Next Article in Journal
Applying the Geodetic Adjustment Method for Positioning in Relation to the Swarm Leader of Underwater Vehicles Based on Course, Speed, and Distance Measurements
Next Article in Special Issue
Timed Petri Nets for Modeling and Performance Evaluation of a Priority Queueing System
Previous Article in Journal
The Impact of Frequency Support by Wind Turbines on the Small-Signal Stability of Power Systems
Previous Article in Special Issue
Propagation Model for Ground-to-Aircraft Communications in the Terahertz Band with Cloud Impairments
 
 
Font Type:
Arial Georgia Verdana
Font Size:
Aa Aa Aa
Line Spacing:
Column Width:
Background:
Article

Analysis of Non-Steady Queue-Length Distribution in a Finite-Buffer Model with Group Arrivals and Power Saving Mechanism with Setups

by
Wojciech M. Kempa
1,* and
Dariusz Kurzyk
2
1
Department of Mathematics Applications and Methods for Artificial Intelligence, Faculty of Applied Mathematics, Silesian University of Technology, 23 Kaszubska Str., 44-100 Gliwice, Poland
2
Institute of Theoretical and Applied Informatics, Polish Academy of Sciences, 5 Bałtycka Str., 44-100 Gliwice, Poland
*
Author to whom correspondence should be addressed.
Energies 2022, 15(22), 8471; https://doi.org/10.3390/en15228471
Submission received: 13 October 2022 / Revised: 7 November 2022 / Accepted: 10 November 2022 / Published: 13 November 2022
(This article belongs to the Special Issue Intelligent Methods and Applications in Electronics)

Abstract

In the manuscript, a probability distribution of the queue length is studied in a model with group Markov arrivals, arbitrarily distributed service times and finite waiting room. After the period of suspension of service due to lack of packets, each new busy period is preceded by a random setup time. Integral equations for time-dependent queue-length distribution are derived by identifying renewal moments in the operation of the system and by applying total probability law. The representation for the solution of the system is found in terms of Laplace transforms. Computational examples illustrating the impact of system parameters on the queue-length distribution are included.

1. Introduction

Queuing systems that employ a mechanism for temporarily shutting down service stations are currently being intensively researched because of their use in modeling real-life processing systems. Particularly important here are models with finite buffers, which can naturally describe systems with losses or untypical delays of different nature due to buffer overflows. Such models are widely used in the analysis and optimization of the operation of network switches, in which incoming data packets are naturally buffered.
One of the key problems of wireless data transmission is the problem of reducing energy consumption. Many systems, therefore, use periodic deactivation of the service station if the buffer for storing incoming messages is empty. The restart of the service station is associated with the arrival of the first packet to be sent after the period of inactivity. Such a mechanism is used, for example, in GSM systems, in which the node is reactivated just before the transmission of the identification frame by a base station.
Most often, it takes a random amount of time, called setup time, for the service station to be fully operational and packet processing. During setup time, transmission is still suspended, so there is an accumulation of incoming packets in the buffer.
The analysis of the M / M / 1 -type system in steady state with threshold strategies of server waking up and setup times can be found in [1]. A kind of a threshold mechanism in the stationary state of the system with setups is investigated in [2] (see also [3]). In [4] a steady-state behavior of a single batch-arrival queue with random setup times and a vacation period was investigated. This concept was extended to many types of vacations in [5]. The stationary queue-size distribution in the M X / G / 1 -type queuing system with vacation time under single vacation policy is derived in [6]. The article [7] contains the steady-state analysis of the queue-size distribution in an infinite-buffer model with batch arrivals, multiple vacations, setup times, N-policy and closedown times. In [8], a recursive method based on the supplementary variable technique is used for development of the steady-state queue-size distribution in the G I / M / 1 -type model with finite buffer capacity. A Markovian-type model with machine setups being initialized every time a message arrives into the empty system is studied in [9]. The optimization problem of scheduling in a model of a manufacturing system with finite-sized magazine and the scheme of setup/closedown times is investigated in [10]. One can find some new analytical results for queuing models with N-policy and working breakdowns, and with feedback, balking and maintaining of reneged customers in [11,12], respectively. In [13], a model with active queue management is considered.
Application of setup times in WSNs operation is derived in [14,15]. In particular, in [15], the functioning of the IEEE 802.15.4 is modelled. In [16], queuing systems are used to model the IMS session re-setup delay in WiMAX/LTE heterogeneous networks. Efficient link scheduling based on estimation of the queue size is proposed in [17] for industrial wireless sensor networks. In [18], a queueing model with Poisson arrivals, arbitrarily distributed services, server vacations and setups is proposed for modeling base station operation. In [19], a model of data center with servers restarting the processing with using setups is investigated. In [20], the issue of optimal scheduling strategy is investigated via a queuing model of central air-conditioners. Non-steady analysis of queuing systems with more complex discipline limiting the access to the service station can be found, e.g., in [21,22].
In the paper, we study non-steady operation of the M / G / 1 / K model in which the service station leaves each idle period by a setup time being a generally distributed random variable. During setup time, packet service is suspended and the service station becomes fully operational.
Transient (time-dependent) analysis is often desired or even necessary, e.g., in the case of low traffic intensity (that is symptomatic for some WSNs), or in the case of the analysis of the system just after implementation of a new control mechanism. Additionally, in practice, the statistical behavior of the system may be destabilized by phenomena such as, e.g., fade-out or interference. New analytical formulae for queuing systems with Poisson input streams and generally distributed service times in the non-stationary case can be found, e.g., in [23,24]. The transient behavior of the M / G / 1 model with group job arrivals, threshold-type policy and setups is analyzed in [25] (see also [26,27]). In [28], the previous model is extended by “adding” a multiple vacation policy. In [29], the closed-form representation for the queue-size distribution in the model with Poisson arrivals and setup and close-down times is obtained. In [30,31], an auto-correlated input flow is considered in a finite-buffer model.
In the article, as the main analytical result, a formula for the LT (=Laplace transform) of the non-stationary queue-size distribution is obtained. Theoretical apparatus is based on the technique of embedded Markov chains, renewal-theory approach and some auxiliary linear algebraic facts. Applicability of theoretical formulae is illustrated on numerical results.
The rest of the article is organized as follows. In Section 2, we define the considered queuing model mathematically and attach some supplementary algebraic results. In Section 3, we formulate a system of integral equations for non-steady queue-size distribution conditioned by the initial buffer state. Section 4 contains the main analytical result, namely, the representation for the LT of the queue-size distribution. Section 5 is devoted to numerical analysis, while in the last Section 6 one can find a conclusion of the paper.

2. Queuing Model and Preliminaries

In the manuscript, we study a single-machine queuing model with finite waiting-room capacity in that messages (jobs, customers, etc.) enter in groups and are processed one by one, according to FIFO algorithm. Inter-arrival times are exponentially distributed random variables with mean λ 1 , while service times have general distribution with a CDF (=cumulative distribution function) F ( · ) . Sizes of arriving groups of messages have general discrete-type distribution described by the sequence ( p k ) , where p k stands for the probability that an arriving group consists of k messages, k = 1 p k = 1 . The total system capacity equals K , i.e., we have K 1 places in the accumulating buffer (waiting room) and one place “in server”. In consequence, jobs occurring during the buffer overflow period, when the buffer is saturated and the service station is busy with processing (i.e., the number of jobs present equals K), are being lost.
In the considered system, we accept the PBAS (Partial Batch Acceptance Strategy) mechanism: according to the instantaneous number of free places in the buffer, some jobs of the arriving batch can be buffered and some can be lost. Moreover, we assume that, in general, the system may be non-empty before its start, i.e., the waiting room can contain at least one job before t = 0 . When a job arrives into the empty system, the server leaves the idle time with a generally distributed setup time with a CDF G ( · ) . During the setup time, the processing of messages is still stopped and the service station becomes fully operational. We assume independence of all inter-arrival, processing and setup times, and sizes of the arriving batches in the system operation.
Let us assume that X ( t ) stands for the number of jobs (messages) present in the system at time t . We define the conditional non-stationary queue-size distribution in the following way:
Q n ( t , m ) = P { X ( t ) = m | X ( 0 ) = n } , t > 0 , 0 m , n K .
The main goal is to represent in a compact form the LT of Q n ( t , m ) , so the following function:
q n ( s , m ) = 0 e s t Q n ( t , m ) d t , Re ( s ) > 0 .
In the next section, indicating renewal (Markovian) moments in the operation of the studied queuing system, we construct a system of integral equations for Q n ( t , m ) ,   0 n K . In order to solve a corresponding system written for LTs, we use the following supplementary result from [32]:
 Lemma 1. 
Let ( a k ) ,   k 0 ,   and ( ψ k ) , k 1 , be two given number sequences, where a 0 0 . Every solution of the following system of linear equations with respect to x n ,   n 0 :
k = 1 n a k + 1 x n k x n = ϕ n , n 0 ,
can be stated as
x n = C R n + 1 + k = 0 n R n k ϕ k , n 0 ,
where C is a constant and ( R k ) is the so-called potential defined by the sequence ( a k ) as follows:
k = 0 θ k R k = 1 P a ( θ ) 1 ,
where
P a ( θ ) = k = 1 θ k a k + 1 , | θ | < 1 .
Additionally, successive terms of the sequence R n can be found recursively as follows:
R 0 = 0 , R 1 = a 0 1 , R k + 1 = a 0 1 R k i = 0 k a i + 1 R k i , k 1 .
Let us close this section by introducing some necessary notation. In the article, we use the short form G ¯ ( x ) = d e f 1 G ( x ) and the nomenclature I { A } for the indicator of the random event A . Moreover, let
f ( s ) = d e f 0 e s t d F ( t ) ,
g ( s ) = d e f 0 e s t d G ( t ) ,
where Re(s) > 0.
Finally, p i j * stands for the ith term of the j-fold convolution of the sequence p k k = 1 with itself defined as
p 0 0 * = 1 , p i j * = r = 0 i p r ( j 1 ) * p i r , j 1 .

3. Integral Equations for Conditional Queue-Size Distribution

In this section, we identify renewal (Markovian) moments in the operation of the system to write a system of integral equations for conditional non-steady queue-length distribution Q n ( t , m ) , for 0 n K and for given 0 m K . In the second step, we obtain from the original equations the system for LTs.
Firstly, let us look at the case in which the waiting room does not contain any job before the start moment. As a consequence, the setup period begins simultaneously with the entering of the first group of jobs. Note that the following three mutually exclusive cases (events) can be distinguished for given t:
(1)
The first group of messages arrives before t and the setup time also completes before t (we denote this event by E 1 ( t ) );
(2)
The first group of messages enters before t but the setup time ends after t ( E 2 ( t ) );
(3)
The first group of messages arrives after t ( E 3 ( t ) ).
Let us introduce the following notation:
Q 0 ( i ) ( t , m ) = P { X ( t ) = m E i ( t ) | X ( 0 ) = 0 } ,
where t > 0 ,   0 m K and i = 1 , 2 , 3 . Thus, e.g., Q 0 ( 1 ) ( t , m ) represents the probability that there are exactly m jobs present in the system at time t and the first setup time ends before this moment, on the condition that the buffer is primarily empty. The following equality is a consequence of the formula of total probability:
Q 0 ( t , m ) = P { X ( t ) = m | X ( 0 ) = 0 } = i = 1 3 Q 0 ( i ) ( t , m ) .
Let us note that for Q 0 ( 1 ) ( t , m ) we have the following representation:
Q 0 ( 1 ) ( t , m ) = x = 0 t λ e λ x y = 0 t x { i = 1 K 1 p i j = 0 K i 1 ( λ y ) j j ! e λ y × r = j K i 1 p r j * Q i + r ( t x y , m ) + Q K ( t x y , m ) [ i = 1 K 1 p i ( j = 0 K i 1 ( λ y ) j j ! e λ y × r = K i p r j * + j = K i ( λ y ) j j ! e λ y ) + i = K p i ] } d G ( y ) d x .
Indeed, the first summand on the right side of (13) describes the situation in which the size of the first arriving batch does not exceed the maximal system capacity K and, moreover, during the setup time, the buffer does not become saturated. Thus, at the completion epoch of the setup time (at time x + y ), the service station begins the processing with 1 i + r K 1 jobs present, where i denotes the size of the first batch and r is the total number of jobs occurring during the setup time. The second summand in (13) presents the case in which before the setup time completion epoch the buffer becomes saturated, so the service process begins with the maximal number K of jobs present.
For Q 0 ( 2 ) ( t , m ) , we obtain, similarly, the following formula:
Q 0 ( 2 ) ( t , m ) = 0 t λ e λ x G ¯ ( t x ) { I { 1 m K 1 } i = 1 m p i j = 0 m i p m i j * λ ( t x ) j j ! × e λ ( t x ) + I { m = K } [ i = 1 K 1 p i ( j = 0 K i 1 r = K i p r j * λ ( t x ) j j ! e λ ( t x ) + j = K i λ ( t x ) j j ! e λ ( t x ) ) + i = K p i ] } d x .
Let us comment on (14) briefly. If the first setup time completes after t and the queue size measured at t equals 1 m K 1 , then, if the setup begins at time 0 < x < t with the arrival of 1 i m jobs in the first batch, during t x , exactly m i jobs must enter (the first summand on the right side of (14)). If m = K , then the buffer must become saturated during time period ( 0 , t ) (the second summand in (14)).
Obviously, we also have the following representation:
Q 0 ( 3 ) ( t , m ) = I { m = 0 } e λ t .
Let us consider now the case of the system being non-empty at the opening (i.e., 1 n K ). Since successive departure epochs are Markov (renewal) moments in the evolution of the M X / G / 1 -type system (see, e.g., [33]), then, applying the continuous version of the formula of total probability with respect to the first arrival epoch after t = 0 , we obtain the following system of integral equations:
Q n ( t , m ) = 0 t [ i = 0 K n 1 A i ( x ) Q n + i 1 ( t x , m ) + Q K 1 ( t x , m ) i = K n A i ( x ) ] d F ( x ) + F ¯ ( t ) I { n m K 1 } A m n ( t ) + I { m = K } i = K n A i ( t ) ,
where 1 n K and the functional sequence A i ( x ) i = 0 describes the number of jobs entering into the system in the time period ( 0 , x ) (some of them may be lost due to the buffer saturation), so we have
A i ( x ) = j = 0 i p i j * ( λ x ) j j ! e λ x , i 0 .
Let us clarify the meaning of successive components of the sum in (16). The first component relates to the case in which the waiting room does not become saturated before the first output occurring at 0 < x < t . The second component represents the situation in which all places in the waiting room are occupied before the moment t. Finally, in the last component on the right side of (16), the first job leaves the service station after time t.
We define the following functionals:
α j ( s ) = d e f 0 e ( λ + s ) t ( λ t ) j j ! d G ( t ) , β j ( s , m ) = d e f 0 e s t F ¯ ( t ) [ I { j m K 1 } A m j ( t )
+ I { m = K } i = K j A i ( t ) ] d t ,
γ i , r ( s ) = d e f λ p i λ + s j = 0 r p r j * α j ( s ) ,
δ ( s ) = d e f λ λ + s i = 1 K 1 p i j = 0 K i 1 α j ( s ) r = K i p r j * + j = K i α j ( s ) + g ( s ) i = K p i
and
η ( s , m ) = d e f 0 e s t Q 0 ( 2 ) ( t , m ) d t + I { m = 0 } 1 λ + s .
Since (compare (13))
t = 0 e s t d t x = 0 t λ e λ x d x y = 0 t x ( λ y ) j j ! e λ y Q i + r ( t x y , m ) d G ( y ) = λ λ + s α j ( s ) q i + r ( s , m ) ,
then, from (12)–(15), (18) and (20)–(22), we obtain
q 0 ( s , m ) = i = 1 K 1 r = 0 K i 1 γ i , r ( s ) q i + r ( s , m ) + δ ( s ) q K ( s , m ) + η ( s , m ) .
Similarly, referring to (16) and (19), we obtain
q n ( s , m ) = i = 0 K n 1 a i ( s ) q n + i 1 ( s , m ) + q K 1 ( s , m ) i = K n a i ( s ) + β n ( s , m ) ,
where 1 n K and
a i ( s ) = d e f 0 e s t A i ( t ) d F ( t ) , s > 0 .
Let us apply to equations of the system (24) and (25) the following substitution:
u n ( s , m ) = d e f q K n ( s , m ) , 0 n K .
Now, from (25), we obtain the following system:
i = 1 n a i + 1 ( s ) u n i ( s , m ) u n ( s , m ) = ϕ n ( s , m ) ,
where 0 n K 1 , and the functionals ϕ n ( s , m ) are defined as follows:
ϕ n ( s , m ) = d e f a n + 1 ( s ) u 0 ( s , m ) u 1 ( s , m ) i = n + 1 a i ( s ) β K n ( s , m ) .
Quite similarly, inserting (27) into (24), we obtain:
u K ( s , m ) = i = 1 K 1 r = 0 K i 1 γ i , r ( s ) u K i r ( s , m ) + δ ( s ) u 0 ( s , m ) + η ( s , m ) .

4. Main Results for Transforms

In this section, we find the closed-form solution of the system (28) and (30), applying Lemma 1. Observe that (28) has the same form as (3), but with functional coefficients a n ( s ) and ϕ n ( s , m ) ,   n 0 . Hence, it is possible to solve (28) by utilizing result (4). Moreover, since the number of equations in (28) is finite compared to (3), the formula for C = C ( s , m ) can be found explicitly, applying the last Equation (30).
Referring to (4), we obtain for n 0 the following formula:
u n ( s , m ) = C ( s , m ) R n + 1 ( s ) + i = 0 n R n i ( s ) ϕ i ( s , m ) ,
where now (compare (7))
R 0 ( s ) = 0 , R 1 ( s ) = a 0 1 ( s ) , R n + 1 ( s ) = R 1 ( s ) R n ( s ) i = 0 n a i + 1 ( s ) R n i ( s ) ,
where n 1 .
Taking n = 0 in (31), we obtain
u 0 ( s , m ) = C ( s , m ) R 1 ( s ) .
Next, substituting n = 1 in (31) and using (29) and (33), we obtain
u 1 ( s , m ) = C ( s , m ) R 2 ( s ) + R 1 ( s ) ϕ 0 ( s , m ) = C ( s , m ) R 2 ( s ) + R 1 ( s ) ( a 1 ( s ) R 1 ( s ) C ( s , m ) u 1 ( s , m ) i = 1 a i ( s ) β K ( s , m ) ) ,
and hence, we derive
u 1 ( s , m ) = ξ ( s ) C ( s , m ) R 2 ( s ) + a 1 ( s ) R 1 2 ( s ) R 1 ( s ) β K ( s , m ) ,
where
ξ ( s ) = d e f 1 1 + R 1 ( s ) i = 1 a i ( s ) = f ( λ + s ) f ( s ) .
Due to the fact that, having (33) and (35), the functionals ϕ n ( s , m ) , n 0 , can be expressed from (29) explicitly if only the representation for C ( s , m ) is known, the main goal at this stage is to find the formula for C ( s , m ) .
Utilizing the representations (29) and (31), we can rewrite (30) in the following form:
u K ( s , m ) = i = 1 K 1 r = 0 K i 1 γ i , r ( s ) u K i r ( s ) + δ ( s ) u 0 ( s , m ) + η ( s , m ) = i = 1 K 1 r = 0 K i 1 γ i , r ( s ) C ( s , m ) R K i r + 1 ( s ) + j = 0 K i r R K i r j ( s ) ϕ j ( s , m ) + δ ( s ) R 1 ( s ) C ( s , m ) + η ( s , m ) = i = 1 K 1 r = 0 K i 1 γ i , r ( s ) { C ( s , m ) R K i r + 1 ( s ) + j = 0 K i r R K i r j ( s ) [ a j + 1 ( s ) R 1 ( s ) C ( s , m ) ξ ( s ) [ C ( s , m ) ( R 2 ( s ) + a 1 ( s ) R 1 2 ( s ) ) R 1 ( s ) β K ( s , m ) ] z = j + 1 a z ( s ) β K j ( s , m ) ] } + δ ( s ) R 1 ( s ) C ( s , m ) + η ( s , m ) = Θ 1 ( s ) C ( s , m ) + Ω 1 ( s , m ) ,
where we denote
Θ 1 ( s ) = d e f i = 1 K 1 r = 0 K i 1 γ i , r ( s ) { R K i r + 1 ( s ) + j = 0 K i r R K i r j ( s ) × a j + 1 ( s ) R 1 ( s ) ξ ( s ) R 2 ( s ) + a 1 ( s ) R 1 2 ( s ) z = j + 1 a z ( s ) } + δ ( s ) R 1 ( s )
and
Ω 1 ( s , m ) = d e f i = 1 K 1 r = 0 K i 1 γ i , r ( s ) j = 0 K i r R K i r j ( s ) × ξ ( s ) R 1 ( s ) β K ( s , m ) z = j + 1 a z ( s ) β K j ( s , m ) + η ( s , m ) .
Similarly, let us substitute n = K into (31) and use the formulae (29), (33) and (35). As a consequence, we obtain
u K ( s , m ) = C ( s , m ) R K + 1 ( s ) + i = 0 K R K i ( s ) { a i + 1 ( s ) R 1 ( s ) C ( s , m ) ξ ( s ) × C ( s , m ) R 2 ( s ) + a 1 ( s ) R 1 2 ( s ) R 1 ( s ) β K ( s , m ) j = i + 1 a j ( s ) β K i ( s , m ) } = C ( s , m ) { R K + 1 ( s ) + i = 0 K R K i ( s ) [ a i + 1 ( s ) R 1 ( s ) ξ ( s ) R 2 ( s ) + a 1 ( s ) R 1 2 ( s ) j = i + 1 a j ( s ) ] } + i = 0 K R K i ( s ) × ξ ( s ) R 1 ( s ) β K ( s , m ) j = i + 1 a j ( s ) β K i ( s , m ) = Θ 2 ( s ) C ( s , m ) + Ω 2 ( s , m ) ,
where
Θ 2 ( s ) = d e f R K + 1 ( s ) + i = 0 K R K i ( s ) [ a i + 1 ( s ) R 1 ( s ) ξ ( s ) R 2 ( s ) + a 1 ( s ) R 1 2 ( s ) j = i + 1 a j ( s ) ]
and
Ω 2 ( s , m ) = d e f i = 0 K R K i ( s ) ξ ( s ) R 1 ( s ) β K ( s , m ) j = i + 1 a j ( s ) β K i ( s , m ) .
By equating the right sides of the Equations (37) and (40), we eliminate C ( s , m ) as follows:
C ( s , m ) = Ω 2 ( s , m ) Ω 1 ( s , m ) Θ 1 ( s ) Θ 2 ( s ) .
Now, the formulae (27), (29), (31), (33), (35) and (43) lead to the following main theorem:
 Theorem 1. 
The representation for the LT of the conditional transient queue-size distribution in the M X / G / 1 / K -type model with batched arrivals and generally distributed setup times is the following:
q n ( s , m ) = 0 e s t P { X ( t ) = m | X ( 0 ) = n } d t = Ω 2 ( s , m ) Ω 1 ( s , m ) Θ 1 ( s ) Θ 2 ( s ) × { R K n + 1 ( s ) + i = 0 K n R K n i ( s ) [ a i + 1 ( s ) R 1 ( s ) ξ ( s ) R 2 ( s ) + a 1 ( s ) R 1 2 ( s ) × j = i + 1 a j ( s ) ] } + i = 0 K n R K n i ( s ) ξ ( s ) R 1 ( s ) β K ( s , m ) j = i + 1 a j ( s ) β K i ( s , m ) ,
where the formulae for β i ( s , m ) ,   a i ( s ) ,   R i ( s ) ,   ξ ( s ) ,     Θ 1 ( s ) ,   Ω 1 ( s , m ) ,   Θ 2 ( s ) and Ω 2 ( s , m ) are given in (19), (26), (32), (36), (38), (39), (41) and (42), respectively.
As a corollary from Theorem 1, let us note that from the formula (44) the stationary queue-size distribution
π m = d e f P { X ( ) = m } = lim t P { X ( t ) = m } ,
where m = 0 , . . . , K , can be found by using the Tauberian theorem.
Indeed, we have
π m = lim s 0 s · q n ( s , m ) = lim s 0 s · 0 e s t P { X ( t ) = m | X ( 0 ) = n } d t ,
where n can be chosen arbitrarily from { 0 , . . . , K } as the stationary queue-size distribution does not depend on the initial number of jobs present in the system.
In practice, for larger values of the constant K, instead of evaluating successive terms of the functional sequence ( R k ( s ) ) via recursive formulae (32), we can apply the following approach. Observe that
k = 0 μ k R k ( s ) = 1 M ( μ , s ) 1 ,
where
M ( μ , s ) = d e f k = 1 μ k a k + 1 ( s ) , | μ | < 1 .
In consequence, the representation (47) can be utilized to find successive terms of the sequence ( R k ( s ) ) . Using Maclaurin’s expansion, we obtain
R k ( s ) = 1 k ! μ 1 M ( μ , s ) 1 | μ = 0 .

5. Numerical Examples

As an illustrating example, let us consider the stream of packets of average sizes 250 B arriving into the node of a wireless network. Assume that the incoming process is modeled via a compound Poisson process with intensity 360 Kbps and let K = 6 .
Let us study two different batch size distributions:
  • P 1 : p 1 = 0.8 , p 2 = 0.2 , p k = 0 , k > 2 ,
  • P 2 : p 1 = p 2 = 0.5 , p k = 0 , k > 2 ,
which give arrival rate parameters λ 1 = 150 and λ 2 = 120 , respectively. In relation to batch distributions, in practice, P 1 can be used as a model of the situation in which packets of size 250 B make 80 percent of incoming traffic while packets of size 500 are “responsible” for 20 percent only. Similarly, in the case of P 2 , the incoming flow consists of packets of sizes 250 B and 500 B which appear with equal frequencies.
Furthermore, let packets be transmitted with speeds 480 Kbps and 360 Kbps, respectively, according to exponential service time distribution. That corresponds to parameters μ 1 = 240 , μ 2 = 180 of the service time distribution, respectively. Having given arrival and serving rates, we obtain the utilization factor ρ of the considered system equal to 0.75 or 1, respectively. Additionally, let us implement an energy saving mechanism: the first arrival after an idle period restarts the server and, simultaneously, initializes a setup time with exponential distribution with mean 2 ms or 20 ms.
The probabilities P { X ( t ) = m | X ( 0 ) = 0 } for factors ρ = 0.75 , ρ = 1 , batch size distributions P 1 ,   P 2 and mean setup times equal 2 ms and 20 ms are presented in Table 1 (for the stationary state, t ) and in Figure 1, Figure 2, Figure 3, Figure 4, Figure 5, Figure 6, Figure 7 and Figure 8 (for the transient case), respectively.
As one can observe, in Figure 1, Figure 2, Figure 3, Figure 4, Figure 5, Figure 6, Figure 7 and Figure 8, essential dependence of the transient queue-size distribution on the utilization factor (occupation rate) is visible. In fact, the greater the value of ρ , the longer the process of “stabilization” of the characteristic about the stationary value. Moreover, the dependence on the type of probability distribution of the batch size is shown. Finally, the impact of the mean setup time duration on the convergence rate of the transient characteristic to the stationary one can be noticed: the longer the setup time duration, the lower the corresponding convergence rate.

6. Conclusions

In the paper, a queuing system in which entering messages occur in groups according to a compound Poisson process and are served individually with arbitrary service time distribution is studied. It is assumed that a setup time with a general-type distribution function precedes the first processing in a new busy period. The investigated model has potential applications in the analysis of the transmission process, e.g., in nodes of WSNs, in which an energy saving mechanism is implemented. A system of integral equations for conditional non-steady queue-size distribution is found and next solved explicitly in terms of LTs. From the representation of the solution, the stationary queue-size distribution can be derived simply by using the Tauberian theorem. Illustrative numerical computations are presented.

Author Contributions

Conceptualization, W.M.K. and D.K.; Data curation, W.M.K. and D.K.; Formal analysis, W.M.K. and D.K.; Funding acquisition, W.M.K.; Investigation, W.M.K. and D.K.; Methodology, W.M.K. and D.K.; Project administration, W.M.K.; Resources, W.M.K. and D.K.; Software, W.M.K. and D.K.; Supervision, W.M.K.; Validation, W.M.K. and D.K.; Visualization, W.M.K. and D.K.; Writing—original draft, W.M.K. and D.K.; Writing—review & editing, W.M.K. and D.K. All authors have read and agreed to the published version of the manuscript.

Funding

This research received no external funding.

Data Availability Statement

Not applicable.

Conflicts of Interest

The authors declare no conflict of interest.

References

  1. Chen, P.; Zhou, W.; Zhou, Y. Equilibrium customer strategies in the queue with threshold policy and setup times. Math. Probl. Eng. 2015, 2015, 361901. [Google Scholar] [CrossRef]
  2. Sun, W.; Guo, P.; Tian, N. Equilibrium threshold strategies in observable queueing systems with setup/closedown times. Cent. Eur. J. Oper. Res. 2010, 18, 241–268. [Google Scholar] [CrossRef]
  3. Burnetas, A.; Economou, A. Equilibrium customer strategies in a single server Markovian queue with setup times. Queueing Syst. 2007, 56, 213–228. [Google Scholar] [CrossRef]
  4. Choudhury, G. On a batch arrival poisson queue with a random setup time and vacation period. Comput. Oper. Res. 1998, 25, 1013–1026. [Google Scholar] [CrossRef]
  5. Hur, S.; Ahn, S. Batch arrival queues with vacations and server setup. Appl. Math. Model. 2005, 29, 1164–1181. [Google Scholar] [CrossRef]
  6. Choudhury, G. A batch arrival queue with a vacation time under single vacation policy. Comput. Oper. Res. 2002, 29, 1941–1955. [Google Scholar] [CrossRef]
  7. Arumuganathan, R.; Jeyakumar, S. Steady state analysis of a bulk queue with multiple vacations, setup times with N-policy and closedown times. Appl. Math. Model. 2010, 29, 972–986. [Google Scholar] [CrossRef]
  8. Ke, J.-C.; Wang, K.-H. A recursive method for the N policy G/M/1 queueing system with finite capacity. Eur. J. Oper. 2002, 143, 577–594. [Google Scholar] [CrossRef]
  9. Ma, Q. Analysis of a clearing queueing system with setup times. RAIRO-Oper. Res. 2015, 49, 67–76. [Google Scholar] [CrossRef]
  10. Kampa, A.; Paprocka, I. Analysis of energy efficient scheduling of the manufacturing line with finite buffer capacity and machine setup and shutdown times. Energies 2021, 14, 7446. [Google Scholar] [CrossRef]
  11. Khan, I.E.; Paramasivam, R. Reduction in waiting time in an M/M/1/N encouraged arrival queue with feedback, balking and maintaining of reneged customers. Symmetry 2022, 14, 1743. [Google Scholar] [CrossRef]
  12. Yen, T.-C.; Wang, K.-H.; Chen, J.-Y. Optimization analysis of the N-policy M/G/1 queue with working breakdowns. Symmetry 2020, 12, 583. [Google Scholar] [CrossRef]
  13. Baklizi, M. Weight queue dynamic active queue management algorithm. Symmetry 2020, 12, 2077. [Google Scholar] [CrossRef]
  14. Sun, Q.; Jin, S.; Chen, C. Energy analysis of sensor nodes in WSN based on discrete-time queueing model with a setup. In Proceedings of the Chinese Control and Decision Conference (CCDC), Xuzhou, China, 26–28 May 2010; pp. 4114–4118. [Google Scholar]
  15. Yue, W.; Sun, Q.; Jin, S. Performance analysis of sensor nodes in a WSN with sleep/wakeup protocol. In Proceedings of the International Symposium Operations Research and Its Applications, Chengdu, China, 19–23 August 2010; Volume 12, pp. 370–377. [Google Scholar]
  16. Edward, E.P. A novel seamless handover scheme for WiMAX/LTE heterogeneous networks. Arab. J. Sci. Eng. 2016, 41, 1129–1143. [Google Scholar] [CrossRef]
  17. Kim, M.-K. Efficient link scheduling based on estimated number of packets in queue on industrial wireless sensor networks. Energies 2021, 14, 6370. [Google Scholar] [CrossRef]
  18. Niu, Z.; Guo, X.; Zhou, S.; Kumar, P.R. Characterizing energy–delay tradeoff in hyper-cellular networks with base station sleeping control. IEEE J. Sel. Areas Commun. 2015, 33, 641–650. [Google Scholar] [CrossRef]
  19. Hu, J.; Phung-Duc, T. Power consumption analysis for data centers with independent setup times and threshold controls. In Proceedings of the International Conference of Numerical Analysis and Applied Mathematics 2014 (ICNAAM-2014), Rodhes, Greece, 22–28 September 2014; AIP Publishing: Melville, NY, USA, 2015; Volume 1648. [Google Scholar]
  20. Qi, Y.; Wang, D.; Lan, Y.; Jia, H.; Wang, C.; Liu, K.; Hu, Q.; Fan, M. A two-level optimal scheduling strategy for central air-conditioners based on metal model with comprehensive state-queueing control models. Energies 2017, 10, 2133. [Google Scholar] [CrossRef]
  21. Ammar, S.I.; Zeifman, A.I.; Satin, Y.; Kiseleva, K.; Korolev, V. On limiting characteristics for a non-stationary two-processor heterogeneous system with catastrophes, server failures and repairs. J. Ind. Manag. Optim. 2021, 17, 1057. [Google Scholar] [CrossRef]
  22. Markova, E.; Satin, Y.; Kochetkova, I.; Zeifman, A.; Sinitcina, A. Queuing system with unreliable servers and inhomogeneous intensities for analyzing the impact of non-stationarity to performance measures of wireless network under licensed shared access. Mathematics 2020, 8, 800. [Google Scholar] [CrossRef]
  23. Kempa, W.M. On transient queue-size distribution in the batch-arrivals system with a single vacation policy. Kybernetika 2014, 50, 126–141. [Google Scholar] [CrossRef][Green Version]
  24. Kempa, W.M. A comprehensive study on the queue-size distribution in a finite-buffer system with a general independent input flow. Perform. Eval. 2017, 108, 1–15. [Google Scholar] [CrossRef]
  25. Kempa, W.M. On transient queue-size distribution in the batch arrival system with the N-policy and setup times. Math. Commun. 2012, 17, 285–302. [Google Scholar]
  26. Kempa, W.M.; Kurzyk, D. Transient departure process in M/G/1/K-type queue with threshold server’s waking up. In Proceedings of the 2015 23rd International Conference on Software, Telecommunications and Computer Networks (SoftCOM), Split, Croatia, 16–18 September 2015; pp. 32–36. [Google Scholar]
  27. Kempa, W.M.; Kurzyk, D. Time-dependent queue-size distribution in a finite-buffer model with server setup times. In Proceedings of the 2016 Federated Conference on Computer Science and Information Systems (FedCSIS), Gdansk, Poland, 11–14 September 2016; Ganzha, M., Maciaszek, L., Paprzycki, M., Eds.; ACSIS: New Jersey, NJ, USA, 2016; Volume 8, pp. 1015–1019. [Google Scholar]
  28. Kempa, W.M. The transient analysis of the queue-length distribution in the batch arrival system with N-policy, multiple vacations and setup times. AIP Conf. Proc. 2010, 1293, 235–242. [Google Scholar]
  29. Kempa, W.M.; Paprocka, I. Analytical solution for time-dependent queue-size behavior in the manufacturing line with finite buffer capacity and machine setup and closedown times. In Applied Mechanics and Materials; Trans Tech Publications Ltd.: Wollerau, Switzerland, 2015; Volume 809, pp. 1360–1365. [Google Scholar]
  30. Vishnevsky, V.; Vytovtov, K.; Barabanova, E.; Semenova, O. Transient behavior of the MAP/M/1/N queuing system. Mathematics 2021, 9, 2559. [Google Scholar] [CrossRef]
  31. Vishnevsky, V.; Vytovtov, K.; Barabanova, E.; Semenova, O. Analysis of an MAP/M/1/N queue with periodic and non-periodic piecewise constant input rate. Mathematics 2022, 10, 1684. [Google Scholar] [CrossRef]
  32. Korolyuk, V.S. Boundary-value problems for compound Poisson processes. Theory Probab. Its Appl. 1974, 19, 1–13. [Google Scholar] [CrossRef]
  33. Cohen, J.W. The Single Server Queue; North-Holland Publishing Co.: Amsterdam, The Netherlands, 1982. [Google Scholar]
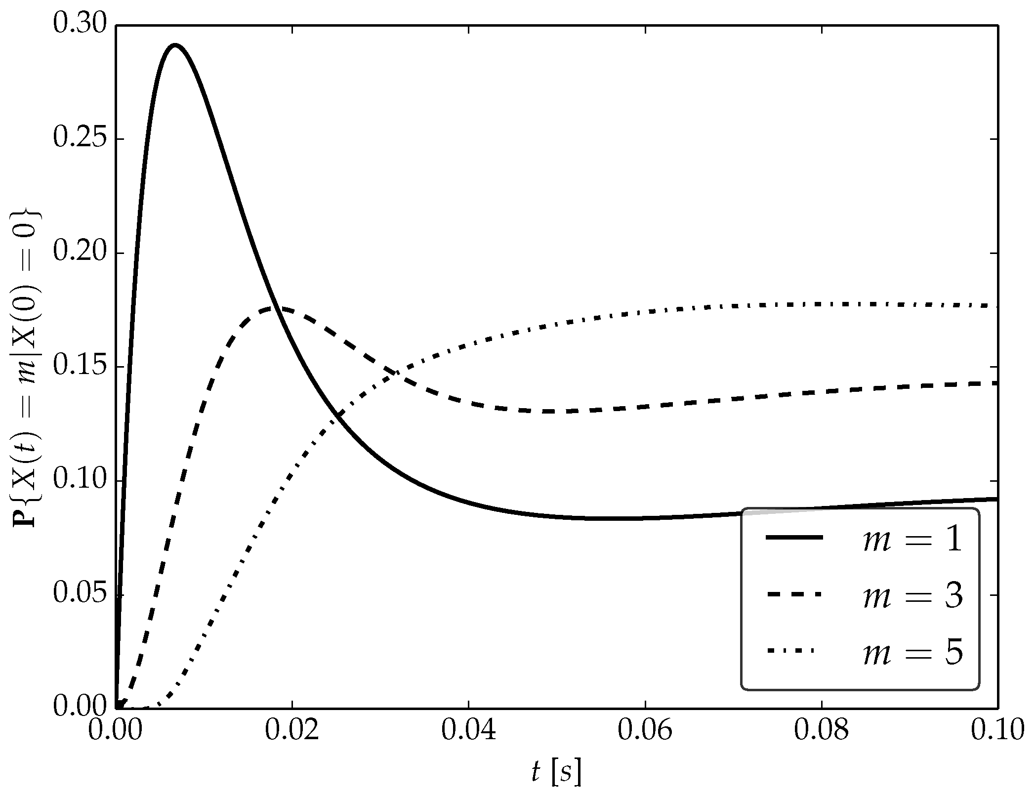
Figure 1. Transient probabilities P { X ( t ) = m | X ( 0 ) = 0 } for P 1 , ρ = 0.75 and mean setup time equal 2 ms.
Figure 1. Transient probabilities P { X ( t ) = m | X ( 0 ) = 0 } for P 1 , ρ = 0.75 and mean setup time equal 2 ms.
Energies 15 08471 g001
Figure 2. Transient probabilities P { X ( t ) = m | X ( 0 ) = 0 } for P 2 , ρ = 0.75 and mean setup time equal 2 ms.
Figure 2. Transient probabilities P { X ( t ) = m | X ( 0 ) = 0 } for P 2 , ρ = 0.75 and mean setup time equal 2 ms.
Energies 15 08471 g002
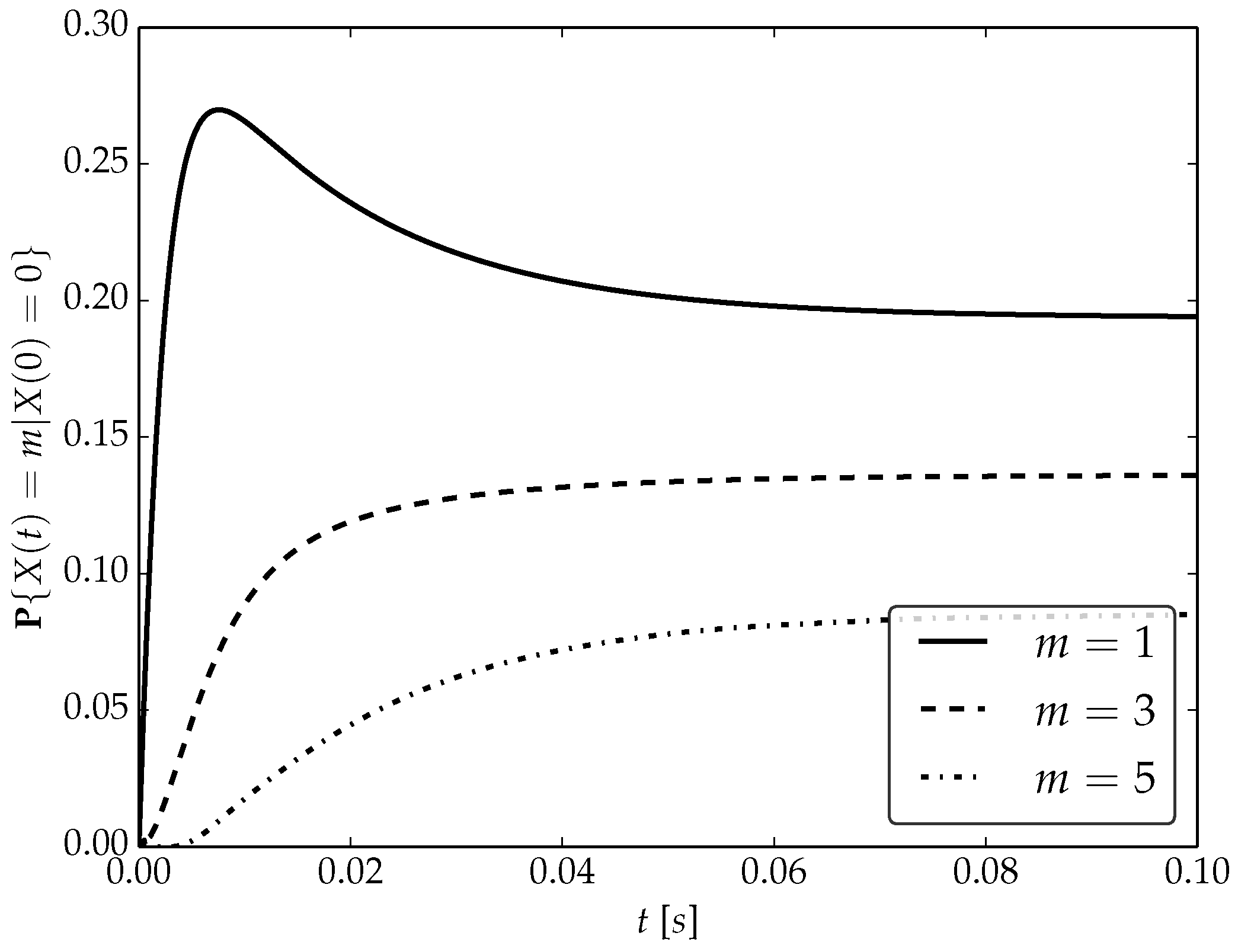
Figure 3. Transient probabilities P { X ( t ) = m | X ( 0 ) = 0 } for P 1 , ρ = 0.75 and mean setup time equal 20 ms.
Figure 3. Transient probabilities P { X ( t ) = m | X ( 0 ) = 0 } for P 1 , ρ = 0.75 and mean setup time equal 20 ms.
Energies 15 08471 g003
Figure 4. Transient probabilities P { X ( t ) = m | X ( 0 ) = 0 } for P 2 , ρ = 0.75 and mean setup time equal 20 ms.
Figure 4. Transient probabilities P { X ( t ) = m | X ( 0 ) = 0 } for P 2 , ρ = 0.75 and mean setup time equal 20 ms.
Energies 15 08471 g004
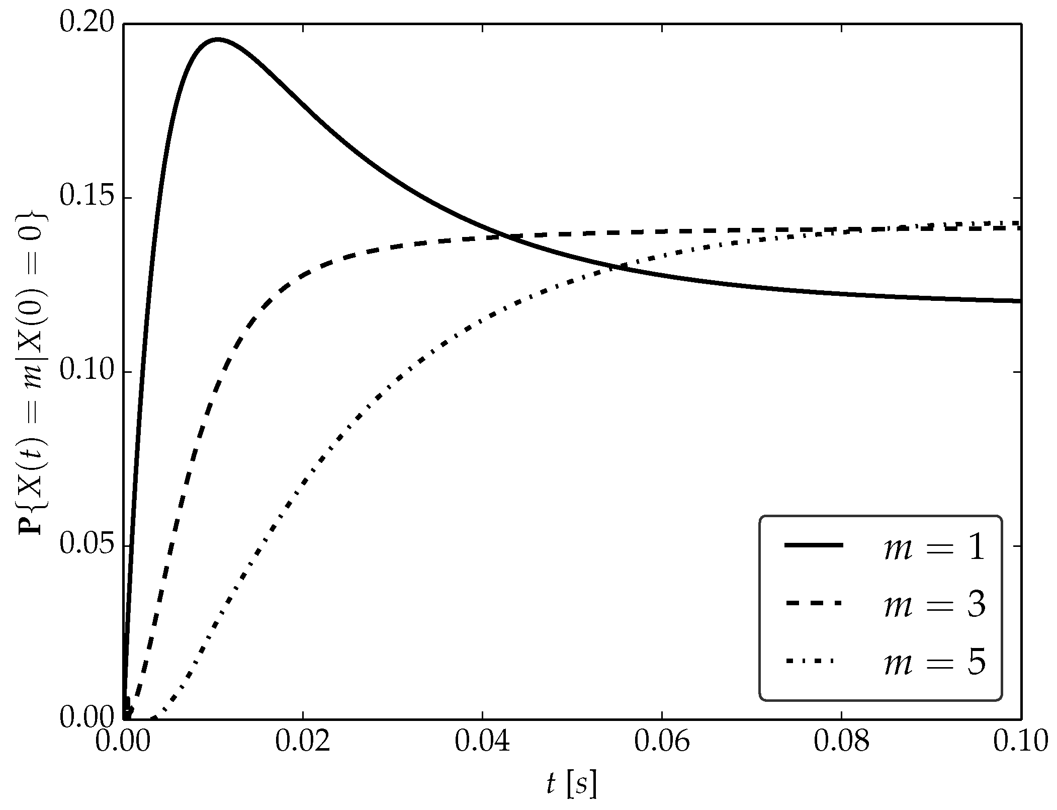
Figure 5. Transient probabilities P { X ( t ) = m | X ( 0 ) = 0 } for P 1 , ρ = 1 and mean setup time equal 2 ms.
Figure 5. Transient probabilities P { X ( t ) = m | X ( 0 ) = 0 } for P 1 , ρ = 1 and mean setup time equal 2 ms.
Energies 15 08471 g005
Figure 6. Transient probabilities P { X ( t ) = m | X ( 0 ) = 0 } for P 2 , ρ = 1 and mean setup time equal 2 ms.
Figure 6. Transient probabilities P { X ( t ) = m | X ( 0 ) = 0 } for P 2 , ρ = 1 and mean setup time equal 2 ms.
Energies 15 08471 g006
Figure 7. Transient probabilities P { X ( t ) = m | X ( 0 ) = 0 } for P 1 , ρ = 1 and mean setup time equal 20 ms.
Figure 7. Transient probabilities P { X ( t ) = m | X ( 0 ) = 0 } for P 1 , ρ = 1 and mean setup time equal 20 ms.
Energies 15 08471 g007
Figure 8. Transient probabilities P { X ( t ) = m | X ( 0 ) = 0 } for P 2 , ρ = 1 and mean setup time equal 20 ms.
Figure 8. Transient probabilities P { X ( t ) = m | X ( 0 ) = 0 } for P 2 , ρ = 1 and mean setup time equal 20 ms.
Energies 15 08471 g008
Table 1. Stationary distributions π m for utilization factors ρ = 0.75 , ρ = 1 , batch size distributions P 1 , P 2 and mean setup times equal 2 and 20 ms.
Table 1. Stationary distributions π m for utilization factors ρ = 0.75 , ρ = 1 , batch size distributions P 1 , P 2 and mean setup times equal 2 and 20 ms.
π m = P { X ( ) = m | X ( 0 ) = 0 }
ρ = 0.75 ρ = 1
m P 1 P 2 P 1 P 2
Mean setup time equals 2 ms
1 0.193688 0.157534 0.134491 0.118967
3 0.136140 0.130957 0.146078 0.141245
5 0.085300 0.089495 0.147105 0.144444
Mean setup time equals 20 ms
1 0.115951 0.106959 0.088952 0.085723
3 0.134825 0.135847 0.136159 0.136760
5 0.121891 0.128069 0.164976 0.166223
Publisher’s Note: MDPI stays neutral with regard to jurisdictional claims in published maps and institutional affiliations.

Share and Cite

MDPI and ACS Style

Kempa, W.M.; Kurzyk, D. Analysis of Non-Steady Queue-Length Distribution in a Finite-Buffer Model with Group Arrivals and Power Saving Mechanism with Setups. Energies 2022, 15, 8471. https://doi.org/10.3390/en15228471

AMA Style

Kempa WM, Kurzyk D. Analysis of Non-Steady Queue-Length Distribution in a Finite-Buffer Model with Group Arrivals and Power Saving Mechanism with Setups. Energies. 2022; 15(22):8471. https://doi.org/10.3390/en15228471

Chicago/Turabian Style

Kempa, Wojciech M., and Dariusz Kurzyk. 2022. "Analysis of Non-Steady Queue-Length Distribution in a Finite-Buffer Model with Group Arrivals and Power Saving Mechanism with Setups" Energies 15, no. 22: 8471. https://doi.org/10.3390/en15228471

APA Style

Kempa, W. M., & Kurzyk, D. (2022). Analysis of Non-Steady Queue-Length Distribution in a Finite-Buffer Model with Group Arrivals and Power Saving Mechanism with Setups. Energies, 15(22), 8471. https://doi.org/10.3390/en15228471

Note that from the first issue of 2016, this journal uses article numbers instead of page numbers. See further details here.

Article Metrics

Back to TopTop