Next Article in Journal
Mean Flow, Turbulent Structures, and SPOD Analysis of Thermal Mixing in a T-Junction with Variation of the Inlet Flow Profile
Next Article in Special Issue
Performance Assessment of Solar Desiccant Air Conditioning System under Multiple Controlled Climatic Zones of Pakistan
Previous Article in Journal
Comprehensive Benefit Evaluation of Hybrid Pumped-Storage Power Stations Based on Improved Rank Correlation-Entropy Weight Method
 
 
Font Type:
Arial Georgia Verdana
Font Size:
Aa Aa Aa
Line Spacing:
Column Width:
Background:
Review

Anaerobic Digestion of Lignocellulose Components: Challenges and Novel Approaches

1
Centro Tecnológico de la Carne de Galicia, Adva. Galicia n° 4, Parque Tecnológico de Galicia, San Cibrao das Viñas, 32900 Ourense, Spain
2
Área de Tecnología de los Alimentos, Facultad de Ciencias de Ourense, Universidad de Vigo, 32004 Ourense, Spain
3
Chemical and Biochemical Processing Division, ICAR—Central Institute for Research on Cotton Technology, Mumbai 400019, India
4
Department of Scientific Research, K. G. Razumovsky Moscow State University of Technologies and Management (The First Cossack University), 73 Zemlyanoy Val, Moscow 109004, Russia
5
Department of Scientific Research, Moscow Timiryazev Agricultural Academy—Russian State Agrarian University, 49 Timiryazevskaya St., Moscow 127550, Russia
6
Department of Energy Systems Engineering, Faculty of Agricultural Engineering and Technology, University of Agriculture, Faisalabad 38040, Pakistan
7
Department of Irrigation and Drainage, University of Agriculture Faisalabad, Faisalabad 38040, Pakistan
8
Department of Agricultural Engineering, Bahauddin Zakariya University, Multan 60800, Pakistan
9
Biophotonics Center, Prokhorov General Physics Institute of the Russian Academy of Science, Moscow 119991, Russia
10
School of Civil Engineering, Hamburg University of Technology, Am Schwarzenberg-Campus 1, 21073 Hamburg, Germany
*
Authors to whom correspondence should be addressed.
Energies 2022, 15(22), 8413; https://doi.org/10.3390/en15228413
Submission received: 15 October 2022 / Revised: 30 October 2022 / Accepted: 3 November 2022 / Published: 10 November 2022

Abstract

The reuse of lignocellulosic biomaterials as a source of clean energy has been explored in recent years due to the large amount of waste that involves human activities, such as those related to agriculture and food. The anaerobic digestion (AD) of plant-based biomass for bioenergy production poses a series of challenges that new technologies are attempting to solve. An improved decomposition of recalcitrant lignocellulose together with an increase in biogas production yield are the main objectives of these new approaches, which also seek the added value of being environmentally friendly. Recent research has reported significant progress in this regard, offering promising outcomes on the degradation of lignocellulose and its subsequent transformation into biomethane by specialized anaerobic microorganisms, overcoming the drawbacks inherent to the process and improving the yield of methane production. The future of the agri–food industry seems to be heading towards the implementation of a circular economy through the introduction of strategies based on the optimized use of lignocellulosic residues as a source of clean and sustainable energy.

1. Introduction

The search for sustainable energy sources to replace fossil fuels has led to focus attention on waste from human activities, the accumulation of which poses a serious threat to the sustainability of the production chain. Many of these residues have an important lignocellulosic composition. Specifically, agricultural waste and energy crops have gained much attention as candidate feedstocks for producing bioenergy production and biobased products [1]. The use of this residual biomass as an energy source has the potential to improve the sustainability of agricultural and forestry systems and to reduce dependence on fossil fuels, decreasing greenhouse gas (GHG) emissions [2].
During the biological process of converting biomass into bioenergy, microorganisms degrade organic matter to yield biogas in the absence of oxygen. This technological process is known as anaerobic digestion (AD) [3]. However, the deconstruction of lignocellulose represents a biochemical challenge due to the complexity of their molecular structures. These plant-based materials are especially recalcitrant, consisting largely of cellulose and lignin polymers, which cause a physical impediment to the penetration of microbial enzymes, leading to sub-optimal degradation performance. Therefore, a pre-treatment prior to AD is a prerequisite for improving the biodegradability of lignocellulosic biomass [4]. Some issues related to the formation of inhibitory products, such as furans and phenols, or the high particle load, represent a problem for the adequate pre-treatment of biomass [5]. So, new protocols are being developed in order to counteract the deficiencies exhibited by the more classic procedures, also focusing on minimizing the associated environmental impacts (e.g., steam explosion, ozonolysis, ionic liquids (ILs), deep eutectic solvents (DESs), organosolv pre-treatment and supercritical fluids (SCFs)).
Although a good pre-treatment can facilitate a better degradation of the lignocellulosic biomass, other challenges inherent to AD itself are presented as a stumbling block to achieve advanced polymer decomposition, such as the accumulation of toxic compounds that inhibit bacterial activity, or the slow electron transfer through hydrogen or formate [6]. In this regard, new approaches such as genetic technology, static magnetic field, co-digestion of different substrates, the use of additives, and bioaugmentation, are being proposed to try to alleviate poor digestion of organic matter.
The aim of this article was to provide comprehensive information of how current anaerobic digestion methods of lignocellulosic materials affect biogas production as an alternative energy source. Recent and valuable information in this regard has been discussed throughout the manuscript, contributing with a description and important findings of the pre-treatments and digestion processes currently studied in a single work, focused on those residues from agri–food activities. Additionally, a definition and exhaustive description of the structure of lignocellulosic materials have been provided to assist in the understanding of the data presented.

2. Structure of Lignocellulosic Materials

Most terrestrial plants are constituted by three main polymers: cellulose (38–50%), hemicellulose (23–32%), and lignin (10–25%) [7]. Cellulose is the most important cell wall polymer, providing mechanical strength and chemical stability to plant materials [8]. The next quantitatively significant compound is hemicellulose. This polymer is chemically diverse and, as in the case of cellulose, primarily contributes to cell physical support [9]. Finally, lignin is the third major compound in plant tissues. This polymer has been found to provide different cell functions, such as water transport and stress resistance, helping also in plant stability [10]. Other compounds, including pectin, protein, extractives, and ash, are also present in small amounts in plant biomass and, depending on plant species, their composition, along with that of cellulose, hemicellulose, and lignin, can suffer variations [5]. Lignocellulose is a complex material with specific and intricate structures, which are described in detail in the following paragraphs.

2.1. Cellulose

Cellulose is a linear polymer made of D–glucopyranose ring units linked by β–(1,4)–glycosidic bonds, resulting in a an alternate turning of the molecule chain axis by 180 °C [11]. All the repeating chains along the cellulose molecule are disaccharides (cellobiose) and are grouped in sub-structures of 20–300 units, conforming fibers. These long-chain polymers are then linked together by hydrogen and van der Waals bonds, promoting the packaging of cellulose into microfibrils [5]. Specific molecular ordering levels can be distinguished in these microfibrils, giving rise to different structural domains, such as crystalline (high–ordered chains), paracrystalline (regions with loose molecular packing or some degree or crystal distortion), and non–crystalline (regions without regular packing of cellulose chains). Additionally, the presence of hydroxyl groups on the microfibril surface leads the appearance of cellulose–cellulose and cellulose-water interactions through a strong hydrogen bonded network, resulting in larger structures called “macrofibrils”, also known as “bundles” or “ribbons” [12].

2.2. Hemicellulose

The hemicellulose term groups a set of heterogeneous compounds, with an unknown molecular structure at the time this name was given. However, different structures were currently elucidated and, for this reason, the terminology is considered outdated and was suggested to be modified with little success [9]. Building blocks of hemicelluloses include pentoses (D–xylose and L–arabinose), hexoses (D–mannose, D–galactose, and D–glucose), hexuronic acids (4–O–methyl–D–glucuronic acid, D–glucuronic acid, and D–galacturonic acid), acetyl groups, and also small amounts of L–rhamnose and L–fucose. The abundance and structure of all these monomers are highly dependent on biomass sources [13]. Xylans and mannans are two prominent groups of hemicellulosic compounds, further divided into a set of structurally different polymers. Xylans comprise homoxylans, glucoronoxylans, arabinoxylans, and glucuronoarabinoxylans/arabinoglucuronoxylans, while mannans are classified in homomannans, galactomannans, glucomannans, and galactoglucomanans. Other compounds, such as xyloglucan, β–(1,3);(1,4)–glucan, and galactans, are also considered members of the hemicellulose family [13]. A brief description of these polysaccharides is provided below.

2.2.1. Xylans

Xylans are linear-structure polymers consisting of xylose residues linked by β–(1,4)–glycosidic bonds [14]. Depending on whether functional groups (4–O–methylglucuronic acid, glucuronic acid, arabinose, xylose, galactose, and glucose) are coupled or not to the molecule side chains, xylans can be categorized into hetero– or homoxylans, respectively. Specific functional group and its abundance will further classified heteroxylans in different hemicellulosic structures called glucuronoxylans, arabinoxylans, arabinoglucuronoxylans, or glucuronoarabinoxylans [13]. The backbone of glucuronoxylans is constituted by β–(1,4)–D–xylan, with the 4–O–methylglucuronic acid attached at the position 2 as the major substituent. However, glucuronic acid has also been found [15]. As the name suggests, arabinoxylans consist of arabinose as primary side groups attached at the position 2 or 3 along the xylose backbone. On the other hand, when heteroxylans contain both 4–O–methylglucuronic acid (and/or glucuronic acid) and arabinose in the xylose chain are called glucuronoarabinoxylans or arabinoglucuronoxylans [13].

2.2.2. Mannans

Two large groups of these polymers can be found depending on whether the β–(1,4)–linked backbone contains only D–mannose residues, which gives the name to these polysaccharides (mannans), or also D–glucose and D–galactose residues. Thus, homomannans consist of a single linear chain made up of β–(1,4)–linked mannosyl residues, whereas glucomannans and galactomannans also have β–(1,4)–linked glucosyl residues and α-galactose side chains attached to O–6 of some mannosyl residues, respectively. On the other hand, galactoglucomannans consist of a β–(1,4)–linked glucomannan backbone substituted with α–galactose at O–6 of some mannosyl residues [16].

2.2.3. Xyloglucans

These type of hemicelluloses are composed of β–(1,4)–linked glucose, with 75% of the molecule being substituted with α–(1,6)–linked xylose side chains [13]. Xyloglucans comprise a heterogeneous family of polymers of variable length and side chain pattern. In many plant species, the xyloglucan backbone has a regular pattern of three substituted glucose units followed by an unsubstituted glucose residue. Conversely, in some taxonomic groups, substitution occurs less frequently [17].

2.2.4. β–(1,3);(1,4)–glucan

The backbone of β–(1,3);(1,4)–glucan comprises a linear structure formed by β–D–glucopyranose residues linked by means of β–(1,3) and β–(1,4) glucosidic bonds [18]. Cellotriosyl and cellotetraosyl units [made up of β–(1,4)–linked glucose residues] are linked together by a single β–(1,3)–glucose residue [19].

2.2.5. Galactans

Galactans are a broad family of hemicelluloses very widespread in the marine environment, mainly represented by agars and carragenans. Two large groups of these polymers have been identified: sulfated galactans and arabinogalactans, with different molecular structures. Sulfated galactans are a variable set of heterogeneous compounds with specific configurations, but with a conserved backbone made of α–L-and/or β–D–galactopyranosyl units. In the case of arabinogalactan, its main backbone consists of (1,4)–linked β–D–galactopyranosyl with short side chains of (1,5)–linked α–arabinofuranosyl attached in O–3 position [20]. The structure of lignocellulosic materials has been shown in Figure 1 [21].

2.3. Lignin

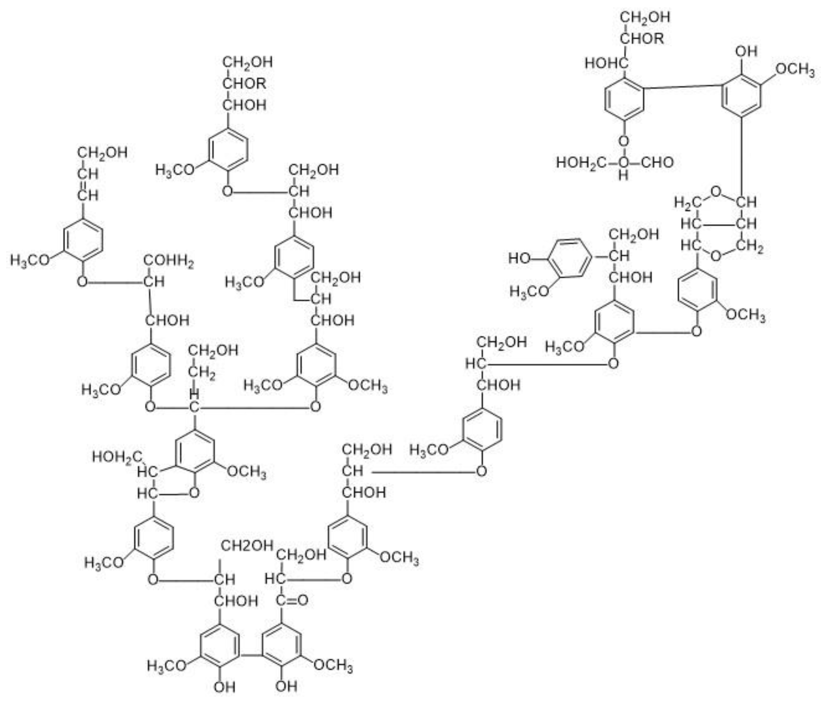
Lignin is considered the most complex fraction of the lignocellulosic materials found in nature [8]. It contains a long–chain backbone made up of three phenyl propane units. Namely: coniferyl alcohol (guaiacyl propanol), coumaryl alcohol (p–hydroxyphenyl propanol), and sinapyl alcohol (syringyl alcohol), linked together through alkyl–aryl, alkyl–alkyl, and aryl–aryl ether bonds [5]. Different proportions of these monomers in the lignin molecular chain lead to a wide range of polymers [22]. The structure of lignin polymer has been shown in Figure 2. Lignin cellulose and hemicellulose concentrations of lingnocellulosic and food materials has been presented in Table 1.

3. AD of Lignocellulosic Materials

AD processes naturally occurring in anoxic environments, such as watercourses, sediments, or waterlogged soils [25], where biomass is biochemically degraded by anaerobic bacteria in the strict absence of oxygen, generating methane and carbon dioxide as final reaction products [26,27]. Through the understanding of parameters involved, the anaerobic transformation of organic matter can be controlled, offering significant advantages over other processes intended for waste recycling, such as the reduction of biomass sludge production [25], use of the digestion final residue as fertilizer [28], or cost-effective energy recovery with low environmental impact [29]. Nevertheless, some critical points have been reported in the anaerobic treatment of waste, including long-term microbial stabilization, close control of parameters (pH, temperature, and feed rate) [29,30] or the need for post-treatment of the digested material before being released to the environment [31].
Anaerobic treatment of lignocellulosic matrices has recently become an excellent way to valorize organic wastes derived from a wide range of highly produced human activities, providing high energy recovery, with minimal environmental impact [32]. Agricultural residues are readily accessible sources of biomass that are produced in large amounts during harvesting and food processing. These highly organic–content materials are an excellent biologic fuel for obtaining energy, thus promoting sustainability and the circular economy. Suitable bacterial degradation of lignocellulosic materials depends on a series of complex and difficult optimizing variables. In this regard, improving stable and efficiency biogas production represents a challenge for the renewable energy industry. The following sub-sections provide an updated description of the most recent discoveries and strategies in the field of AD to obtain green energy from lignocellulosic biomass.

3.1. Pre-Treatment of Lignocellulosic Biomass Prior to AD

Optimum biogas production from lignocellulosic materials encompasses a series of perfectly delimited stages during microbial fermentation. Polymers should be firstly hydrolyzed and solubilized to be fully disposable for bacteria. Otherwise, organic matter conversion to biogas will be compromised. When it comes to degrading lignocellulosic polysaccharides, molecular ordering of polymeric structures is a key factor to consider. While amorphous cellulose is easily digestible, crystalline cellulose is resistant to bacterial attack. Cellulose in nature is predominantly found in crystalline disposition, adaptative feature of plants to defend themselves against attack of fungi and bacteria [33]. The specific organization of glucose polymers in this type of cellulose, disposed in directional cellodextrin chains that assemble into large and long microfibrils, enables a very compact and crystalline system, compromising the access of anaerobic bacteria to the interior of molecule [34]. The complex structure of lignin, already commented in the present review, have also showed to be a physical barrier difficult to overcome for microbial enzymes. In addition, the formation of lignin–carbohydrates complexes further restrict polysaccharide accessibility. On the other hand, non-productive binding with enzymes have been reported [35]. Definitely, lignin is the most recalcitrant lignocellulosic compound of the plant cell wall [36], and together with cellulose form a toughly attackable matrix by bacteria. Therefore, plant-based materials should be pre-treated before AD to ensure the highest possible substrate conversion. According to biomass characteristics (i.e., crystallinity of cellulose and polymerization degree, lignin composition, and degree of hemicellulose acetylation), pre-treatment must be carefully chosen, aimed at obtaining optimal biogas production. In this regard, different approaches have been proposed, leading to the development of physical, chemical, and biological methods, successfully used in biomaterials. Nevertheless, issues, such as the formation of inhibitory products (e.g., furans and phenols), high particle load, or high energy input, have been reported to occur [5], suggesting that better pre-treatment protocols need to be proposed. In addition, the strong acids and alkalis used in traditional delignification processes did not provide good quality substrates for the subsequent fermentation stage [37]. In this regard, a recent study carried out the optimization of a low-temperature delignification protocol in Platanus acerifolia leaf residues for the production of bioethanol. Green reagents, such as acetic acid and hydrogen peroxide, replaced other more dangerous and environmentally harmful reagents, achieving a satisfactory removal of lignin. Moreover, the use of mild operation temperatures enhanced the energy efficiency of the process [38].

3.1.1. Novel and Green Pre-Treatment Methods

Steam Explosion
Novel technological applications have recently been investigated addressed to replace conventional methods, such as alkaline and acid pre-treatments, recognized for a long time [39]. One of the current, but already relatively well-established green pre-treatment methods, is steam explosion. Water steam is applied on the lignocellulose components at high temperature for few minutes in order to facilitate its enzymatic hydrolysis to monomeric hexose and pentose sugars. The addition of acid has been found to enhance the process performance [40]. Residual organic matter from food industrial processes, such as the crushed agave heads in the tequila production [41,42], mesocarp tissues during the elaboration of food and coconut-based beverages [43], or the straw after wheat harvesting [44], have been successfully steam pre-treated. After applying pressures around 0.5–4.8 MPa at temperatures in the interval of 160–260 °C, pressure is sharply reduced, which causes an increase in the specific surface area and pore size [45], improving the substrate biodegradability and subsequent energy recovery through the stimulation of gas production. Although, cellulosic fractions and lignin are effectively break down under this pre-treatment, high temperatures (above 160 °C) were found to produce toxic derivatives [46], such as phenols, furans, and acetic acid [47], inhibiting the subsequent anaerobic fermentation process [48]. A post-pretreatment detoxification step is then required.
Wet Explosion
Wet explosion is an innovative pretreatment technique, which was patented in 2004 [49]. It is the combination of wet oxidation and steam explosion. The lignocellulosic material can be pretreated at different severity conditions by adjusting temperature, pressure and oxygen concentration [50]. Lignin is considered as a primary challenge in the anaerobic digestion of lignocellulose. The wet explosion pretreatment has been found quite effective in overcoming the lignin challenge during anaerobic digestion. Some of the recent studies has shown that the lignin polymer of lignocellulosic materials can be degraded effectively if the material is pretreated by Wet Explosion pretreatment before anaerobic digestion [22,49,51]. Methoxylation of lignin polymer can improve its degradation under anaerobic conditions and wet explosion pretreatment improve the methoxylation of lignin polymer [52].
Ozonolysis
Ozone has been reported to be effective in degrading lignin with minimum and null affectation on hemicellulose and cellulose structures, respectively [39]. This colorless and unstable gas is recognized as a strong oxidizing agent [53], which decomposes into radicals and reacts with organic matter both directly and indirectly through the hydroxyl ion [54]. Ozonolysis of wastewater from alcohol distilleries was recently found to increase the biogas production yield while reducing GHG emissions. Pre–treatment of an organically complex wastewater from a molasses–based distillery under this procedure provided a substrate with enhanced AD, resulting in favorable biohydrogen release (production rate of 1.18 mL/h) [55]. Ghorbani et al. [56] reported the ozone flow rate and residue moisture as the most contributing factors in wheat straw delignification. In connection with this, Ariunbaatar et al. [57] suggested optimal ozone doses in the range of 0.05–0.5 g O3/g. In contrast to steam explosion, pre–treatment with ozone leaves no residue in the system.
ILs
With the term “Ionic liquid”, we refer to the product resulting from mixing certain ionic species [39]. These solvents have unique thermal, physical, chemical, and biological properties, such as low viscosity, extremely low vapor pressure, or long-thermal stability [58]. ILs were found to be able to dissolve specific substances of interest such as lignocellulosic biomaterials, allowing to reduce their recalcitrance [59] and increasing bioenergy production. In addition, these liquids are considered environmentally friendly alternatives to organic solvents, as they are clean (without hazardous residues derived from their application), recoverable after used, non-toxic, non-corrosive, and biodegradable [60,61]. Different kinds of ILs, such as 1–ethyl–3–methylimidazolium acetate, choline lysinate, and ethanolamine acetate, have been successfully tested on agave bagasse resulting from tequila production for its solubilization and breakdown, providing high sugar yields and increasing anaerobic digestibility. IL–water mixtures yielded results comparable to those obtained using pure ILs, thus improving process profitability while allowing easier handling by decreasing viscosity [62]. Specifically, choline lysinate offered the highest yield of sugar production (0.57 g total sugars/g biomass), reaching a similar result when diluted up to 30% in water. Pérez–Pimienta et al. [63] reported a similar result for the same IL on identical residue (0.51 g total sugar/g biomass). Pre–treated solids produced up to 7.5 times more methane/g chemical oxygen demand than the untreated solids. Significantly lower sugar release was reported by using the IL 1–ethyl–3–methylimidazolium acetate on solid post-harvest materials. A lignocellulosic biomass: IL ratio of 1:5 w/w only reduced the crystallinity of wheat straw and grape stem by 5%, with no further increase in methane production. The mild conditions of the pre–treatment were found to be responsible for the low hydrolysis achieved, which highlights the importance of a good process optimization [64]. In this regard, the use of the IL in biorefineries entails the challenge of controlling a number of critical parameters, which include the election of the solid loading, temperature, or the need for a co–catalyst to enhance the hydrolysis capability [39]. Regardless of all the advantages exhibited, the high viscosity, which makes handling operations difficult, and cost, are blocking the large–scale implementation of ILs as a pre–treatment method in AD processes [61].
DESs
The search for cheaper and greener pre–treatments with ILs led to another class of alternative solvents called “deep eutectic solvents”. These liquids share several physicochemical properties with ILs, considered analog solvents, such as the intricate hydrogen bonding network [65]. DESs can be easily prepared by mixing Lewis or Brønsted acids and bases that can contain a variety of anionic and/or cationic species, while ILs are composed primarily of one type of discrete anion and cation [66]. Choline chloride is frequently used as a hydrogen bond acceptor, combined with carboxylic acids or glycols as hydrogen bond donors [65].
The affectation of biomass structure by DESs was recently explored in rice straw by analyzing the different lignocellulosic fractions. Pre-treatment with choline chloride/urea mixture showed a higher selectivity on lignin, exhibiting an efficient solubility. In contrast, α-cellulose crystallinity increased during the process due to a deconstruction of the hydrogen bond networks [67]. The limited DES action on cellulose was reported to be related to its scarce ordered molecular conformation, which limits the entropy gain and leads to a poor biomass dissolution [68]. Conversely, lignin and hemicellulose have been found to be deeply affected by DESs. Oh et al. [69] reported significantly increased sugars from these lignocellulosic fractions compared to cellulose during the pre-treatment of pine wood, suggesting that the polarity and hydrogen bond acidity of DESs can be behind this result, as determining factors in the extraction of hemicellulose and lignin from biomass. The breakdown of the lignocellulose pre-treated with DES enabled better biomethane productions in different types of substrates [65,70,71]. Thus, despite still being a little-explored solvent for the lignocellulose pre-treatment, advantages, such as the ability to dissolve lignin and hemicellulose, low cost, and scarce toxicity, make DASs attractive elements to be used in the framework of a new concept of greener and more sustainable biorefineries.
Organosolv Pre-Treatment
Organosolv pre-treatment is a recent and one of the most efficient and promising pre-digestion processes applied for lignin removal from plant-based biomaterials. This pre-treatment involves the use of an organic solvent (organosolv) or its aqueous solution, such as a short-chain aliphatic alcohol (e.g., methanol and ethanol), polyhydric alcohol (e.g., glycerol, ethylene glycol, and triethylene glycol), alkylene carbonate, organic acid, or other (e.g., acetone and ILs). These solvents are mixed with the lignocellulosic biomass and the set is then heated at a temperature between 100 and 200 °C for a short period of time (30–150 min) [72,73,74], thus enabling the lignin solubilization, along with a part of the hemicellulose fraction, leaving the cellulose in the solid state [75]. The temperature of the process may be reduced by means of a catalyst, which will depend on the type of biomass [76].
Organosolv pre-treatment has been tested on several food industry by–products, such as, potato peel, corncob, and olive wastes, for obtaining bioenergy, resulting in improved biomethane production rates prior feedstock delignification [77,78,79]. Despite recent advances in this regard, mainly focused on the use of ethanol as an extraction solvent, organosolv pre-treatment is currently a poorly understood process and the glucan purities obtained from non-wood materials are still limited [73]. Therefore, further research should be carried out in an attempt to optimize the recovery of a glucan-rich solid fraction.
SFCs
SFC technology is gaining interest as an alternative and environmentally sustainable technology to other more conventional technologies in industry. Supported in its unique physicochemical properties (intermediate between those of a gas and liquid), it has been already tested in a wide range of dissimilar industrial applications, such as the extraction of compounds, particle formation, formulation of new materials, and impregnation of aerogels, among others [80].
A wide variety of agri-food biomass, such as corn stover [81], corncob [82], rice straw [83], wheat straw [84], or sorghum stalk [85], has been pre-treated with supercritical CO2. The use of this green solvent for biomass pre–treatment has showed to enhance glucose yield, delignify, and hydrolyze the hemicellulose fraction, also enabling the extraction of compounds [86]. In addition, carbon dioxide causes the acidification of the environment by reacting with water and forming carbonic acid, which helps in the hydrolysis of hemicellulose and breaks of intra H–bonds between cellulose, hemicellulose, and lignin [87]. An interesting advantage of using carbon dioxide is the possibility of recycling that produced during the digestion stage to be used in the pre-treatment [86], which might lead to a significant increase in the profitability of the total process. Some of the recent studies about all the above-mentioned pretreatment techniques has been presented in Table 2 and the effect of pretreatment on lignocellulosic materials and their conversion during anaerobic digestion has been shown in Figure 3.

3.2. AD of Lignocellulosic Biomass

3.2.1. Concept and Process Stages

Once the pre-treatment of the lignocellulosic biomass has succeeded in reducing the structural and compositional constraints, microbial enzymes can more easily access the glycosidic bonds during the AD stage and further break down the exposed and partially degraded polymers of cellulose, hemicellulose, and lignin, leading to the production of renewable biogas. This biogas is mainly composed of methane and carbon dioxide in 50–75% and 25–50% approximate proportions, respectively [3]. In addition, other minor gases, such as hydrogen sulfide, nitrogen, hydrogen, ammonia, and water vapors have also been reported [99]. Therefore, AD is considered a biological and often complex process, occurring throughout a number of chronological and chemically differentiated steps, classified in hydrolysis, acidogenesis, acetogenesis, and methanogenesis and carried out by a different microbial functional group. Namely: hydrolytic, acidogen, and acetogenic bacteria, and methanogenic archaea [100].
-
Hydrolysis
When anaerobic bacteria access to the interior of the partially degraded biomass, they secrete extracellular enzymes that further decompose this biomass to simple soluble monomers in amino acids, fatty acids, and sugars [100]. In other words, insoluble organic materials and higher molecular mass compounds are transformed into soluble organic materials; suitable to be used as a source of energy and cell carbon [26]. Different types of hydrolytic bacteria have been found to be involved in this first digestion step, giving rise to different molecules, such as via amino acids via proteinase, cellobiose and glucose via cellulose, glucose via amylase, or fatty acids and glycerol via lipase [26].
-
Acidogenesis
All the aforementioned monomers obtained by hydrolysis are now converted into intermediate compounds, such as short-chain and volatile fatty acids (VFAs) (propionic, butyric, propionic, and acetic acid) and other minor products (alcohol, hydrogen, and carbon dioxide) by fermentative bacteria (acidogens) [3,26,100].
-
Acetogenesis
The short-chain fatty acids produced in the acidogenesis step are then the substrate for those called acetogenic microorganisms, giving rise to acetate, carbon dioxide and/or hydrogen, and providing substrates for methanogenesis, the last step of the AD process [100,101].
-
Methanogenesis
Finally, methanogenic archaea use acetate, carbon dioxide, and hydrogen as a substrate, releasing methane. Two subgroups within the methanogens are involved in this final digestion stage. Aceticlastic methanogens produce methane from acetates, while hydrogenotrophic methanogens produce it from carbon dioxide and hydrogen [102,103]. Methanogens are believed to have the slowest growth rate among microbial population involved in AD, being also highly sensitive to changes in environmental conditions, such as temperature, pH, and the concentration of inhibitors [100]. Different stages of the anaerobic digestion process have been shown in Figure 4.

3.2.2. Future Directions and Opportunities

During AD, a series of challenges, such as VFAs and hydrogen accumulation, which may be toxic for methanogenic and acetogenic bacteria, or the slow electron transfer through hydrogen or format, need to be faced [6], since they restrict biogas production. Novel approaches, such as genetic technology, static magnetic field, co-digestion, the use of additives, and psychrophilic AD, have recently been addressed in order to counteract the aforementioned drawbacks and improve AD efficiency. Principles and foundations of these new strategies, as well as their effective application in agri-food waste, have been deeply discussed in the following paragraphs.
Genetic Engineering for Biogas Production
Genetic tools have recently played a fundamental role in improving specific crop traits. Resistance to some diseases and to an adverse climate, or the simple modification of certain sensory attributes in the plant or fruit, can be achieved through the alteration of specific genes. Similarly, the intricate molecular structure of the plant cell wall may be modified by removing or suppressing the expression of the genes involved. This will give rise to a less recalcitrant biomass and will ease the action of microbial enzymes during the hydrolysis step without affecting plant cell viability [104]. Another possible strategy would be to influence the metabolic activity of the microorganisms responsible for the degradation of lignocellulosic material, improving their ability to break down this polymer framework and release sugars [105].
Although both criteria are viable and potentially applicable, genetic engineers have opted for reconfiguring the lignocellulosic backbone of the plant cell wall as the primary approach rather than influencing in the hydrolytic capacity of bacteria. However, modifying a system naturally designed to support and protect plants could interfere with the proper development of their structures. For this reason, it is necessary to establish a compromise between resistance and ease of biodegradation that provides new individuals with a more easily hydrolysable but functional cell wall [106].
Influencing the disposition of lignin monomers is essential to reduce the recalcitrance of lignocellulosic materials, since this biomass fraction is especially inaccessible for hydrolytic enzymes. The different proportion of the monomers that configure the lignin molecule (p-hydroxyphenyl propanol, guaiacyl propanol, and syringyl alcohol) provide polymers with distinct digestibility [107]. Thus, the abundance of syringyl alcohol units has been found to favor the digestibility of the lignin molecule by constituting a less condensed structure than its counterpart composed of guaiacyl propanol units. While the first of the mentioned configurations has been associated with cell wall and reinforcement functions, the second might be responsible for functions such as plant defense [108]. Tetreault et al. [109] identified the gene that encodes the activity of the enzyme responsible for the biosynthesis of syringyl alcohol in the sorghum plant. Overexpression of the sbF5H gene, under the control of the CaMV 35S promoter, enhanced the action of ferulate-5-hydroxylase (F5H), leading to an increase in syringyl alcohol units and the syringyl alcohol/guaiacyl propanol ratio in the lignin molecule without hardly affecting the plant growth and development. Similarly, Hodgson-Kratky et al. [110] initiated the search for genes and markers associated with the syringyl alcohol/guaiacyl propanol ratio in the lignin molecule of the sugarcane plant. These authors identified 2019 differentially expressed transcripts among genotypes with different syringyl alcohol/guaiacyl propanol ratios, which, together with the identification of specific alleles expressed with the phenotype, could led to obtaining plant varieties with a lignocellulosic structure less resistant to microbial digestion.
The reduction in cellulose recalcitration is also a factor to consider in the genetic redesign of plant biomass. It is evident that the modifications in the polymers of this molecule must be aimed at favoring an amorphous structure that leaves more spaces for the access of cellulases. Recent studies have intentionally manipulated genes directly involved with the molecular ordering of cellulose in the rice plant [111,112,113], giving rise to mutants with a less crystalline cellulose. On the other hand, genes related to the formation of the cellulose molecule have been reported not to compromise normal plant growth [114].
Genetic engineering may also contribute to improving biomass degradability by altering the microbial capacity to produce more robust hydrolytic enzymes. The low catalytic activity and yield of cellulases, together with their poor thermostability, usually hinder the sugarification of lignocellulosic residues. The progress made in recent years has helped overcome these limiting factors, improving the kinetics and efficiency of these microbial enzymes [115]. Similarly, genes that regulate lignin degradation metabolic pathways have been manipulated or edited in order to improve bioconversion efficiency. There are several promising lignin-degrading organisms for use in synthetic biology or metabolic engineering, such as Pseudomonas putida and Corynebacterium glutamicum, which have already been cultivated on an industrial scale for commercial purposes. The application of metabolic engineering on other organisms such as Rhodococcus and Amycolatopsis is still under development [116]. In P. putida, strategies such as expanding the specificity and assimilation of substrate and the improvement of the chemical production derived from lignin depolymerization (generation of phenolic compounds of interest) are used to improve the efficiency of lignin valorization [117].
The so–called metabolic engineering in microbes is the current most advanced approach to influence the regulation of enzymatic expression of a specific cellular pathway linked with other signaling pathways [118].
Impulse of Lignocellulosic Digestion by Application of a Static Magnetic Field
Recently, the external application of a magnetic field has been shown to be an efficient strategy to promote the biodegradation of organic matter [119]. Although the mechanism of action is not yet well-elucidated, there are studies that suggest alterations in the cellular activity of certain microorganisms, with a supposed special magnetic susceptibility, when they are exposed to a magnetic field, affecting growth and metabolic functions [120]. Static magnetic field at low flux density has been shown to be especially biostimulant [121,122], concretely at a density below 50 mT [123]. While a density above 100 mT has been found to affect cell viability [124]. However, the greatest germicidal effect is achieved through the use of a pulsed magnetic field, which is presented as an alternative to thermal sterilization treatments [125].
The application of a static magnetic field during the AD of agri–food biomass has resulted in an increase in the microbial population, leading to enhanced methanogenesis. Zhao et al. [126] observed an increase in the concentration of methanogen organisms after the induction of a static magnetic field at a flux density of 11.4 mT in corn stover. Under this magnetic intensity, the authors reported an increase of more than 80% in the microbial population, including archaea of the order methanocellales, the main group of methane-producing archaea found in the decomposition stage.
The idea of the magnetic field as a strategy to improve biogas production is not yet very widespread. There are only a handful of published studies on the subject. Nevertheless, the results are promising. In addition, it is considered a clean, non-toxic, and safe technology [127].
Co-Digestion of Various Substrates to Overcome Biodegradability Limitations
The simple strategy of combining two or more substrates in the digestion reactor has been seen to correct the biodegradability deficiencies of each of the substrates individually. This simultaneous digestion of biomass, known as co–digestion, therefore improves energy production by increasing nutrient availability to microbes and organic load, while reducing chemical toxicity by diluting each of the substrates [128,129]. In addition, there may be a promotion in microbial diversity [130].
Despite the high amount of nutrients present in agriculture residues and algae, the recalcitrant nature of their tissues represents an obstacle in the biodegradation process. However, when these materials are co-digested with others of dissimilar nature, such as animal manure or other organic substances, the final biomass obtained offers greater access to microbials, promoting improved degradation [131]. Velásquez Piñas et al. [132] demonstrated that the digestion of corn and grass ensilage with cattle manure can provide better performance in terms of size and consumption of electricity and heat compared to the individual digestion of the substrates. On the other hand, the deficient amount of carbon found in animal waste can thus be remedied, reaching an adequate carbon:nitrogen (C:N) ratio. Half cow manure to oat straw (1:2) was found to be a suitable relation for AD of this mixture, which provided a C:N ratio of 27. This proportion also guaranteed a good rate of lignocellulose degradation and subsequent methane production, releasing a 25% more than during mono-digestion of plant material [133]. An identical C:N ratio (26–27.5) also provided excellent methane production during co–digestion of agro-industrial waste material (hay grass and wheat straw) with an animal residue such as chicken litter. A ratio slightly higher than 1:2 (chicken litter:agro–industrial waste) was found to optimize the performance of the organic matter degradation process [134].
As can be seen, the co-digestion of raw materials shows to be a useful tool in the revaluation of agro–waste for the generation of bioenergy. Nevertheless, this strategy entails risks associated with the continued availability of substrates, the complexity of the organic matter owing to its different recalcitration, and safety issues when using products such as animal manure. On the other hand, determining an optimal ratio between feedstocks to be digested is still considered a challenge, as it is conditioned by factors, such as the nature of the material, composition, content of trace elements, and biodegradability, among others [130].
Addition of Additives to Improve Lignocellulosic Digestion
The use of additional compounds, including metal elements, carbon-based accelerants, biological additives, and alkalis, during AD treatments has been shown to significantly increase degradation performance and biogas release, as well as reduce air pollution during the process. Each additive offers specific and unique advantages in improving biogas production and their incorporation into digestion reactors is therefore a promising approach. Nevertheless, crucial aspects such as dosages, effects and applications remain still unknown [135].
-
Metal elements
Metal elements promote the fermentation of substrates through the formation of the active center, cofactor, and structure of the enzymes involved in digestion [136]. The presence of metals, such as Fe, Co, Ni, Zn, Mo, W, and Se have been reported to play an important role in obtaining adequate performance during the anaerobic degradation of raw material [137]. The addition of Fe2+ was observed to improve hydrolysis and acidification reactions in coffee husks wastes, significantly increasing the concentration of intermediate compounds in methane production. Additionally, the observed cooperation between F2+ and other ions, such as Ni2+ and Co2+, resulted in enhanced enzymatic activity of methanogens [138]. In another experiment, supplementation of chicken manure leachate with trace elements, including Se, Co, W, Mo, Ni, Zn, Mn, and Fe, offered a 36.5% higher yield of methane production [139].
Maintaining a stable and efficient conversion of organic matter requires an appropriate supply of metal ions. However, physicochemical conditions during digestion (pH and redox potential) and the reaction kinetics of chemical processes occurring both in liquid (reduction, precipitation, or complexation) and solid (absorption) phases will significantly influence the speciation and chemical bioavailability of trace elements [140]. These factors need to be considered when designing the experiment, as well as the type of substrate, which will require a specific metal at a given concentration. On the other hand, an excessive concentration of metal ions in the digester can inhibit the decomposition process [135]. It is therefore absolutely necessary to understand all the parameters that can affect the correct function of metal elements during the degradation of feedstocks in order to obtain an adequate concentration that leads to optimal energy production.
-
Carbon-based materials
In other types of studies, carbon-based materials are assessed as enhancers of AD, and have been found to be capable of modifying the microbial environment, producing significant improvements in organic matter conversion. Their declared physicochemical advantage (e.g., fine pore structure, good electrical conductivity, large porosity, and surface area) contributes to a superior microbial development and improved biogas release. Recent research has successfully tested distinct types of these carbon accelerators in the revaluation of residues with lignocellulosic fractions. Wu et al. [141] reported that the addition of graphene to the reactor can improve methane production from thin stillage by 11%. The authors attribute this performance to the high conductivity of graphene. Qi et al. [142] suggested that this carbon-based material is able to promote direct electron transfer between Pseudomonas and Methanosaeta, accelerating the methanogenic pathway of carbon dioxide reduction and achieving a higher methane production. In general, carbon conductive materials are widely used to increase the direct interspecies electron transfer (DIET) [143]. During this electrochemical process, electrons are transferred directly from donors to acceptors through microbial nanowires, cytochromes, and conductive materials and have been suggested to be involved in acetogenesis, acetate oxidation, and methanogenesis [144]. The addition of carbon nanotubes promote DIET among acetogenic and methanogenic microorganisms, thus increasing microbial activity and shortening the digestion process by means of an accelerated acclimatization to the environmental conditions of the reactor [143]. An amount of 500 mg/kg of this carbon nanomaterial improved the AD of sheep manure, increasing the release of methane by more than 30%. During the degradation process, the microbial composition was altered at the genus level, particularly those members of Methanobacterium, which increased their relative abundance by up to 120% [145,146]. The supplementation of raw materials with inorganic nanomaterials has been reported to enhance the efficiency of AD due to physicochemical properties, such as their high surface area and number of active sites or their high reactivity and specificity. In addition to carbon-based nanomaterials, other nano–sized materials (1–100 nm), namely zero-valent metallic nanoparticles, metal oxide nanoparticles, and multi-compound nanoparticles, can also be introduced into the reactors [147].
The product resulting from the carbonization of lignocellulosic waste, known as biochar, has been intensively explored in recent years as a promoter of the AD process [148]. This product is a precursor of activated carbon obtained by thermochemical conversion under conditions of extreme oxygen limitation [149]. The addition of biochar to the digester has been reported to produce a significant improvement in the degradation of lignocellulose from plant materials, such as corn, wheat, and rice straw, sorghum, and potato pulp [150,151,152]. This stimulation of the digestive process may certainly address the difficulties inherent in the recalcitration of plant biomass and ensure adequate stability into the reactor. Certain aspects, such as the enhancement of the hydrolysis reaction, the balance among acidogenesis and acetogenesis, the reduction in the accumulation of VFAs or the favoring of methanogenesis, have been attributed to the action of biochar [153].
The use of this carbon–based material has the added value of being produced from the pyrolysis of lignocellulosic waste, contributing to the recycling of waste materials originated in different agri–food activities. Moreover, coupling biochar production to an AD operation can achieve an economically advantageous system with positive environmental performance [148].
Activated carbon has also been found to be an ally in the anaerobic decomposition of lignocellulose [154,155]. The inhibition caused by high concentrations of ammonium can be avoided by incorporating this product into the reactor, facilitating AD under conditions of ammonium stress [156,157]. Activated carbon is the result of an activation process in a carbon–rich material. Plant residues can be used instead of coal as an alternative production method, making the transformation process more profitable [76]. The review article by Hassan and coworkers clearly and thoroughly explains the formation of this carbon–based material [158,159].
Psychrophilic AD
It is well–known that temperature is a limiting factor during fermentation processes. Low temperatures often lead to long digestion cycles and poor biogas production [160]. However, it is necessary to consider the energy expenditure involved in the use of adequate temperatures for the action of mesophilic and thermophilic microorganisms during anaerobic decomposition processes, between 30 to 40 °C and 50 to 60 °C, respectively [161]. Maintaining these temperatures makes feedstock processing difficult for small companies. For this reason, they usually operate at room temperature [162]. Similarly, the use of mild temperatures may also be more economically profitable in cold and high–altitude regions, with temperatures barely above 20 °C [163].
After testing different approaches to improve anaerobic degradation performance under psychrophilic conditions, including substrate pre–treatment, co–digestion of feedstock with another, and addition of certain additives (all strategies discussed in this review), the bioaugmentation has proven to be the most direct procedure to achieve this target [164]. The acclimatization of mesophilic bacteria before their inoculation in the reactor is the most used strategy in low-temperature ADs [165,166]. This procedure was studied using methanogenic archaea during the co–digestion of corn straw and cattle manure at a controlled temperature of 20 °C. Xu et al. [151] inoculated different concentrations of a propionate–degradation culture (mainly composed by Methanothrix and Methanobacterium archaea) previously acclimated to this temperature in order to improve the AD performance under psychrophilic conditions. The addition of 14% of the mentioned microbial group was found to significantly increase biogas production. However, a significantly lower addition (4%) provided the best bioaugmentation efficiency. This study demonstrated that through the inoculation of microorganisms adapted to a psychrophilic environment digestion performance can be improved, alleviating the accumulation of VFAs, especially acetate and propionate.
Low temperatures seriously limit the AD process by conditioning the microbial growth of mesophiles and thermophiles and their enzymatic activity. However, the use of psychrophiles could solve these problems as they have evolved in cold environments, enabling the development of a variety of genotypic and phenotypic adaptive features [162]. The use of cold–adapted lignocellulose-degrading microbial complex community LTF–27 at an operating temperature of 15 °C yielded a hydrolytic conversion rate of 22.64% in corn straw and a methane production of 204.72 mL/g, higher than that obtained in the control group (121.19 mL/g). The improved balance of energy consumption achieved in this study demonstrates the feasibility of using psychrophiles in the development of low-temperature AD systems for biogas production in cold areas of the planet [167].

4. Conclusions

The new strategies tested to improve the AD of lignocellulosic-based materials have provided interesting and viable solutions to tackle the inherent disadvantages of the process itself. The incorporation of pre–treatment technologies such as steam explosion has been found to improve the biodegradability of lignocellulosic biomass, but it requires a detoxification post–pretreatment due to the formation of harmful compounds for digestion, including phenols, furans, and acetic acid. This inconvenience can be solved through the use of ozonolysis or green solvents such as methanol or ethanol, capable of partially solubilizing lignocellulose. Other environmentally friendly solvents such as DESs may also be useful in reducing the recalcitration of lignocellulosic biomaterials, without the drawbacks of the high viscosity of liquid ions and their high cost. The use of each methodology must be analyzed in detail, balancing its pros and cons. It is important to note that while steam explosion technology is moderately established, others, such as organosolv pre-treatment and DESs are still poorly investigated and understood technologies. Similarly, the study of the efficiency of modern technologies aimed at improving the AD of previously pre-treated biomaterials is showing interesting results. Many of these technologies are focused on increasing microbial activity, significantly enhancing methanogenesis. On the contrary, the alteration of the molecular structure of the plant cell wall by genetic engineering is another approach that, although radically different, might be potentially applicable and provide a less recalcitrant biomass and more easily attackable by microbial enzymes, maintaining the plant cell viability.
Definitely, the recent advances in the AD process of lignocellulosic materials from agri-food waste are providing hopeful results, leading to the gradual but incessant implementation of a circular economy based on the use of plant residues, which are generated in huge amounts during activities related to agriculture and food.

Author Contributions

Conceptualization and supervision: R.A., J.M.L., M.U.K., A.S. and M.S.; writing—original draft preparation: R.A., M.K., M.A.S., M.U.K., J.M.L., A.S. and M.R.; writing—review and editing R.A., M.K., M.A.S., M.U.K., J.M.L., A.S., M.S., M.R. and M.U. All authors have read and agreed to the published version of the manuscript.

Funding

This work was supported by a grant of the Ministry of Science and Higher Education of the Russian Federation (075-15-2022-315) for the organization and development of a world-class research center ‘‘Photonics”.

Institutional Review Board Statement

Not applicable.

Informed Consent Statement

Not applicable.

Data Availability Statement

Not applicable.

Acknowledgments

Jose M. Lorenzo belongs to the competitive reference research group FunMeat (Axencia Galega de Innovación, GAININ607A2019/01). The authors thank GAIN (Axencia Galega de Innovación), Xunta de Galicia, for granting Ruben Agregán with a postdoctoral scholarship (IN606B-2022/005).

Conflicts of Interest

The authors declare no conflict of interest.

References

  1. Sawatdeenarunat, C.; Surendra, K.C.; Takara, D.; Oechsner, H.; Khanal, S.K. Anaerobic digestion of lignocellulosic biomass: Challenges and opportunities. Bioresour. Technol. 2015, 178, 178–186. [Google Scholar] [CrossRef]
  2. Ge, X.; Xu, F.; Li, Y. Solid-state anaerobic digestion of lignocellulosic biomass: Recent progress and perspectives. Bioresour. Technol. 2016, 205, 239–249. [Google Scholar] [CrossRef] [PubMed]
  3. Kainthola, J.; Kalamdhad, A.S.; Goud, V.V. A review on enhanced biogas production from anaerobic digestion of lignocellulosic biomass by different enhancement techniques. Process Biochem. 2019, 84, 81–90. [Google Scholar] [CrossRef]
  4. Paudel, S.R.; Banjara, S.P.; Choi, O.K.; Park, K.Y.; Kim, Y.M.; Lee, J.W. Pretreatment of agricultural biomass for anaerobic digestion: Current state and challenges. Bioresour. Technol. 2017, 245, 1194–1205. [Google Scholar] [CrossRef]
  5. Bajpai, P. Structure of lignocellulosic biomass. In Pretreatment of Lignocellulosic Biomass for Biofuel Production; Springer: Singapore, 2016; pp. 7–12. ISBN 978-981-10-0687-6. [Google Scholar]
  6. Abbas, Y.; Yun, S.; Wang, Z.; Zhang, Y.; Zhang, X.; Wang, K. Recent advances in bio-based carbon materials for anaerobic digestion: A review. Renew. Sustain. Energy Rev. 2021, 135, 110378. [Google Scholar] [CrossRef]
  7. Pu, Y.; Zhang, D.; Singh, P.M.; Ragauskas, A.J. The new forestry biofuels sector. Biofuels Bioprod. Biorefining 2008, 2, 58–73. [Google Scholar] [CrossRef]
  8. Shahzadi, T.; Mehmood, S.; Irshad, M.; Anwar, Z.; Afroz, A.; Zeeshan, N.; Rashid, U.; Sughra, K. Advances in lignocellulosic biotechnology: A brief review on lignocellulosic biomass and cellulases. Adv. Biosci. Biotechnol. 2014, 5, 246–251. [Google Scholar] [CrossRef]
  9. Scheller, H.V.; Ulvskov, P. Hemicelluloses. Annu. Rev. Plant Biol. 2010, 61, 263–289. [Google Scholar] [CrossRef]
  10. Liu, Q.; Luo, L.; Zheng, L. Lignins: Biosynthesis and biological functions in plants. Int. J. Mol. Sci. 2018, 19, 335. [Google Scholar] [CrossRef]
  11. Heinze, T. Cellulose: Structure and properties. Adv. Polym. Sci. 2015, 271, 1–52. [Google Scholar] [CrossRef]
  12. Martínez-Sanz, M.; Pettolino, F.; Flanagan, B.; Gidley, M.J.; Gilbert, E.P. Structure of cellulose microfibrils in mature cotton fibres. Carbohydr. Polym. 2017, 175, 450–463. [Google Scholar] [CrossRef]
  13. Zhou, X.; Li, W.; Mabon, R.; Broadbelt, L.J. A critical review on hemicellulose pyrolysis. Energy Technol. 2017, 5, 52–79. [Google Scholar] [CrossRef]
  14. Rennie, E.A.; Scheller, H.V. Xylan biosynthesis. Curr. Opin. Biotechnol. 2014, 26, 100–107. [Google Scholar] [CrossRef]
  15. Dumitriu, S. Polysaccharides, 2nd ed.; Dumitriu, S., Ed.; CRC Press: Boca Raton, FL, USA, 2008; ISBN 9780429131660. [Google Scholar]
  16. Zhong, R.; Cui, D.; Ye, Z.H. Evolutionary origin of O-acetyltransferases responsible for glucomannan acetylation in land plants. New Phytol. 2019, 224, 466–479. [Google Scholar] [CrossRef]
  17. Park, Y.B.; Cosgrove, D.J. Xyloglucan and its interactions with other components of the growing cell wall. Plant Cell Physiol. 2015, 56, 180–194. [Google Scholar] [CrossRef]
  18. Simmons, T.J.; Uhrín, D.; Gregson, T.; Murray, L.; Sadler, I.H.; Fry, S.C. An unexpectedly lichenase-stable hexasaccharide from cereal, horsetail and lichen mixed-linkage β-glucans (MLGs): Implications for MLG subunit distribution. Phytochemistry 2013, 95, 322–332. [Google Scholar] [CrossRef]
  19. Xue, X.; Fry, S.C. Evolution of mixed-linkage (13, 14)-b-D-glucan (MLG) and xyloglucan in equisetum (horsetails) and other monilophytes. Ann. Bot. 2012, 109, 873–886. [Google Scholar] [CrossRef]
  20. Pierre, G.; Delattre, C.; Laroche, C.; Michaud, P. Galactans and its applications. In Polysaccharides: Bioactivity and Biotechnology; Ramawat, K.G., Mérillon, J.-M., Eds.; Springer International Publishing: Cham, Switzerland, 2015; pp. 753–794. ISBN 9783319162980. [Google Scholar]
  21. Khan, M.U.; Ahring, B.K. Lignin degradation under anaerobic digestion: Influence of lignin modifications—A review. Biomass Bioenergy 2019, 128, 105325. [Google Scholar] [CrossRef]
  22. Feofilova, E.P.; Mysyakina, I.S. Lignin: Chemical structure, biodegradation, and practical application (a review). Appl. Biochem. Microbiol. 2016, 52, 573–581. [Google Scholar] [CrossRef]
  23. Carmona-Cabello, M.; Garcia, I.L.; Leiva-Candia, D.; Dorado, M.P. Valorization of food waste based on its composition through the concept of biorefinery. Curr. Opin. Green Sustain. Chem. 2018, 14, 67–79. [Google Scholar] [CrossRef]
  24. Borrero-López, A.M.; Valencia, C.; Franco, J.M. Lignocellulosic materials for the production of biofuels, biochemicals and biomaterials and applications of lignocellulose-based polyurethanes: A review. Polymers 2022, 14, 881. [Google Scholar] [CrossRef]
  25. Ward, A.J.; Hobbs, P.J.; Holliman, P.J.; Jones, D.L. Optimisation of the anaerobic digestion of agricultural resources. Bioresour. Technol. 2008, 99, 7928–7940. [Google Scholar] [CrossRef] [PubMed]
  26. Adekunle, K.F.; Okolie, J.A. A review of biochemical process of anaerobic digestion. Adv. Biosci. Biotechnol. 2015, 6, 205–212. [Google Scholar] [CrossRef]
  27. Qu, J.; Feng, Y.; Xu, G.; Zhang, M.; Zhu, Y.; Zhou, S. Design and thermodynamics analysis of marine dual fuel low speed engine with methane reforming integrated high pressure exhaust gas recirculation system. Fuel 2022, 319, 123747. [Google Scholar] [CrossRef]
  28. Tambone, F.; Scaglia, B.; D’Imporzano, G.; Schievano, A.; Orzi, V.; Salati, S.; Adani, F. Assessing amendment and fertilizing properties of digestates from anaerobic digestion through a comparative study with digested sludge and compost. Chemosphere 2010, 81, 577–583. [Google Scholar] [CrossRef]
  29. Kothari, R.; Pandey, A.K.; Kumar, S.; Tyagi, V.V.; Tyagi, S.K. Different aspects of dry anaerobic digestion for bio-energy: An overview. Renew. Sustain. Energy Rev. 2014, 39, 174–195. [Google Scholar] [CrossRef]
  30. Khanal, S.K. Bioenergy generation from residues of biofuel industries. In Anaerobic Biotechnology for Bioenergy Production: Principles and Applications; Khanal, S.K., Ed.; John Wiley & Sons, Inc: Hoboken, NJ, USA, 2008; pp. 161–188. ISBN 9780813804545. [Google Scholar]
  31. Náthia-Neves, G.; Berni, M.; Dragone, G.; Mussatto, S.I.; Forster-Carneiro, T. Anaerobic digestion process: Technological aspects and recent developments. Int. J. Environ. Sci. Technol. 2018, 15, 2033–2046. [Google Scholar] [CrossRef]
  32. Kiyasudeen, S.K.; Ibrahim, M.H.; Quaik, S.; Ismail, S.A. An introduction to anaerobic digestion of organic wastes. In Prospects of Organic Waste Management and the Significance of Earthworms; Springer International Publishing: New York, NY, USA, 2016; pp. 23–44. ISBN 978-3-319-24708-3. [Google Scholar]
  33. Hobdey, S.E.; Donohoe, B.S.; Brunecky, R.; Himmel, M.E.; Bomble, Y.J. New insights into microbial strategies for biomass conversion. In Direct Microbial Conversion of Biomass to Advanced Biofuels; Himmel, M.E., Ed.; Elsevier: Amsterdam, The Netherlands, 2015; pp. 111–127. ISBN 9780444595928. [Google Scholar]
  34. Somerville, C. Cellulose synthesis in higher plants. Annu. Rev. Cell Dev. Biol. 2006, 22, 53–78. [Google Scholar] [CrossRef]
  35. Li, M.; Pu, Y.; Ragauskas, A.J. Current understanding of the correlation of lignin structure with biomass recalcitrance. Front. Chem. 2016, 4, 45. [Google Scholar] [CrossRef]
  36. Pu, Y.; Hu, F.; Huang, F.; Ragauskas, A.J. Lignin structural alterations in thermochemical pretreatments with limited delignification. Bioenergy Res. 2015, 8, 992–1003. [Google Scholar] [CrossRef]
  37. Aditiya, H.B.; Mahlia, T.M.I.; Chong, W.T.; Nur, H.; Sebayang, A.H. Second generation bioethanol production: A critical review. Renew. Sustain. Energy Rev. 2016, 66, 631–653. [Google Scholar] [CrossRef]
  38. Kildegaard, G.; Balbi, M.D.P.; Salierno, G.; Cassanello, M.; De Blasio, C.; Galvagno, M. A cleaner delignification of urban leaf waste biomass for bioethanol production, optimised by experimental design. Processes 2022, 10, 943. [Google Scholar] [CrossRef]
  39. Ab Rasid, N.S.; Shamjuddin, A.; Abdul Rahman, A.Z.; Amin, N.A.S. Recent advances in green pre-treatment methods of lignocellulosic biomass for enhanced biofuel production. J. Clean. Prod. 2021, 321, 129038. [Google Scholar] [CrossRef]
  40. Behera, S.; Arora, R.; Nandhagopal, N.; Kumar, S. Importance of Chemical Pretreatment for Bioconversion of Lignocellulosic Biomass. Renew. Sustain. Energy Rev. 2014, 36, 91–106. [Google Scholar] [CrossRef]
  41. Weber, B.; Estrada-Maya, A.; Sandoval-Moctezuma, A.C.; Martínez-Cienfuegos, I.G. Anaerobic digestion of extracts from steam exploded agave tequilana bagasse. J. Environ. Manag. 2019, 245, 489–495. [Google Scholar] [CrossRef]
  42. Weber, B.; Sandoval-Moctezuma, A.C.; Estrada-Maya, A.; Martínez-Cienfuegos, I.G.; Durán-García, M.D. Agave bagasse response to steam explosion and anaerobic treatment. Biomass Convers. Biorefin. 2020, 10, 1279–1289. [Google Scholar] [CrossRef]
  43. Inseemeesak, B.; Areeprasert, C. Fiber extraction and energy recovery from cocos nucifera linn mesocarp residues employing steam explosion and anaerobic digestion. Ind. Crops Prod. 2020, 147, 112180. [Google Scholar] [CrossRef]
  44. Kaldis, F.; Cysneiros, D.; Day, J.; Karatzas, K.A.G.; Chatzifragkou, A. Anaerobic digestion of steam-exploded wheat straw and co-digestion strategies for enhanced biogas production. Appl. Sci. 2020, 10, 8284. [Google Scholar] [CrossRef]
  45. Bensah, E.C.; Mensah, M.Y. Emerging physico-chemical methods for biomass pretreatment. In Fuel Ethanol Production from Sugarcane; Basso, T.P., Basso, L.C., Eds.; IntechOpen: London, UK, 2019; pp. 41–62. ISBN 978-1-78984-938-7. [Google Scholar]
  46. Poddar, B.J.; Nakhate, S.P.; Gupta, R.K.; Chavan, A.R.; Singh, A.K.; Khardenavis, A.A.; Purohit, H.J. A comprehensive review on the pretreatment of lignocellulosic wastes for improved biogas production by anaerobic digestion. Int. J. Environ. Sci. Technol. 2022, 19, 3429–3456. [Google Scholar] [CrossRef]
  47. Kim, D. Physico-chemical conversion of lignocellulose: Inhibitor effects and detoxification strategies: A mini review. Molecules 2018, 23, 309. [Google Scholar] [CrossRef] [PubMed]
  48. Alvira, P.; Negro, M.J.; Ballesteros, I.; González, A.; Ballesteros, M. Steam explosion for wheat straw pretreatment for sugars production. Bioethanol 2016, 2, 66–75. [Google Scholar] [CrossRef]
  49. Ahring, B.K.; Munck, J. Method for Treating Biomass and Organic Waste with the Purpose of Generating Desired Biologically Based Products. U.S. Patent US 8,506,716 B2, 13 August 2013. [Google Scholar]
  50. Biswas, R.; Uellendahl, H.; Ahring, B.K. Wet explosion: A universal and efficient pretreatment process for lignocellulosic biorefineries. Bioenergy Res. 2015, 8, 1101–1116. [Google Scholar] [CrossRef]
  51. Ahring, B.K.; Biswas, R.; Ahamed, A.; Teller, P.J.; Uellendahl, H. Making lignin accessible for anaerobic digestion by wet-explosion pretreatment. Bioresour. Technol. 2015, 175, 182–188. [Google Scholar] [CrossRef]
  52. Rana, D.; Laskar, D.D.; Srinivas, K.; Ahring, B.K. Wet explosion pretreatment of loblolly pine leads to an increase in methoxylation of the lignin. Bioresour. Bioprocess. 2015, 2, 26. [Google Scholar] [CrossRef]
  53. Dawson, B.; Spannagle, M. The Complete Guide to Climate Change; Routledge: London, UK, 2008; ISBN 9780203888469. [Google Scholar]
  54. Cesaro, A.; Belgiorno, V. Ozone pretreatment for the anaerobic digestion of organic solid waste. Detritus 2020, 12, 51–56. [Google Scholar] [CrossRef]
  55. Malik, S.N.; Ghosh, P.C.; Vaidya, A.N.; Mudliar, S.N. Ozone pretreatment of biomethanated distillery wastewater in a semi batch reactor: Mapping pretreatment efficiency in terms of COD, color, toxicity and biohydrogen generation. Biofuels 2018, 11, 801–809. [Google Scholar] [CrossRef]
  56. Ghorbani, M.; Kianmehr, M.H.; Arabhosseini, A.; Alamouti, A.A.; Sadeghi, R. Ozonolysis pretreatment of wheat straw for enhanced delignification: Applying RSM technique for modeling and optimizing proces. Iran. J. Biosyst. Eng. 2021, 52, 37–53. [Google Scholar] [CrossRef]
  57. Ariunbaatar, J.; Panico, A.; Esposito, G.; Pirozzi, F.; Lens, P.N.L. Pretreatment methods to enhance anaerobic digestion of organic solid waste. Appl. Energy 2014, 123, 143–156. [Google Scholar] [CrossRef]
  58. Singh, S.K.; Savoy, A.W. Ionic liquids synthesis and applications: An overview. J. Mol. Liq. 2020, 297, 112038. [Google Scholar] [CrossRef]
  59. Badgujar, K.C.; Badgujar, V.C.; Bhanage, B.M. Ionic liquids for bioenergy production. In Ionic Liquid-Based Technologies for Environmental Sustainability; Jawaid, M., Ahmad, A., Reddy, A.V.B., Eds.; Elsevier: Amsterdam, The Netherlands, 2022; pp. 235–256. ISBN 978-0-12-824545-3. [Google Scholar]
  60. Brandt-Talbot, A.; Gschwend, F.J.V.; Fennell, P.S.; Lammens, T.M.; Tan, B.; Weale, J.; Hallett, J.P. An economically viable ionic liquid for the fractionation of lignocellulosic biomass. Green Chem. 2017, 19, 3078–3102. [Google Scholar] [CrossRef]
  61. Usmani, Z.; Sharma, M.; Gupta, P.; Karpichev, Y.; Gathergood, N.; Bhat, R.; Gupta, V.K. Ionic liquid based pretreatment of lignocellulosic biomass for enhanced bioconversion. Bioresour. Technol. 2020, 304, 123003. [Google Scholar] [CrossRef] [PubMed]
  62. Pérez-Pimienta, J.A.; García-López, R.M.; Méndez-Acosta, H.O.; González-Álvarez, V.; Simmons, B.A.; Méndoza-Pérez, J.A.; Arreola-Vargas, J. Ionic liquid-water mixtures enhance pretreatment and anaerobic digestion of agave bagasse. Ind. Crops Prod. 2021, 171, 113924. [Google Scholar] [CrossRef]
  63. Pérez-Pimienta, J.A.; Icaza-Herrera, J.P.A.; Méndez-Acosta, H.O.; González-Álvarez, V.; Méndoza-Pérez, J.A.; Arreola-Vargas, J. Bioderived ionic liquid-based pretreatment enhances methane production from: Agave tequilana bagasse. RSC Adv. 2020, 10, 14025–14032. [Google Scholar] [CrossRef]
  64. Marin-Batista, J.D.; Mohedano, A.F.; de la Rubia, A. Pretreatment of lignocellulosic biomass with 1-ethyl-3-methylimidazolium acetate for its eventual valorization by anaerobic digestion. Resources 2021, 10, 118. [Google Scholar] [CrossRef]
  65. Lima, F.; Branco, L.C.; Lapa, N.; Marrucho, I.M. Beneficial and detrimental effects of choline chloride–Oxalic acid deep eutectic solvent on biogas production. Waste Manag. 2021, 131, 368–375. [Google Scholar] [CrossRef] [PubMed]
  66. Smith, E.L.; Abbott, A.P.; Ryder, K.S. Deep eutectic solvents (DESs) and their applications. Chem. Rev. 2014, 114, 11060–11082. [Google Scholar] [CrossRef]
  67. Pan, M.; Zhao, G.; Ding, C.; Wu, B.; Lian, Z.; Lian, H. Physicochemical transformation of rice straw after pretreatment with a deep eutectic solvent of choline chloride/urea. Carbohydr. Polym. 2017, 176, 307–314. [Google Scholar] [CrossRef]
  68. Morais, E.S.; Da Costa Lopes, A.M.; Freire, M.G.; Freire, C.S.R.; Coutinho, J.A.P.; Silvestre, A.J.D. Use of ionic liquids and deep eutectic solvents in polysaccharides dissolution and extraction processes towards sustainable biomass valorization. Molecules 2020, 25, 3652. [Google Scholar] [CrossRef]
  69. Oh, Y.; Park, S.; Jung, D.; Oh, K.K.; Lee, S.H. Effect of hydrogen bond donor on the choline chloride-based deep eutectic solvent-mediated extraction of lignin from pine wood. Int. J. Biol. Macromol. 2020, 165, 187–197. [Google Scholar] [CrossRef]
  70. Basak, B.; Patil, S.; Kumar, R.; Ha, G.S.; Park, Y.K.; Ali Khan, M.; Kumar Yadav, K.; Fallatah, A.M.; Jeon, B.H. Integrated hydrothermal and deep eutectic solvent-mediated fractionation of lignocellulosic biocomponents for enhanced accessibility and efficient conversion in anaerobic digestion. Bioresour. Technol. 2022, 351, 127034. [Google Scholar] [CrossRef] [PubMed]
  71. Olugbemide, A.D.; Oberlintner, A.; Novak, U.; Likozar, B. Lignocellulosic corn stover biomass pre-treatment by deep eutectic solvents (des) for biomethane production process by bioresource anaerobic digestion. Sustainability 2021, 13, 10504. [Google Scholar] [CrossRef]
  72. Brosse, N.; Hussin, M.H.; Rahim, A.A. Organosolv processes. In Biorefineries. Advances in Biochemical Engineering/Biotechnology; Wagemann, K., Tippkötter, N., Eds.; Springer International Publishing: Cham, Switzerland, 2017; Volume 166, pp. 153–176. ISBN 978-3-319-97117-9. [Google Scholar]
  73. Ferreira, J.A.; Taherzadeh, M.J. Improving the economy of lignocellulose-based biorefineries with organosolv pretreatment. Bioresour. Technol. 2020, 299, 122695. [Google Scholar] [CrossRef]
  74. Chin, D.W.K.; Lim, S.; Pang, Y.L.; Lam, M.K. Fundamental review of organosolv pretreatment and its challenges in emerging consolidated bioprocessing. Biofuels, Bioprod. Biorefining 2020, 14, 808–829. [Google Scholar] [CrossRef]
  75. Oliva, A.; Tan, L.C.; Papirio, S.; Esposito, G.; Lens, P.N.L. Effect of methanol-organosolv pretreatment on anaerobic digestion of lignocellulosic materials. Renew. Energy 2021, 169, 1000–1012. [Google Scholar] [CrossRef]
  76. Danish, M.; Ahmad, T. A Review on utilization of wood biomass as a sustainable precursor for activated carbon production and application. Renew. Sustain. Energy Rev. 2018, 87, 1–21. [Google Scholar] [CrossRef]
  77. Najafi, E.; Castro, E.; Karimi, K. Biorefining for olive wastes management and efficient bioenergy production. Energy Convers. Manag. 2021, 244, 114467. [Google Scholar] [CrossRef]
  78. Soltaninejad, A.; Jazini, M.; Karimi, K. Sustainable bioconversion of potato peel wastes into ethanol and biogas using organosolv pretreatment. Chemosphere 2022, 291, 133003. [Google Scholar] [CrossRef] [PubMed]
  79. Sulbarán-Rangel, B.; Aguirre, J.S.A.; Breton-Deval, L.; del Real-Olvera, J.; Tun, K.J.G. Improvement of anaerobic digestion of hydrolysed corncob waste by organosolv pretreatment for biogas production. Appl. Sci. 2020, 10, 2785. [Google Scholar] [CrossRef]
  80. Knez, Ž.; Pantić, M.; Cör, D.; Novak, Z.; Knez Hrnčič, M. Are supercritical fluids solvents for the future? Chem. Eng. Process.-Process Intensif. 2019, 141, 107532. [Google Scholar] [CrossRef]
  81. Narayanaswamy, N.; Faik, A.; Goetz, D.J.; Gu, T. Supercritical carbon dioxide pretreatment of corn stover and switchgrass for lignocellulosic ethanol production. Bioresour. Technol. 2011, 102, 6995–7000. [Google Scholar] [CrossRef]
  82. Liu, Y.-F.; Luo, P.; Xu, Q.-Q.; Wang, E.-J.; Yin, J.-Z. Investigation of the effect of supercritical carbon dioxide pretreatment on reducing sugar yield of lignocellulose hydrolysis. Cellul. Chem. Technol. 2014, 48, 89–95. [Google Scholar]
  83. Gao, M.; Xu, F.; Li, S.; Ji, X.; Chen, S.; Zhang, D. Effect of SC-CO2 pretreatment in increasing rice straw biomass conversion. Biosyst. Eng. 2010, 106, 470–475. [Google Scholar] [CrossRef]
  84. Alinia, R.; Zabihi, S.; Esmaeilzadeh, F.; Kalajahi, J.F. Pretreatment of wheat straw by supercritical CO2 and its enzymatic hydrolysis for sugar production. Biosyst. Eng. 2010, 107, 61–66. [Google Scholar] [CrossRef]
  85. Zhao, M.-J.; Xu, Q.-Q.; Li, G.-M.; Zhang, Q.-Z.; Zhou, D.; Yin, J.-Z.; Zhan, H.-S. Pretreatment of agricultural residues by supercritical CO2 at 50–80 °C to enhance enzymatic hydrolysis. J. Energy Chem. 2019, 31, 39–45. [Google Scholar] [CrossRef]
  86. Badgujar, K.C.; Dange, R.; Bhanage, B.M. Recent advances of use of the supercritical carbon dioxide for the biomass pre-treatment and extraction: A mini-review. J. Indian Chem. Soc. 2021, 98, 100018. [Google Scholar] [CrossRef]
  87. Van Walsum, G.P.; Shi, H. Carbonic acid enhancement of hydrolysis in aqueous pretreatment of corn stover. Bioresour. Technol. 2004, 93, 217–226. [Google Scholar] [CrossRef]
  88. da Fonseca Machado, A.P.; Rezende, C.A.; Rodrigues, R.A.; Barbero, G.F.; de Tarso Vieira e Rosa, P.; Martínez, J. Encapsulation of anthocyanin-rich extract from blackberry residues by spray-drying, freeze-drying and supercritical antisolvent. Powder Technol. 2018, 340, 553–562. [Google Scholar] [CrossRef]
  89. Hashemi, S.; Joseph, P.; Mialon, A.; Moe, S.; Lamb, J.J.; Lien, K.M. Enzymatic pretreatment of steam-exploded birch wood for increased biogas production and lignin degradation. Bioresour. Technol. Rep. 2021, 16, 100874. [Google Scholar] [CrossRef]
  90. Nakamura, Y.; Asada, C. Effect of activated cow dung as inoculum on methane production of steam-exploded rice husks. Waste Biomass Valorization 2021, 12, 5019–5028. [Google Scholar] [CrossRef]
  91. Weber, B.; Ayala-Mercado, I.D.; Stadlbauer, E.A. Steam explosion versus hydrothermal carbonization: Evaluation of applicability for pretreatment of semi-solid waste from beverage industries to facilitate on-site biogas production. Biomass Convers. Biorefinery 2022. [Google Scholar] [CrossRef]
  92. Jomnonkhaow, U.; Sittijunda, S.; Reungsang, A. Assessment of organosolv, hydrothermal, and combined organosolv and hydrothermal with enzymatic pretreatment to increase the production of biogas from napier grass and napier silage. Renew. Energy 2022, 181, 1237–1249. [Google Scholar] [CrossRef]
  93. Ebrahimian, F.; Karimi, K.; Angelidaki, I. Coproduction of hydrogen, butanol, butanediol, ethanol, and biogas from the organic fraction of municipal solid waste using bacterial cocultivation followed by anaerobic digestion. Renew. Energy 2022, 194, 552–560. [Google Scholar] [CrossRef]
  94. Lima, D.R.S.; de Oliveira Paranhos, A.G.; Adarme, O.F.H.; Baêta, B.E.L.; Gurgel, L.V.A.; dos Santos, A.S.; de Queiroz Silva, S.; de Aquino, S.F. Integrated production of second-generation ethanol and biogas from sugarcane bagasse pretreated with ozone. Biomass Convers. Biorefinery 2022, 12, 809–825. [Google Scholar] [CrossRef]
  95. Hassaan, M.A.; El Nemr, A.; Elkatory, M.R.; Eleryan, A.; Ragab, S.; El Sikaily, A.; Pantaleo, A. Enhancement of biogas production from macroalgae ulva latuca via ozonation pretreatment. Energies 2021, 14, 1703. [Google Scholar] [CrossRef]
  96. Mitraka, G.-C.; Kontogiannopoulos, K.N.; Tsivintzelis, I.; Zouboulis, A.I.; Kougias, P.G. Optimization of supercritical carbon dioxide explosion for sewage sludge pre-treatment using response surface methodology. Chemosphere 2022, 297, 133989. [Google Scholar] [CrossRef] [PubMed]
  97. Tossavainen, M.; Edelmann, M.; Lahti-Leikas, K.; Kivimäki, S.; Kymäläinen, M.; Piironen, V.; Lampi, A.-M.; Ojala, A.; Romantschuk, M. Chemical composition and biomethane production potential of euglena gracilis biomass and extraction residue from supercritical CO2 extraction. Bioresour. Technol. Rep. 2022, 19, 101140. [Google Scholar] [CrossRef]
  98. Ruiz-Domínguez, M.C.; Salinas, F.; Medina, E.; Rincón, B.; Martín, M.Á.; Gutiérrez, M.C.; Cerezal-Mezquita, P. Supercritical fluid extraction of fucoxanthin from the diatom phaeodactylum tricornutum and biogas production through anaerobic digestion. Mar. Drugs 2022, 20, 127. [Google Scholar] [CrossRef]
  99. Abbasi, T.; Tauseef, S.M.; Abbasi, S.A. Anaerobic digestion for global warming control and energy generation—An overview. Renew. Sustain. Energy Rev. 2012, 16, 3228–3242. [Google Scholar] [CrossRef]
  100. Zheng, Y.; Zhao, J.; Xu, F.; Li, Y. Pretreatment of lignocellulosic biomass for enhanced biogas production. Prog. Energy Combust. Sci. 2014, 42, 35–53. [Google Scholar] [CrossRef]
  101. Aryal, N.; Kvist, T.; Ammam, F.; Pant, D.; Ottosen, L.D.M. An overview of microbial biogas enrichment. Bioresour. Technol. 2018, 264, 359–369. [Google Scholar] [CrossRef]
  102. Hashemi, B.; Sarker, S.; Lamb, J.J.; Lien, K.M. Yield improvements in anaerobic digestion of lignocellulosic feedstocks. J. Clean. Prod. 2021, 288, 125447. [Google Scholar] [CrossRef]
  103. Cheng, Z.; Guo, Z.; Fu, P.; Yang, J.; Wang, Q. New insights into the effects of methane and oxygen on heat/mass transfer in reactive porous media. Int. Commun. Heat Mass Transf. 2021, 129, 105652. [Google Scholar] [CrossRef]
  104. Brandon, A.G.; Scheller, H.V. Engineering of bioenergy crops: Dominant genetic approaches to improve polysaccharide properties and composition in biomass. Front. Plant Sci. 2020, 11, 282. [Google Scholar] [CrossRef]
  105. Yu, P.; Chen, X.; Li, P. Enhancing microbial production of biofuels by expanding microbial metabolic pathways. Biotechnol. Appl. Biochem. 2017, 64, 606–619. [Google Scholar] [CrossRef] [PubMed]
  106. Yadav, M.; Paritosh, K.; Chawade, A.; Pareek, N.; Vivekanand, V. Genetic engineering of energy crops to reduce recalcitrance and enhance biomass digestibility. Agriculture 2018, 8, 76. [Google Scholar] [CrossRef]
  107. Grabber, J.H.; Ralph, J.; Lapierre, C.; Barrière, Y. Genetic and molecular basis of grass cell-wall degradability. I. Lignin-cell wall matrix interactions. Comptes Rendus-Biol. 2004, 327, 455–465. [Google Scholar] [CrossRef] [PubMed]
  108. Renault, H.; Werck-Reichhart, D.; Weng, J.K. Harnessing lignin evolution for biotechnological applications. Curr. Opin. Biotechnol. 2019, 56, 105–111. [Google Scholar] [CrossRef]
  109. Tetreault, H.M.; Gries, T.; Palmer, N.A.; Funnell-Harris, D.L.; Sato, S.; Ge, Z.; Sarath, G.; Sattler, S.E. Overexpression of ferulate 5-hydroxylase increases syringyl units in sorghum bicolor. Plant Mol. Biol. 2020, 103, 269–285. [Google Scholar] [CrossRef]
  110. Hodgson-Kratky, K.; Perlo, V.; Furtado, A.; Choudhary, H.; Gladden, J.M.; Simmons, B.A.; Botha, F.; Henry, R.J. Association of gene expression with syringyl to guaiacyl ratio in sugarcane lignin. Plant Mol. Biol. 2021, 106, 173–192. [Google Scholar] [CrossRef]
  111. Huang, J.; Xia, T.; Li, G.; Li, X.; Li, Y.; Wang, Y.; Wang, Y.; Chen, Y.; Xie, G.; Bai, F.W.; et al. Overproduction of native endo-β-1,4-glucanases leads to largely enhanced biomass saccharification and bioethanol production by specific modification of cellulose features in transgenic rice 06 biological sciences 0601 biochemistry and cell biology 06 biological sciences 0607 plant biology. Biotechnol. Biofuels 2019, 12, 11. [Google Scholar] [CrossRef]
  112. Li, F.; Liu, S.; Xu, H.; Xu, Q. A novel FC17/CESA4 mutation causes increased biomass saccharification and lodging resistance by remodeling cell wall in rice. Biotechnol. Biofuels 2018, 11, 298. [Google Scholar] [CrossRef] [PubMed]
  113. Sato-Izawa, K.; Nakamura, S.-I.; Matsumoto, T. Mutation of rice Bc1 gene affects internode elongation and induces delayed cell wall deposition in developing internodes. Plant Signal. Behav. 2020, 15, e1749786. [Google Scholar] [CrossRef] [PubMed]
  114. Vandenbrink, J.P.; Hilten, R.N.; Das, K.C.; Paterson, A.H.; Feltus, F.A. Analysis of crystallinity index and hydrolysis rates in the bioenergy crop sorghum bicolor. Bioenergy Res. 2012, 5, 387–397. [Google Scholar] [CrossRef]
  115. Dadwal, A.; Sharma, S.; Satyanarayana, T. Progress in ameliorating beneficial characteristics of microbial cellulases by genetic engineering approaches for cellulose saccharification. Front. Microbiol. 2020, 11, 1387. [Google Scholar] [CrossRef]
  116. Bugg, T.D.H.; Williamson, J.J.; Alberti, F. Microbial hosts for metabolic engineering of lignin bioconversion to renewable chemicals. Renew. Sustain. Energy Rev. 2021, 152, 111674. [Google Scholar] [CrossRef]
  117. Lee, S.; Sohn, J.H.; Bae, J.H.; Kim, S.C.; Sung, B.H. Current status of pseudomonas putida engineering for lignin valorization. Biotechnol. Bioprocess Eng. 2020, 25, 862–871. [Google Scholar] [CrossRef]
  118. Paul, M.; Mohapatra, S.; Kumar Das Mohapatra, P.; Thatoi, H. Microbial Cellulases—An update towards its surface chemistry, genetic engineering and recovery for its biotechnological potential. Bioresour. Technol. 2021, 340, 125710. [Google Scholar] [CrossRef]
  119. Jia, B.; Yun, S.; Shi, J.; Han, F.; Wang, Z.; Chen, J.; Abbas, Y.; Xu, H.; Wang, K.; Xing, T. Enhanced anaerobic mono- and co-digestion under mesophilic condition: Focusing on the magnetic field and ti-sphere core–shell structured additives. Bioresour. Technol. 2020, 310, 123450. [Google Scholar] [CrossRef]
  120. Zieliński, M.; Zielińska, M.; Cydzik-Kwiatkowska, A.; Rusanowska, P.; Dębowski, M. Effect of static magnetic field on microbial community during anaerobic digestion. Bioresour. Technol. 2021, 323, 124600. [Google Scholar] [CrossRef]
  121. Lyu, W.; Song, Q.; Shi, J.; Wang, H.; Wang, B.; Hu, X. Weak magnetic field affected microbial communities and function in the A/O/A sequencing batch reactors for enhanced aerobic granulation. Sep. Purif. Technol. 2021, 266, 118537. [Google Scholar] [CrossRef]
  122. Wang, Z.; Liu, X.; Ni, S.Q.; Zhang, J.; Zhang, X.; Ahmad, H.A.; Gao, B. Weak magnetic field: A powerful strategy to enhance partial nitrification. Water Res. 2017, 120, 190–198. [Google Scholar] [CrossRef]
  123. Beretta, G.; Mastorgio, A.F.; Pedrali, L.; Saponaro, S.; Sezenna, E. The effects of electric, magnetic and electromagnetic fields on microorganisms in the perspective of bioremediation. Rev. Environ. Sci. Biotechnol. 2019, 18, 29–75. [Google Scholar] [CrossRef]
  124. Zhang, X.; Yarema, K.; Xu, A. Impact of static magnetic field (SMF) on microorganisms, plants and animals. In Biological Effects of Static Magnetic Fields; Springer: Singapore, 2017; pp. 133–172. ISBN 978-981-10-3577-7. [Google Scholar]
  125. Guo, L.; Azam, S.M.R.; Guo, Y.; Liu, D.; Ma, H. Germicidal efficacy of the pulsed magnetic field against pathogens and spoilage microorganisms in food processing: An overview. Food Control 2022, 136, 108496. [Google Scholar] [CrossRef]
  126. Zhao, B.; Sha, H.; Li, J.; Cao, S.; Wang, G.; Yang, Y. Static magnetic field enhanced methane production via stimulating the growth and composition of microbial community. J. Clean. Prod. 2020, 271, 122664. [Google Scholar] [CrossRef]
  127. Li, W.; Ma, H.; He, R.; Ren, X.; Zhou, C. Prospects and application of ultrasound and magnetic fields in the fermentation of rare edible fungi. Ultrason. Sonochem. 2021, 76, 105613. [Google Scholar] [CrossRef] [PubMed]
  128. Kunatsa, T.; Xia, X. A review on anaerobic digestion with focus on the role of biomass co-digestion, modelling and optimisation on biogas production and enhancement. Bioresour. Technol. 2022, 344, 126311. [Google Scholar] [CrossRef] [PubMed]
  129. Solé-Bundó, M.; Passos, F.; Romero-Güiza, M.S.; Ferrer, I.; Astals, S. Co-digestion strategies to enhance microalgae anaerobic digestion: A review. Renew. Sustain. Energy Rev. 2019, 112, 471–482. [Google Scholar] [CrossRef]
  130. Karki, R.; Chuenchart, W.; Surendra, K.C.; Shrestha, S.; Raskin, L.; Sung, S.; Hashimoto, A.; Khanal, S.K. Anaerobic co-digestion: Current status and perspectives. Bioresour. Technol. 2021, 330, 125001. [Google Scholar] [CrossRef]
  131. Kunatsa, T.; Zhang, L.; Xia, X. Biogas potential determination and production optimisation through optimal substrate ratio feeding in co-digestion of water hyacinth, municipal solid waste and cow dung. Biofuels 2020. [Google Scholar] [CrossRef]
  132. Velásquez Piñas, J.A.; Venturini, O.J.; Silva Lora, E.E.; Calle Roalcaba, O.D. Technical assessment of mono-digestion and co-digestion systems for the production of biogas from anaerobic digestion in Brazil. Renew. Energy 2018, 117, 447–458. [Google Scholar] [CrossRef]
  133. Zhao, Y.; Sun, F.; Yu, J.; Cai, Y.; Luo, X.; Cui, Z.; Hu, Y.; Wang, X. Co-digestion of oat straw and cow manure during anaerobic digestion: Stimulative and inhibitory effects on fermentation. Bioresour. Technol. 2018, 269, 143–152. [Google Scholar] [CrossRef] [PubMed]
  134. Zahan, Z.; Othman, M.Z.; Muster, T.H. Anaerobic digestion/co-digestion kinetic potentials of different agro-industrial wastes: A comparative batch study for C/N optimisation. Waste Manag. 2018, 71, 663–674. [Google Scholar] [CrossRef]
  135. Liu, M.; Wei, Y.; Leng, X. Improving biogas production using additives in anaerobic digestion: A review. J. Clean. Prod. 2021, 297, 126666. [Google Scholar] [CrossRef]
  136. Choong, Y.Y.; Norli, I.; Abdullah, A.Z.; Yhaya, M.F. Impacts of trace element supplementation on the performance of anaerobic digestion process: A critical review. Bioresour. Technol. 2016, 209, 369–379. [Google Scholar] [CrossRef] [PubMed]
  137. Demirel, B.; Scherer, P. Trace element requirements of agricultural biogas digesters during biological conversion of renewable biomass to methane. Biomass Bioenergy 2011, 35, 992–998. [Google Scholar] [CrossRef]
  138. Du, N.; Li, M.; Zhang, Q.; Ulsido, M.D.; Xu, R.; Huang, W. Study on the biogas potential of anaerobic digestion of coffee husks wastes in Ethiopia. Waste Manag. Res. 2021, 39, 291–301. [Google Scholar] [CrossRef] [PubMed]
  139. Cai, Y.; Janke, L.; Zheng, Z.; Wang, X.; Pröter, J.; Schäfer, F. Enhancing anaerobic digestion of chicken manure leachate: Effects of trace elements supplementation on methane production. Bioresour. Technol. Rep. 2021, 14, 100662. [Google Scholar] [CrossRef]
  140. Fermoso, F.G.; Van Hullebusch, E.D.; Guibaud, G.; Collins, G.; Svensson, B.H.; Carliell-Marquet, C.; Vink, J.P.M.; Esposito, G.; Frunzo, L. Fate of trace metals in anaerobic digestion. Adv. Biochem. Eng. Biotechnol. 2015, 151, 171–195. [Google Scholar] [CrossRef]
  141. Wu, B.; Lin, R.; Kang, X.; Deng, C.; Xia, A.; Dobson, A.D.W.; Murphy, J.D. Graphene addition to digestion of thin stillage can alleviate acidic shock and improve biomethane production. ACS Sustain. Chem. Eng. 2020, 8, 13248–13260. [Google Scholar] [CrossRef]
  142. Qi, Q.; Sun, C.; Zhang, J.; He, Y.; Tong, Y.W. Internal enhancement mechanism of biochar with graphene structure in anaerobic digestion: The bioavailability of trace elements and potential direct interspecies electron transfer. Chem. Eng. J. 2021, 406, 126833. [Google Scholar] [CrossRef]
  143. Nabi, M.; Liang, H.; Cheng, L.; Yang, W.; Gao, D. A comprehensive review on the use of conductive materials to improve anaerobic digestion: Focusing on landfill leachate treatment. J. Environ. Manag. 2022, 309, 114540. [Google Scholar] [CrossRef] [PubMed]
  144. Wang, Z.; Wang, T.; Si, B.; Watson, J.; Zhang, Y. Accelerating anaerobic digestion for methane production: Potential role of direct interspecies electron transfer. Renew. Sustain. Energy Rev. 2021, 145, 111069. [Google Scholar] [CrossRef]
  145. Hao, Y.; Wang, Y.; Ma, C.; White, J.C.; Zhao, Z.; Duan, C.; Zhang, Y.; Adeel, M.; Rui, Y.; Li, G.; et al. Carbon nanomaterials induce residue degradation and increase methane production from livestock manure in an anaerobic digestion system. J. Clean. Prod. 2019, 240, 118257. [Google Scholar] [CrossRef]
  146. Chen, F.; Ma, J.; Zhu, Y.; Li, X.; Yu, H.; Sun, Y. Biodegradation performance and anti-fouling mechanism of an ICME/Electro-biocarriers-MBR system in livestock wastewater (antibiotic-containing) treatment. J. Hazard. Mater. 2022, 426, 128064. [Google Scholar] [CrossRef] [PubMed]
  147. Baniamerian, H.; Isfahani, P.G.; Tsapekos, P.; Alvarado-Morales, M.; Shahrokhi, M.; Vossoughi, M.; Angelidaki, I. Application of nano-structured materials in anaerobic digestion: Current status and perspectives. Chemosphere 2019, 229, 188–199. [Google Scholar] [CrossRef]
  148. Chiappero, M.; Norouzi, O.; Hu, M.; Demichelis, F.; Berruti, F.; Di Maria, F.; Mašek, O.; Fiore, S. Review of biochar role as additive in anaerobic digestion processes. Renew. Sustain. Energy Rev. 2020, 131, 110037. [Google Scholar] [CrossRef]
  149. Tan, X.F.; Liu, S.-B.; Liu, Y.-G.; Gu, Y.-L.; Zeng, G.-M.; Hu, X.-J.; Wang, X.; Liu, S.-H.; Jiang, L.-H. Biochar as potential sustainable precursors for activated carbon production: Multiple applications in environmental protection and energy storage. Bioresour. Technol. 2017, 227, 359–372. [Google Scholar] [CrossRef]
  150. Chen, M.; Liu, S.; Yuan, X.; Li, Q.X.; Wang, F.; Xin, F.; Wen, B. Methane production and characteristics of the microbial community in the co-digestion of potato pulp waste and dairy manure amended with biochar. Renew. Energy 2021, 163, 357–367. [Google Scholar] [CrossRef]
  151. Ma, H.; Hu, Y.; Kobayashi, T.; Xu, K.Q. The role of rice husk biochar addition in anaerobic digestion for sweet sorghum under high loading condition. Biotechnol. Rep. 2020, 27, e00515. [Google Scholar] [CrossRef] [PubMed]
  152. Saif, I.; Salama, E.S.; Usman, M.; Lee, D.S.; Malik, K.; Liu, P.; Li, X. Improved digestibility and biogas production from lignocellulosic biomass: Biochar addition and microbial response. Ind. Crops Prod. 2021, 171, 113851. [Google Scholar] [CrossRef]
  153. Bin Khalid, Z.; Siddique, N.I.; Nayeem, A.; Adyel, T.M.; Bin Ismail, S.; Ibrahim, M.Z. Biochar application as sustainable precursors for enhanced anaerobic digestion: A systematic review. J. Environ. Chem. Eng. 2021, 9, 105489. [Google Scholar] [CrossRef]
  154. Xie, Z.; Cao, Q.; Chen, Y.; Luo, Y.; Liu, X.; Li, D. The biological and abiotic effects of powdered activated carbon on the anaerobic digestion performance of cornstalk. Bioresour. Technol. 2022, 343, 126072. [Google Scholar] [CrossRef] [PubMed]
  155. Calabrò, P.; Fazzino, F.; Folino, A.; Paone, E.; Komilis, D. Semi-continuous anaerobic digestion of orange peel waste: Effect of activated carbon addition and alkaline pretreatment on the process. Sustainability 2019, 11, 3386. [Google Scholar] [CrossRef]
  156. Cuetos, M.J.; Martinez, E.J.; Moreno, R.; Gonzalez, R.; Otero, M.; Gomez, X. Enhancing anaerobic digestion of poultry blood using activated carbon enhancing anaerobic digestion of poultry blood. J. Adv. Res. 2017, 8, 297–307. [Google Scholar] [CrossRef] [PubMed]
  157. Poirier, S.; Madigou, C.; Bouchez, T.; Chapleur, O. Improving anaerobic digestion with support media: Mitigation of ammonia inhibition and effect on microbial communities. Bioresour. Technol. 2017, 235, 229–239. [Google Scholar] [CrossRef]
  158. Hassan, M.F.; Sabri, M.A.; Fazal, H.; Hafeez, A.; Shezad, N.; Hussain, M. Recent trends in activated carbon fibers production from various precursors and applications—A comparative review. J. Anal. Appl. Pyrolysis 2020, 145, 104715. [Google Scholar] [CrossRef]
  159. Wan, Z.; Zhang, T.; Liu, Y.; Liu, P.; Zhang, J.; Fang, L.; Sun, D. Enhancement of desulfurization by hydroxyl ammonium ionic liquid supported on active carbon. Environ. Res. 2022, 213, 113637. [Google Scholar] [CrossRef]
  160. Yao, Y.; Huang, G.; An, C.; Chen, X.; Zhang, P.; Xin, X.; Shen, J.; Agnew, J. Anaerobic digestion of livestock manure in cold regions: Technological advancements and global impacts. Renew. Sustain. Energy Rev. 2020, 119, 109494. [Google Scholar] [CrossRef]
  161. Yadvika; Santosh; Sreekrishnan, T.R.; Kohli, S.; Rana, V. Enhancement of biogas production from solid substrates using different techniques—A review. Bioresour. Technol. 2004, 95, 1–10. [Google Scholar] [CrossRef]
  162. Akindolire, M.A.; Rama, H.; Roopnarain, A. Psychrophilic anaerobic digestion: A critical evaluation of microorganisms and enzymes to drive the process. Renew. Sustain. Energy Rev. 2022, 161, 112394. [Google Scholar] [CrossRef]
  163. Rajagopal, R.; Bellavance, D.; Rahaman, M.S. Psychrophilic anaerobic digestion of semi-dry mixed municipal food waste: For north american context. Process Saf. Environ. Prot. 2017, 105, 101–108. [Google Scholar] [CrossRef]
  164. Xu, X.; Sun, Y.; Sun, Y.; Li, Y. Bioaugmentation improves batch psychrophilic anaerobic co-digestion of cattle manure and corn straw. Bioresour. Technol. 2022, 343, 126118. [Google Scholar] [CrossRef] [PubMed]
  165. Tiwari, B.R.; Rouissi, T.; Brar, S.K.; Surampalli, R.Y. Critical insights into psychrophilic anaerobic digestion: Novel strategies for improving biogas production. Waste Manag. 2021, 131, 513–526. [Google Scholar] [CrossRef] [PubMed]
  166. Ding, W.; Meng, Q.; Dong, G.; Qi, N.; Zhao, H.; Shi, S. Metabolic engineering of threonine catabolism enables saccharomyces cerevisiae to produce propionate under aerobic conditions. Biotechnol. J. 2022, 17, 2100579. [Google Scholar] [CrossRef]
  167. Boboua, S.Y.B.; Zhou, C.; Li, J.; Bi, W.; Wang, R.; Chen, S.; Zheng, G. Augmentation characteristics and microbial community dynamics of low temperature resistant composite strains LTF-27. Environ. Sci. Pollut. Res. 2022, 29, 35338–35349. [Google Scholar] [CrossRef]
Figure 1. Structure of Lignocellulosic Materials.
Figure 1. Structure of Lignocellulosic Materials.
Energies 15 08413 g001
Figure 2. Structure of Lignin.
Figure 2. Structure of Lignin.
Energies 15 08413 g002
Figure 3. Effect of pretreatment on lignocellulosic materials and their conversion during anaerobic digestion.
Figure 3. Effect of pretreatment on lignocellulosic materials and their conversion during anaerobic digestion.
Energies 15 08413 g003
Figure 4. Different stages of anaerobic digestion of waste materials and their conversion to electricity.
Figure 4. Different stages of anaerobic digestion of waste materials and their conversion to electricity.
Energies 15 08413 g004
Table 1. Cellulose, hemicellulose, and lignin contents in different types of agri–food biomass [23,24].
Table 1. Cellulose, hemicellulose, and lignin contents in different types of agri–food biomass [23,24].
BiomaterialChemical Composition (% DW)
CelluloseHemicelluloseLignin
Fruits
Black currant1225.359.3
Grape30.32117.4
Olive36.426.826
Prickly pear272.5
Cherry pomace1210.7
Pear pomace34.525.359
Tamarind kernel10–1555–65
Apple waste7.224.423.5
Banana waste131524
Cereals
Barley hull243619
Barley Straw36–4324–336.3–9.8
Corncob32.3–45.639.86.7–13.9
Corn stover35.1–39.520.7–24.611.0–19.1
Oat husks233525
Oat Straw31–3520–2610–15
Nut shells25–3022–2830–40
Rice husk28.7–35.611.96–29.315.4–20
Rice Straw29.2–34.723–25.917–19
Sorghum Straw32–3524–2715–21
Wheat bran10.5–14.835.5–39.28.3–12.5
Wheat Straw35–3922–3012–16
Winter rye29–3022–2616.1
Other biomaterials
Bamboo49–5018–2023
Coffee pulp33.7–36.944.2–47.515.6–19.1
Cotton85–955–150
Cotton stalk311130
Oilseed rape27.320.514.2
Sugarcane bagasse25–4528–3215–25
Sugar beet pulp27.428.13.1
Sugarcane tops353214
Table 2. Innovative pretreatment techniques to enhance degradation of lignocellulosic materials under anaerobic digestion.
Table 2. Innovative pretreatment techniques to enhance degradation of lignocellulosic materials under anaerobic digestion.
FeedstockChemical UsedPretreatment Conditions Methane Yield Reference
Ionic Liquids Pretreatment
Agave bagasse (AB)1-ethyl-3-methylimidazolium acetate [Emim][OAc]119 °C, 142 min- [62]
Agave bagasse (AB)choline lysinate [Ch][Lys]160 °C, 205 min0.28 L CH4/g CODfed [62]
Agave bagasse (AB)ethanolamine acetate [EOA][OAc]160 °C, 90 min- [62]
Agave bagasse (AB)choline lysinate [Ch][Lys] 0.26 L CH4/g CODfed [63]
Steam Explosion Pretreatment
Coffee husks (CH)-210 °C, 15 min292 NmL CH4 [88]
Birch wood-220 °C, 10 min, 18–20 bar566 mL/g VS [89]
Rice Husk-224 °C, 2.53 MPa, 5–7 min199 mL/g [90]
Agave bagasse-240 °C, 0.68–0.98 MPa, 22 min316–362 mL g CODfed−1 [91]
Wet Explosion Pretreatment
Biorefinery lignin.0–2% NaOH220 °C with 4% oxygen195.4 ± 2.3 mL/gVS/day [21]
Feedlot manure-170 °C for 25 min, 4 bars oxygen320 ± 36 L/kg-VS/Day [51]
Organosolv Pretreatment
Potato peel wastes (PPW) 50–75% (v/v) Ethanol120–180 °C57.9 L biomethane/kg waste [78]
Napier grass 50% (v/v) aqueous ethanol 190 °C for 15–60 min410 mL/g-VS [92]
Hazelnut skin (HS)50% (v/v) water-methanol solution130–200 °C310.6 mL CH4/g VS [75]
Biodegradable fraction of municipal solid waste (BFMSW)85% aqueous ethanol120 °C for 30 min31.7 L methane/kg [93]
Ozonolysis
Sugarcane bagasse7.5 mgO3 gSB−1-252.1 NmL gSV−1 [94]
Macroalgae Ulva latuca8.3 mg O3 min–1-498.75 mL/g VS [95]
Supercritical CO2 explosion
Sewage Sludge-115 °C and time of 13 min300 mL CH4/g VS [96]
Euglena gracilis-30–50 °C, 300 bar, 2 h456 mL g−1 VS [97]
Phaeodactylum tricornutum 30 MPa, 30 °C, and 30% ethanol56.7 L CH4/kg VS [98]
Deep eutectic solvents
Organic Fraction of Municipal Solid Wastes (OFMSW)ChCl:OA (1:1) 60 °C593 mL [65]
Publisher’s Note: MDPI stays neutral with regard to jurisdictional claims in published maps and institutional affiliations.

Share and Cite

MDPI and ACS Style

Agregán, R.; Lorenzo, J.M.; Kumar, M.; Shariati, M.A.; Khan, M.U.; Sarwar, A.; Sultan, M.; Rebezov, M.; Usman, M. Anaerobic Digestion of Lignocellulose Components: Challenges and Novel Approaches. Energies 2022, 15, 8413. https://doi.org/10.3390/en15228413

AMA Style

Agregán R, Lorenzo JM, Kumar M, Shariati MA, Khan MU, Sarwar A, Sultan M, Rebezov M, Usman M. Anaerobic Digestion of Lignocellulose Components: Challenges and Novel Approaches. Energies. 2022; 15(22):8413. https://doi.org/10.3390/en15228413

Chicago/Turabian Style

Agregán, Rubén, José M. Lorenzo, Manoj Kumar, Mohammad Ali Shariati, Muhammad Usman Khan, Abid Sarwar, Muhammad Sultan, Maksim Rebezov, and Muhammad Usman. 2022. "Anaerobic Digestion of Lignocellulose Components: Challenges and Novel Approaches" Energies 15, no. 22: 8413. https://doi.org/10.3390/en15228413

APA Style

Agregán, R., Lorenzo, J. M., Kumar, M., Shariati, M. A., Khan, M. U., Sarwar, A., Sultan, M., Rebezov, M., & Usman, M. (2022). Anaerobic Digestion of Lignocellulose Components: Challenges and Novel Approaches. Energies, 15(22), 8413. https://doi.org/10.3390/en15228413

Note that from the first issue of 2016, this journal uses article numbers instead of page numbers. See further details here.

Article Metrics

Back to TopTop