Discriminability Analysis of Characterization Parameters in Micro-Leakage of Turbocharged Boiler’s Evaporation Tube
Abstract
1. Introduction
2. Overview of a Supercharged Boiler System
3. Evaporator Tube Leakage Fault Model and Model Verification
3.1. Simulation Assumptions and Module Division
3.2. Mathematical Model of Leakage
3.3. Mathematical Model of the Combustion Products
3.4. Correction of Flue Gas Physical Properties Parameters
3.5. Energy Conservation of Fuels
3.6. Simulation Verification
4. Simulation Experiments and Analysis of Simulation Results
4.1. Simulation Experiment Design
| NO. | Parameters Name | Compare in Which Figure | Location in Figure 1 Schematic Flow Diagram of System |
|---|---|---|---|
| 1 | leak steam mass flow of riser tubes | Figure 5 | leak steam(Yellow arrow) |
| 2 | Fuel supply mass flow | Figure 6 | NO.1 Fuel |
| 3 | Air supply mass flow | Figure 7 | NO.2 Air |
| 4 | Excess air coefficient | Figure 8 | NO.2 Air /NO.1 Fuel |
| 5 | Flue gas temperature at of superheater outlet | Figure 9 | NO.12 Flue gas’ temperature at NO.6 Superheater’s outlet |
| 6 | Carrying water Proportion of flue gas | Figure 10 | (NO.3 + leak steam)/(NO.1 + NO.2) |
| 7 | Furnace pressure | Figure 11 | NO.4 Furnace’s pressure |
| 8 | Speed of Turbocharger Unit | Figure 12 | NO.13 Turbocharger Unit’s speed |
| 9 | Steam drum water level | Figure 13 | NO.8 Steam drum’s water level |
| 10 | Steam drum pressure | Figure 14 | NO.8 Steam drum’s steam pressure |
| 11 | Superheated steam consumption mass flow | Figure 15 | NO.6 Superheater’s outlet steam flow |
| 12 | Water supply mass flow | Figure 16 | NO.11 Feed Water |
| 13 | Superheated steam temperature | Figure 17 | NO.6 Superheater’s steam temperature |
| 14 | Saturated steam consumption mass flow | Figure 18 | NO.9 Saturated steam |
4.2. Combustion Balance Analysis














4.3. Steam-Water Balance Analysis
5. Conclusions
- (1)
- The mathematical model of evaporation tube micro-leakage conforms to the fault mechanism and experience. The variable load dynamic response characteristics of the main parameters are consistent with those described in References [19,20,21,22,23], and the fault simulation phenomena are consistent with those described in References [3,4,40].
- (2)
- The reasons for poor discriminability of the micro-leakage fault have been found: In the case of micro-leakage, most of the characterization parameters can still tend to balance after 300 s and the dynamic response characteristics are similar to those of load increase.
- (3)
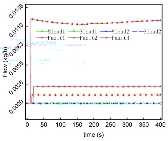
- Two points should be suggested to distinguish the micro-leakage fault of evaporation. First, there are four highly distinguishable parameters, which are the speed of the turbocharger unit, the air supply flow, the flue gas temperature at the superheater outlet, and the furnace pressure. When the micro-leakage fault is triggered, the first three parameters have a large disturbance. They show a trend of decreasing first and then increasing in a short period of time, unlike the normal load-changing condition. The fourth parameter, furnace pressure, rises abnormally fast after failure. Second, under the normal working condition of varying loads, the main parameters are commonly 300 s to stabilize; common stability parameter values should be recorded because, in the micro-leakage fault where evaporation occurs, a steady-state increment of the failure is larger than a normal steady increment under variable load conditions by 2 to 3 times.
- (4)
- As the leakage fault increases, the disturbance amplitude of the characteristic parameters becomes larger. In addition, the stability of the steam system becomes worse, and fault discrimination becomes more obvious.
- (5)
- The research method can be extended to various types of boiler pipe leakage. The research results can provide enough reliable samples for fault diagnosis research, and the suggestions to distinguish the micro-leakage fault of evaporation can be used for early fault detection and late fault diagnosis of the crew.
Author Contributions
Funding
Conflicts of Interest
Nomenclature
| C | Total admittance of evaporation pipe leakage |
| P1 | Steam pressure in evaporation pipe |
| P2 | Boiler furnace pressure |
| Flue gas mass flow at furnace outlet, kg/s | |
| Fuel flow, kg/s | |
| Atomizing steam flow, kg/s | |
| Airflow, kg/s | |
| Leakage steam flow of evaporation pipe, kg/s | |
| Oxygen mass percentage required for complete combustion of unit mass fuel, kg/kg | |
| Oxygen quality in the air, kg/s | |
| Mass percentage of water in fuel, %; | |
| , , , , | Mass flow of O2, H2O, CO2, SO2 and N2 in flue gas, kg/s |
| , , , | Mass flow of H2O, CO2, SO2 and N2 in intake air, kg/s |
| Oxygen quality in the intake air, kg/s | |
| Fuel quantity involved in combustion, kg/s | |
| Mass flow of CO2 in flue gas, kg/s | |
| Mass flow of CO in flue gas, kg/s | |
| , , , , | Mass percentage of carbon, hydrogen, oxygen, sulfur, and nitrogen in fuel, % |
| Molar flow of flue gas, mol/s | |
| , , , , , | It is the molar ratio of oxygen, water vapor, carbon dioxide, carbon monoxide, sulfur dioxide, and nitrogen in flue gas, % |
| Density of flue gas, kg/m3 | |
| Flue gas pressure, MPa | |
| Flue gas temperature, K | |
| Dynamic viscosity of flue gas, Pa·s | |
| Kinematic viscosity of flue gas, m2/s | |
| , , , , | It refers to the mass fraction of oxygen, water vapor, carbon dioxide, sulfur dioxide, and nitrogen in the flue gas, % |
| Thermal conductivity of flue gas, W/(m2·K) | |
| The thermal conductivity of each component is a function of T, W/(m2·K) | |
| Molar fraction of each component, % | |
| Molar mass of each component, g/mol | |
| Molar mass of each component | |
| Effective heat input into furnace, kJ; | |
| Specific heat of fuel, kJ/(kg·°C) | |
| Fuel inlet temperature, °C | |
| Specific heat of air at constant pressure, kJ/(kg·°C) | |
| Air temperature, °C; | |
| Low temperature calorific value of oil,kJ/kg | |
| Theoretical combustion temperature, °C | |
| Specific heat of flue gas at constant pressure, kJ/(kg·°C) |
References
- Alobaid, F.; Mertens, N.; Starkloff, R.; Lanz, T.; Heinze, C.; Epple, B. Progress in dynamic simulation of thermal power plants. Prog. Energy Combust. Sci. 2017, 59, 79–162. [Google Scholar] [CrossRef]
- Haghighat-Shishavan, B.; Firouzi-Nerbin, H.; Nazarian-Samani, M.; Ashtari, P.; Nasirpouri, F. Failure analysis of a superheater tube ruptured in a power plant boiler: Main causes and preventive strategies. Eng. Fail. Anal. 2019, 98, 131–140. [Google Scholar] [CrossRef]
- Xu, H. Qualitative Reasoning Analysis of Boiler “Four-Tube Leakage” Based on QSIM; North China Electric Power University: Beijing, China, 2014. [Google Scholar]
- Wang, N. Simulation Research and Intelligent Fault Diagnosis for Boiler Four-Tube Leakage Faults; North China Electric Power University: Beijing, China, 2014. [Google Scholar]
- Nurbanasari, M.; Abdurrachim. Investigation of Leakage on Water Wall Tube in a 660 MW Supercritical Boiler. J. Fail. Anal. Preven. 2014, 14, 657–661. [Google Scholar] [CrossRef]
- Ren, F.; Xu, J.; Si, J. Leakage failure analysis of water wall tube in circulating fluidized bed boiler. J. Phys. Conf. Ser. 2020, 1653, 12007. [Google Scholar] [CrossRef]
- Husaini; Ali, N.; Teuku, E.P.; Faleri, A.; Akhyar. Study on fracture failures of the super heater water pipe boiler. Defect Diffus. Forum 2020, 402, 20–26. [Google Scholar] [CrossRef]
- Zhang, J.; Wang, M.J.; Zhang, Z.; Sun, H.; Wu, Y.W.; Tian, W.X.; Qiu, S.Z.; Su, G.H. A comprehensive review of the leak flow through micro-cracks (in LBB) for nuclear system: Morphologies and thermal-hydraulic characteristics. Nucl. Eng. Des. 2020, 362, 110537. [Google Scholar] [CrossRef]
- Kong, Q.; Jiang, G.; Liu, Y.; Sun, J. Location of the Leakage from a Simulated Water-Cooling Wall Tube Based on Acoustic Method and an Artificial Neural Network. IEEE Trans. Instrum. Meas. 2021, 70, 1–18. [Google Scholar] [CrossRef]
- Elshenawy, L.M.; Halawa, M.A.; Mahmoud, T.A.; Awad, H.A.; Abdo, M.I. Unsupervised machine learning techniques for fault detection and diagnosis in nuclear power plants. Prog. Nucl. Energy 2021, 142, 103990. [Google Scholar] [CrossRef]
- Khalid, S.; Lim, W.; Kim, H.S.; Oh, Y.T.; Youn, B.D.; Kim, H.-S.; Bae, Y.-C. Intelligent Steam Power Plant Boiler Waterwall Tube Leakage Detection via Machine Learning-Based Optimal Sensor Selection. Sensors 2020, 20, 6356. [Google Scholar] [CrossRef]
- Nagpal, S. Evaluate Heat-Exchanger Tube-Rupture Scenarios Using Dynamic Simulation. Chem. Eng. 2015, 122, 48–53. [Google Scholar]
- Qi, H.; Sun, Y.; Wang, F.; Tian, Y. Analysis of Simulation in Electrical Open-Phase Malfunction of High Voltage in Nuclear Power Plant. Comput. Simul. 2021, 38, 380–386. [Google Scholar]
- Li, X.; Ni, H.; Jin, J. Fault Simulation Research of Marine Power Fuel System. Comput. Simul. 2019, 36, 26–31+377. [Google Scholar]
- Matulić, N.; Radica, G.; Nižetić, S. Engine model for onboard marine engine failure simulation. J. Therm. Anal. Calorim. 2020, 141, 119–130. [Google Scholar] [CrossRef]
- Feng, H.; Xie, Z.; Chen, L.; Wu, Z.; Xia, S. Constructal design for supercharged boiler superheater. Energy 2020, 191, 116484. [Google Scholar] [CrossRef]
- Xie, Z.; Feng, H.; Chen, L.; Wu, Z. Constructal design for supercharged boiler evaporator. Int. J. Heat Mass Transf. 2019, 138, 571–579. [Google Scholar] [CrossRef]
- Tang, W.; Feng, H.; Chen, L.; Xie, Z.; Shi, J. Constructal design for a boiler economizer. Energy 2021, 223, 120013. [Google Scholar] [CrossRef]
- Cheng, W. Simulation Research on Dynamic Performance of Supercharged Boiler System Based on GSE; Harbin Engineering University: Harbin, China, 2012. [Google Scholar]
- Zhang, G. Steady State Performance Calculation and Dynamic Process Simulation in Marine Supercharged Boiler; Harbin Engineering University: Harbin, China, 2008. [Google Scholar]
- Zhang, G.; Que, C.; Tan, X.; Li, J.; Song, F. Simulation of initiative counter steam control during process of rapid deceleration in ship. J. Chem. Ind. Eng. 2018, 69, 358–364. [Google Scholar]
- Zhang, G.; Sun, R.; Zhang, X.; Feng, Y.; Ma, Q. Dynamic characteristics simulation of marine turbocharger under process of rapid load reduction. J. Chem. Ind. Eng. 2018, 69, 316–323. [Google Scholar]
- Li, J.; Zhang, G.; Shi, Z.; Yang, L.; Ma, B. Characteristics of steam dynamic system in different operating environment. J. Chem. Ind. Eng. 2016, 67, 318–325. [Google Scholar]
- Deng, B.; Zhang, M.; Shan, L.; Wei, G.; Lyu, J.; Yang, H.; Gao, M. Modeling study on the dynamic characteristics in the full-loop of a 350 MW supercritical CFB boiler under load regulation. J. Energy Inst. 2021, 97, 117–130. [Google Scholar] [CrossRef]
- Taler, D.; Dzierwa, P.; Kaczmarski, K.; Taler, J. Increase the flexibility of steam boilers by optimisation of critical pressure component heating. Energy 2022, 250, 123855. [Google Scholar] [CrossRef]
- Li, D.; Cheng, G.; Geng, J.; Zhan, G. A New Research on Optimization Control of Supercharged Boiler system’s Characteristics on Ship. Comput. Simul. 2017, 34, 1–6. [Google Scholar]
- Li, D.; Cheng, G.; Geng, J. Modeling and Simulation of Auxiliary Turbine Based on Integration Method of Turbine and Fluid Network. Mar. Electr. Electron. Eng. 2019, 39, 21–25. [Google Scholar]
- Li, D.; Geng, J.; Cheng, G.; Li, R.; Liu, X. Modeling method and simulation experiments of main steam turbine of ship. Ship Sci. Technol. 2015, 37, 79–82. [Google Scholar]
- Henry, R.E.; Fauske, H.K. The two-phase critical flow of one-component mixtures in nozzles, orifices, and short tubes. J. Heat Transf. 1971, 93, 179–187. [Google Scholar] [CrossRef]
- Diener, R.; Schmidt, J. Sizing of throttling device for gas/liquid two-phase flow part 2: Control valves, orifices, and nozzles. Proc. Saf. Prog. 2005, 24, 29–37. [Google Scholar] [CrossRef]
- Wu, X.; Li, C.; He, Y.; Jia, W. Dynamic Modeling of the Two-Phase Leakage Process of Natural Gas Liquid Storage Tanks. Energies 2017, 10, 1399. [Google Scholar] [CrossRef]
- Zhang, J.; Yu, H.; Wang, M.J.; Wu, Y.W.; Tian, W.X.; Qiu, S.Z.; Su, G.H. Experimental study on the flow and thermal characteristics of two-phase leakage through micro crack. Appl. Therm. Eng. 2019, 156, 145–155. [Google Scholar] [CrossRef]
- Zhen, H.; Yin, S.; Zhang, L.; Wang, N.; Xu, B.; Wang, H. Effect of Upstream Parameters on Two-Phase Critical Flow Leakage Characteristics. Nucl. Technol. 2021, 207, 54–61. [Google Scholar] [CrossRef]
- Geng, J.; Cheng, G.; Li, D.; Sun, L.; Geng, G. Analysis of modular methods of simulation in fluid network. Ship Sci. Technol. 2015, 37, 128–131. [Google Scholar]
- Zhang, J.; Zhao, Y. Handbook of Thermophysical Properties of Materials Commonly Used in Engineering; Xin Shi Dai Chu Ban She: Beijing, China, 1987. [Google Scholar]
- Liu, Z.; Liu, X.; Zhao, G. Compilation and Application of Engineering Thermophysical Property Calculation Program; Science Press: Beijing, China, 1992. [Google Scholar]
- Zhang, N. Investigation on the Boiler Dynamic Based on the Mechanism and Data Integrated Modeling; North China Electric Power University: Baoding, China, 2009. [Google Scholar]
- Gao, J. Study of Real-Time Simulation Model and Operation Property for Big Capacity Circulating Fluidized Bed Boiler Unit; North China Electric Power University: Baoding, China, 2005. [Google Scholar]
- Li, D.; Cheng, G.; Xu, W.; Zhan, G.; Naval University of Engineering. Optimization Method of Operating Characteristics in Improving Supercharged Boiler System. Mar. Electr. Electron. Eng. 2017, 37, 72–76. [Google Scholar]
- Ruan, J. Research on the Boiler Heating Surface Leakage Based on QPT; North China Electric Power University: Beijing, China, 2014. [Google Scholar]




| No. | Experimental Identification | Disturbance Variable | Value |
|---|---|---|---|
| 1 | Fault1 | Leakage admittance ratio | 0.05% |
| 2 | Fault2 | Leakage admittance ratio | 0.1% |
| 3 | Fault3 | Leakage admittance ratio | 0.5% |
| 4 | Mload1 | Load rise of main turbine | 10% |
| 5 | Mload2 | Load reduction of main turbine | −10% |
| 6 | Sload1 | Turbine generator loading | 100% |
| 7 | Sload2 | Turbine generator unloading | 0% |
Publisher’s Note: MDPI stays neutral with regard to jurisdictional claims in published maps and institutional affiliations. |
© 2022 by the authors. Licensee MDPI, Basel, Switzerland. This article is an open access article distributed under the terms and conditions of the Creative Commons Attribution (CC BY) license (https://creativecommons.org/licenses/by/4.0/).
Share and Cite
Li, D.; Xia, S.; Geng, J.; Meng, F.; Chen, Y.; Zhu, G. Discriminability Analysis of Characterization Parameters in Micro-Leakage of Turbocharged Boiler’s Evaporation Tube. Energies 2022, 15, 8636. https://doi.org/10.3390/en15228636
Li D, Xia S, Geng J, Meng F, Chen Y, Zhu G. Discriminability Analysis of Characterization Parameters in Micro-Leakage of Turbocharged Boiler’s Evaporation Tube. Energies. 2022; 15(22):8636. https://doi.org/10.3390/en15228636
Chicago/Turabian StyleLi, Dongliang, Shaojun Xia, Jianghua Geng, Fankai Meng, Yutao Chen, and Guoqing Zhu. 2022. "Discriminability Analysis of Characterization Parameters in Micro-Leakage of Turbocharged Boiler’s Evaporation Tube" Energies 15, no. 22: 8636. https://doi.org/10.3390/en15228636
APA StyleLi, D., Xia, S., Geng, J., Meng, F., Chen, Y., & Zhu, G. (2022). Discriminability Analysis of Characterization Parameters in Micro-Leakage of Turbocharged Boiler’s Evaporation Tube. Energies, 15(22), 8636. https://doi.org/10.3390/en15228636

