Abstract
This research aims to maximize the resilience of an electrical power system after an contingency, and this objective is achieved by switching the transmission lines connection using a heuristic that integrates optimal dc power flows (DCOPF), optimal transmission switching (OTS) and contingencies analysis. This paper’s methodology proposes to identify the order of re-entry of the elements that go out of the operation of an electrical power system after a contingency, for which DCOPF is used to determine the operating conditions accompanied by OTS that seeks to identify the maximum number of lines that can be disconnected seeking the most negligible impact on the contingency index J. The model allows each possible line-switching scenario to be analyzed and the one with the lowest value of J is chosen as the option to reconnect, this process is repeated until the entire power system is fully operational. As study cases, the IEEE 14, 30 and 39 bus bars were selected, in which the proposed methodology was applied and when the OTS was executed, the systems improved after the contingency; furthermore, when an adequate connection order of the disconnected lines is determined, the systems are significantly improved, therefore, the resilience of power systems is maximized, guaranteeing stable, reliable and safe behavior within operating parameters.
1. Introduction
Extreme weather events endanger basic infrastructure, such as transportation, communications, water supply, gas and electricity, and these affectations can be so severe that infrastructure might collapse and is observable in the number and duration of energy interruptions caused [1], therefore, due to these unforeseen events, the reliability and operation of this infrastructure are compromised [2,3,4,5]. Among the different kinds of infrastructure that are compromised due to unforeseen events, recent research focuses on electricity supply infrastructure that is also vulnerable to natural events [6]. Extreme weather events or natural phenomena directly affect the electricity supply infrastructure, which has a direct impact on society and its economy [7], challenging aspects that require the development of models, methodologies and strategies to minimize the effect on electricity supply.
Technological development applied to electricity infrastructure is evidenced in the integration of renewable energy, distributed generation and smart grids in electrical systems, making planning, expansion and operation activities more challenging. The challenge of these new technologies lies in the dispatch of reactive power and how this affects the reconfiguration of power flows, for which in recent years several authors have focused on solving this problem [8].
The authors of [9] focus on solving the non-linearity problem that occurs in reactive power dispatch models through a backtracking search algorithm. The control of reactive power is not only a problem that occurs at the transmission and generation level, but in the distribution stage as well, and this also includes distributed generation. To solve this problem, the authors in [10] propose a manta ray foraging optimization algorithm, which is a bio-inspired technique for reactive control optimization. Other authors focus on controlling active power to improve voltage profiles in highly radialized distribution networks [11].
For [12], seven indicators are key to determining the resilience index of an electricity system, being: (a) the degree of dependence on fuel in generation, (b) measurement of efficiency of generation, (c) measurement of efficiency in electricity distribution, (d) measurement of carbon dioxide emissions in electricity generation, (e) the probability that electricity will be generated from different types of fuel, (f) redundant power for the available capacity in the event of high probability and low impact events, and (g) the degree of dependence on electricity imports.
A resilient power system must be able to execute preventive actions, mitigate the impact of extreme events, respond optimally through automated control procedures, reduce the time to restore electricity service and lead to significant economic savings, according to [13].
The traditional method to evaluate reliability is based on Monte Carlo simulation (MCS), and in [14], a method for contingency classification is presented that is incorporated to evaluate the reliability of the line switching operation. From these methodologies, a classification list of recommended lines, safe lines and critical lines resulting from the analysis of annual rates and events is obtained, determining that the switching of the recommended lines improves the system reliability [15,16].
The mathematical modeling of climate behavior represents various aspects, including the impact on electrical systems affected by extreme weather events, increased demand for electricity, decreased capacity and efficiency in generation and transmission, reduction of potential resources of water, wind and sun for electricity generation [17]. In [18], and research focused on the risks arising from extreme climate change and its impact on energy infrastructure is presented.
The productive environment is centralized in urban areas with consumption between and of the electricity generated, likewise, the economy and comfort of society depend on the continuity of the electricity supply, which is affected by climate change, cyber-attacks, terrorism, technical deficiencies, and unstable markets, among others, according to [19].
Resilience is defined as the ability of a material, mechanism or system to recover its initial state when the disturbance to which it had been subjected has ceased. The ability of a system to plan and prepare to absorb, recover and adapt to any circumstance that may affect it, such as natural phenomena, earthquakes, fires, floods, volcanic eruptions, hurricanes, and typhoons, among other unexpected phenomena, gives the system a resilient quality [20].
Given these adverse circumstances in [21], it is proposed that electrical systems must have sufficient capacity to withstand these disturbances and guarantee the continuity of the electricity supply; therefore, resilience is the ability to quickly recover from interruptions resulting from an extreme natural event or phenomenon.
Various investigations have emerged, and as part of their results, they agree on a definition of resilience. In [22], the researchers consider resilience as the capacity of a system to mitigate the consequences of rare events, predictable or not, but with a high impact.
Resilience also considers a critical aspect such as the cyber-security of electrical systems, and in [23], researchers establish the concept as the ability to maintain the continuity of the electricity supply within a load priority scheme.
No metrics have been standardized for resilience; however, key parameters can be identified from studies of small signal stability, transient stability, power flows and contingency analyses [24].
In [25], through the statistical analysis of event data, frequency and duration of interruptions, and system restoration times, among others, the resilience of the US electrical network is evaluated using a regression analysis through the Lewis–Robinson test. Simple methodologies are generally used to evaluate resilience and its interrelation in the network infrastructure, the fragility and performance of the infrastructure are considered as a measure of resilience, according to [26].
In [27], there is a compendium on resilience engineering that identifies tools for risk management based on the fragility and performance of the infrastructure, the modeling tends to determine the best strategies to minimize the impact on infrastructure energy systems.
A predominant aspect is the duration of the disturbance, which puts the electrical system to the test to absorb and resist the extreme event, a model that integrates contingency analysis, non-conventional renewable energies, smart grids, management and mitigation of risks inherent to climate events is treated in [28], which seeks to minimize the error to quantify the robustness of the electrical system.
In [29], researchers use probability density functions (PDF), the analysis is based on Markov chains, states and probabilistic scenarios for decision-making and operation strategies of the electrical system, the system operators evaluate and adjust these strategies ensuring a minimum cost. In [30], the authors highlight a fault chain-based model to determine a set of sensitive transmission lines, thus identifying them and improving the ability of a resilient system to prevent and resist extreme disturbances, through statistical analysis. From historical data of failures, load-ability and damage of the transmission system, the failure chains are predicted to quantify and evaluate their level of risk.
In [31], the author deals with the impact on the resilience of electrical systems due to excessive restoration times as a result of analysis through probability distribution of historical data with a period of at least ten years; it is identified that the restoration process depends on many factors, for example, the climate, location, type of failure and the availability of maintenance crews, with which the average restoration time tends to be highly variable.
New technologies of smart grids, micro-grids and wide area monitoring applications would allow rapid system restoration; also, ref. [32] determines the impacts of natural disasters on power systems, concluding that the improvement of resilience of the network involves interdisciplinary techniques, among them, statistics, meteorology, power systems engineering, optimization, communications, control, policies and regulations, stresses the importance of research in methods and tools for the forecast of disturbances related to natural disasters.
Finding a global optimal solution to the transmission line optimization problem is a complex task, since there are many local optimal solutions; in [33], the author compares modeling and optimization for transmission lines from classical techniques, heuristic techniques, meta-heuristic techniques and other promising techniques, the analysis considers from the design to the operation and maintenance of the transmission lines, which is complemented by the comparison of several methods of economic analysis, and better results can be obtained by combining two or more optimization techniques.
The EPS requires specialized analysis to minimize its operating costs, which is why the problems of economic dispatch based on optimal power flows become relevant. Authors in [34] propose a new methodology for the evaluation of the problem of optimal power flows using the gorilla troops optimization technique (GTOT).
Similarly, bioinspired heuristic techniques can be used for the problem of optimal dispatch of generation plants, for example in [35], a methodology for the electro-thermal dispatch of power plants is proposed employing a jellyfish search algorithm. Additionally, the authors in [36] propose a multi-objective solution for the electro-thermal dispatch of generation plants.
In [37], the authors consider reliability maximization as a multi-objective optimization problem that aims to increase transfer capacity, improve voltage profiles, and improve power system reliability. Transmission Expansion Planning (TEP) is a large-scale, mixed-integer, non-linear, non-convex problem; Ref. [38] addresses the transmission expansion planning problem through mixed-integer linear programming based on the linear power flow model for losses and costs of the generator from planning and operation, construction costs of lines, also consider security restrictions , the balance of power in each node, state of the line, if it exists or should be built, charge-ability of the line, angular difference, generation dispatch limit, the linear model of generation losses and costs, and its objective function aims to minimize the investment cost.
In [39], transmission switching in expansion planning is treated from the approach of a master problem that uses the set of lines and generation units that are candidates for investment, with two sub-problems to alleviate any violation in transmission and optimal dispatch of generation units. In [40], the probabilistic planning of transmission expansion focuses on random and non-random uncertainties especially related to wind load and generation; likewise, the security is evaluated to find the structure of optimal transmission to meet the peak load demand with minimal investment and losses due to energy not supplied, however, the restrictions increase the cost of transmission investment that can be mitigated by incorporating limits on load shedding.
In [41], the authors use genetic algorithms to separately solve two models that consider the uncertainty of the total demand and the demand in each load bar, the methodology provides an optimal plan for expansion of the transmission network, including more accessible plans. From the economic aspect, they satisfy the uncertainty in the demand; likewise, it allows the analysis of the possible location of demand in each bus and thus determines if it is possible to supply a new load in a specific bus.
The purpose of this research is to identify the order of re-connection of transmission lines in a power system after being affected by a contingency , for this, a heuristic is proposed with optimal flows of dc power, optimal switching of transmission and contingency analysis; therefore, as a result, the resilience of the power system is maximized by switching transmission lines.
2. Electrical Power System Operation
2.1. Optimal Power Flow
Optimal power flow is a technique that has been widely used in recent years in the analysis and optimization of electrical power systems.
The authors in [42] developed a method for the optimal flow of fully distributed DC power, sub-problems are generated at the level of neighboring bus bars, the study is developed in the RTS96 and IEEE118 systems, obtaining the optimal solution even under a cold start scenario; however, the initial conditions must be close to the optimum.
The authors in [43] considered interconnected weak power systems that tend to disconnect in the face of extreme events due to their low inertia, as well as the incidence of low and high frequency; for this, based on the optimal power flow limited by separation events, modeled by linear programming of mixed integers, in the test system the improvement of the resilience of the system results from conditions of high and low frequency and levels of inertia in each area.
In [44], the authors present an optimization through optimal stochastic DC power flows with uncertain load and renewable generation capacity, where the reserve of said generators is used within its limits, the results are evidenced in the test systems of 6 and 118 bars in generation costs lower than expected.
In [45], the researchers propose a model that improves the accuracy of the calculation through optimal flows of dc power focused on practical marginal local price markets, the model uses the curve improvement fitting technique that evaluates the losses in the parameters with total lines and lightly loaded.
2.2. Optimal Transmission Switching
In [46], through mixed integer linear programming, the problem of optimal power flows and optimal transmission switching (OTS) is addressed. To modify the transmission topology and optimal generation dispatch binary variables are used to represent the states that describe the physical system. The objective function maximizes the total cost of the system with a number j of lines enabled to switch in the transmission system:
where, k is the transmission lines, n, m are the nodes, g is the generators, d is the loads, is the voltage angle at the node n, are the active power flow to or from line k, generator g, or loads d to node n, and is a binary variable indicating if the line k has been removed from the system. The restrictions consider voltage angle limits, power in generators, power flow limit through the transmission line, the power balance in each node and limit in the number of disconnected transmission lines, as a result, in the test case of 118 bars, a saving of up to is obtained in the economic dispatch.
In [47], the objective function in the approximate OTS model considers minimizing the total costs of electricity generation:
where, is the operating cost of the generator n, and corresponds to the power generated by the generator n, is a decision variable, C is a constant number, and is a very large value. The restrictions contemplate: that the power that enters and leaves a node is equal, the voltage angles in bars, the power flow in lines, the thermal limit of the lines, limits of the generators, and limits of angular difference in bars. The approximate model of OTS in test systems of 14, 39, 57, IEEE 118 and 2383 bus bars provides similar results, but with fewer switched transmission lines. Through the mixed integer programming model with binary variables, ref. [47] addresses the optimal transmission switching under contingency , the formulation of the optimal DC power flow under contingency seeks to minimize the costs under the physical constraints of the system:
Being: for there is no contingency, for there is a contingency ; is the production cost from generator g in state c; is the power supply from generator g at node n for state c; is the binary variable for the transmit element, 0 open and 1 closed.
The objective function is subject to the angle of the voltage at node n for state c, power balance at the nodes, and limits of transmission lines and generators for each state, from which a reduction of approximately in the cost under contingency , switching transmission lines in the generation dispatch.
For [48], in the optimal switching of transmission lines, the computational complexity can be reduced by considering in the algorithm implemented through mixed integer programming a limit of lines selected to be disconnected.
Through mixed integer programming, ref. [49] covers the problem of optimal switching of transmission lines, based on two heuristics: linear programming is solved first and then mixed integer programming, and the procedure removes one line at a time. At the same time, both heuristics depend on the problem of optimal DC power flows to determine a classification of transmission lines for switching.
For [50], transmission congestion management is possible through optimal transmission switching formulated as a mixed-integer nonlinear programming problem, thereby relieving congestion while maintaining voltage safety, identifying the order of the switching operations aside from optimal transmission switching strategies for handling transmission congestion.
The optimal transmission line switching problem treated in [49] is improved through heuristics based on optimal AC power flows [51], and despite being an exact method, it increases the calculation time that is impractical in real situations.
Transmission switching alters the topology of the transmission network, and this is an effective way to reduce operating costs; however, this is achieved by determining a set of suitable transmission lines to be switched, and this process requires in the formulations the inclusion of restrictions and decision variables. Ref. [52] proposes among the restrictions to avoid electrical islands as a result of a set of optimal lines to be switched; however, in an OTS, the computational requirement increases, with the relaxation of the problem in addition that the reliability is not reduced, the computational time improves.
In [53], the author states mixed-integer second-order programming via the AC power flow model; however, the AC transmission switching problem is relaxed by including inequalities in the optimal power flow problem of AC power. However, applying an ACOPF would become a mathematically challenging problem due to the restrictions of the power flow and the variables for commutation that would give rise to two non-convexities.
The optimal transmission switching in, ref. [54], is analyzed from the safety aspect in cases of transmission line overloads and voltage stability, the safety level decreases if transmission lines are disconnected in different locations, and the expected cost per outage tends to increase, the economic benefit is expected to be positive by identifying the topology of the network by incorporating probabilistic security constraints in the optimal transmission switching problem.
In [55], the mixed-integer nonlinear programming model through optimal AC power flow addresses optimal transmission switching and security evaluation considering the contingency criterion, the analysis is sequential for contingencies and energy not supplied, this allows estimating a security level for each solution.
From real-time contingency analysis developed in [56], the researchers provide the corrective AC transmission switching, and the methodology also runs time-domain simulations to verify the dynamic stability of the corrective transmission switching solution; that is, through the contingency analysis, the critical contingency that causes potential violations to the system is identified, and the corrective algorithm finds the effective corrective actions to mitigate these violations, therefore, resulting in the reduction of operating costs, improvement of system reliability and the incorporation of renewable resources.
In [57], the authors study the optimal stochastic transmission switching with optimal DC and AC power flows, and compared with the optimal deterministic transmission switching, the stochastic formulations are faster, and among them, using the optimal AC power flow obtains the lowest operational cost and with less calculation time.
In [58], the research covers the optimal transmission switching problem, poses several mathematical models that consider avoiding the switching of unnecessary lines, avoiding the formation of electrical islands in the system, and justifies the occurrence of the Braess paradox in the OTS problem, the results being the reduction of disconnected lines and the non-formation of electrical islands.
Ref. [59] considers the optimal transmission commutation avoiding electric islands and the real load-ability conditions of the lines based on real climate data, the proposed procedure allows the maximization of the reliability and the minimization of the total cost of generation. The study results on the IEEE RTS-96 system to determine the improvement in the system performance and decrease in generation cost.
3. Problem Formulation
In electrical systems, from the user’s point of view, the systems must satisfy the demand for active and reactive power at any moment and for the required time, thus the system operators are responsible for the operational planning of the generation, transmission and distribution resources.
Electrical networks are susceptible to low-probability risks, but whose consequences are of great impact if they materialize. As an example, there can be earthquakes, atmospheric discharges, loss of one or several elements of the system, and cyber-attacks, among others. From the technical–operational point of view, electrical systems can have partial disconnections of generation, transmission and distribution links, and large load centers, until finally the collapse of the entire system, a condition that is not desired by any system operator.
Resilience in electrical systems is referred to any internal or external disturbance, is established as any available capacity of the system that can contribute to avoiding total collapse, going from a relatively normal state to a new disturbed state, but depending on its rapid response allows a new quasi-normal state to be reached, and from the technical aspect, the slightest improvement in the systems and subsystems contributes to the electrical system improving its resilience.
This research aims to maximize the resilience of electrical systems, focusing on the heuristics that incorporate the optimal dc power flow (DCOPF), the optimal transmission switching (OTS), the contingency index, and the switching of the lines disconnected looking for the lowest rate of contingencies concerning the variable to establish the order of connection of the disconnected lines, improving the response of the system.
In this work development, the following premises are established: transformers and generators are not considered switching elements, no formation of isolated systems, linear cost of generators, resistance and shunt capacitance of lines is zero, and losses and reactive power are ignored. As a stability criterion, a range is established for the voltage angle in bars of that allows a dynamic behavior to satisfy the recovery of the system by connecting disconnected lines.
In an electrical system, the contingencies are presented from the output of lines, transformers, generators and even loads to order the severity or impact that occurs in the electrical system, and contingency indices are established with which a ranking of contingencies can be determined based on their severity. From the technique proposed by [60] for ranking and selection of contingencies, a variation for the J index of contingencies presented in Equation (4) is considered.
where represents voltage angle of the voltage at the node i, is the maximum angular deviation that is allowed for the voltage at the nodes, which has been established to be 0.6 [rad]. is a factor that represents the importance of the element in the EPS that, for the proposed methodology, it is considered that all the elements are equally important, and for this reason, it is assigned a value of 1, and m is an integer value greater than 1 that allows the elimination of negativity conditions, and for the present study, it was assigned the value of 2.
4. Methodology
The proposed heuristic seeks to maximize the resilience of electrical power systems by switching electrical transmission lines, through the optimal flow of dc power, the initial conditions that will allow comparing results are determined, followed by a contingency of the type in transmission lines and DCOPF plus OTS is executed, and depending on the variable , the contingency index is determined for and the lines disconnected by the OTS.
The procedure has the following steps: to evaluate the connection options of the disconnected lines, to determine the first connection option, one line is restored at a time to execute the DCOPF with which a new contingency index J is calculated, and this is executed for each disconnected line. Having completed the procedure with each of the disconnected lines, the contingency index is evaluated, then the line with the lowest value is option one for re-connection.
Where, is the voltage angle on the bus i, is the power flow through the line , and is the power dispatched by generator g.
Next, to determine the second connection option, the starting point considers the previously identified connected line, the process of connecting the remaining disconnected lines one line at a time is repeated, then DCOPF is executed and the contingency index is evaluated again; finally, after this process, the one with the lowest value is determined, with which line option two is established for re-connection.
Now with the first and second option lines connected, the remaining ones are restored one at a time, DCOPF is run and the least contingency rate is determined to set option three for the line to reconnect, then the following reconnect options are completed. This procedure is repeated until the disconnected lines are reconnected for contingency ; with the re-connection options, , , are obtained to appreciate the improvement of the power system by reconnecting the disconnected lines in an order obtained. Figure 1 shows this scheme/methodology.
Figure 1.
Flowchart for line re-connection.
5. Analysis of Results
The proposal to maximize the resilience of electrical power systems by switching transmission lines was analyzed using three electrical test systems known from the specialized literature. IEEE test and analysis systems correspond to 14, 30 and 39 bus bars. The results are presented in detail for the 30-bar system where the best results were obtained, and for the cases of 14 and 39 bus bars, the results obtained are described as well. The initial topologies and data of the electrical systems have been obtained from [61].
30 Bus Bars System
In the 30-bus IEEE test system, there are 6 generators, 30 bars, 34 candidate lines, 7 transformers, and 20 loads with a total demand of 198 MW, and test system data is shown in the Table 1, Table 2 and Table 3 and Figure 2. The contingency of the determines a contingency index J of 0.8612, the execution of the OTS determines the disconnection of seven lines, therefore, the set of disconnected lines consists of , , , , , and , with which the system presents a new contingency index J of 0.4403, and the generation power remains at 1.98 in p.u.
Table 1.
30 bus bar system lines data.
Table 2.
30 bus bar system loads data.
Table 3.
30 bus bar system generators data.
Figure 2.
30 bus bar system, contingency and lines disconnected.
To establish the re-connection order of the lines, the connection of each line is evaluated when executing the DCOPF, from which the connection with the lowest contingency index J is identified, and in Table 4, the order of re-connection is detailed.
Table 4.
Line reconnect options for the 30 bus bar system.
Figure 3 represents the different combination possibilities, likewise the line with the lowest contingency index J that determines the connection sequence is identified.
Figure 3.
Re-connection lines for the 30 bus bar system.
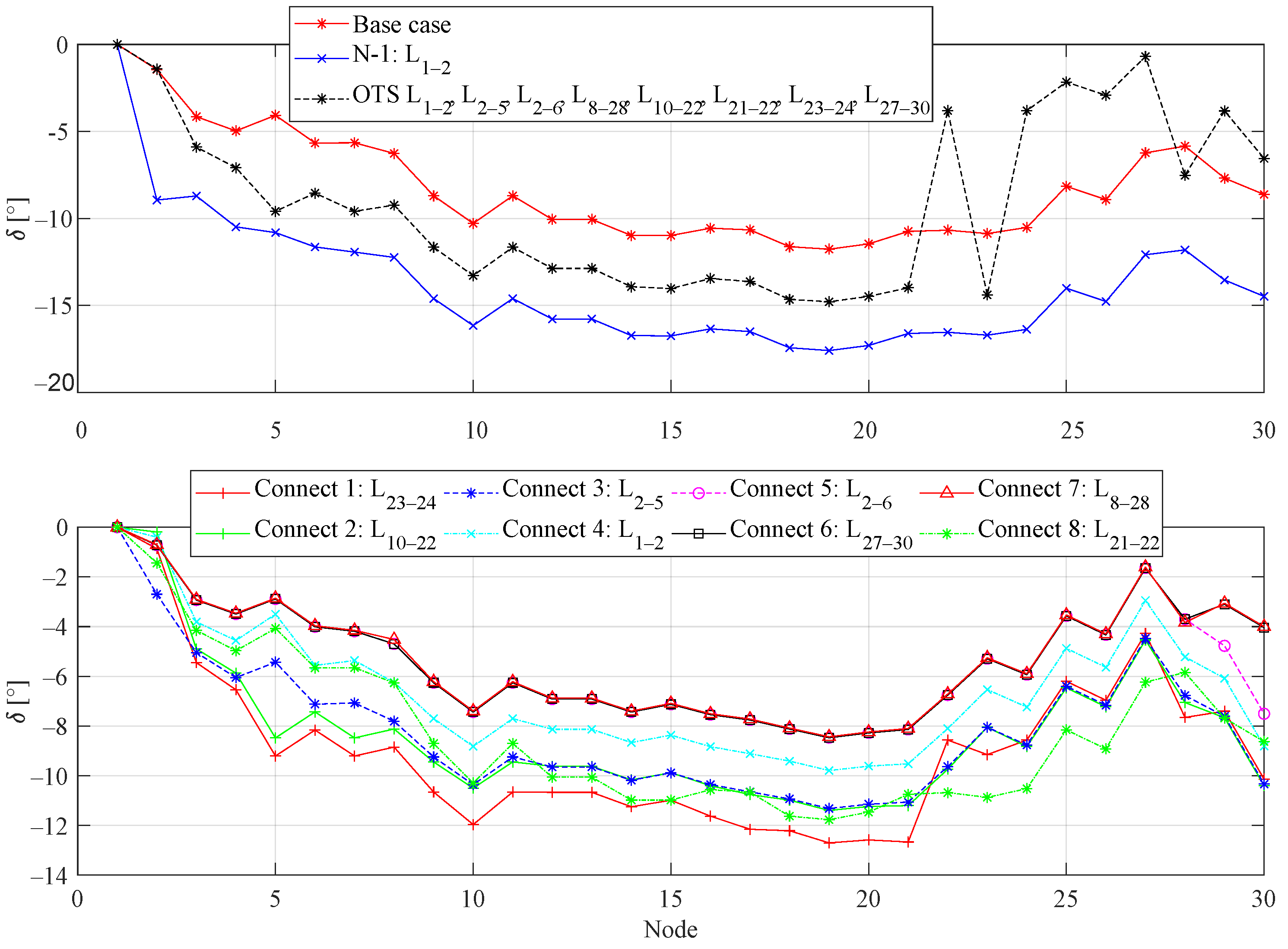
The variation in the angle of voltage in bus bars is presented in Figure 4 for the 30-bus system in a normal state. Additionally, a new contingency state , the change of state with the result of the OTS, and finally the connection options of the disconnected lines for system restoration are shown as well.
Figure 4.
Behavior of the voltage angle in the 30 bus bar system.
Regarding power flows through the transmission lines in a normal state of the system, the total demand is satisfied, when changing the topology of the system when the contingency of the occurs, it is evident that power flows are redistributed without affecting demand when the OTS is executed, and lines are disconnected, which improves the system response, power flows are redistributed, and load capacity is reduced on some of the lines, to name a few, , , , , see Figure 5; likewise, the load-ability in other lines of the system is increased. By seeking a connection order for the disconnected lines, the condition of the system is improved and the power flows are redistributed in a better way, an aspect that maximizes the resilience of the system without affecting the demand in the various cases.
Figure 5.
Power flows behavior in the 30-bar system.
The generators of the 30-bar system are dispatched based on their costs; however, in all cases, they satisfy the entire demand of the system.
Through the analysis of the results obtained from the IEEE test systems, the application of the heuristic that links the DCOPF, OTS and index J of contingencies allows us to maximize the resilience of power systems through the switching of transmission lines after a contingency, respecting the operating restrictions of the system.
In the IEEE 14-bar test system, the contingency involving the presents the highest contingency index J of 0.5243, see Table 5, the OTS determines commutable to the , the new contingency index J is set at 0.5239, the generation power remains at 2.59 in p.u., for the re-connection order the is the first option in reason that the contingency index J as a function of the variable is 0.3634.
Table 5.
Test systems to maximize resiliency.
For the IEEE 39 bus test system, the contingency with the produces a contingency index J of 0.3737, the OTS determines the lines disconnected , and ; therefore, the system presents a new index J of 0.6832, the power generated is 61.5 in p.u., the order of re-connection to maximize resilience corresponds to: (1) with a contingency index J of 0.3544, (2) with a contingency index J of 0.401, (3) with a contingency index J of 0.315, and (4) with a contingency index J of 0.3836.
In the analysis of the results, lines that presented a higher contingency index J were discarded because they included the disconnection of transformers, which is not considered in this investigation. Although the result of the OTS improves the system after a contingency, by determining the line re-connection order that allows the electrical power system to be strengthened, by identifying the lines that improve the system, and above all the order of connection allows us to maximize the resilience.
Concerning the generation in the test systems, the costs of the generators condition the dispatch and participation in each of the analyzed scenarios. This is because the DCOPF seeks to minimize costs, and in this sense, the order of priority depends on the declared costs for each generator.
6. Conclusions
The optimal switching of transmission lines is currently a technical aspect inherent to the operation of power systems, and several investigations have supported its benefits; however, in relatively small power systems it is not even considered an applicable option, probably due to the technical–operational procedures in force for decades, of the heuristics applied in the test systems with the execution of the OTS the systems change to a new relatively stable state, the restrictions and assumptions are respected, followed by the maximization of the resilience of the voltage angle behavior when connecting each of the disconnected lines.
From the operational point of view in quasi-real-time, instantaneous simulations are required, hence several investigations propose the application of optimal DC power flows, the results being quite successful compared to optimal AC power flows; likewise, the DCOPF requires less computational time.
Although electrical power systems can withstand the output of certain defined elements, they must have the capacity and resources to recover, this being the purpose of resilient systems. The system’s dynamic behavior has been prioritized by limiting the angle of the bus voltage in a range of with which stability problems are avoided; likewise, by applying contingency and evaluating its impact on the elements of the system, determining its severity through the ranking of contingencies, guarantees the system reliability. On the other hand, further degrading the system is avoided by not forming isolated areas or zones that allow for service security.
The development of robust power systems does not always guarantee economy and reliability; in other words, their resilience. This aspect encompasses several methods or techniques that favor the recovery of the system under certain disturbances; among many, switching has been analyzed for transmission lines, identifying the order of re-connection of the disconnected elements, favoring dynamic, reliable and safe behavior.
It is important to consider future studies that include transformer switching, interconnection lines between large systems, reactive compensation equipment, using optimal ac power flows, and real-time analysis.
Author Contributions
J.P. and D.C.: conceptualization, methodology, validation, writing—review and editing. J.P.: methodology, software, writing—original draft. D.C.: data curation, formal analysis. D.C.: supervision. M.J.: writing—review and editing. All authors have read and agreed to the published version of the manuscript.
Funding
This work was supported by Universidad Politécnica Salesiana and GIREI-Smart Grid Research Group under the project Optimal operation of electrical power systems considering new technologies and energy sustainability criteria.
Data Availability Statement
Not applicable.
Conflicts of Interest
The authors declare no conflict of interest.
References
- Liévanos, R.S.; Horne, C. Unequal resilience: The duration of electricity outages. Energy Policy 2017, 108, 201–211. [Google Scholar] [CrossRef]
- Panteli, M.; Mancarella, P. Influence of extreme weather and climate change on the resilience of power systems: Impacts and possible mitigation strategies. Electr. Power Syst. Res. 2015, 127, 259–270. [Google Scholar] [CrossRef]
- Panteli, M.; Mancarella, P.; Trakas, D.N.; Kyriakides, E.; Hatziargyriou, N.D. Metrics and Quantification of Operational and Infrastructure Resilience in Power Systems. IEEE Trans. Power Syst. 2017, 32, 4732–4742. [Google Scholar] [CrossRef]
- Panteli, M.; Pickering, C.; Wilkinson, S.; Dawson, R.; Mancarella, P. Power System Resilience to Extreme Weather: Fragility Modeling, Probabilistic Impact Assessment, and Adaptation Measures. IEEE Trans. Power Syst. 2017, 32, 3747–3757. [Google Scholar] [CrossRef]
- Panteli, M.; Trakas, D.N.; Mancarella, P.; Hatziargyriou, N.D. Power Systems Resilience Assessment: Hardening and Smart Operational Enhancement Strategies. Proc. IEEE 2017, 105, 1202–1213. [Google Scholar] [CrossRef]
- Huang, G.; Wang, J.; Chen, C.; Qi, J.; Guo, C. Integration of Preventive and Emergency Responses for Power Grid Resilience Enhancement. IEEE Trans. Power Syst. 2017, 32, 4451–4463. [Google Scholar] [CrossRef]
- Dehghanian, P.; Aslan, S.; Dehghanian, P. Maintaining Electric System Safety Through An Enhanced Network Resilience. IEEE Trans. Ind. Appl. 2018, 54, 4927–4937. [Google Scholar] [CrossRef]
- Carrión, D.; García, E.; Jaramillo, M.; González, J.W. A Novel Methodology for Optimal SVC Location Considering N-1 Contingencies and Reactive Power Flows Reconfiguration. Energies 2021, 14, 6652. [Google Scholar] [CrossRef]
- Shaheen, A.M.; El-Sehiemy, R.A.; Farrag, S.M. Optimal reactive power dispatch using backtracking search algorithm. Aust. J. Electr. Electron. Eng. 2016, 13, 200–210. [Google Scholar] [CrossRef]
- Shaheen, A.M.; Elsayed, A.M.; El-Sehiemy, R.A.; Ginidi, A.R.; Elattar, E. Optimal management of static volt-ampere-reactive devices and distributed generations with reconfiguration capability in active distribution networks. Int. Trans. Electr. Energy Syst. 2021, 31, e13126. [Google Scholar] [CrossRef]
- Lemus, A.; Carrión, D.; Aguire, E.; González, J.W. Location of distributed resources in rural-urban marginal power grids considering the voltage collapse prediction index. Ingenius 2022, 28, 25–33. [Google Scholar] [CrossRef]
- Molyneaux, L.; Wagner, L.; Froome, C.; Foster, J. Resilience and electricity systems: A comparative analysis. Energy Policy 2012, 47, 188–201. [Google Scholar] [CrossRef]
- Wang, J.; Gharavi, H. Power Grid Resilience [Scanning the Issue]. Proc. IEEE 2017, 105, 1199–1201. [Google Scholar] [CrossRef]
- Zhao, S.; Singh, C. A hybrid method for reliability evaluation of line switching operations. Electr. Power Syst. Res. 2018, 163, 365–374. [Google Scholar] [CrossRef]
- Pinzón, S.; Carrión, D.; Inga, E. Optimal Transmission Switching Considering N-1 Contingencies on Power Transmission Lines. IEEE Lat. Am. Trans. 2021, 19, 534–541. [Google Scholar] [CrossRef]
- Quinteros, F.; Carrión, D.; Jaramillo, M. Optimal Power Systems Restoration Based on Energy Quality and Stability Criteria. Energies 2022, 15, 2062. [Google Scholar] [CrossRef]
- Craig, M.T.; Cohen, S.; Macknick, J.; Draxl, C.; Guerra, O.J.; Sengupta, M.; Haupt, S.E.; Hodge, B.M.; Brancucci, C. A review of the potential impacts of climate change on bulk power system planning and operations in the United States. Renew. Sustain. Energy Rev. 2018, 98, 255–267. [Google Scholar] [CrossRef]
- Varianou Mikellidou, C.; Shakou, L.M.; Boustras, G.; Dimopoulos, C. Energy critical infrastructures at risk from climate change: A state of the art review. Safety Sci. 2017, 110, 110–120. [Google Scholar] [CrossRef]
- Sharifi, A.; Yamagata, Y. Principles and criteria for assessing urban energy resilience: A literature review. Renew. Sustain. Energy Rev. 2016, 60, 1654–1677. [Google Scholar] [CrossRef]
- Masache, P.; Carrión, D.; Cárdenas, J. Optimal Transmission Line Switching to Improve the Reliability of the Power System Considering AC Power Flows. Energies 2021, 14, 3281. [Google Scholar] [CrossRef]
- Bie, Z.; Lin, Y.; Li, G.; Li, F. Battling the Extreme: A Study on the Power System Resilience. Proc. IEEE 2017, 105, 1253–1266. [Google Scholar] [CrossRef]
- Gholami, A.; Shekari, T.; Amirioun, M.H.; Aminifar, F.; Amini, M.H.; Sargolzaei, A. Toward a consensus on the definition and taxonomy of power system resilience. IEEE Access 2018, 6, 32035–32053. [Google Scholar] [CrossRef]
- Arghandeh, R.; Von Meier, A.; Mehrmanesh, L.; Mili, L. On the definition of cyber-physical resilience in power systems. Renew. Sustain. Energy Rev. 2016, 58, 1060–1069. [Google Scholar] [CrossRef]
- Eshghi, K.; Johnson, B.K.; Rieger, C.G. Metrics required for power system resilient operations and protection. In Proceedings of the 2016 Resilience Week, RWS 2016, Chicago, IL, USA, 16–18 August 2016; pp. 200–203. [Google Scholar] [CrossRef]
- Shen, L.; Cassottana, B.; Tang, L.C. Statistical trend tests for resilience of power systems. Reliab. Eng. Syst. Saf. 2018, 177, 138–147. [Google Scholar] [CrossRef]
- Reed, D.A.; Kapur, K.C.; Christie, R.D. Methodology for assessing the resilience of networked infrastructure. IEEE Syst. J. 2009, 3, 174–180. [Google Scholar] [CrossRef]
- Patriarca, R.; Bergström, J.; Di Gravio, G.; Costantino, F. Resilience engineering: Current status of the research and future challenges. Saf. Sci. 2018, 102, 79–100. [Google Scholar] [CrossRef]
- Panteli, M.; Mancarella, P. Modeling and evaluating the resilience of critical electrical power infrastructure to extreme weather events. IEEE Syst. J. 2017, 11, 1733–1742. [Google Scholar] [CrossRef]
- Wang, C.; Hou, Y.; Qiu, F.; Lei, S.; Liu, K. Resilience Enhancement with Sequentially Proactive Operation Strategies. IEEE Trans. Power Syst. 2017, 32, 2847–2857. [Google Scholar] [CrossRef]
- Yang, J.; Jiang, K. The sensitive line identification in resilient power system based on fault chain model. Int. J. Electr. Power Energy Syst. 2017, 92, 212–220. [Google Scholar] [CrossRef]
- Kancherla, S.; Dobson, I. Heavy-tailed transmission line restoration times observed in utility data. IEEE Trans. Power Syst. 2018, 33, 1145–1147. [Google Scholar] [CrossRef]
- Wang, Y.; Chen, C.; Wang, J.; Baldick, R. Research on Resilience of Power Systems under Natural Disasters—A Review. IEEE Trans. Power Syst. 2016, 31, 1604–1613. [Google Scholar] [CrossRef]
- Kishore, T.S.; Singal, S.K. Optimal economic planning of power transmission lines: A review. Renew. Sustain. Energy Rev. 2014, 39, 949–974. [Google Scholar] [CrossRef]
- Shaheen, A.; Ginidi, A.; El-Sehiemy, R.; Elsayed, A.; Elattar, E.; Dorrah, H.T. Developed Gorilla Troops Technique for Optimal Power Flow Problem in Electrical Power Systems. Mathematics 2022, 10, 1636. [Google Scholar] [CrossRef]
- Ginidi, A.; Elsayed, A.; Shaheen, A.; Elattar, E.; El-Sehiemy, R. An innovative hybrid heap-based and jellyfish search algorithm for combined heat and power economic dispatch in electrical grids. Mathematics 2021, 9, 2053. [Google Scholar] [CrossRef]
- Sarhan, S.; Shaheen, A.; El-Sehiemy, R.; Gafar, M. A Multi-Objective Teaching–Learning Studying-Based Algorithm for Large-Scale Dispatching of Combined Electrical Power and Heat Energies. Mathematics 2022, 10, 2278. [Google Scholar] [CrossRef]
- Salkuti, S.R. Congestion management using optimal transmission switching. IEEE Syst. J. 2018, 12, 3555–3564. [Google Scholar] [CrossRef]
- Zhang, H.; Vittal, V.; Heydt, G.T.; Quintero, J. A mixed-integer linear programming approach for multi-stage security-constrained transmission expansion planning. IEEE Trans. Power Syst. 2012, 27, 1125–1133. [Google Scholar] [CrossRef]
- Khodaei, A.; Shahidehpour, M.; Kamalinia, S. Transmission switching in expansion planning. IEEE Trans. Power Syst. 2010, 25, 1722–1733. [Google Scholar] [CrossRef]
- Orfanos, G.A.; Georgilakis, P.S.; Hatziargyriou, N.D. Transmission expansion planning of systems with increasing wind power integration. IEEE Trans. Power Syst. 2013, 28, 1355–1362. [Google Scholar] [CrossRef]
- Silva, I.d.J.; Rider, M.J.; Romero, R.; Murari, C.A.F. Transmission network expansion planning considering uncertainty in demand. IEEE Trans. Power Syst. 2006, 21, 1565–1573. [Google Scholar] [CrossRef]
- Zhang, Q.; Sahraei-Ardakani, M. Distributed DCOPF with flexible transmission. Electr. Power Syst. Res. 2018, 154, 37–47. [Google Scholar] [CrossRef]
- Püschel-Løvengreen, S.; Ghazavi Dozein, M.; Low, S.; Mancarella, P. Separation event-constrained optimal power flow to enhance resilience in low-inertia power systems. Electr. Power Syst. Res. 2020, 189, 106678. [Google Scholar] [CrossRef]
- Kannan, R.; Luedtke, J.R.; Roald, L.A. Stochastic DC optimal power flow with reserve saturation. Electr. Power Syst. Res. 2020, 189, 106566. [Google Scholar] [CrossRef]
- Vaishya, S.; Sarkar, V. Accurate loss modelling in the DCOPF calculation for power markets via static piecewise linear loss approximation based upon line loading classification. Electr. Power Syst. Res. 2019, 170, 150–157. [Google Scholar] [CrossRef]
- Fisher, E.B.; O’Neill, R.P.; Ferris, M.C. Optimal Transmission Switching. IEEE Trans. Power Syst. 2008, 23, 1346–1355. [Google Scholar] [CrossRef]
- Hedman, K.W.; O’Neill, R.P.; Fisher, E.B.; Oren, S.S. Optimal Transmission Switching With Contingency Analysis. IEEE Trans. Power Syst. 2009, 24, 1577–1586. [Google Scholar] [CrossRef]
- Barrows, C.; Blumsack, S. Transmission Switching in the RTS-96 Test System. IEEE Trans. Power Syst. 2011, 27, 1134–1135. [Google Scholar] [CrossRef]
- Fuller, J.D.; Ramasra, R.; Cha, A. Fast heuristics for transmission-line switching. IEEE Trans. Power Syst. 2012, 27, 1377–1386. [Google Scholar] [CrossRef]
- Khanabadi, M.; Ghasemi, H.; Doostizadeh, M. Optimal transmission switching considering voltage security and N-1 contingency analysis. IEEE Trans. Power Syst. 2013, 28, 542–550. [Google Scholar] [CrossRef]
- Soroush, M.; Fuller, J.D. Accuracies of optimal transmission switching heuristics based on DCOPF and ACOPF. IEEE Trans. Power Syst. 2014, 29, 924–932. [Google Scholar] [CrossRef]
- Ostrowski, J.; Wang, J.; Liu, C. Transmission switching with connectivity-ensuring constraints. IEEE Trans. Power Syst. 2014, 29, 2621–2627. [Google Scholar] [CrossRef]
- Kocuk, B.; Dey, S.S.; Sun, X.A. New Formulation and Strong MISOCP Relaxations for AC Optimal Transmission Switching Problem. IEEE Trans. Power Syst. 2017, 32, 4161–4170. [Google Scholar] [CrossRef]
- Henneaux, P.; Kirschen, D.S. Probabilistic security analysis of optimal transmission switching. IEEE Trans. Power Syst. 2016, 31, 508–517. [Google Scholar] [CrossRef]
- Tarafdar Hagh, M.; Zamani Gargari, M.; Vahid Pakdel, M.J. Sequential analysis of optimal transmission switching with contingency assessment. IET Gener. Transm. Distrib. 2017, 12, 1390–1396. [Google Scholar] [CrossRef]
- Li, X.; Balasubramanian, P.; Sahraei-Ardakani, M.; Abdi-Khorsand, M.; Hedman, K.W.; Podmore, R. Real-Time Contingency Analysis with Corrective Transmission Switching. IEEE Trans. Power Syst. 2017, 32, 2604–2617. [Google Scholar] [CrossRef]
- Lan, T.; Zhou, Z.; Huang, G.M. Modeling and Numerical Analysis of Stochastic Optimal Transmission Switching with DCOPF and ACOPF. IFAC-PapersOnLine 2018, 51, 126–131. [Google Scholar] [CrossRef]
- Flores, M.; Macedo, L.H.; Romero, R. Alternative Mathematical Models for the Optimal Transmission Switching Problem. IEEE Syst. J. 2021, 15, 1245–1255. [Google Scholar] [CrossRef]
- EL-Azab, M.; Omran, W.; Mekhamer, S.; Talaat, H. Congestion management of power systems by optimizing grid topology and using dynamic thermal rating. Electr. Power Syst. Res. 2021, 199, 107433. [Google Scholar] [CrossRef]
- Ejebe, G.C.; Wollenberg, B.F. Automatic Contingency Selection. IEEE Trans. Power Appar. Syst. 1979, PAS-98, 97–109. [Google Scholar] [CrossRef]
- Zimmerman, R.D.; Murillo-Sánchez, C.E.; Thomas, R.J. MATPOWER: Steady-State Operations, Planning, and Analysis Tools for Power Systems Research and Education. IEEE Trans. Power Syst. 2011, 26, 12–19. [Google Scholar] [CrossRef]
Publisher’s Note: MDPI stays neutral with regard to jurisdictional claims in published maps and institutional affiliations. |
© 2022 by the authors. Licensee MDPI, Basel, Switzerland. This article is an open access article distributed under the terms and conditions of the Creative Commons Attribution (CC BY) license (https://creativecommons.org/licenses/by/4.0/).




