Numerical Simulation of Spray Combustion with Ultrafine Oxygen Bubbles
Abstract
1. Introduction
2. Numerical Model
2.1. Numerical Domain and Conditions
2.2. Conservation Equations of Gas Phase
- Continuity equation
- Momentum equation
- Energy equation
- Species equation
- Ideal-gas equation
2.3. Equation of Fuel Droplet by PSI-CELL Model
3. Results and Discussion
3.1. Combustion Field of Fuel Droplet with Ultrafine Bubbles
3.2. Effects of Oxygen Concentration in Fuel Droplet
3.3. Effects of Diameter and Number of Injected Droplets per Unit Time
4. Conclusions
- (1)
- Before ignition, the fuel droplets move downstream and evaporate, and the flammable mixture is formed, which is important for causing the ignition. When there is no oxygen in the fuel droplet, most of the flames are diffusion flames. On the other hand, when oxygen exists in the droplets, premixed flames are formed at the upstream edge of the fuel spray. Simultaneously, the diffusion flame is observed outside the premixed flame. After some time after ignition, the inner premixed flame disappears, and only the outer diffusion flame remains, followed by the premixed flame of the unburned fuel reacted with oxygen in the ambient air.
- (2)
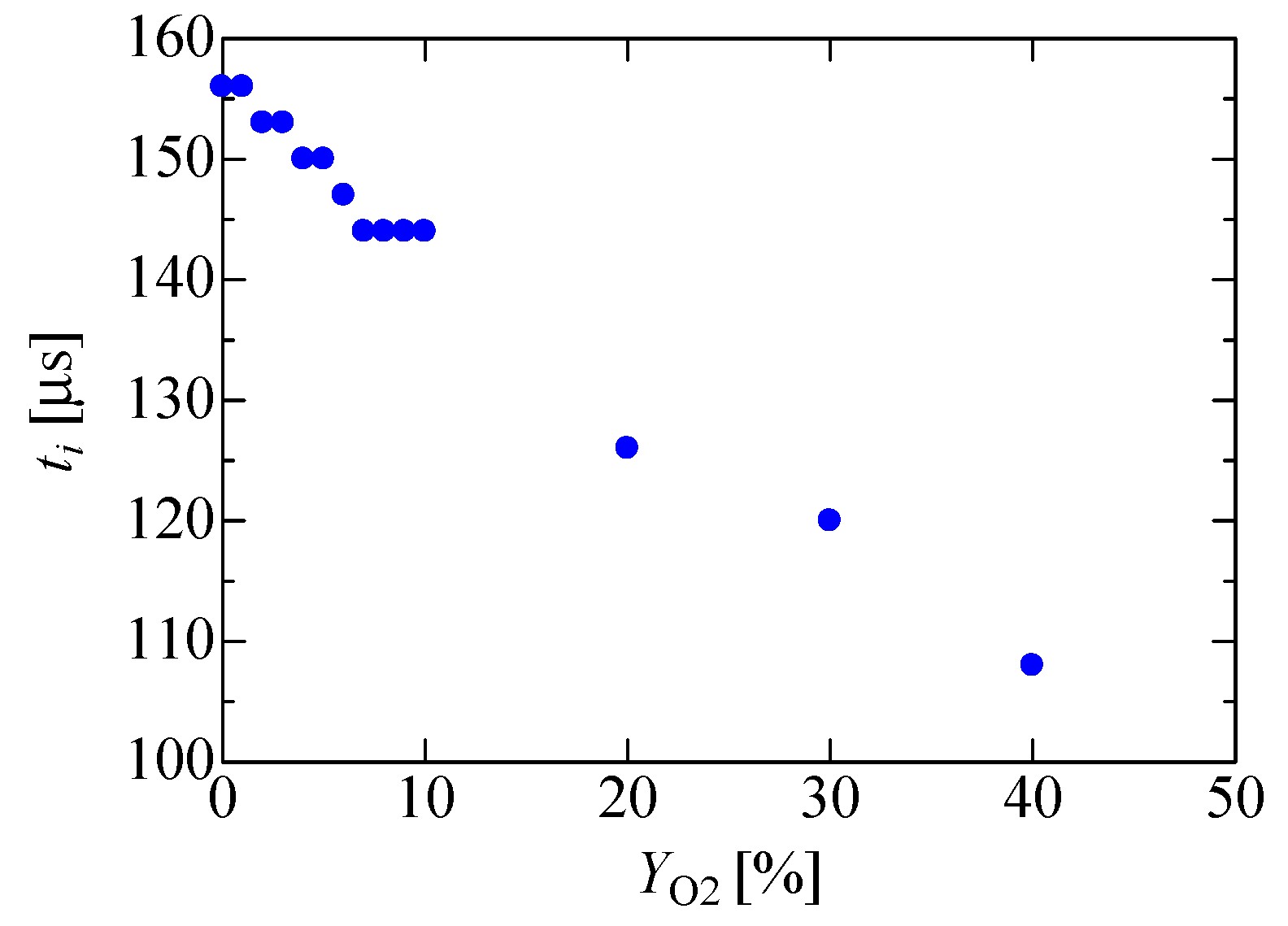
- The ignition time is determined by the period when the flammable mixture is formed. Due to the effects of ultrafine oxygen bubbles, the ignition time is shortened. This is because the flammable mixture is easily established in the region where the fuel coexists with oxygen. After ignition, a steep temperature increase is observed, which affects the subsequent fuel evaporation and reaction rate, with a higher maximum temperature.
- (3)
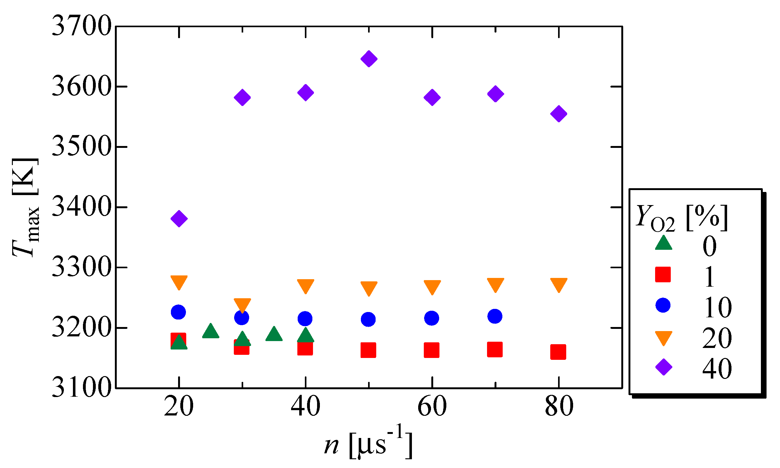
- As the droplet diameter is smaller than 10 µm, the ignition time is shorter. However, when the droplet diameter is too large, more evaporation time is needed and the ignition time is conversely longer. As the number of injected droplets per unit time is higher, the ignition time increases. For YO2 = 20% or more, the ignition time is always shorter with an increase of the droplet diameter, with a higher maximum temperature. It corresponds to the condition that there are premixed flames formed by decane and oxygen contained in the fuel droplet. Thus, for discussing the ignition time, the balance between the evaporated fuel and oxygen in the gas phase is important.
Author Contributions
Funding
Conflicts of Interest
References
- Ghezloun, A.; Saidane, A.; Merabet, H. The COP 22 New commitments in support of the Paris Agreement. Energy Procedia 2017, 119, 10–16. [Google Scholar] [CrossRef]
- Máté, D.; Novotny, A.; Meyer, D.F. The impact of sustainability goals on productivity growth: The moderating role of global warming. Int. J. Environ. Res. Public Health 2021, 18, 11034. [Google Scholar] [CrossRef] [PubMed]
- Moral, F.J.; Rebollo, F.J.; Valiente, P.; López, F. Modeling of atmospheric pollution in urban and rural sites using a probabilistic and objective approach. Appl. Sci. 2019, 9, 4009. [Google Scholar] [CrossRef]
- Liu, H.; Li, Q.; Yu, D.; Gu, Y. Air quality index and air pollutant concentration prediction based on machine learning algorithms. Appl. Sci. 2019, 9, 4069. [Google Scholar] [CrossRef]
- Hinojosa-Baliño, I.; Infante-Vázquez, O.; Vallejo, M. Distribution of PM2.5 air pollution in Mexico City: Spatial analysis with land-use regression model. Appl. Sci. 2019, 9, 2936. [Google Scholar] [CrossRef]
- Zhao, W.; Liu, Y.; Wei, H.; Zhang, R.; Luo, G.; Hou, H.; Chen, S.; Zhang, R. NO removal by plasma-enhanced NH3-SCR using methane as an assistant reduction agent at low temperature. Appl. Sci. 2019, 9, 2751. [Google Scholar] [CrossRef]
- Aoyagi, Y. Improvement of BSFC and effective NOx and PM reduction by high EGR rates in heavy duty diesel engine. Combust. Engines 2017, 56, 4–10. [Google Scholar] [CrossRef]
- Kang, S.; Lee, S.; Bae, C. Effects of multi-stage split injection on efficiency and emissions of light-duty diesel engine. Energies 2022, 15, 2219. [Google Scholar] [CrossRef]
- Johnson, T. Vehicular emissions in review. SAE Int. J. Engines 2016, 9, 1258–1275. [Google Scholar] [CrossRef]
- Winkler, S.L.; Anderson, J.E.; Garza, L.; Ruona, W.C.; Vogt, R.; Wallington, T.J. Vehicle criteria pollutant (PM, NOx, CO, HCs) emissions: How low should we go? Clim. Atmos. Sci. 2018, 1, 26. [Google Scholar] [CrossRef]
- Gauthier, C.; Sename, O.; Dugard, L.; Meissonnier, G. Modelling of a diesel engine common rail injection system. IFAC Proc. Vol. 2005, 38, 188–193. [Google Scholar] [CrossRef]
- Guang, T.X.; Lang, S.H.; Tao, Q.; Qiang, F.Z.; Hui, Y.W. The impact of common rail system’s control parameters on the performance of high-power diesel. Energy Procedia 2012, 16, 2067–2072. [Google Scholar] [CrossRef]
- Kamaltdinov, V.G.; Markov, V.A.; Lysov, I.O.; Zherdev, A.A.; Furman, V.V. Experimental studies of fuel injection in a diesel engine with an inclined injector. Energies 2019, 12, 2643. [Google Scholar] [CrossRef]
- Schejbal, M.; Štěpánek, J.; Marek, M.; Kočí, P.; Kubíček, M. Modelling of soot oxidation by NO2 in various types of diesel particulate filters. Fuel 2010, 89, 2365–2375. [Google Scholar] [CrossRef]
- Tzamkiozis, T.; Ntziachristos, L.; Samaras, Z. Diesel passenger car PM emissions: From Euro 1 to Euro 4 with particle filter. Atmos. Environ. 2010, 44, 909–916. [Google Scholar] [CrossRef]
- Lapuerta, M.; Oliva, F.; Agudelo, J.R.; Boehman, A.L. Effect of fuel on the soot nanostructure and consequences on loading and regeneration of diesel particulate filters. Combust. Flame 2012, 159, 844–853. [Google Scholar] [CrossRef]
- Tsuneyoshi, K.; Yamamoto, K. Experimental study of hexagonal and square diesel particulate filters under controlled and uncontrolled catalyzed regeneration. Energy 2013, 60, 325–332. [Google Scholar] [CrossRef]
- Yamamoto, K.; Yoshizawa, K. Fuel supply system to DOC by nanopore-ceramic tube and measurement of fuel evaporation rate. Fuel 2021, 298, 120793. [Google Scholar] [CrossRef]
- Gürü, M.; Karakaya, U.; Altıparmak, D.; Alıcılar, A. Improvement of diesel fuel properties by using additives. Energy Convers. Manag. 2002, 43, 1021–1025. [Google Scholar] [CrossRef]
- Jeevanantham, A.K.; Nanthagopal, K.; Ashok, B.; Al-Muhtaseb, A.H.; Thiyagarajan, S.; Geo, V.E.; Ong, H.C.; Samuel, K.J. Impact of addition of two ether additives with high speed diesel-Calophyllum Inophyllum biodiesel blends on NOx reduction in CI engine. Energy 2019, 185, 39–54. [Google Scholar] [CrossRef]
- Cheng, A.S.; Dibble, R.W.; Buchholz, B.A. The effect of oxygenates on diesel engine particulate matter. SAE Tech. Pap. 2002, 1, 1705. [Google Scholar]
- Wittka, T.; Müller, V.; Dittmann, P.; Pischinger, S. Development and investigation of diesel fuel reformer for LNT regeneration. Emiss. Control Sci. Technol. 2015, 1, 226–236. [Google Scholar] [CrossRef][Green Version]
- Remzi, J.P.; Jan, C.S.; Tschauder, M.A.; Peters, R. Recent advances in diesel autothermal reformer design. Int. J. Hydrogen Energy 2020, 45, 2279–2288. [Google Scholar]
- Woo, S.; Kim, W.; Lee, J.; Lee, K. Fuel properties of water emulsion fuel prepared using porous membrane method for low pollutant engine at various temperatures. Energy Rep. 2021, 7, 6638–6650. [Google Scholar] [CrossRef]
- Mukayama, T.; Hattori, Y.; Kuribayashi, M.; Asai, G.; Matsumura, E.; Senda, J. Effects of spray internal EGR using CO2 gas dissolved fuel on combustion characteristics and emissions in diesel engine. SAE Tech. Pap. 2019, 32, 0592. [Google Scholar]
- Cardone, M.; Marialto, R.; Ianniello, R.; Lazzaro, M.; Di Blasio, G. Spray analysis and combustion assessment of diesel-LPG fuel blends in compression ignition engine. Fuels 2021, 2, 1–15. [Google Scholar] [CrossRef]
- Zhang, X.; Li, T.; Ma, P.; Wang, B. Spray combustion characteristics and soot emission reduction of hydrous ethanol diesel emulsion fuel using color-ratio pyrometry. Energies 2017, 10, 2262. [Google Scholar] [CrossRef]
- Mukayama, T.; Yamamoto, J.; Kuribayashi, M.; Asai, G.; Matsumura, E.; Senda, J. Improvement of combustion characteristics and emissions by applying CO2 gas dissolved fuel in diesel engine. SAE Tech. Pap. 2019, 1, 2274. [Google Scholar]
- Terasaka, K.; Yasui, K.; Kanematsu, W.; Aya, N. Ultrafine Bubbles, 1st ed.; Jenny Stanford Publishing: Dubai, United Arab Emirates, 2021. [Google Scholar] [CrossRef]
- Nakahara, H. Study on the air-mixed fuel injection in a diesel engine. Proceeding JSAE 1991, 912, 35–38. [Google Scholar]
- Ohashi, K.; Maruyama, S. Reduction of smoke emission in diesel engines by injection of air-solved fuel. Rep. Mech. Eng. Lab. 1991, 46, 46–57. [Google Scholar]
- Le Coz, J.F.; Cherel, J.; Le Mirronet, S. Fuel/air mixing process and combustion in an optical direct-injection engine. Oil Gas Sci. Technol. 2003, 58, 63–78. [Google Scholar] [CrossRef][Green Version]
- Nakatake, Y.; Kisu, S.; Eguchi, T. Effect of nano air-bubbles mixed into gas oil on common-rail diesel engine. Energy 2013, 59, 233–239. [Google Scholar] [CrossRef]
- Imazu, H.; Kojima, Y. Physical properties and combustion characteristics of emulsion fuels of water/diesel fuel and water/diesel fuel/vegetable oil prepared by ultrasonication. J. Jpn. Pet. Inst. 2013, 56, 52–57. [Google Scholar] [CrossRef]
- Wen, H.; Jiang, Y.; Ma, J. Effect of fuel mass flow at the end of injection on cavitation and gas ingestion in the nozzle. Appl. Sci. 2021, 11, 258. [Google Scholar] [CrossRef]
- Hagihara, K.; Yamashita, H.; Yamamoto, K. Numerical study on influence of size and number density of droplet on spray combustion mode. J. Combust. Soc. Jpn. 2009, 51, 343–353. (In Japanese) [Google Scholar]
- Crowe, C.T.; Sharma, M.P.; Stock, D.E. The particle-source-in cell model for gas-droplet flows. Trans. ASME J. Fluids Eng. 1977, 99, 325–332. [Google Scholar] [CrossRef]
- Novozhilov, V.; Joseph, P.; Ishiko, K.; Shimada, T.; Wang, H.; Liu, J. Polymer combustion as a basis for hybrid propulsion: A comprehensive review and new numerical approaches. Energies 2011, 4, 1779–1839. [Google Scholar] [CrossRef]
- Anisiuba, V.; Ma, H.; Silaen, A.; Zhou, C. Computational studies of air-mist spray cooling in continuous casting. Energies 2021, 14, 7339. [Google Scholar] [CrossRef]
- Ur Rahman, U.J.; Pozarlik, A.K. Numerical study and experimental validation of skim milk drying in a process intensified counter flow spray dryer. Energies 2021, 14, 4974. [Google Scholar] [CrossRef]
- Semibo, V.; Andrade, P.; Carvalho, M. Spray characterization: Numerical prediction of Sauter mean diameter and droplet size distribution. Fuel 1996, 75, 1707–1714. [Google Scholar] [CrossRef]
- Gallot-Lavallée, S.; Jones, W.P.; Marquis, A.J. Large eddy simulation of an ethanol spray flame with secondary droplet breakup. Flow Turbul. Combust. 2021, 107, 709–743. [Google Scholar] [CrossRef]
- Han, J.S.; Wang, T.C.; Xie, X.B.; Lai, M.C.; Henein, N.A.; Harrington, D.L.; Pinson, J.; Miles, P. Dynamics of multiple-injection fuel sprays in a small-bore HSDI diesel engine. J. Engines 2000, 109, 1538–1554. [Google Scholar]
- Mohaddes, D.; Boettcher, P.; Ihme, M. Hot surface ignition of a wall-impinging fuel spray: Modeling and analysis using large-eddy simulation. Combust. Flame 2021, 228, 443–456. [Google Scholar] [CrossRef]
- Yamashita, H.; Baum, H.R.; Kushida, G.; Nakabe, K.; Kashiwagi, T. Heat transfer from radiatively heated material in a low Reynolds number microgravity environment. J. Heat Transf. 1993, 115, 418–425. [Google Scholar] [CrossRef]
- Nakabe, K.; McGrattan, K.B.; Kashiwagi, T.; Baum, H.R.; Yamashita, H.; Kushida, G. Ignition and transition to flame spread over a thermally thin cellulosic sheet in a microgravity environment. Combust. Flame 1994, 98, 361–374. [Google Scholar] [CrossRef]
- Yamashita, H.; Shimada, M.; Takeno, T. A numerical study on flame stability at the transition point of jet diffusion flames. Symp. Int. Combust. 1996, 26, 27–34. [Google Scholar] [CrossRef]
- Yamamoto, K.; Ishizuka, S.; Hirano, T. Effects of pressure diffusion on the characteristics of tubular flames. Symp. Int. Combust. 1996, 26, 1129–1135. [Google Scholar] [CrossRef]
- Nakamura, Y.; Kushida, G.; Yamashita, H.; Takeno, T. Effects of gravity and ambient oxygen on a gas-phase ignition over a heated solid fuel. Combust. Flame 2000, 120, 34–48. [Google Scholar] [CrossRef]
- Yamamoto, K.; Ogata, Y.; Yamashita, H. Flame structure and flame spread rate over a solid fuel in partially premixed atmospheres. Proc. Combust. Inst. 2011, 33, 2441–2448. [Google Scholar] [CrossRef]
- Patanker, S.V. Numerical Heat Transfer and Fluid Flow; Mcgraw-Hill: New York, NY, USA, 1980. [Google Scholar]
- Kee, R.J.; Rupley, F.M.; Meeks, E.; Miller, J.A. CHEMKIN-II: A FORTRAN chemical kinetics package for the analysis of gas-phase chemical kinetics. SAND 1989, 89, 8009. [Google Scholar]
- Smooke, M.D. Reduced Kinetic Mechanisms and Asymptotic Approximations for Methane-Air Flames; Springer: Berlin, Germany, 1991. [Google Scholar]
- Westbrook, C.K.; Dryer, F.L. Simplified reaction mechanisms for the oxidation of hydrocarbon fuels in flames. Combust. Sci. Technol. 1981, 27, 31–43. [Google Scholar] [CrossRef]
- Kanury, M.A. Introduction to Combustion Phenomena; Gordon and Breach Science Publishers: Philadelphia, PA, USA, 1975; pp. 142–194. [Google Scholar]
- Crowl, D.A. Minimize the risks of flammable materials. Chem. Eng. Prog. 2012, 108, 28–33. [Google Scholar]
- Glassman, I.; Yetter, R.A.; Glumac, N.G. Combustion, 5th ed.; Academic Press: Cambridge, MA, USA, 2014; pp. 363–391. [Google Scholar]

















Publisher’s Note: MDPI stays neutral with regard to jurisdictional claims in published maps and institutional affiliations. |
© 2022 by the authors. Licensee MDPI, Basel, Switzerland. This article is an open access article distributed under the terms and conditions of the Creative Commons Attribution (CC BY) license (https://creativecommons.org/licenses/by/4.0/).
Share and Cite
Yamamoto, K.; Akai, Y.; Hayashi, N. Numerical Simulation of Spray Combustion with Ultrafine Oxygen Bubbles. Energies 2022, 15, 8467. https://doi.org/10.3390/en15228467
Yamamoto K, Akai Y, Hayashi N. Numerical Simulation of Spray Combustion with Ultrafine Oxygen Bubbles. Energies. 2022; 15(22):8467. https://doi.org/10.3390/en15228467
Chicago/Turabian StyleYamamoto, Kazuhiro, Yusei Akai, and Naoki Hayashi. 2022. "Numerical Simulation of Spray Combustion with Ultrafine Oxygen Bubbles" Energies 15, no. 22: 8467. https://doi.org/10.3390/en15228467
APA StyleYamamoto, K., Akai, Y., & Hayashi, N. (2022). Numerical Simulation of Spray Combustion with Ultrafine Oxygen Bubbles. Energies, 15(22), 8467. https://doi.org/10.3390/en15228467
