Study on a Novel Variable Valve Timing and Lift Mechanism for a Miller Cycle Diesel Engine
Abstract
1. Introduction
2. Methods
2.1. New Variable Valve Mechanism
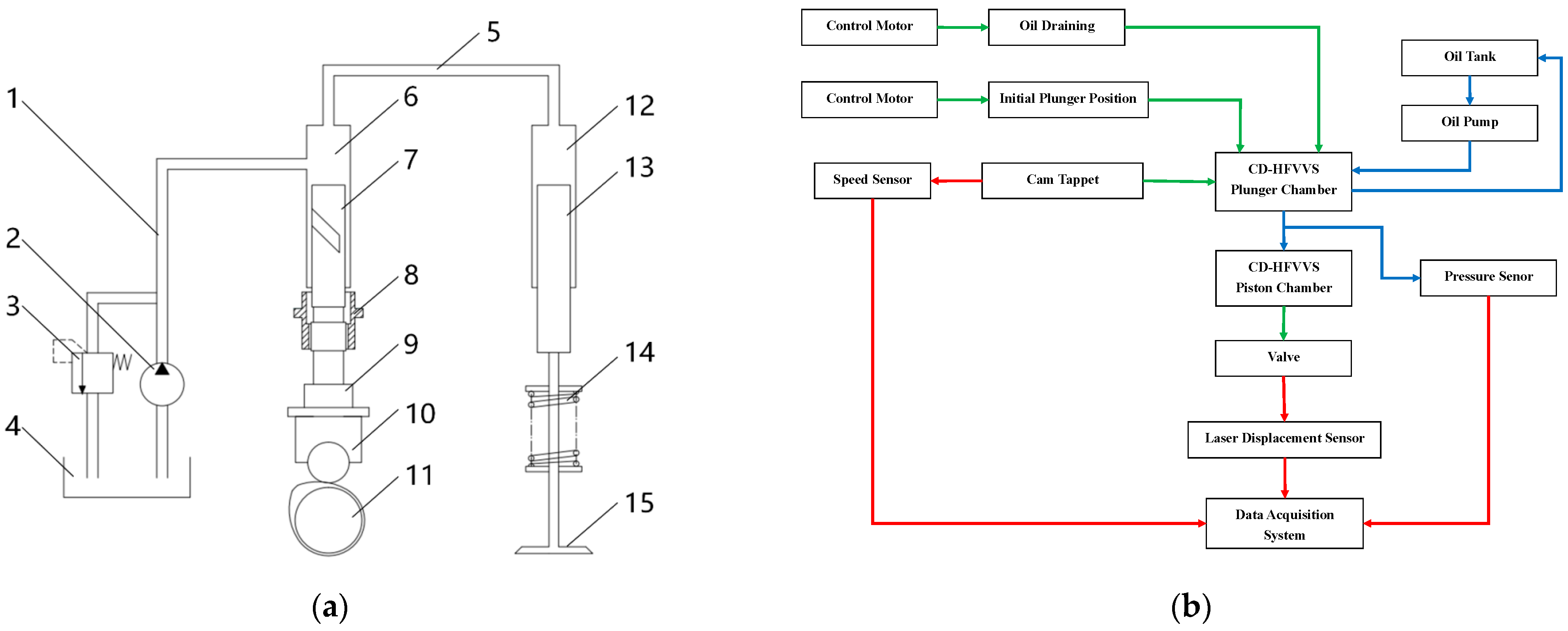
2.1.1. Experimental Device
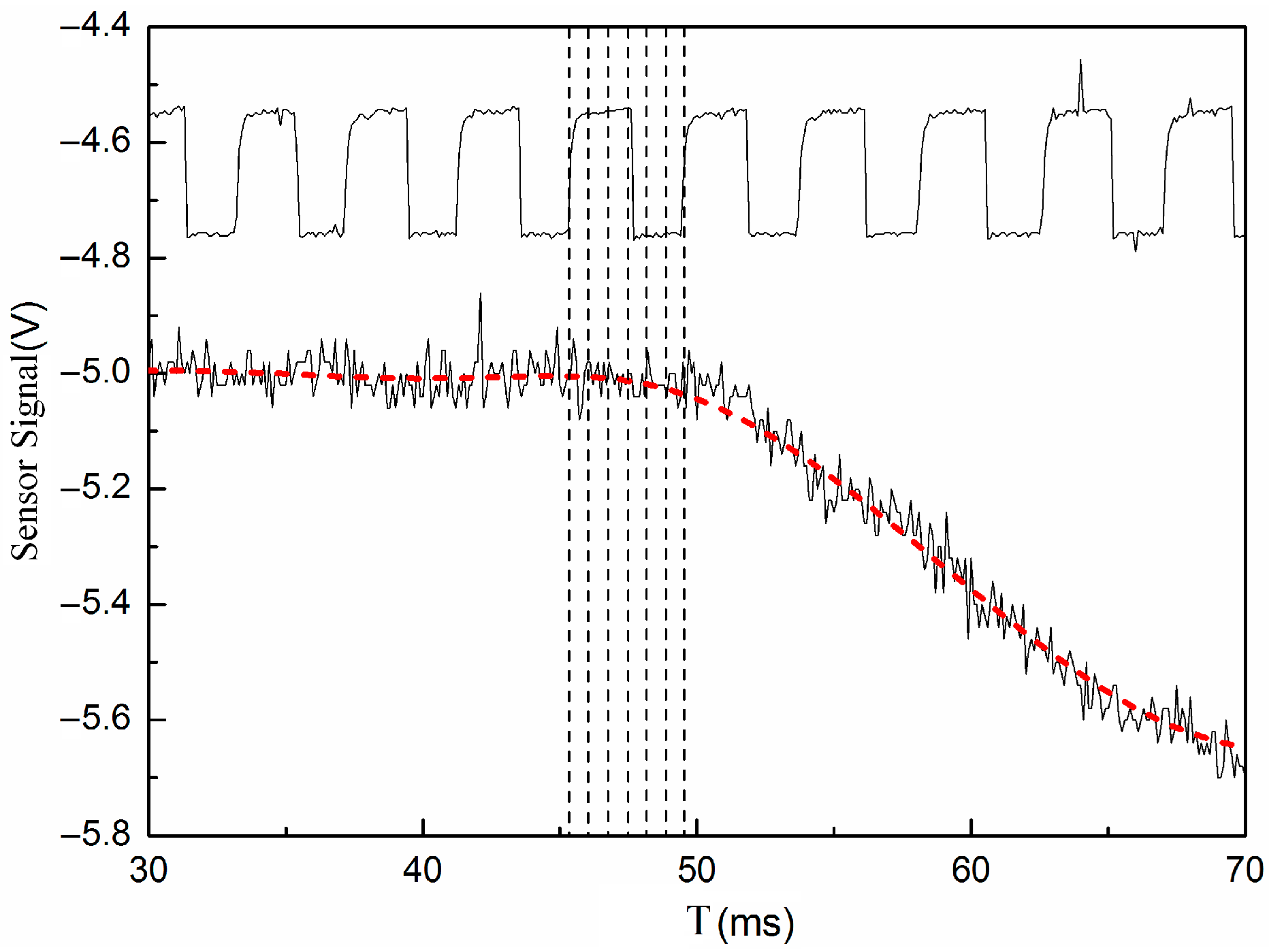
2.1.2. Data Processing
2.2. Miller Cycle Experimental Device
3. Results and Discussion
3.1. Performance of Valve Seating Mechanism
3.2. Variable Valve Timing and Lift Performance
3.3. Performance under Different Engine Speed
3.4. Performance under Different Oil Temperature
3.5. Miller Performance and Variable Valve Timing
4. Conclusions
- The CD-HFVVS changes valve opening angle, closing angle, valve duration and valve lift by changing oil draining position and initial plunger position.
- A valve seating jerk buffer was tested, which can effectively eliminate valve seating impact.
- Due to the decrease of the viscosity of hydraulic oil, the oil draining position is advanced and the balance position of pressuring oil is delayed, and the valve lift and duration are reduced.
- The valve opening duration is prolonged when engine speed increases; this is due to the delay of balance position.
- By using the mechanism, a single cylinder engine test was performed. The results show that −70 DEG ATDC is the best choice for Miller cycle based on the cylinder pressure performance. Under these conditions, the ISFC can reduce for 16 g/kW·h. and the maximum pressure and temperature can be reduced for 20 bar and 200 K individually.
Author Contributions
Funding
Conflicts of Interest
References
- Wang, C.; Daniel, R.; Ma, X. Comparison of Gasoline (ULG), 2,5-Dimethylfuran (DMF) and Bio-Ethanol in a DISI Miller Cycle with Late Inlet Valve Closing Time. In Proceedings of the SAE 2012 World Congress & Exhibition, Detroit, MI, USA, 24–26 April 2012. [Google Scholar] [CrossRef]
- Luján, J.M.; Bermúdez, V.; Dolz, V.; Monsalve-Serrano, J. An assessment of the real-world driving gaseous emissions from a Euro 6 light-duty diesel vehicle using a portable emissions measurement system (PEMS). Atmos. Environ. 2017, 174, 112–121. [Google Scholar] [CrossRef]
- Kovacs, D.; Eilts, P. Potentials of Miller Cycle on HD Diesel Engines Using a 2-Stage Turbocharging System. In Proceedings of the WCX World Congress Experience 2018, Detroit, MI, USA, 10–12 April 2018; SAE Technical Papers: Warrendale, PA, USA, 2018. [Google Scholar] [CrossRef]
- Gonca, G. Comparative performance analyses of irreversible OMCE (Otto Miller cycle engine)-DiMCE (Diesel miller cycle engine)-DMCE (Dual Miller cycle engine). Energy 2016, 109, 152–159. [Google Scholar] [CrossRef]
- Rinaldini, C.A.; Mattarelli, E.; Golovitchev, V.I. Potential of the Miller cycle on a HSDI diesel automotive engine. Appl. Energy 2013, 112, 102–119. [Google Scholar] [CrossRef]
- Flierl, R.; Paulov, M.; Knecht, A.; Hannibal, W. Investigations with a Mechanically Fully Variable Valve Train on a 2.0l Turbo Charged Four Cylinder Engine. In Proceedings of the SAE 2008 World Congress & Exhibition, Detroit, MI, USA, 14–17 April 2008; SAE Technical Papers: Warrendale, PA, USA, 2008. [Google Scholar] [CrossRef]
- Gecim, B.; Raghavan, M. Simulation and Test Results for Several Variable-Valve-Actuation Mechanisms. In Proceedings of the SAE 2009 World Congress & Exhibition, Detroit, MI, USA, 20–23 April 2009; SAE Technical Papers: Warrendale, PA, USA, 2009. [Google Scholar] [CrossRef]
- Pierik, R.J.; Burkhard, J.F. Design and Development of a Mechanical Variable Valve Actuation System. In Proceedings of the SAE 2000 World Congress, Detroit, MI, USA, 6–9 March 2000; SAE Technical Papers: Warrendale, PA, USA, 2000. [Google Scholar] [CrossRef]
- Moriya, Y.; Watanabe, A.; Uda, H.; Kawamura, H.; Yoshioka, M.; Adachi, M. A Newly Developed Intelligent Variable Valve Timing System—Continuously Controlled Cam Phasing as Applied to a New 3 Liter Inline 6 Engine. In Proceedings of the SAE 1996 World Congress & Exhibition, Detroit, MI, USA, 1 February 1996; SAE Technical Papers: Warrendale, PA, USA, 1996. [Google Scholar] [CrossRef]
- Nakamura, H.; Nakashima, T.; Aihara, H.; Ookubo, M. Development of Gear Parts for VVT Unit. In Proceedings of the SAE 1997 World Congress & Exhibition, Detroit, MI, USA, 24 February 1997; SAE Technical Papers: Warrendale, PA, USA, 1997. [Google Scholar] [CrossRef]
- Minoru, Y. Variable Valve Timing Arrangement for Engine. US6186105B1, 13 February 2001. [Google Scholar]
- Hattori, M.; Inoue, T.; Mashiki, Z.; Takenaka, A.; Urushihata, H.; Morino, S.; Inohara, T. Development of Variable Valve Timing System Controlled by Electric Motor. SAE Int. J. Engines 2008, 1, 985–990. [Google Scholar] [CrossRef][Green Version]
- Yonekawa, A.; Ueno, M.; Watanabe, O.; Ishikawa, N. Development of New Gasoline Engine for ACCORD Plug-in Hybrid. In Proceedings of the SAE 2013 World Congress & Exhibition, Detroit, MI, USA, 16–18 April 2013; SAE Technical Papers: Warrendale, PA, USA, 2013. [Google Scholar] [CrossRef]
- Hosaka, T.; Hamazaki, M. Development of the Variable Valve Timing and Lift (VTEC) Engine for the Honda NSX. In Proceedings of the Autotechnologies Conference 1991, Monte-Carlo, Monaco, 23–25 January 1991. [Google Scholar] [CrossRef]
- Ludwig, B. Less CoD2 Thanks to the Bmw 4-Cyl. In Valvetronic Engine; Associazione Tecnica Dell’Automobile: Turin, Italy, 2002. [Google Scholar]
- Luttermann, C.; Schünemann, E.; Klauer, N. Enhanced VALVETRONIC Technology for Meeting SULEV Emission Require-ments. In Proceedings of the SAE 2006 World Congress & Exhibition, Detroit, MI, USA, 3 April 2006; SAE Technical Papers: Warrendale, PA, USA, 2006. [Google Scholar]
- Zhen, R.; Zhu, G.G. Modeling and control of an electric variable valve timing system for SI and HCCI combustion mode transition. In Proceedings of the 2011 American Control Conference, San Francisco, CA, USA, 29 June–1 July 2011; IEEE: New York, NY, USA. [Google Scholar]
- Kim, J.; Lieu, D.K. A new electromagnetic engine valve actuator with less energy consumption for variable valve timing. J. Mech. Sci. Technol. 2007, 21, 602–606. [Google Scholar] [CrossRef]
- Wong, P.; Mok, K. Design and Modeling of a Novel Electromechanical Fully Variable Valve System. In Proceedings of the 2008 SAE International Powertrains, Fuels and Lubricants Congress, Shanghai, China, 23–25 June 2008. [Google Scholar] [CrossRef]
- Schulze, H.G.; Foist, R.B.; Ivanov, A.; Turner, R.F.B. Fully Automated High-Performance Signal-to-Noise Ratio Enhancement Based on an Iterative Three-Point Zero-Order Savitzky—Golay Filter. Appl. Spectrosc. 2008, 62, 1160–1166. [Google Scholar] [CrossRef] [PubMed]
- Zhang, Y.; Wang, Z.; Bai, H.; Guo, C.; Liu, J.; Li, Y. The Reduction of Mechanical and Thermal Loads in a High-Speed HD Diesel Engine Using Miller Cycle with Late Intake Valve Closing. In Proceedings of the SAE 2017 World Congress & Exhibition, Detroit, MI, USA, 4–6 April 2017; SAE Technical Papers: Warrendale, PA, USA, 2017. [Google Scholar] [CrossRef]
- Southam, R.; Reinicke-Murmann, J.; Kreuter, P.; Rogers, G. Analysis of Potential Improvements in Engine Behavior Due to Ceramic Valve Train Components. In Proceedings of the SAE International Congress Exposition 1990, Detroit, MI, USA, 1 February 1990; SAE Technical Papers: Warrendale, PA, USA, 1990. [Google Scholar] [CrossRef]
- Çınar, C.; Uyumaz, A.; Polat, S.; Yılmaz, E.; Can, Ö.; Solmaz, H. Combustion and performance characteristics of an HCCI engine utilizing trapped residual gas via reduced valve lift. Appl. Therm. Eng. 2016, 100, 586–594. [Google Scholar] [CrossRef]
- Beloiu, D.M. Modeling and Analysis of Valve Train, Part I—Conventional Systems. SAE Int. J. Engines 2010, 3, 850–877. [Google Scholar] [CrossRef]













| Swept Volume | 1.05 L | 
| Compression Ratio | 14.3:1(Geometric) | 
| Combustion Chamber | Flat roof/4 valves | 
| Valve Train | Double Overhead Camshafts | 
| Fuel Injection | Common Rail | 
| Fuel | Standard Diesel | 
| Injection Pressure | 1800 bar | 
| Coolant Temperature | 80 °C | 
| Open Angle | Closure Angle | Lift | |
|---|---|---|---|
| deg ATDC | mm | ||
| Intake valve | 330 | −110~−70 | 5~7 | 
| Exhaust valve | 97 | 389 | 5~7 | 
| Publisher’s Note: MDPI stays neutral with regard to jurisdictional claims in published maps and institutional affiliations. | 
© 2022 by the authors. Licensee MDPI, Basel, Switzerland. This article is an open access article distributed under the terms and conditions of the Creative Commons Attribution (CC BY) license (https://creativecommons.org/licenses/by/4.0/).
Share and Cite
Liu, F.; Liu, B.; Zhang, J.; Wan, P.; Li, B. Study on a Novel Variable Valve Timing and Lift Mechanism for a Miller Cycle Diesel Engine. Energies 2022, 15, 8521. https://doi.org/10.3390/en15228521
Liu F, Liu B, Zhang J, Wan P, Li B. Study on a Novel Variable Valve Timing and Lift Mechanism for a Miller Cycle Diesel Engine. Energies. 2022; 15(22):8521. https://doi.org/10.3390/en15228521
Chicago/Turabian StyleLiu, Fanshuo, Bolan Liu, Junwei Zhang, Peng Wan, and Ben Li. 2022. "Study on a Novel Variable Valve Timing and Lift Mechanism for a Miller Cycle Diesel Engine" Energies 15, no. 22: 8521. https://doi.org/10.3390/en15228521
APA StyleLiu, F., Liu, B., Zhang, J., Wan, P., & Li, B. (2022). Study on a Novel Variable Valve Timing and Lift Mechanism for a Miller Cycle Diesel Engine. Energies, 15(22), 8521. https://doi.org/10.3390/en15228521
 
        


 
       