Experimental Investigation of Flow-Induced Motion and Energy Conversion for Two Rigidly Coupled Triangular Prisms Arranged in Tandem
Abstract
1. Introduction
2. Experimental Methods
2.1. Physical Model
2.1.1. Recirculating Water Channel
2.1.2. Oscillation and Energy Conversion System
2.2. Coupled Triangular Prisms
2.3. Free Decay Test
3. Results and Discussion
3.1. Overall Oscillation Response
3.2. Parameter Analysis
3.2.1. Effects of Stiffness on Oscillation
3.2.2. Effects of Gap Ratio on Oscillation
3.2.3. Effects of Load Resistance on Oscillation
3.3. Energy Conversion Analysis
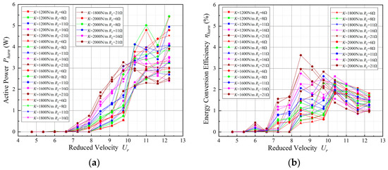
3.3.1. Energy Conversion Analysis for L/D = 1.5
3.3.2. Energy Conversion Analysis for L/D = 4
4. Conclusions
- (1)
- For L/D = 1, the TRCTP stabilizes at a low amplitude ratio and a low frequency ratio, which is lower than that of the isolated triangular prism. On the contrary, the TRCTP performs better in oscillation with higher amplitude and stable oscillation frequency at L/D = 4. The phenomenon illustrates that the oscillation of the TRCTP in tandem is suppressed at a lower gap ratio.
- (2)
- The amplitude of the TRCTP presents an increasing trend with the growth of gap ratio and load resistance in the tests; on the other hand, it decreases with the growth of stiffness within the selected values.
- (3)
- The “sharp jump” phenomenon occurs at 7.25 ≤ Ur ≤ 7.785 (1600 N/m ≤ K ≤ 2000 N/m) for L/D = 2 and 8.5 ≤ Ur ≤ 9.125 (1200 N/m ≤ K ≤ 2000 N/m) for L/D = 3, then the oscillation of the TRCTP becomes violent with a higher amplitude ratio. With the increasing reduced velocity, the amplitude ratio can reach 2.24 at L/D = 3, which is larger than that of the isolated triangular prism.
- (4)
- With the increase of flow velocity, the active power presents an increasing trend, while the energy conversion efficiency increases firstly and then decreases at Ur = 10.375. In the tests, for L/D = 4, the maximum active power is 21.04 W (Ur = 12.25, K = 2000 N/m, RL = 8 Ω) with the energy conversion efficiency of ηharn = 4.67%. The maximum energy conversion efficiency is 8.2% at L/D = 4 (Ur = 10.375, K = 1600 N/m, RL = 6 Ω) with the active power of Pharn = 11.58 W.
Author Contributions
Funding
Data Availability Statement
Conflicts of Interest
Abbreviations
| A | Average of the amplitudes under continuous oscillation for 60 s |
| A* | Amplitude ratio, A* = A/D |
| Ctotal | Total damping of the system |
| D | Projection width of the prism in the direction of incoming flow |
| fn | Natural frequency of oscillator |
| fosc | Dominant frequency of oscillation |
| f* | Frequency ratio, f* = fosc/fn |
| K | Stiffness of oscillation system |
| L | Center-to-center distance between the two coupled triangular prisms |
| l | Length of the triangular prism |
| mosc | Oscillation mass |
| md | Displaced mass, md = πρD2L/4 |
| m* | Mass ratio, m* = mosc/md |
| Pharn | Active power |
| RL | Load resistance |
| Re | Reynolds number |
| U | Incoming flow velocity |
| Ur | Reduced velocity, Ur = U/(fn D) |
| ρ | Water density |
| ξtotal | Damping ratio |
| ηharn | Energy conversion efficiency |
| FIM | Flow-induced vibration |
| VIV | Vortex-induced vibration |
| SG | Soft galloping |
| HG | Hard galloping |
| VIVACE | Vortex-induced vibration for aquatic clean energy |
| PTC | Passive turbulence cylinder |
References
- Song, M.T.; Cao, D.Q.; Zhu, W.D. Vortex-induced vibration of a cable-stayed bridge. Shock Vib. 2016, 2016, 1928086. [Google Scholar] [CrossRef]
- Sarpkaya, T. A critical review of the intrinsic nature of vortex-induced vibrations. J. Fluids Struct. 2004, 19, 389–447. [Google Scholar] [CrossRef]
- Khan, M.J.; Bhuyan, G.; Iqbal, M.T.; Quaicoe, J.E. Hydrokinetic energy conversion systems and assessment of horizontal and vertical axis turbines for river and tidal applications: A technology status review. Appl. Energy 2009, 86, 1823–1835. [Google Scholar] [CrossRef]
- Kumar, D.; Sarkar, S. A review on the technology, performance, design optimization, reliability, techno-economics and environmental impacts of hydrokinetic energy conversion systems. Renew. Sust. Energy Rev. 2016, 58, 796–813. [Google Scholar] [CrossRef]
- Laws, N.D.; Epps, B.P. Hydrokinetic energy conversion: Technology, research, and outlook. Renew. Sust. Energy Rev. 2016, 57, 1245–1259. [Google Scholar] [CrossRef]
- Feng, C.C. The Measurements of Vortex-Induced Effects in Flow Past a Stationary and Oscillating Circular and D-Section Cylinders. Master’s Thesis, University of British Columbia, Vancouver, BC, Canada, 1968. [Google Scholar]
- Khalak, A.; Williamson, C.H.K. Fluid Forces and Dynamics of a Hydroelastic Structure with Very Low Mass and Damping. J. Fluids Struct. 1997, 11, 973–982. [Google Scholar] [CrossRef]
- Chang, C.; Ajith Kumar, R.; Bernitsas, M.M. VIV and galloping of single circular cylinder with surface roughness at 3.0 × 104 ≤ Re ≤ 1.2 × 105. Ocean Eng. 2011, 38, 1713–1732. [Google Scholar] [CrossRef]
- Mannini, C.; Marra, A.M.; Massai, T.; Bartoli, G. Interference of vortex-induced vibration and transverse galloping for a rectangular cylinder. J. Fluids Struct. 2016, 66, 403–423. [Google Scholar] [CrossRef]
- Zhang, B.; Wang, K.; Song, B.; Mao, Z.; Tian, W. Numerical investigation on the effect of the cross-sectional aspect ratio of a rectangular cylinder in FIM on hydrokinetic energy conversion. Energy 2018, 165, 949–964. [Google Scholar] [CrossRef]
- Alonso, G.; Meseguer, J.; Pérez-Grande, I. Galloping instabilities of two-dimensional triangular cross-section bodies. Exp. Fluids 2005, 38, 789–795. [Google Scholar] [CrossRef]
- Iungo, G.V.; Buresti, G. Experimental investigation on the aerodynamic loads and wake flow features of low aspect-ratio triangular prisms at different wind directions. J. Fluids Struct. 2009, 25, 1119–1135. [Google Scholar] [CrossRef]
- Shao, N.; Lian, J.; Xu, G.; Liu, F.; Deng, H.; Ren, Q.; Yan, X. Experimental investigation of flow-induced motion and energy conversion of a T-Section prism. Energies 2018, 11, 2035. [Google Scholar] [CrossRef]
- Lian, J.; Yan, X.; Liu, F.; Zhang, J.; Ren, Q.; Yang, X. Experimental investigation on soft galloping and hard galloping of triangular prisms. Appl. Sci. 2017, 7, 198. [Google Scholar] [CrossRef]
- Sarpkaya, T. Fluid forces on oscillating cylinders. ASCE J. Waterw. Port Coast. Ocean. Div. 1978, 104, 275–290. [Google Scholar] [CrossRef]
- Khalak, A.; Williamson, C.H.K. Dynamics of a hydroelastic cylinder with very low mass and damping. J. Fluids Struct. 1996, 10, 455–472. [Google Scholar] [CrossRef]
- Raghavan, K.; Bernitsas, M.M. Experimental investigation of Reynolds number effect on vortex induced vibration of rigid circular cylinder on elastic supports. Ocean Eng. 2011, 38, 719–731. [Google Scholar] [CrossRef]
- Bernitsas, M.M.; Raghavan, K.; Ben-Simon, Y.; Garcia, E.M.H. VIVACE (Vortex Induced Vibration Aquatic Clean Energy): A new concept in generation of clean and renewable energy from fluid flow. In Proceedings of the 25th International Conference on Offshore Mechanics and Arctic Engineering, Hamburg, Germany, 4–9 June 2006. [Google Scholar]
- Brandao, F.L.; Bhatt, M.; Mahesh, K. Numerical study of cavitation regimes in flow over a circular cylinder. J. Fluid Mech. 2019, 885, A19. [Google Scholar] [CrossRef]
- Bahmani, M.H.; Akbari, M.H. Effects of mass and damping ratios on VIV of a circular cylinder. Ocean Eng. 2010, 37, 511–519. [Google Scholar] [CrossRef]
- Zhang, M.; Xu, F. Tuned mass damper for self-excited vibration control: Optimization involving nonlinear aeroelastic effect. J. Wind Eng. Ind. Aerod. 2022, 220, 104836. [Google Scholar] [CrossRef]
- Zhang, M.; Wu, T.; Øiseth, O. Vortex-induced vibration control of a flexible circular cylinder using a nonlinear energy sink. J. Wind Eng. Ind. Aerod. 2022, 229, 105163. [Google Scholar] [CrossRef]
- Park, H.; Ajith Kumar, R.; Bernitsas, M.M. Enhancement of fluid induced vibration of rigid circular cylinder on springs by localized surface roughness at 3 × 104 ≤ Re ≤ 1.2 × 105. Ocean Eng. 2013, 72, 403–415. [Google Scholar] [CrossRef]
- Sun, H.; Kim, E.S.; Nowakowski, G.; Mauer, E.; Bernitsas, M.M. Effect of mass-ratio, damping, and stiffness on optimal hydrokinetic energy conversion of a single, rough cylinder in flow induced motions. Renew. Energ. 2016, 99, 936–959. [Google Scholar] [CrossRef]
- Wang, J.; Zhang, C.; Yurchenko, D.; Abdelkefi, A.; Zhang, M.; Liu, H. Usefulness of inclined circular cylinders for designing ultra-wide bandwidth piezoelectric energy harvesters: Experiments and computational investigations. Energy 2022, 239, 122203. [Google Scholar] [CrossRef]
- Zhu, H.; Gao, Y. Vortex induced vibration response and energy harvesting of a marine riser attached by a free-to-rotate impeller. Energy 2017, 134, 532–544. [Google Scholar] [CrossRef]
- Hu, G.; Tse, K.T.; Wei, M.; Naseer, R.; Abdelkefi, A.; Kwok, K.C.S. Experimental investigation on the efficiency of circular cylinder-based wind energy harvester with different rod-shaped attachments. Appl. Energy 2018, 226, 682–689. [Google Scholar] [CrossRef]
- Zhu, H.; Zhao, Y.; Zhou, T. CFD analysis of energy harvesting from flow induced vibration of a circular cylinder with an attached free-to-rotate pentagram impeller. Appl. Energy 2018, 212, 304–321. [Google Scholar] [CrossRef]
- Andrianne, T.; Aryoputro, R.P.; Laurent, P.; Laurent, P.; Colson, G.; Amandolèse, X.; Hémon, P. Energy harvesting from different aeroelastic instabilities of a square cylinder. J. Wind. Eng. Ind. Aerod. 2018, 172, 164–169. [Google Scholar] [CrossRef]
- Lian, J.; Yan, X.; Liu, F.; Zhang, J. Analysis on flow induced motion of cylinders with different cross sections and the potential capacity of energy transference from the flow. Shock Vib. 2017, 2017, 4356367. [Google Scholar] [CrossRef]
- Zhang, B.; Song, B.; Mao, Z.; Li, B.; Gu, M. Hydrokinetic energy harnessing by spring-mounted oscillators in FIM with different cross sections: From triangle to circle. Energy 2019, 189, 116249. [Google Scholar] [CrossRef]
- Zhu, H.; Tang, T.; Zhou, T.; Cai, M.; Gaidai, O.; Wang, J. High performance energy harvesting from flow-induced vibrations in trapezoidal oscillators. Energy 2021, 236, 121484. [Google Scholar] [CrossRef]
- Seyed-Aghazadeh, B.; Carlson, D.W.; Modarres-Sadeghi, Y. Vortex-induced vibration and galloping of prisms with triangular cross-sections. J. Fluid Mesh. 2017, 817, 590–618. [Google Scholar] [CrossRef]
- Liu, X.; Gui, N.; Wu, H.; Yang, X.; Tu, J.; Jiang, S. Numerical simulation of flow past a triangular prism with fluid-structure interaction. Eng. Appl. Comp. Fluid 2020, 14, 462–476. [Google Scholar] [CrossRef]
- Zhang, J.; Liu, F.; Lian, J.; Yan, X.; Ren, Q. Flow induced vibration and energy extraction of an equilateral triangle prism at different system damping ratios. Energies 2016, 9, 938. [Google Scholar] [CrossRef]
- Yan, X.; Lian, J.; Liu, F.; Wang, X.; Shan, N. Hydrokinetic energy conversion of Flow-induced motion for triangular prism by varying magnetic flux density of generator. Energy Convers. Manag. 2021, 227, 113553. [Google Scholar] [CrossRef]
- Xu, W.; Ji, C.; Sun, H.; Ding, W.; Bernitsas, M.M. Flow-induced vibration of two elastically mounted tandem cylinders in cross-flow at subcritical Reynolds numbers. Ocean Eng. 2019, 173, 375–387. [Google Scholar] [CrossRef]
- Liu, F.; Feng, W.; Yan, X.; Ran, D.; Shao, N.; Wang, X.; Yang, D. Experimental Investigation on Flow-Induced Rotation of Two Mechanically Tandem-Coupled Cylinders. Appl. Sci. 2022, 12, 10604. [Google Scholar] [CrossRef]
- Gao, Y.; Yang, B.; Zhu, H.; Peng, G.; Zhang, Z.; Pan, G. Flow induced vibration of two rigidly connected circular cylinders in different arrangements at a low Reynolds number. Ocean Eng. 2020, 217, 107741. [Google Scholar] [CrossRef]
- Ding, L.; Zhang, L.; Kim, E.S.; Bernitsas, M.M. URANS vs. experiments of flow induced motions of multiple circular cylinders with passive turbulence control. J. Fluids Struct. 2015, 54, 612–628. [Google Scholar] [CrossRef]
- Pinarbasi, A.; Pinar, E.; Akilli, H.; Ince, E. Shallow water experiments of flow past two identical square cylinders in tandem. Eur. J. Mech. B-Fluid. 2015, 49, 100–107. [Google Scholar] [CrossRef]
- Wang, J.; Zhang, C.; Zhang, M.; Abdelkefi, A.; Yu, H.; Ge, X.; Liu, H. Enhancing energy harvesting from flow-induced vibrations of a circular cylinder using a downstream rectangular plate: An experimental study. Int. J. Mech. Sci. 2021, 211, 106781. [Google Scholar] [CrossRef]
- Gu, W.; Xu, X.; Wei, N.; Yao, W.; Yu, G.; Lian, X.; Gao, J.; Zhou, J. The space effect on WIV interference between a fixed and oscillating diamond cylinder at a low Reynolds number of 100. Ocean Eng. 2022, 264, 112428. [Google Scholar] [CrossRef]
- Xu, B.; Wang, H.; Deng, Y.; Shen, X.; Geng, L.; Liu, K.; Zhang, D. Nonlinear vortex dynamic analysis of flow-induced vibration of a flexible splitter plate attached to a square cylinder. Ocean Eng. 2022, 264, 112433. [Google Scholar] [CrossRef]
- Shao, N.; Xu, G.; Liu, F.; Yan, X.; Wang, X.; Deng, H.; Zheng, Z. Experimental study on the flow-induced motion and hydrokinetic energy of two T-section prisms in tandem arrangement. Appl. Sci. 2020, 10, 1136. [Google Scholar] [CrossRef]
- Zhang, B.; Song, B.; Mao, Z.; Tian, W.; Li, B. Numerical investigation on VIV energy harvesting of bluff bodies with different cross sections in tandem arrangement. Energy 2017, 133, 723–736. [Google Scholar] [CrossRef]
- Shao, N.; Lian, J.; Yan, X.; Liu, F.; Wang, X. Experimental study on energy conversion of flow induced motion for two triangular prisms in staggered arrangement. Energy 2022, 249, 123764. [Google Scholar] [CrossRef]




















| K (N/m) | fn (Hz) | mosc (Kg) | Ctotal (N.s.m−1) | ζair |
|---|---|---|---|---|
| 1000 | 0.831 | 36.718 | 31.420 | 0.081 |
| 1200 | 0.915 | 36.343 | 27.693 | 0.065 |
| 1400 | 0.982 | 36.812 | 27.696 | 0.061 |
| 1600 | 1.061 | 36.039 | 24.534 | 0.052 |
| 1800 | 1.125 | 36.062 | 24.372 | 0.048 |
| 2000 | 1.174 | 36.794 | 24.580 | 0.046 |
| 2200 | 1.243 | 36.104 | 24.237 | 0.043 |
| 2400 | 1.291 | 36.512 | 23.361 | 0.039 |
| K(N/m) | ζair RL = 21 Ω | ζair RL = 16 Ω | ζair RL = 13 Ω | ζair RL = 11 Ω | ζair RL = 8 Ω |
|---|---|---|---|---|---|
| 1000 | 0.131 | 0.143 | 0.154 | 0.167 | 0.188 |
| 1200 | 0.115 | 0.127 | 0.138 | 0.151 | 0.172 |
| 1400 | 0.111 | 0.123 | 0.134 | 0.147 | 0.168 |
| 1600 | 0.102 | 0.114 | 0.125 | 0.138 | 0.159 |
| 1800 | 0.098 | 0.110 | 0.121 | 0.134 | 0.155 |
| 2000 | 0.096 | 0.108 | 0.119 | 0.132 | 0.153 |
| 2200 | 0.093 | 0.105 | 0.116 | 0.129 | 0.150 |
| 2400 | 0.089 | 0.101 | 0.112 | 0.125 | 0.146 |
| Designation | Symbol [Unit] | Values |
|---|---|---|
| Width | D [m] | 0.1 |
| Length | l [m] | 0.9 |
| Oscillation mass | mosc [Kg] | 36.423 |
| Stiffness | K [N/m] | 1000, 1200, 1400, 1600, 1800, 2000, 2400 |
| Reduced velocity | Ur | 4.75 ≤ Ur ≤ 12.25 |
| Range of velocity | U [m/s] | 0.395 ≤ U ≤ 1.438 |
| Reynolds number | Re = ρUD/μ | 34504 ≤ Re ≤ 125712 |
| Gap ratio | L/D | 1.0, 1.5, 2.0, 3.0, 4.0 |
| Load resistance | RL [Ω] | 8, 11, 13, 16, 21 |
Publisher’s Note: MDPI stays neutral with regard to jurisdictional claims in published maps and institutional affiliations. |
© 2022 by the authors. Licensee MDPI, Basel, Switzerland. This article is an open access article distributed under the terms and conditions of the Creative Commons Attribution (CC BY) license (https://creativecommons.org/licenses/by/4.0/).
Share and Cite
Lian, J.; Wu, Z.; Yao, S.; Yan, X.; Wang, X.; Jia, Z.; Long, Y.; Shao, N.; Yang, D.; Li, X. Experimental Investigation of Flow-Induced Motion and Energy Conversion for Two Rigidly Coupled Triangular Prisms Arranged in Tandem. Energies 2022, 15, 8190. https://doi.org/10.3390/en15218190
Lian J, Wu Z, Yao S, Yan X, Wang X, Jia Z, Long Y, Shao N, Yang D, Li X. Experimental Investigation of Flow-Induced Motion and Energy Conversion for Two Rigidly Coupled Triangular Prisms Arranged in Tandem. Energies. 2022; 15(21):8190. https://doi.org/10.3390/en15218190
Chicago/Turabian StyleLian, Jijian, Zhichuan Wu, Shuai Yao, Xiang Yan, Xiaoqun Wang, Zhaolin Jia, Yan Long, Nan Shao, Defeng Yang, and Xinyi Li. 2022. "Experimental Investigation of Flow-Induced Motion and Energy Conversion for Two Rigidly Coupled Triangular Prisms Arranged in Tandem" Energies 15, no. 21: 8190. https://doi.org/10.3390/en15218190
APA StyleLian, J., Wu, Z., Yao, S., Yan, X., Wang, X., Jia, Z., Long, Y., Shao, N., Yang, D., & Li, X. (2022). Experimental Investigation of Flow-Induced Motion and Energy Conversion for Two Rigidly Coupled Triangular Prisms Arranged in Tandem. Energies, 15(21), 8190. https://doi.org/10.3390/en15218190

