Next Article in Journal
Demand Response in HEMSs Using DRL and the Impact of Its Various Configurations and Environmental Changes
Previous Article in Journal
Flexible Power Point Tracking Using a Neural Network for Power Reserve Control in a Grid-Connected PV System
 
 
Font Type:
Arial Georgia Verdana
Font Size:
Aa Aa Aa
Line Spacing:
Column Width:
Background:
Article

Energy Valorization of Fine Screenings from a Municipal Wastewater Treatment Plant

by
Ioannis Lemonidis
1,
Dimitra C. Banti
1,
Christos A. Tzenos
2,
Sotirios D. Kalamaras
2,
Thomas A. Kotsopoulos
2 and
Petros Samaras
1,*
1
Department of Food Science and Technology, School of Geotechnical Sciences, International Hellenic University, GR-57400 Thessaloniki, Greece
2
Department of Hydraulics, Soil Science and Agricultural Engineering, School of Agriculture, Aristotle University of Thessaloniki, GR-54124 Thessaloniki, Greece
*
Author to whom correspondence should be addressed.
Energies 2022, 15(21), 8236; https://doi.org/10.3390/en15218236
Submission received: 27 September 2022 / Revised: 30 October 2022 / Accepted: 2 November 2022 / Published: 4 November 2022

Abstract

The aim of this paper was to evaluate the characteristics and the energy potential for the methane production of fine screenings collected from the primary stage of a municipal wastewater treatment plant, and assess the impact on the properties and the oxygen demand of the aqueous effluents downstream from the sieves. Commercial filter bags with sieve openings of 3000, 1250, 1000, and 300 μm were used for the collection of screenings following a measurement of their biochemical methane potential. It was revealed that solid fractions from the sieves with a large size presented a high net methane production capacity exceeding 900 mL/g VS, but the gas production rate was rather slow, requiring a long time to reach the final value. However, cumulative solid fractions containing particles with a size larger than 300 μm had a lower net methane production, about 700 mL/g VS, but with a faster rate, resulting in almost 80% of the total volume released in 30 days. Aqueous samples downstream from the sieves presented decreasing organic matter content by sieve size and reduced the requirements for aeration oxygen. The installation of fine sieves in existing municipal wastewater treatment plants, therefore, may be beneficial due to the enhancement of biogas production and a reduction in the oxygen consumption of the activated sludge process.

1. Introduction

Wastewater treatment based on the activated sludge process has become a common and well-known technique for the efficient removal of organic contaminants from municipal effluents, therefore reducing the environmental impact of sewage discharges to aquatic bodies. Traditionally, treatment plant design procedures are focused mainly on the efficient reduction of organic and nutrient loading, and these plants have been considered as appropriate steps in order to cope with the strict effluent guidelines. However, wastewater treatment plants (WWTPs) represent high-energy-demanding units, with their consumption accounting for about 14% of the total consumption of the water treatment industry, and this is expected to increase by 130% as of 2040 [1]. Key performance indicators were estimated in an energy inventory analysis of 61 WWTPs in Greece, corresponding to about 20% of the total number of plants, and it was found that the specific energy consumption ranged from 3 to 150 kWh per population equivalent (P.E.), from 0.2 to 2.0 kWh per m3 of influents, and from 0.03 to 7.13 kWh per kg of COD removed, depending on the treatment method used [2]. Recent concerns about climate change and the interrelation between water and the energy sector in the water–energy nexus have resulted in strong efforts towards improving the carbon footprint of wastewater treatment plants and their transfer to a resource-recovery and energy-neutral system [3]. Such an approach is even more important under the current conditions of increasing energy tariffs in a worldwide context. Nevertheless, efforts towards energy conservation should be carried out without reducing the process efficiency towards the removal of organics and nutrients.
Conventionally, energy recovery in WWTPs takes place through the anaerobic digestion of primary and secondary solids collected in clarifiers. Anaerobic digestion does not only alleviate environmental problems through excess sludge stabilization and a reduction in the amount of sludge that has to be disposed of, but it also reduces the stress on depleted resources and the growing energy insecurity by converting waste to biogas. The energy recovery in an activated sludge anaerobic bioreactor accounts for about 20 to 40% of the total energy demand of the treatment plant [4]. However, additional energy sources can be explored that could further contribute to the energy recovery of the wastewater content, transforming the WWTP from an energy consumer to a neutral or even energy-producing system. Such potential sources could be identified in raw wastewater, considering that the inherent energy content of influents may reach up to around 15 kJ/g COD, which is much higher than the energy requirements of the aeration step [5].
Towards that direction, research efforts have been focused on the use of alternative resources as potential energy sources, such as screenings collected through influent primary treatment and floating materials known as fats, oil, and grease (FOG). Although these materials contribute up to about 50% of the raw wastewater organic matter, the valorization of their energy content has not been thoroughly considered, since their production rate is limited to small daily amounts [6]. Nevertheless, a daily per capita production of up to about 10 g has been reported for France and up to 23 g for the UK, strongly depending upon storm and dry weather climatic conditions that might favor the further valorization of the screenings in energy processes [7,8].
The biochemical methane production potential was measured in an energy utilization study of the primary screenings and floatings from four municipal wastewater treatment plants, and it was found to range from values as low as 90 L/kg VS up to 740 L/kg VS for fine screenings, which is considerably higher than the normal biochemical methane potential of excess sludge, which varies between 300 and 400 L/kg VS [9]. In the same study, it was observed that floatings had a rather low methane production potential, despite their high fat content, due to the presence of cellulosic fibers with a low degradation potential and the occurrence of long-chain fatty acids inhibiting the anaerobic process. The energy utilization of primary screenings by co-digestion in existing excess sludge anaerobic digesters is beneficial, not only due to the increase in produced biogas, but also because of the reduction in the amounts of solids that have to be landfilled or incinerated, therefore reducing the environmental footprint of the treatment plant.
Additional sources of energy production in raw wastewater might be found in fine suspended solids, i.e., in solids with a small particle size present in influent wastewater. The removal of screenings from influents is carried out during the first treatment stages, aiming to protect the downstream equipment such as pumps and mixers; the size of the screen openings depends on the design guidelines and the effluent restrictions, and screens with openings of at least 5 mm are often applied in most activated sludge treatment plants. However, fine mesh-sized screens with apertures of 350 to 850 μm are frequently applied in a few countries, such as Norway, as the only treatment step without any biological processes. The implementation of a fine screening process in Norway has been associated with the intensive product development in the country, and especially to significantly reduced investment costs and space requirements compared to other primary treatment processes [10]. The performance of fine screenings is often better than that of primary sedimentation, resulting in over 50% removal of solids and more than 20% removal of organic matter [11]. Fine screens with a mesh size of 0.8 to 2.0 mm are often applied in membrane bioreactor systems as a measure for controlling the early formation of cake layers on the membrane surface, thus enhancing the long-term efficient operation of the unit [12].
However, few studies have been reported on the energy valorization of fine screenings, and they have mainly focused on the examination of the anaerobic digestion potential of solids from 6 mm screens or FOG [7], while studies investigating the combination of solid fractions with biodegradation are even more limited [13,14], without particular efforts towards identifying the relationship between the particle size fraction and the energy content [15]. The determination of the solid fraction with the maximum biogas production potential would enhance the decision towards the selection and installation of fine mesh screens with an optimal mesh size. Nevertheless, relevant studies have been published focusing on the recovery and energy evaluation of the cellulosic fiber fraction of solids collected with a 0.35 mm fine screen [16,17]. In addition to the potential energy improvement through anaerobic co-digestion with excess sewage sludge, the removal of fine screenings from raw influents can be beneficial for the following biological stage, resulting in less organic loading and, thus, less energy consumption for their degradation.
The primary aim of this work was to examine the energy potential of fine screenings from the primary treatment of a municipal wastewater treatment plant. The specific objectives included the collection and identification of the content of fine screenings depending on their particle size distribution, the measurement of their potential for biogas production as a function of the particle dimensions, the evaluation of the organic loading of the eluent from fine screens, and the corresponding impact in the following aeration process.

2. Materials and Methods

Fine screenings were collected from the primary treatment stage of a municipal wastewater plant located in Northern-Central Greece with a design capacity of 23,400 m3/d. Various commercial nylon filter bags (Eaton NMO, dimensions DXL: 180 × 810 mm) with opening sizes corresponding to 3000, 1250, 1000, and 300 μm were used for the separation of different fractions of solids from the influent. Each filter bag was designed for surface filtration to retain particles that are larger than the respective pore size of the openings. A stainless-steel apparatus was constructed for holding the filter bags, consisting of four stainless-steel rings with a diameter of 180 mm placed in a column sequence. The filter bags were held by the rings, placed in a sequence of reducing opening size, in order for the eluent from a sieve of a larger size to be fed to a sieve of a smaller size. Wastewater pumped downstream of a 15 mm bar screen was fed to the sieve at the top of the apparatus through a submersible pump. The wastewater flow rate was adjusted in order to achieve a sieve rate of 3.5–4.0 m3/m2 sieve surface/h.
The filtration of the raw wastewater was carried out for periods of about 30 min until the clogging of the sieves, followed by the removal of the collected solids from the filter surface and the subsequent placement of the cleaned sieves in the apparatus for re-operation of the filtration. Successive filtration cycles were repeatedly applied in order to collect an adequate quantity of solid samples, which were combined to obtain a sample amount suitable for the following analysis; by this method, the practice samples were representative of the influent characteristics over a corresponding long time of collection. Samples collected from sieves with the same opening size, as well as aqueous samples collected downstream from each sieve, were placed in glass bottles and transported to the laboratory for further analysis. The samples were stored at 4 °C in a constant-temperature refrigerator until the analysis.
The determination of the total and volatile solids in the various sieve fractions took place using standard methods of analysis, i.e., drying at 105 °C for total solids and thermal treatment at 550 °C for volatile solids [18]. The concentration of the chemical oxygen demand (COD) organic matter in the aqueous samples was measured using a HACH-Dr Lange DR3900 spectrophotometer and the corresponding standard cuvette test kits, i.e., the LCK714 COD kit. The particle size distribution in the samples was measured using a Malvern Mastersizer 2000 particle size analyzer.
The biochemical methane potential (BMP) was measured using the anaerobic digestion treatment described in [9]. Briefly, certain amounts of samples and inoculum were placed in 300 mL glass reactors following incubation at 37 °C. A sample from the contents of the sludge anaerobic digester of the full-scale municipal wastewater treatment plant was used as the inoculum. Gas samples were collected at certain time periods from each glass bottle and analyzed for the determination of the methane production rate using a gas chromatograph. For each substrate, the maximum specific growth rate of the methanogens (μmax) and the methanogen maximum doubling time (Tdouble max) were calculated as discussed in [9]. The biochemical methane potential measurements were carried out in triplicate, and the sample average and standard deviation were calculated using IBM SPSS Statistics, version 25.
The determination of the aerobic degradation demand of the aqueous samples from various sieves was carried out by measuring the oxygen uptake rate using the apparatus and the methods described in [19]. A total of 150 mL of the sample and 1.5 L of inoculum from the aeration tank of the full-scale treatment plant were added to a 2 L plexiglass reactor, and the concentration of dissolved oxygen was measured as a function of time. The oxygen uptake rate in mg/L/h was deduced by the slope of a dissolved oxygen versus time curve, while the specific oxygen uptake rate in mg O2/g COD/h was calculated by measuring the COD content of the aqueous sample. The aeration of the sludge in subsequent intervals by allowing the dissolved oxygen concentration to vary between 2 and 4 mg/L resulted in an estimation of the oxygen uptake rate over long periods, and the calculation of the specific oxygen uptake rate as a function of time was placed in a respirogram.

3. Results

The aim of this work was to identify the energy potential of the fine screenings with a particle size ranging from 300 μm up to sizes exceeding 3 mm, in order to determine their efficient valorization towards biogas production in the existing sludge anaerobic digesters of a municipal wastewater treatment plant. Therefore, the samples were collected using filter bags corresponding to particle size ranges of >3000 μm, 3000–1250 μm, 1250–1000 μm, and 1000–300 μm. The selection of the corresponding size ranges was made by taking into account the mesh size of the fine screens that are usually available at the commercial scale, as well as screen sizes often applied in membrane bioreactors at full-scale plants.

3.1. Analysis of Various Size Fractions

The content of the total and volatile solids in the selected sieve fractions are presented in Figure 1. As shown, the total solid content varied from about 14.5 to 31%, while the volatile solid content in the various fractions ranged from 11 to about 27%. The lowest volatile solid content in dry matter form was measured for the smallest fraction, corresponding to about 72% of the total solids, while the highest content was observed for the largest particles, exceeding 87%.
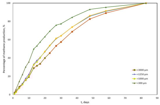
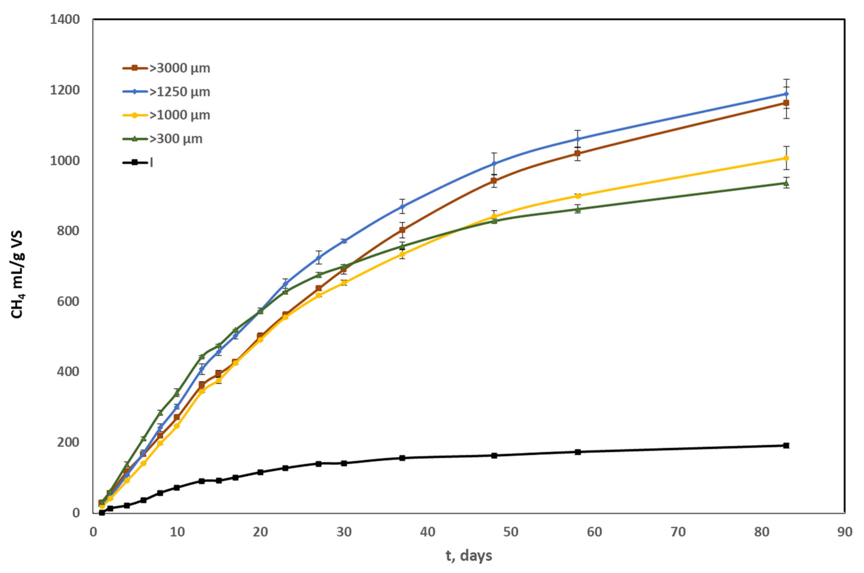
The energy content of solids that can be valorized through anaerobic fermentation can be evaluated by the utilization of the biochemical methane production potential. The results of the cumulative biochemical methane mL per gram of volatile solids (VS) as a function of the reaction time are shown in Figure 2 for the various solid fractions collected in the filter bags. The total net methane production, in mL per g of VS, at the end of a fermentation time of 80 days is given in Table 1 for the various solid fractions, where the corresponding methane production due to the inoculum is excluded.
The kinetics of anaerobic organisms towards methane production were evaluated by the corresponding maximum specific growth rate, μmax, and the methanogen doubling time, as shown in Figure 3.

3.2. Analysis of Cumulative Sieve Fractions

The above results can lead to valuable information about the energy potential of different sizes of fine solids that can be collected through the primary screening of raw influents in a municipal wastewater treatment plant. Such an approach requires the installation of a series of fine sieves of reducing mesh size in the primary stage of a treatment plant; however, such a venture is usually not implemented due to space limitations and financial constraints. A rational approach would require the evaluation of the energy content of the total solids accumulated in a single size of fine screen. Therefore, the analysis of the characteristics and the energy content of accumulated solids collected in sieves with various sizes took place through the assessment of the properties of cumulative fractions with the following sizes: >3000, >1250, >1000, and >300 μm.
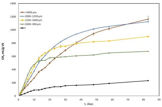
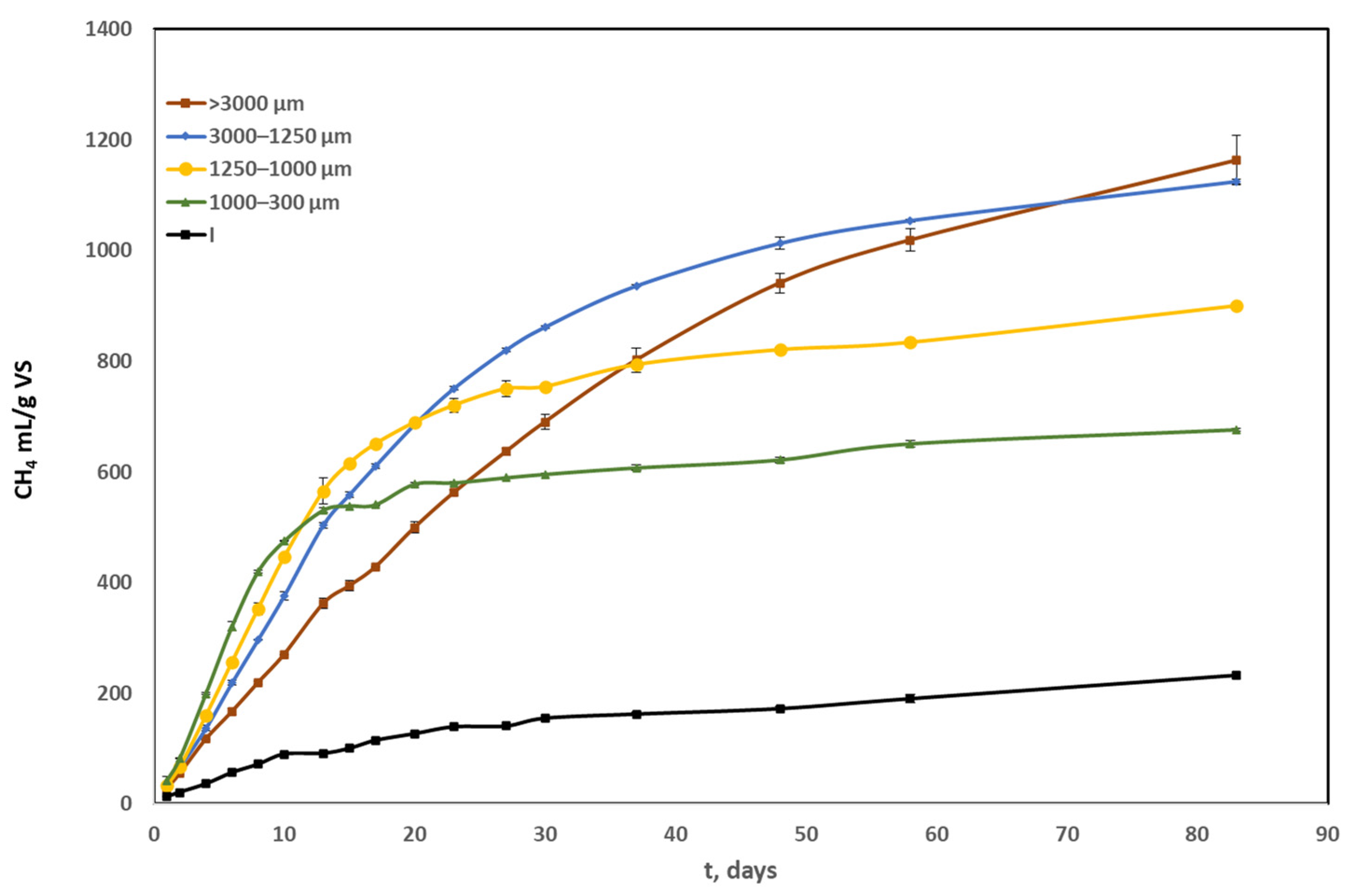
The total and volatile solid concentrations for the cumulative fractions are shown in Figure 4, while the corresponding biochemical methane potential curves of the samples are provided in Figure 5. It should be noted that the aim of this work was to interpret the energy content of solids of a certain size contained in the wastewater entering a treatment plant that have the potential to be separated from the raw influent in the primary treatment stage. Nevertheless, the biochemical methane potential of wastewater without being subjected to prior filtration through the corresponding sieves was not measured, since anaerobic digestion for the direct treatment of raw wastewater is not an efficient process due to the low content of total volatile solids per m3. In addition, residual methane dissolved in the anaerobic digestate has been reported to account for about 0.4% of the total methane production, increasing the environmental footprint of the wastewater treatment plant [20]. Moreover, the calculation of the methane potential of the total solids contained in raw wastewater was not examined, as the harvesting and separation of the whole solid fraction is not an efficient or viable option in the primary treatment stage.
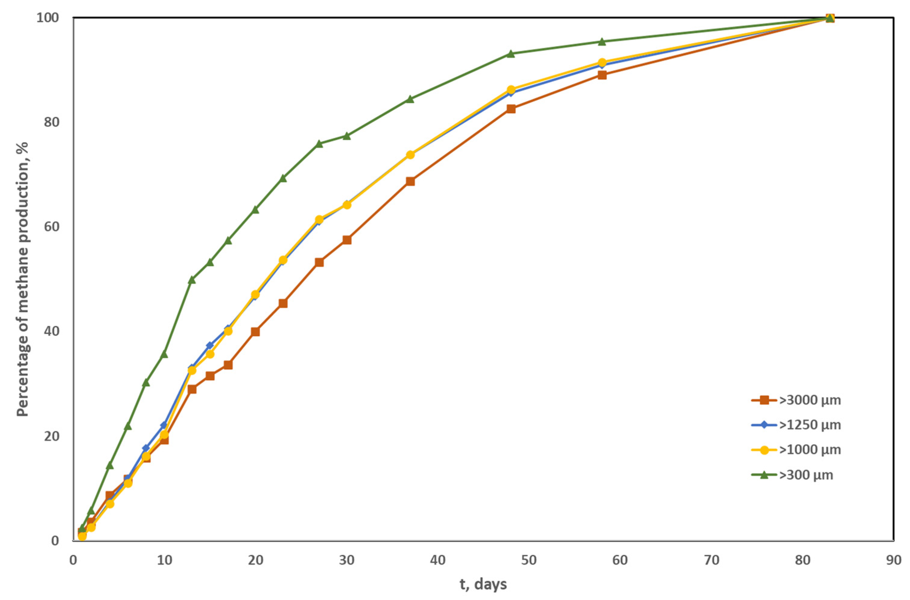
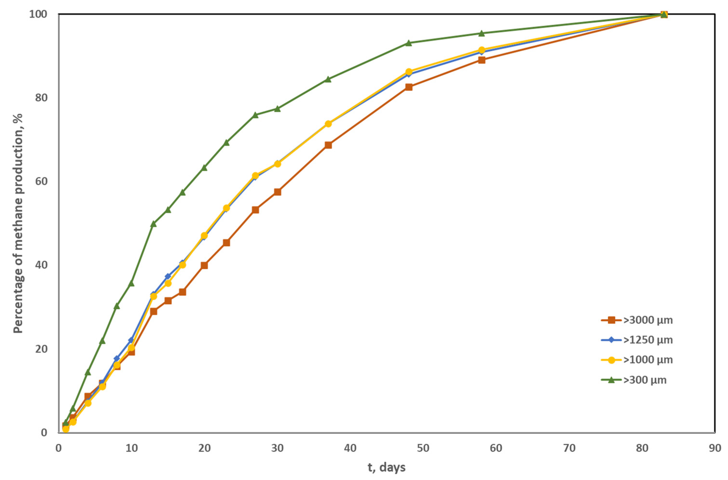
The total net biochemical methane production in mL/g VS is given in Table 2, and the kinetic parameters of the methanogens are plotted in Figure 6. In addition to these parameters, the release profile of methane as a function of time is crucial for the assessment of the time required to obtain a certain volume of methane, which can be utilized in order to identify the appropriate loading rate of fine screenings in an existing anaerobic digester. The percentage of the total volume of methane released as a function of fermentation time for the various cumulative solid fractions is shown in Figure 7.
In addition to the energy potential of solids collected in fine screens, additional information is required about the properties of the produced effluents from sieves, i.e., the aqueous phase eluted from each fine screen. In a full-scale plant, effluents will be fed to the following biological aeration stages, and therefore, the determination of their organic matter content, as well as their potential for aerobic degradation, are important for the holistic evaluation of the impact of fine mesh screens in the operation of an activated sludge process. The COD organic matter and suspended solid content of the aqueous samples from different sieve sizes are shown in Figure 8. In addition, in order to justify the efficient performance of the sieves and the entrapment of particles with a size larger than the corresponding sieves, the particle size distribution was measured in the different aqueous samples and the corresponding curves are given in Figure S1.
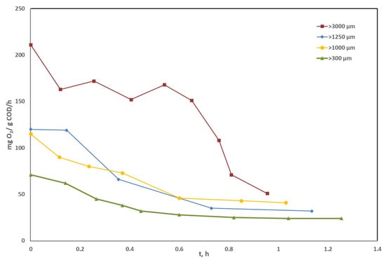
The measurement of the oxygen uptake rate in a sample is a useful tool for the assessment of the organic matter content of the sample and the oxygen requirements in an aeration process. The oxygen uptake rate of aqueous samples was measured and plots of the dissolved oxygen concentration as a function of time were constructed, as shown in Figure S2, which were representative of the sample collected downstream from the 3000 μm sieve. Respirograms, i.e., specific oxygen uptake rate vs. time curves, deduced from the corresponding plots of the dissolved oxygen concentration for each sample, are shown in Figure 9.

4. Discussion

The anaerobic digestion of sewage sludge in urban treatment plants represents an efficient and energy-positive technology that is widely used in wastewater processing and that allows for the efficient biodegradation of organic compounds with relatively low investment and operating costs. The advantage of anaerobic digestion is the limited amount of excess sludge production and the low space requirement for the installations and accompanying facilities. The strong point of digestion technologies is the possibility of producing and capturing biogas with a high methane content that covers a substantial amount of the energy consumption of a wastewater treatment plant. Under the United Nation Sustainability Development Goals, anaerobic digestion should be considered one of the key components in a new economy model characterized by an increase in the degree of circularity, and well-justified links have been established between the operating reactor conditions, the treatment capacity, and the operating costs that would lead to unlocking the potential of biogas to promote bioenergy production, thus favoring sustainable wastewater management practices and the integration of this technology into the energy grid [21].
Nevertheless, a large amount of primary energy, mainly originating from fossil sources, is still required in WWTPs to meet stringent targets on effluent water quality, which contributes to environmental problems such as global warming and climate change. This issue has been recognized in the new European Grean Deal (EGD), since the production and use of energy account for more than 75% of the EU’s greenhouse gas emissions, and decarbonizing the EU’s energy system is critical in order to reach the 2030 climate objectives and the EU’s long-term strategy of achieving carbon neutrality by 2050. According to the new proposal for the recast of the 1991 Urban Wastewater Treatment Directive, additional efforts are needed in the wastewater sector to reduce its GHG emissions by 4.87 million tons of CO2e/year from the current 34.45 million tons of emissions, corresponding to around 0.86% of the total EU emissions; decrease its energy consumption (around 0.8% of the total energy use in the EU); and make it more circular by improving sludge management [22]. The objective of energy neutrality is suggested to be established by 2040 at the national level for all wastewater facilities above 10,000 P.E.; specifically, the energy used by the sector should be equivalent to the production of renewables from the sector. In this context, measures aiming to improve energy efficiency in WWTPs are imperative, which may involve implementing automatization, inverters, and strategies that increase flexibility and adaptability in the operational process or using holistic and multi-criteria approaches, thus integrating multiple inputs and outputs simultaneously [23]. Targeted efforts are being taken to enhance the energy balance of wastewater treatment plants through the application of highly efficient digestion or its intensification by the introduction of co-substrates with a relatively high energy potential to the sewage sludge [24,25]. Influent wastewater solids may represent a valuable alternative energy source, which, however, is usually harvested at the primary stage and disposed of by landfilling or incineration, therefore increasing the operation costs and the GHG emission potential of the wastewater treatment plant.
Towards that target, the primary novelty of this work is the identification of the energy potential of fine screenings from a municipal wastewater treatment plant as an efficient measure to utilize the energy content of raw influents. The anaerobic digestion potential of solids collected during the primary treatment of sewage has already been examined in a previous study, including bar screenings and floating materials from grit chambers, revealing promising results towards energy recovery in existing units [9]. However, additional energy may be extracted by the further separation of fine solids that remain in the influents after primary treatment. The installation of fine screens represents a common approach in a few countries as the only treatment step applied in effluents, while it is usually required in the most advanced membrane bioreactor systems for the protection of the membrane surface. Therefore, the installation of fine screens in municipal wastewater treatment plants represents a rational approach that can be beneficial not only for the safe operation of the system, but also for the improvement of the energy profile of the unit. Under this framework, the measurement of the biochemical methane potential is a common parameter used for the determination of the feasibility of the anaerobic digestion of samples [26].
Fine screenings with a size larger than 3000 μm up to the lowest fraction of 300 μm have a volatile content ranging between 72 and 87% of the total solids, depending on the sieve size. Similar values of volatiles were measured for the primary screenings of the same treatment plant and were attributed to the origin of the wastewater fed to the unit [9]. Sewage and septic tank wastewater are discharged to the treatment plant, and the latter is expected to have fewer volatiles than the former due to its long residence time in the septic tank under anaerobic conditions. Nevertheless, the different volatile content of particles might be attributed to their composition and the potential presence of smaller-sized inorganic matter particles [13].
The sieve fractions presented a net biochemical methane production potential ranging from 440 up to about 930 mL/g VS, depending on the sieve size, as shown in Figure 2 and in Table 1. High methane production rates reaching up to 740 mL/g VS were already measured for the 15 mm screenings of the same plant [9], while values ranging from 200 up to about 700 mL per g of VS have already been reported in the literature for various residues from wastewater treatment plants [27]. Anaerobic biodegradability tests were performed in the fine solids obtained from a 6 mm fine screen, revealing a two-stage hydrolysis process attributed to the complex nature of the screenings, and resulting in about 550 mL/g VS of methane release, corresponding to 52% of the average anaerobic degradability of the samples [8]. The methane yield of the screenings from an urban wastewater treatment plant were measured in another study, and reached 355 mL/g VS [14], while the biogas production from screening degradation in a pilot-scale study exceeded 600 mL/g VS, supporting the feasibility of co-digestion as an alternative treatment method for the valorization of screenings [28]. It should be acknowledged that the methane production measured by this work, as well as that reported by studies in the literature, revealed values well above the potential of other substrates of industrial or agricultural origin that could be used in sewage sludge co-digestion, with the maximum methane not exceeding 200 mL/g VS [24]. However, the digestion of readily available high-strength fats, oils, and grease from restaurant grease abatement devices may reach values as high as 680 mL/g VS, as reported in a review study, increasing the gas production rate by up to 80% in a full-scale wastewater biosolid anaerobic digester [29].
Nevertheless, according to Figure 2, the higher the particle size, the higher the net methane potential, and these results are not in agreement with the results reported in [30]. These researchers examined the relation of wastewater fractionation, chemical composition, and biodegradation and observed carbohydrate dominance at molecular sizes higher than 100 μm, corresponding to the presence of cellulosic fibers, but an abundance of lipids in the smaller particle sizes between 100 and 0.65 μm. Although the authors used different particle size fractions than this work, it should be noticed that they concluded that smaller particles should have a higher degradation rate. The theoretical biochemical methane potential from fats is estimated to be about 990 mL/g, while that of proteins is estimated to be about 640 mL/g VS and that of hydrocarbons is estimated to be 415 mL/g VS [31]. The particular composition of these fractions was attributed to potential degradation in the sewer system, upstream from the wastewater treatment plant. Nevertheless, it seems that the composition of wastewater is greatly affected by the type of wastewater discharged to a treatment plant; the treatment plant used for the collection of samples in the current work received effluents from a combination of rural and agro-industrial activities, while about 10% of the influents by volume were received from trucks used to transfer the contents of domestic septic tanks. In addition, the total length of the sewer system network corresponds to a short residence time of wastewater in the system until discharge to the treatment plant entrance, revealing a different degradation profile of the organics. Therefore, it is assumed that the origin of wastewater as well as the sewer system conditions result in influents where the organics with a high potential for methane production are concentrated mainly in larger particles; on the other hand, lipids might inhibit anaerobic biota activities due to the formation of long-chain fatty acids [32].
The average methanogen doubling time is shown in Figure 3, and the corresponding maximum growth rate revealed small differences between the various size fractions. The highest doubling time was estimated for the larger particles, reaching 1.56 days, while the lowest time measured was for the 3000–1250 fraction; low doubling times corresponded to a short residence time in the anaerobic bioreactor for the treatment of the fraction, and a reactor with a smaller volume or a higher loading rate than the corresponding design values required for the treatment of the fractions with a high doubling time. Nevertheless, these values are typical of the reported μmax and doubling time ranges for a broad number of samples [33,34].
The evaluation of the methane potential of different sieve fractions is useful for the determination of their properties and the assessment of their energy content towards biogas production. The installation of a fine screen with openings of a certain size in the primary stage of a wastewater treatment plant will result in the collection of cumulative particles with a particle size larger than the sieve openings. Therefore, the characteristics of cumulative fractions are critical in the design procedure for upgrading a plant, by allowing the selection of a fine screen with the appropriate size. From a previous analysis, it seems that fractions with a size in the range between 3000 and 1250 μm have a high biochemical methane potential, similar to particles with a diameter larger than 3 mm.
The total and volatile solid content of cumulative sieve fractions, as shown in Figure 4, are similar to the values measured for the various size fractions, with a volatile content exceeding 80% of the total solids. A high potential for biochemical methane production was measured for these samples, as given in Figure 5, with the net methane production ranging from about 700 to over 900 mL/g VS. As already observed in the BMP results for the various sieve fractions, the sample collected by the filtration of influents through the sieve with the smallest openings presented the lowest methane production potential, while the samples obtained from the sieves with large openings presented a high biogas production rate. Nevertheless, a cumulative sample size >1250 μm presented the highest BMP potential, at almost 960 mL/g VS, which was close to the theoretical potential for fats [31]. It was assumed that compounds with a high biogas production potential accumulated in this fraction, therefore resulting in high BMP values. These results are consistent with the results in Figure 2, as the accumulation of particles with smaller dimensions resulted in a decrease in the methane potential of the cumulative samples.
A kinetic analysis of the results revealed that particles with a diameter greater than 1250 μm presented the highest doubling time, close to 1.72 days. As a result, this particular sieve fraction is promising for the enhancement of biogas generation in an anaerobic digestion unit, but concerns about the gas production rate exist due to the high doubling time, which would require a long residence time, low solid loading rate, and large bioreactor volume. Particles of a smaller size may have a lower methane potential, but due to their shorter doubling time, their use might be beneficial in the operation costs of an anaerobic bioreactor. The above results were justified by an analysis of the evolution rate of methane as a percentage of the total volume, as shown in Figure 7. Methane formation by the anaerobic digestion of fractions collected from the smaller-sized sieve presented a higher rate than the corresponding rate of larger particles. About 80% of the total methane volume was measured after 30 days of reaction for the former sample, while longer times exceeding 50 days were observed for the larger particles to reach the same volume percentage. This finding becomes important, taking into account that in most sludge anaerobic digesters, a residence time of 30 days is applied; under these conditions, larger particles reach about 50 to 60% of their methane formation capacity, while smaller particles may exceed eighty percent of their methane production capacity.
In addition to the energy content of solids, concerns exist about the aqueous phase from sieves and the potential impact on the following aeration stage in an activated sludge system. Nevertheless, the operation of sieves under certain conditions of hydraulic flow justifies the high removal rates of solids of the corresponding size, as shown in the particle size analysis results in Figure S1. According to these plots, the cut-off range of the solid particle sizes in the effluents from various sieves corresponded to the sieve openings. The aqueous samples collected downstream from the various sieves presented reduced organic matter and suspended solid content, as shown in Figure 8. The COD values ranged from 850 mg/L in the raw influent to 450 mg/L in the sample from the sieve with 300 μm openings, indicating an additional benefit of fine sieve filtration in removal efficiency.
Reducing the organic and solid matter content is expected to enhance the operation of the aeration process by reducing the oxygen requirements for the degradation of the organic matter. This assumption is justified by the respirograms of the various samples, representing the specific oxygen uptake rate in mg O2/g COD/h as a function of time, as shown in Figure 9. The respirograms were plotted by the estimation of the slopes of dissolved oxygen versus time profiles, as shown in Figure S2. The respirograms indicate the oxygen consumption due to activated sludge inoculum for the degradation of organic matter: the higher the specific oxygen uptake rate, the higher the degraded organic matter, and the higher the corresponding oxygen requirements. According to the results in Figure 9, the sample obtained from the sieve with the larger openings presented a high specific oxygen uptake, while the eluates from the smaller sieve size had the lowest oxygen capacity. The integration of the area below each curve can provide an indication of the total oxygen requirement for each sample. A high oxygen demand was estimated from Figure 9 for the samples from the 3000 μm sieve, reaching almost 90 mg O2/g COD, while the lowest value of about 12 mg O2/g COD was measured for the 300 μm sieve.
In conclusion, the installation of fine mesh sieves with opening sizes as low as 300 μm is a common process applied in a few countries as a single treatment method, while it is a requirement in membrane bioreactor units. However, fine sieving might be beneficial in existing activated sludge units, since trapped solids may be valorized through anaerobic digestion in operating sewage sludge fermenters. Depending on the origin of the wastewater, sieve fractions with a particle size larger than 1250 μm have a high net methane potential, reaching up to 960 mL CH4/g VS. However, for the particular sieve fraction, the methane production rate is rather low, requiring long times to reach sufficient gas volumes. On the other hand, fractions containing smaller particles have a low methane potential, about 700 mL CH4/g VS, but a high kinetic rate, allowing for 80% of the total gas amount to be formed in 30 days. In addition to the enhancement in methane potential, the installation of fine sieves is beneficial for the following aeration demand, since the aqueous phase downstream from the sieves is characterized by a lower organic loading and oxygen uptake rate than the upstream phase, depending on the sieve size.
Based on the above results, a preliminary estimation was carried out, aiming to evaluate the potential biogas and energy efficiency of a particular wastewater treatment plant by the utilization of the corresponding collected fine solids. Considering a reduction in the total suspended solid concentration from 490 mg/L in raw wastewater to 340 mg/L in the effluent downstream of a fine sieve with pore openings of 1250 μm, as measured in this work, and taking the maximum net methane production given in Table 2, a daily methane production of roughly 2000 m3 was calculated, accounting for about 15% of the total biogas produced from the anaerobic digestion of the sewage sludge. Additional benefits are foreseen due to the enhancement in the aeration demand associated with a reduction in oxygen consumption, as shown in the corresponding specific oxygen uptake rate of the sample collected from the sieve with openings of 1250 μm in Figure 9. The removal of the particular solid fraction resulted in a 60% reduction in the required oxygen uptake compared to wastewater entering the aeration tank without prior filtration. Almost 58% of the total energy demand in this specific wastewater treatment plant was dedicated to aeration, and therefore the aeration enhancement is foreseen to bring a reduction of about 35% in the overall energy consumption, which currently exceeds 16,700 KWh/d; this yield is expected to exceed 40% energy reduction by additionally incorporating the corresponding biogas production from the co-digestion of fine screenings in sewage sludge anaerobic reactors. Nevertheless, the overall process performance enhancement due to the installation of fine sieves in a wastewater treatment plant has to be evaluated through a holistic life cycle analysis. Such an approach will result in the evaluation of the environmental footprint of the treatment unit, taking into consideration the potential benefits of biogas enhancement and reduction in aeration oxygen demands, as well as the corresponding installation and operation costs of the fine sieves.

Supplementary Materials

The following supporting information can be downloaded at: https://www.mdpi.com/article/10.3390/en15218236/s1. Figure S1. Particle size distribution in aqueous samples collected downstream from the various screens; Figure S2. Plot of dissolved oxygen concentration as a function of time in an oxygen uptake rate measurement of aqueous sample eluted from 3000 μm sieve size. The first line corresponds to the endogenous respiration of activated sludge inoculum, followed by the addition of 150 mL of sample and the start-up of the oxygen respiration run.

Author Contributions

Conceptualization, T.A.K. and P.S.; data curation, C.A.T. and S.D.K.; formal analysis, D.C.B. and S.D.K.; funding acquisition, P.S.; investigation, I.L., D.C.B., C.A.T. and S.D.K.; methodology, I.L., D.C.B. and C.A.T.; project administration, P.S.; supervision, P.S.; validation, S.D.K.; visualization, T.A.K.; writing—original draft, I.L., D.C.B. and S.D.K.; writing—review and editing, T.A.K. and P.S. All authors have read and agreed to the published version of the manuscript.

Funding

This research was co-financed by the European Regional Development Fund of the European Union and Greek national funds through the Operational Program Competitiveness, Entrepreneurship and Innovation, under the call RESEARCH–CREATE–INNOVATE (project code T1EDK-00284).

Data Availability Statement

Not applicable.

Acknowledgments

The support from the personnel of the Larissa Municipal Wastewater Treatment Plant for sample collection is greatly acknowledged.

Conflicts of Interest

The authors declare no conflict of interest. The funders had no role in the design of the study; in the collection, analyses, or interpretation of data; in the writing of the manuscript; or in the decision to publish the results.

References

  1. International Energy Agency. World Energy Outlook; International Energy Agency: Paris, France, 2018; pp. 23–28. [Google Scholar] [CrossRef]
  2. Christoforidou, P.; Bariamis, G.; Iosifidou, M.; Nikolaidou, E.; Samaras, P. Energy benchmarking and optimization of wastewater treatment plants in Greece. Environ. Sci. Proc. 2020, 2, 36–43. [Google Scholar]
  3. Laitinen, J.; Moliis, K.; Surakka, M. Resource efficient wastewater treatment in a developing area—Climate change impacts and economic feasibility. Ecol. Eng. 2017, 103, 217–225. [Google Scholar] [CrossRef]
  4. Sandino, J.; Crawford, G.; Fillmore, L.; Kinnear, D. Energy efficiency in wastewater treatment in north America: A WERF compendium of best practices and case studies of novel approaches. Water Environ. Fed. 2010, 13, 3333–3346. [Google Scholar] [CrossRef]
  5. Shizas, I.; Bagley, D.M. Experimental determination of energy content of unknown organics in municipal wastewater streams. J. Energy Eng. 2004, 130, 45–53. [Google Scholar] [CrossRef]
  6. Le Hyaric, R.; Canler, J.P.; Barillon, B.; Naquin, P.; Gourdon, R. Characterization of screenings from three municipal wastewater treatment plants in the Region Rhône-Alpes. Water Sci. Technol. 2009, 60, 525–531. [Google Scholar] [CrossRef]
  7. Cadavid-Rodriguez, L.S.; Horan, N. Reducing the environmental footprint of wastewater screenings through anaerobic digestion with resource recovery. Water Environ. J. 2012, 26, 301–307. [Google Scholar] [CrossRef]
  8. Cadavid-Rodriguez, L.S.; Horan, N. Methane production and hydrolysis kinetics in the anaerobic degradation of wastewater screenings. Water Sci. Technol. 2013, 68, 413–418. [Google Scholar] [CrossRef]
  9. Tsiakiri, E.P.; Mpougali, A.; Lemonidis, I.; Tzenos, C.A.; Kalamaras, S.D.; Kotsopoulos, T.A.; Samaras, P. Estimation of Energy Recovery Potential from Primary Residues of Four Municipal Wastewater Treatment Plants. Sustainability 2021, 13, 7198. [Google Scholar] [CrossRef]
  10. Rusten, B.; Lundar, A. How a simple bench-scale test greatly improved the primary treatment performance of fine mesh sieves. Proc. Water Environ. Fed. 2006, 11, 1919–1935. [Google Scholar] [CrossRef][Green Version]
  11. Rusten, B. Evaluation and testing of fine mesh sieve technologies for primary treatment of municipal wastewater. Water Sci. Technol. 2006, 54, 31–38. [Google Scholar] [CrossRef]
  12. Schier, W.; Frechen, F.B. Efficiency of mechanical pre-treatment on European MBR plants. Desalination 2009, 236, 85–93. [Google Scholar] [CrossRef]
  13. Karahan, Ö.; Dogruel, S.; Dulekgurgen, E.; Orhon, D. COD fractionation of tannery wastewaters—Particle size distribution, biodegradability and modeling. Water Res. 2008, 42, 1083–1092. [Google Scholar] [CrossRef]
  14. Wid, N.; Horan, N.J. Anaerobic digestion of wastewater screenings for resource recovery and waste reduction. IOP Conf. Ser. Earth Environ. Sci. 2016, 36, 012017. [Google Scholar] [CrossRef]
  15. Paulsrud, B.; Rusten, B.; Aas, B. Increasing the sludge energy potential of wastewater treatment plants by introducing fine mesh sieves for primary treatment. Water Sci. Technol. 2014, 69, 560–565. [Google Scholar] [CrossRef] [PubMed]
  16. Ruiken, C.J.; Breuer, G.; Klaversma, E.; Santiago, T.; Van Loosdrecht, M.C.M. Sieving wastewater—Cellulose recovery, economic and energy evaluation. Water Res. 2013, 47, 43–48. [Google Scholar] [CrossRef]
  17. Da Ros, C.; Conca, V.; Eusebi, A.L.; Frison, N.; Fatone, F. Sieving of municipal wastewater and recovery of bio-based volatile fatty acids at pilot scale. Water Res. 2020, 174, 115633. [Google Scholar] [CrossRef]
  18. Rice, E.W.; Baird, R.B.; Eaton, A.D. Standard Methods for the Examination of Water and Wastewater, 23rd ed.; American Public Health Association: Washington, DC, USA; American Water Works Association: Washington, DC, USA; Water Environment Federation: Washington, DC, USA, 2017; Volume 1. [Google Scholar]
  19. HagMan, M.; La Cour Jansen, J. Oxygen uptake rate measurements for application at wastewater treatment plants. Vatten 2007, 63, 131–138. [Google Scholar]
  20. Tauber, J.; Parravicini, V.; Svardal, K.; Krampe, J. Quantifying methane emissions from anaerobic digesters. Water Sci. Technol. 2019, 80, 1654–1661. [Google Scholar] [CrossRef]
  21. Ellacuriaga, M.; García-Cascallana, J.; Gómez, X. Biogas production from organic wastes: Integrating concepts of circular economy. Fuels 2021, 2, 144–167. [Google Scholar] [CrossRef]
  22. European Commission. Proposal for a Directive of the European Parliament and of the Council Concerning Urban Wastewater Treatment (Recast), Brussels, 26 October 2022, COM(2022) 541, 2022/0345 (COD). Available online: https://environment.ec.europa.eu/publications/proposal-revised-urban-wastewater-treatment-directive_en (accessed on 26 September 2022).
  23. Cardoso, B.J.; Rodrigues, E.; Gaspar, A.R.; Gomes, Á. Energy performance factors in wastewater treatment plants: A review. J. Clean. Prod. 2021, 322, 129107. [Google Scholar] [CrossRef]
  24. Masłoń, A.; Czarnota, J.; Szaja, A.; Szulżyk-Cieplak, J.; Łagód, G. The enhancement of energy efficiency in a wastewater treatment plant through sustainable biogas use: Case study from Poland. Energies 2020, 13, 6056. [Google Scholar] [CrossRef]
  25. Piekutin, J.; Puchlik, M.; Haczykowski, M.; Dyczewska, K. The efficiency of the biogas plant operation depending on the substrate used. Energies 2021, 14, 3157. [Google Scholar] [CrossRef]
  26. Da Silva, C.; Astals, S.; Peces, M.; Campos, J.L.; Guerrero, L. Biochemical methane potential (BMP) tests: Reducing test time by early parameter estimation. Waste Manag. 2018, 71, 19–24. [Google Scholar] [CrossRef]
  27. Kabouris, J.C.; Tezel, U.; Pavlostathis, S.G.; Engelmann, M.; Dulaney, J.; Gillette, R.A.; Todd, A.C. Methane recovery from the anaerobic codigestion of municipal sludge and FOG. Bioresour. Technol. 2009, 100, 3701–3705. [Google Scholar] [CrossRef] [PubMed]
  28. Hyaric, R.L.; Canler, J.-P.; Barillon, B.; Naquin, P.; Gourdon, R. Pilot-scale anaerobic digestion of screenings from wastewater treatment plants. Bioresour. Technol. 2010, 101, 9006–9011. [Google Scholar] [CrossRef] [PubMed]
  29. Long, J.H.; Aziz, T.N.; Francis, L., III; Ducoste, J.J. Anaerobic co-digestion of fat, oil, and grease (FOG): A review of gas production and process limitations. Proc. Saf. Environ. Prot. 2012, 90, 231–245. [Google Scholar] [CrossRef]
  30. Ravndal, K.T.; Opsahl, E.; Bagi, A.; Kommedal, R. Wastewater characterisation by combining size fractionation, chemical composition and biodegradability. Water Res. 2018, 131, 151–160. [Google Scholar] [CrossRef]
  31. Alves, M.M.; Pereira, M.A.; Sousa, D.Z.; Cavaleiro, A.J.; Picavet, M.; Smidt, H.; Stams, A.J. Waste lipids to energy: How to optimize methane production from long-chain fatty acids (LCFA). Microb. Biotechnol. 2009, 2, 538–550. [Google Scholar] [CrossRef]
  32. Cirne, D.G.; Paloumet, X.; Bjornsson, L.; Alves, M.M.; Mattiasson, B. Anaerobic digestion of lipid-rich waste—Effects of lipid concentration. Renew. Energy 2007, 32, 965–975. [Google Scholar] [CrossRef]
  33. Angelidaki, I.; Alves, M.; Bolzonella, D.; Borzacconi, L.; Campos, J.L.; Guwy, A.J.; Kalyuzhnyi, S.; Jenicek, P.; Van Lier, J.B. Defining the biomethane potential (BMP) of solid organic wastes and energy crops: A proposed protocol for batch assays. Water Sci. Technol. 2009, 59, 927–934. [Google Scholar] [CrossRef]
  34. Fotidis, I.A.; Karakashev, D.; Angelidaki, I. Bioaugmentation with an acetate-oxidising consortium as a tool to tackle ammonia inhibition of anaerobic digestion. Bioresour. Technol. 2013, 146, 57–62. [Google Scholar] [CrossRef] [PubMed]
Figure 1. Concentration of total and volatile solids in the samples collected from sieves with various opening sizes.
Figure 1. Concentration of total and volatile solids in the samples collected from sieves with various opening sizes.
Energies 15 08236 g001
Figure 2. Biochemical methane production potential for fine screenings collected from sieves with openings of various sizes, and for the anaerobic sludge sample used for inoculation.
Figure 2. Biochemical methane production potential for fine screenings collected from sieves with openings of various sizes, and for the anaerobic sludge sample used for inoculation.
Energies 15 08236 g002
Figure 3. Maximum specific growth rate, μmax, and methanogen doubling time, Tdouble max, estimated from the biochemical methane potential curves of solid fractions collected from sieves with various opening sizes.
Figure 3. Maximum specific growth rate, μmax, and methanogen doubling time, Tdouble max, estimated from the biochemical methane potential curves of solid fractions collected from sieves with various opening sizes.
Energies 15 08236 g003
Figure 4. Concentration of total and volatile solid content in cumulative solid samples collected from sieves with openings of certain sizes.
Figure 4. Concentration of total and volatile solid content in cumulative solid samples collected from sieves with openings of certain sizes.
Energies 15 08236 g004
Figure 5. Biochemical methane production potential for the cumulative solid samples collected from sieves with certain sizes of openings.
Figure 5. Biochemical methane production potential for the cumulative solid samples collected from sieves with certain sizes of openings.
Energies 15 08236 g005
Figure 6. Maximum specific growth rate, μmax, and methanogen doubling time, Tdouble max, estimated from biochemical methane potential curves of cumulative solid samples collected from sieves with certain opening sizes.
Figure 6. Maximum specific growth rate, μmax, and methanogen doubling time, Tdouble max, estimated from biochemical methane potential curves of cumulative solid samples collected from sieves with certain opening sizes.
Energies 15 08236 g006
Figure 7. Volume release of methane as a percentage of total net volume, as a function of the fermentation time estimated from the biochemical methane potential measurement of solid samples collected from sieves with certain sizes of openings.
Figure 7. Volume release of methane as a percentage of total net volume, as a function of the fermentation time estimated from the biochemical methane potential measurement of solid samples collected from sieves with certain sizes of openings.
Energies 15 08236 g007
Figure 8. COD and suspended solid content in the aqueous samples collected downstream of sieves with certain opening sizes.
Figure 8. COD and suspended solid content in the aqueous samples collected downstream of sieves with certain opening sizes.
Energies 15 08236 g008
Figure 9. Respirograms corresponding to the specific oxygen uptake rate of aqueous samples collected downstream of sieves with certain opening sizes.
Figure 9. Respirograms corresponding to the specific oxygen uptake rate of aqueous samples collected downstream of sieves with certain opening sizes.
Energies 15 08236 g009
Table 1. Total net methane production for solid samples produced from sieves with openings of different sizes, in mL/g VS.
Table 1. Total net methane production for solid samples produced from sieves with openings of different sizes, in mL/g VS.
Sieve Openings, μmNet Methane Production, mL/g VSStandard Deviation
mL/g VS
>300093144.90
3000–12508923.66
1250–10006672.06
1000–3004433.02
Table 2. Total net methane production for the cumulative solid fractions collected from sieves with certain opening sizes, in mL/g VS.
Table 2. Total net methane production for the cumulative solid fractions collected from sieves with certain opening sizes, in mL/g VS.
Sieve Openings, μmNet Methane Production, mL/g VSStandard Deviation,
mL/g VS
>300093144.90
>125095741.42
>100077533.42
>30070414.81
Publisher’s Note: MDPI stays neutral with regard to jurisdictional claims in published maps and institutional affiliations.

Share and Cite

MDPI and ACS Style

Lemonidis, I.; Banti, D.C.; Tzenos, C.A.; Kalamaras, S.D.; Kotsopoulos, T.A.; Samaras, P. Energy Valorization of Fine Screenings from a Municipal Wastewater Treatment Plant. Energies 2022, 15, 8236. https://doi.org/10.3390/en15218236

AMA Style

Lemonidis I, Banti DC, Tzenos CA, Kalamaras SD, Kotsopoulos TA, Samaras P. Energy Valorization of Fine Screenings from a Municipal Wastewater Treatment Plant. Energies. 2022; 15(21):8236. https://doi.org/10.3390/en15218236

Chicago/Turabian Style

Lemonidis, Ioannis, Dimitra C. Banti, Christos A. Tzenos, Sotirios D. Kalamaras, Thomas A. Kotsopoulos, and Petros Samaras. 2022. "Energy Valorization of Fine Screenings from a Municipal Wastewater Treatment Plant" Energies 15, no. 21: 8236. https://doi.org/10.3390/en15218236

APA Style

Lemonidis, I., Banti, D. C., Tzenos, C. A., Kalamaras, S. D., Kotsopoulos, T. A., & Samaras, P. (2022). Energy Valorization of Fine Screenings from a Municipal Wastewater Treatment Plant. Energies, 15(21), 8236. https://doi.org/10.3390/en15218236

Note that from the first issue of 2016, this journal uses article numbers instead of page numbers. See further details here.

Article Metrics

Back to TopTop