular channel, SS | 1.14 (hydraulic diameter) | 1300 | 26.4–121.27 | 7.53–11.97 | 50.03–780.11 | – |
| Park et al. [45] | semi–circular channel, SS | 1.2 | 640 | 44–70 | 7.5–8.5 | Re = 10,000–14,400 | – |
| Wang et al. [46] | helically coiled tube, copper | 4 | 500 | 47.05 | 8.0042–9.0072 | 159–318.2 | mixed |
| Xu et al. [47] | helically coiled tube, copper | 2–5 | 560 | 21.85–56.85 | 8–9 | 159.1–954.9 | – |
| Liu et al. [48] | helically coiled tube, copper | 2–4 | – | 20–50 | 7.5–9 | 79.6–1273.2 | forced |
| Lee et al. [49] | micro–fin tube, copper | 4.6 | 2400 | 100 | 8–10 | 1200–2000 | forced |
| Yu et al. [50] | spiral circular tube, copper | 6.34 | 13,000 | 59–94.5 | 7.6–9.6 | 395.9–471.9 | – |
| Yang and Liao [51] | square duct, Aluminum | 0.5 × 0.5 | 675 | 55 | 7.5 | 50–450 | – |
| Zhu et al. [52] | fluted tube, copper | 8.02–12.57 | 1200 | 45–85 | 8.2–11.2 | Re = 13,000–42,000 | – |
| References | Channel Configuration | Tube Diameter D (mm) | Inlet Temperature T (°C) | Inlet Pressure p (MPa) | Inlet Reynolds Number | Turbulence Model | Boundary Conditions |
|---|---|---|---|---|---|---|---|
| Lei and Chen [62] | Wavy microchannel | 1.31 (hydraulic diameter) | 36.85–51.85 | 7–9 | 127.1–400 kg/m2. s | 9 turbulence models | Constant heat flux: −9–−40 kW/m2 |
| Pitla et al. [63] | Circular tube | 4.52 | 121.85 | 10 | 3.2 × 105 | Nikuradse’s mixing length model and the K equation turbulence model | Constant wall temperature: 29.85 °C |
| Dang and Hihara [64] | Circular tube | 6 | 65 | 8 | 4 × 104–105 | BR, JL, LS, MK | Constant heat flux: −6–−33 kW/m2 |
| Han et al. [3] | Square duct | 0.5 × 0.5 | 100 | 10 | 105 | Elliptic−blending equation | Constant heat flux: −10–−40 kW/m2 |
| Jiang et al. [30] | Circular tube | 2 | 70 | 8.8 | 4216/4340 | RNG k–ε, YS, AKN, LB | Conjugated heat transfer |
| Dang and Hihara [65] | Circular tube | 0.2 | 170 | 8 | 50–100 kg/m2. s | Laminar flow | Constant heat flux: −1–−2 kW/m2 |
| Du et al. [66] | Circular tube | 6 | 56.85 | 8 | 200 kg/m2. s | k–ε, RNG k–ε, RSM, AB, LB, LS, YS, AKN, CHC | Constant heat flux: −6–−33 kW/m2 |
| Cao et al. [67] | Circular/Triangular | 0.5 | 120 | 8 | 1866 | Laminar flow | Constant wall temperature: 25 °C |
| Li et al. [40,41] | Semi−circular channel | 1.9 | 10–90 | 7.5–10 | 326–762 kg/m2. s | SST k–ω | a piecewise linear temperature distribution |
| Tanahashi et al. [68] | channel | – | – | 8 | Reτ = 180 | DNS | Constant wall temperature: 36 °C |
| Du et al. [69] | Circular tube, vertical | 6 | 56.85 | 8 | 60,000 | LB | Constant heat flux: −6–−33 kW/m2 |
| Yang et al. [70] | Circular tube | 0.4 | 70 | 8.5 | 10,000 | LB | Conjugated heat transfer |
| Yang et al. [71] | Circular tube | 0.5 | 120 | 8 | 1.6 × 10−5 kg/s | Laminar flow | Constant wall temperature: 23 °C |
| Rao and Liao [72] | Circular tube, vertical | 1.4 | 120 | 8 | 11,650 | Standard k–ε | Constant wall temperature: 25 °C |
| Zhao and Che [73] | Circular tube, vertical | 1–5 | 200–500 | 7.58 | 100–600 kg/m2. s | AKN, V2F, YS | Conjugated heat transfer |
| Yang [74] | helically coiled tube | 4 | 73 | 8 | 250 kg/m2. s | RNG k–ε | Constant heat flux: −30 kW/m2 |
| Yang [75] | Circular tube | 6–27 | 56.85 | 8 | 200 kg/m2. s | 13 turbulence models | Constant heat flux: −33 kW/m2 |
| Pandey [76,77] | Circular tube, vertical | 2 | 58.9 | 8/8.8 | 5400 | DNS | Constant heat flux: −30.87/−61.74 kW/m2 |
| Baik et al. [10] | semi–circular zigzag channel | 1.8 | 26–43 | 7.3–8.6 | 15,000–100,000 | Standard k–ε | Conjugated heat transfer |
| Wang et al. [46] | helically coiled tube | 4 | 320.2 | 8.0091 | 239.2 kg/m2. s | SST k–ω | Constant heat flux: −13.3/−18 kW/m2 |
| Xiang et al. [78] | Circular tube | 2–6 | 67 | 8 | 30,000 | SST k–ω | Constant heat flux: −35/−45 kW/m2 |
| Wang et al. [79] | Circular tube | 15.75–24.36 | 65 | 8 | 3.83 × 105 | RNG k–ε, YS, AKN, LS | Constant heat flux: −10–−36 kW/m2 |
| Wang et al. [80] | Circular tube | 6 | 56.85–76.85 | 8–10 | 200 kg/m2. s | Standard k–ε | Conjugated heat transfer |
| Zhang et al. [37] | Circular tube | 4.12–9.44 | 70 | 8–9 | 160–320 kg/m2. s | Standard k–ε | Constant heat flux: −34.5–−105.4 kW/m2 |
| Chai and Tassou [81] | 6 different cross–section geometries | 1.22 (hydraulic diameter) | 120 | 7.5/15 | 2 m/s | Standard k–ε | Constant heat flux: −100–−300 kW/m2 |
| Diao et al. [82] | Circular tube, inclined | 6 | 56.85/66.85 | 8–10 | 200 kg/m2. s | LB | Constant heat flux: −33–−42 kW/m2 |
| Guo et al. [83] | Circular tube, vertical | 2/6 | 40–70 | 8 | 200–1500 kg/m2. s | SST k–ω with TWL | Constant heat flux: −40/−60 kW/m2 |
| Liu et al. [48] | helically coiled tube | 2–4 | 20–55 | 7.5–9 | 0.001–0.004 kg/s | SST k–ω | Constant heat flux: −9/−39.9 kW/m2 |
| Ren et al. [84] | Semi−circular channel | 2.8 | 40–100 | 7.5/8.1 | 200–800 kg/m2. s | SST k–ω | Conjugated heat transfer |
| Wang et al. [85] | Circular tube, inclined | 20 | 65 | 8 | 223/382.2 kg/m2. s | AKN | Constant heat flux: −10–−36 kW/m2 |
| Zhang et al. [86] | 6 different cross–section geometries | 1.16 (hydraulic diameter) | 39.85–91.85 | 8.1–20 | 3000–18,000 | SST k–ω | Constant heat flux: −20/−33 kW/m2 |
| Ren et al. [87] | semi–circular zigzag channel | 1.9 | 40–100 | 7.5/8.1 | 400–800 kg/m2. s | SST k–ω | Conjugated heat transfer |
| Yu et al. [61,88] | spirally fluted tube | 11.06 | 50 | 8 | 35,000 | RNG k–ε | Constant heat flux: −52–−60 kW/m2 |
| Saeed et al. [59] | semi–circular zigzag channel | 1.106 | 70–110 | 8 | 0.5–1.25 g/s | SST k–ω | Conjugated heat transfer |
| Yang et al. [89] | helically coiled tube | 4 | 73 | 8 | 250 kg/m2. s | RNG k–ε with EWT | Constant heat flux: −30 kW/m2 |
| References | Correlations | Applied Range | Relative Error |
|---|---|---|---|
| Liao and Zhao [22] | .2 kg/min, 10−5 < Gr/Reb2 < 10−2 0.50 < d < 2.16 mm | ±18.9% | |
| Pitla et al. [23] | – | ±20% | |
| Yoon et al. [24] | – | ±12.7% | |
| Dang and Hihara [25] | – | ±20% | |
| Kuang et al. [26,110] | 8 ≤ P ≤ 10 MPa, 300 ≤ G ≤ 1200 kg/m2 | ±20% | |
| Huai et al. [27] | 7.4 ≤ P ≤ 8.5 MPa, 22 ≤ Tr ≤ 53 °C, 113.7 ≤ G ≤ 418.6 kg/m2 s, −0.8 ≤ q ≤ −9 kW/m2 | ±30% | |
| Son and Park [28] | – | ±17.62% | |
| Han et al. [3] | – | – | |
| Bruch et al. [29] | – | ±30% | |
| Dang and Hihara [65] | – | – | |
| Oh and Son [32] | – | ±14.1% | |
| Fang et al. [111] | – | ±10% | |
| Li et al. [40] | – | ±25% | |
| Kruizenga et al. [40,99] | – | ±19% | |
| Lee et al. [49] | ±16.58% | ||
| Liu et al. [34] | – | ±15% | |
| Ding and Li [35] | 1.2 × 105 ≤ Re ≤ 4.97 × 105, 1.80 ≤ Pr ≤ 13.16 | ±15% | |
| Ma et al. [36] | 8 × 104 < Re < 4.9 × 105, 11 < Pr < 130 | ±30% | |
| Baik et al. [10] | 15,000 < Re < 85,000 | ±7% | |
| Chu et al. [42] | 30,000 < Re < 60,000, Tw ≈ Tpc 30,000 < Re < 70,000, Tw > Tpc | ±5.2% | |
| Wang et al. [46] | 8.0091 < P < 9.0026 MPa, 870.0 < Re(a/R)0.5 < 5281, 4.20 < q < 24.3 kW/m2 | ±15% | |
| Zhang et al. [37] | – | ±20% | |
| Liu et al. [48] | 7.5 < P < 9 MPa, 1169 < Re(d/D)0.5 < 21,410, 9 < q < 39.9 kW/m2 | ±20% | |
| Ren et al. [84] | under forced convection conditions: 1.1 × 104 < Reb < 7 × 104, 0.95 < Prb < 48 under mixed convection conditions: 4700 < Re < 7 × 104, 300 K < Tb <370 K, 0.95 < Pr < 49, 4 × 10−5 < Gr/Re2 < 0.07 | ±15% | |
| Wang et al. [79,93] | 25 ≤ Tb ≤ 65 °C, 243.6 ≤ G ≤ 800 kg/m2 s, 5 < q < 36 kW/m2, 7.7 × 104 ≤ Re ≤ 6.3 × 105, 8 ≤ P ≤ 10 MPa, 1.2 ≤ Pr ≤ 13.4, 3.1 × 10−4 ≤ Ri ≤ 0.331 | ±15% | |
| Zhu et al. [52] | 4000 < Re < 42,000, 2 < Pr < 11 | ±25% | |
| Liu et al. [44] | 3600 < Re < 36,500, 7.53 ≤ P ≤ 11.97 MPa, 26.4 ≤ Tb ≤ 121.27 °C, 0.9 ≤ Pr ≤ 10.6 | ±30% | |
| Ren et al. [87] | 2.1 × 104 < Re < 4.8 × 104, 0.9 < Pr < 12, 25° < β < 40°, 6 < Lp < 12 mm, 130.4< ρ < 461.1 kg/m3, 2.022 × 10−5 < μ < 3.276 × 10−5 Pa.s, 1.296 < cp < 29.89 kJ/(kg. K) | ±20% | |
| Wahl et al. [39] | – | ±20% | |
| Yang et al. [89] | δ = a/R = 0.04–0.15, P = 8 MPa, Re = 13,789–80,478, Pr = 1.15–13.17, ρw/ρf = 1.10–1.96 | – |
Publisher’s Note: MDPI stays neutral with regard to jurisdictional claims in published maps and institutional affiliations. |
© 2022 by the authors. Licensee MDPI, Basel, Switzerland. This article is an open access article distributed under the terms and conditions of the Creative Commons Attribution (CC BY) license (https://creativecommons.org/licenses/by/4.0/).
Share and Cite
Wu, D.; Wei, M.; Tian, R.; Zheng, S.; He, J. A Review of Flow and Heat Transfer Characteristics of Supercritical Carbon Dioxide under Cooling Conditions in Energy and Power Systems. Energies 2022, 15, 8785. https://doi.org/10.3390/en15238785
Wu D, Wei M, Tian R, Zheng S, He J. A Review of Flow and Heat Transfer Characteristics of Supercritical Carbon Dioxide under Cooling Conditions in Energy and Power Systems. Energies. 2022; 15(23):8785. https://doi.org/10.3390/en15238785
Chicago/Turabian StyleWu, Dingchen, Mingshan Wei, Ran Tian, Siyu Zheng, and Jundi He. 2022. "A Review of Flow and Heat Transfer Characteristics of Supercritical Carbon Dioxide under Cooling Conditions in Energy and Power Systems" Energies 15, no. 23: 8785. https://doi.org/10.3390/en15238785
APA StyleWu, D., Wei, M., Tian, R., Zheng, S., & He, J. (2022). A Review of Flow and Heat Transfer Characteristics of Supercritical Carbon Dioxide under Cooling Conditions in Energy and Power Systems. Energies, 15(23), 8785. https://doi.org/10.3390/en15238785

