Performance Analysis of a Hydrogen-Doped High-Efficiency Hybrid Cycle Rotary Engine in High-Altitude Environments Based on a Single-Zone Model
Abstract
1. Introduction
2. Modeling
2.1. Engine Description
2.2. Single-Zone Homogenization Model
2.3. Model Equation
2.3.1. Gas State and Physical Property Parameters
2.3.2. Combustion
2.3.3. Heat Exchange
2.3.4. Gas Leakage
2.3.5. High-Altitude Environment
2.4. Evaluation Parameters
3. Results and Discussion
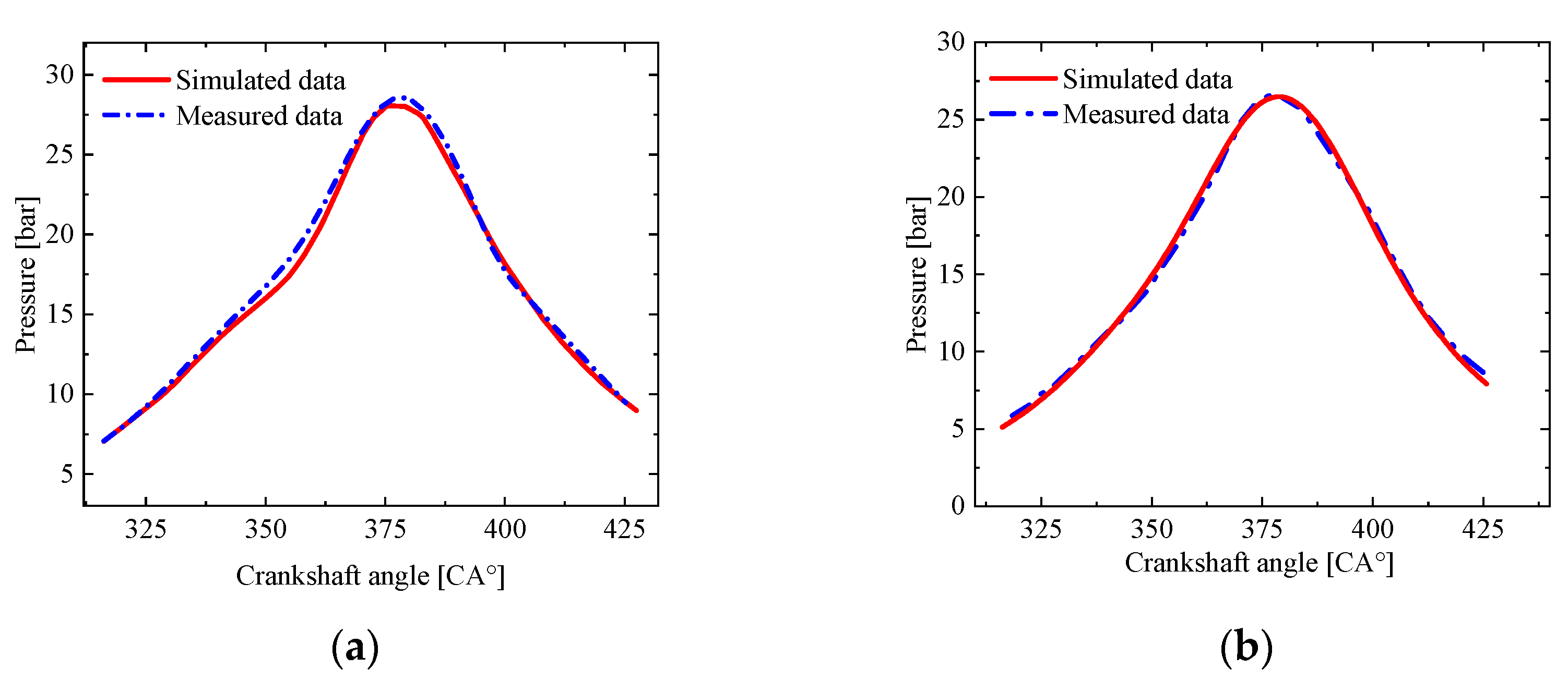
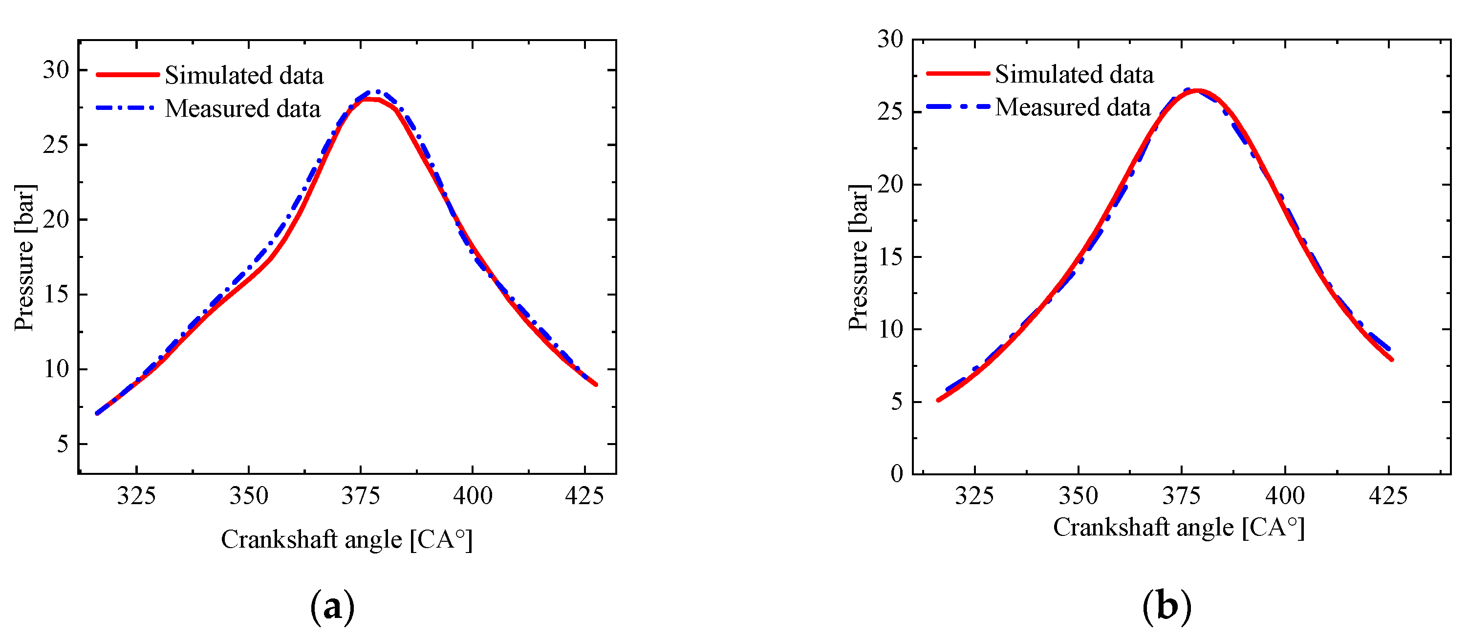
3.1. Model Verification
3.2. Effects of Operating Parameters on the High-Altitude Working State
3.2.1. Combustion Duration Angle
3.2.2. In-Cylinder Pressure
3.3. Effects of Operating Parameters on High-Altitude Performance
3.3.1. Indicated Power
3.3.2. Indicated Thermal Efficiency
3.3.3. Indicated Specific Fuel Cost
4. Conclusions
- (1)
- At an altitude of 6 [km], the combustion duration angle under the pure gasoline condition was 92.0 [CA°], 88.5% higher than that at an altitude of 0 [km]. As the hydrogen fraction increased to 0.3, the combustion duration angle decreased to 26.5 [CA°], 28.8% of that at 6 [km]. In addition, a delayed ignition or low rotational speed were other methods that reduced the combustion duration angle.
- (2)
- With the increase in altitude from 0 [km] to 6 [km], the peak pressure dropped from 5.5 [MPa] to 2.7 [MPa]. This problem can be resolved by increasing the hydrogen fraction or decreasing the rotational speed. It is worth noting that at a hydrogen fraction of 0.3, the peak pressure of 6.6 [MPa] appeared at 365 [CA°], which was too late to be favorable for its conversion to mechanical energy.
- (3)
- Under the pure gasoline condition, the indicated thermal efficiency at an altitude of 6 [km] was only 20.3 [kW], 69.8% of that at an altitude of 0 [km]. The improvement effect of hydrogen was more pronounced with increasing altitude. At an altitude of 6 [km], the maximum indicated power, 33.6 [kW], appeared under a hydrogen fraction of 0.3 and a ignition angle of 345 [CA°].
- (4)
- The maximum thermal efficiencies at altitudes of 0 [km] and 6 [km] were 44.2% and 36.4% at an optimal hydrogen fraction of 0.0 and 0.15, respectively. In high-altitude environments, at a rotational speed of 7000 [rpm], an ignition angle of 340–345 [CA°] was beneficial to the indicated thermal efficiency.
- (5)
- Under the design condition, the indicated specific fuel cost at an altitude of 6 [km] reached 0.384 [$/(kW·h)], which was 0.073 [$/(kW·h)] higher than that at an altitude of 0 [km]. At an altitude of 6 [km], the indicated specific fuel cost was as low as 0.371 [$/(kW·h)] under the pure gasoline condition of an ignition angle of 340 [CA°] and a rotational speed of 5000 [rpm]. However, the indicated power was only 16.8 [kW], 69% of that under the design condition.
Author Contributions
Funding
Data Availability Statement
Acknowledgments
Conflicts of Interest
Nomenclature
| A | area [m2] | T | in-cylinder temperature [K] |
| ATDC | after top dead center | T0 | initial temperature [K] |
| B | cylinder thickness [m] | u | internal energy [J] |
| BTDC | before top dead center | v | flame propagation speed [m·s−1] |
| c | Wiebe coefficient | V | volume [m3] |
| CA | crackshaft angle [°] | Vd | displacement [m3] |
| Cf | indicated specific fuel cost [$·kW−1·h−1] | Vpit | combustion chamber pit volume [m3] |
| Dh | hydraulic diameter [m] | Greek letters | |
| e | eccentric distance [m] | φ | crackshaft angle [CA°] |
| ISFC | indicated specific fuel consumption [g·kW−1·h−1] | φ0 | combustion start angle [CA°] |
| K | shape factor | η | thermal efficiency |
| m | mass [kg] | λ | thermal conductivity [W m−1·K−1] |
| mc | combustion quality coefficient | γ | specific heat capacity [J/kg−1·K−1] |
| Nu | Nusselt number | ϕ | equivalence ratio |
| P0 | initial pressure [Pa] | Subscripts | |
| Pr | Prandtl number | b | combustion |
| Q | quantity of heat [J] | des | design condition |
| rpm | revolutions per minute | end, r, c | end cover, rotor, cylinder |
| R | gas constant [J·kg−1·K−1] | f, l, exc, v | fuel, leakage, exchange, vaporization |
| Re | Reynolds number | gas, hyd | gasoline, hydrogen |
| Rg | generating radius [m] | in out | intake, exhaust |
| S | engine stroke | sys | system |
References
- Zheng, X.; Fenzhu, J.; Shuiting, D.; Yunhai, Z.; Yu, Z.; Zhang, Q.; Farong, D. Effect of scavenge port angles on flow distribution and performance of swirl-loop scavenging in 2-stroke aircraft diesel engine. Chin. J. Aeronaut. 2021, 34, 105–117. [Google Scholar]
- Kuitche, M.A.J.; Botez, R.M. Modeling novel methodologies for unmanned aerial systems–Applications to the UAS-S4 Ehecatl and the UAS-S45 Bálaam. Chin. J. Aeronaut. 2019, 32, 58–77. [Google Scholar] [CrossRef]
- Mattarelli, E.; Rinaldini, C.A.; Wilksch, M. 2-stroke high speed diesel engines for light aircraft. SAE Int. J. Engines 2011, 4, 2338–2360. [Google Scholar] [CrossRef]
- Paredes, J.A.; Saito, C.; Abarca, M.; Cuellar, F. Study of effects of high-altitude environments on multicopter and fixed-wing UAVs' energy consumption and flight time. In Proceedings of the 13th IEEE Conference on Automation Science and Engineering (CASE), Xi’an, China, 20–23 August 2017; pp. 1645–1650. [Google Scholar]
- Meng, H.; Ji, C.; Yang, J.; Chang, K.; Xin, G.; Wang, S. A knock study of hydrogen-fueled Wankel rotary engine. Fuel 2022, 321, 124121. [Google Scholar] [CrossRef]
- Sadiq, G.A.; Al-Dadah, R.; Mahmoud, S. Development of rotary Wankel devices for hybrid automotive applications. Energy Convers. Manag. 2019, 202, 112159. [Google Scholar] [CrossRef]
- Ozcanli, M.; Bas, O.; Akar, M.A.; Yildizhan, S.; Serin, H. Recent studies on hydrogen usage in Wankel SI engine. Int. J. Hydrog. Energy 2018, 43, 18037–18045. [Google Scholar] [CrossRef]
- Zhang, Y.; Wang, W. Effects of leakage and friction on the miniaturization of a Wankel compressor. Front. Energy 2011, 5, 83–92. [Google Scholar] [CrossRef]
- Wang, W.; Zuo, Z.; Liu, J. Miniaturization limitations of rotary internal combustion engines. Energy Convers. Manag. 2016, 112, 101–114. [Google Scholar] [CrossRef]
- Ribau, J.; Silva, C.; Brito, F.P.; Martins, J. Analysis of four-stroke, Wankel, and microturbine based range extenders for electric vehicles. Energy Convers. Manag. 2012, 58, 120–133. [Google Scholar] [CrossRef]
- Meng, H.; Ji, C.; Yang, J.; Wang, S.; Xin, G.; Chang, K.; Wang, H. Experimentally investigating the asynchronous ignition on a hydrogen-fueled Wankel rotary engine. Fuel 2022, 312, 122988. [Google Scholar] [CrossRef]
- Finkelberg, L.; Kostuchenkov, A.; Zelentsov, A.; Minin, V. Improvement of combustion process of spark-ignited aviation wankel engine. Energies 2019, 12, 2292. [Google Scholar] [CrossRef]
- Shkolnik, A.; Shkolnik, N.; Scarcella, J.; Nickerson, M.; Kopache, A.; Becker, K.; Bergin, M.; Spitulnik, A.; Equiluz, R.; Fagan, R. Compact, lightweight, high efficiency rotary engine for generator, apu, and range-extended electric vehicles. In Proceedings of the NDIA Ground Vehicule Systems Engineering and Technology Symposium, Novi, MI, USA, 16–18 August 2018. [Google Scholar]
- Shkolnik, A.; Littera, D.; Nickerson, M.; Shkolnik, N.; Cho, K. Development of a Small Rotary SI/CI Combustion Engine; SAE Technical Paper: Warrendale, PA, USA, 2014. [Google Scholar]
- Littera, D.; Nickerson, M.; Kopache, A.; Machamada, G.; Sun, C.; Schramm, A.; Medeiros, N.; Becker, K.; Shkolnik, S.; Shkolnik, A. Development of the XMv3 High Efficiency Cycloidal Engine; SAE Technical Paper: Warrendale, PA, USA, 2015. [Google Scholar]
- Nickerson, M.; Kopache, A.; Shkolnik, A.; Becker, K.; Shkolnik, N.; Bergin, M.; Spitulnik, A.; Mikhailov, K.; Equiluz, R.; Fagan, R. Preliminary Development of a 30 kW Heavy Fueled Compression Ignition Rotary ‘X’Engine with Target 45% Brake Thermal Efficiency. In Proceedings of the WCX World Congress Experience, Detroit, MI, USA, 10–12 April 2018. [Google Scholar]
- Shkolnik, N.; Nickerson, M.; Littera, D.; Shkolnik, A. Progress in Development of a Small Rotary SI Engine. In Proceedings of the Conference on Propulsion Technologies for Unmanned Aerial Vehicles, Haifa, Israe, 16 February 2015. [Google Scholar]
- Perez, P.L.; Boehman, A.L. Performance of a single-cylinder diesel engine using oxygen-enriched intake air at simulated high-altitude conditions. Aerosp. Sci. Technol. 2010, 14, 83–94. [Google Scholar] [CrossRef]
- Wang, J.; Shen, L.; Bi, Y.; Lei, J. Modeling and optimization of a light-duty diesel engine at high altitude with a support vector machine and a genetic algorithm. Fuel 2021, 285, 119137. [Google Scholar] [CrossRef]
- Otchere, P.; Pan, J.; Fan, B.; Chen, W.; Lu, Y. Recent studies of fuels used in Wankel rotary engines. J. Energy Resour. Technol. 2021, 143, 030801. [Google Scholar] [CrossRef]
- Ji, C.; Meng, H.; Wang, S.; Wang, D.; Yang, J.; Shi, C.; Ma, Z. Realizing stratified mixtures distribution in a hydrogen-enriched gasoline Wankel engine by different compound intake methods. Energy Convers. Manag. 2020, 203, 112230. [Google Scholar] [CrossRef]
- Oh, S.; Park, C.; Nguyen, D.; Kim, S.; Kim, Y.; Choi, Y.; Lee, J. Investigation on the operable range and idle condition of hydrogen-fueled spark ignition engine for unmanned aerial vehicle (UAV). Energy 2021, 237, 121645. [Google Scholar] [CrossRef]
- Kaya, N.; Turan, Ö.; Midilli, A.; Karakoç, T.H. Exergetic sustainability improvement potentials of a hydrogen fuelled turbofan engine UAV by heating its fuel with exhaust gasses. Int. J. Hydrogen Energy 2016, 41, 8307–8322. [Google Scholar] [CrossRef]
- Su, T.; Ji, C.; Wang, S.; Cong, X.; Shi, L. Improving performance of a gasoline Wankel rotary by hydrogen enrichment at different conditions. Energy Convers. Manag. 2018, 171, 721–728. [Google Scholar] [CrossRef]
- Shi, C.; Ji, C.; Wang, S.; Yang, J.; Wang, H. Experimental and numerical study of combustion and emissions performance in a hydrogen-enriched Wankel engine at stoichiometric and lean operations. Fuel 2021, 291, 120181. [Google Scholar] [CrossRef]
- Amrouche, F.; Erickson, P.A.; Varnhagen, S.; Park, J.W. An experimental analysis of hydrogen enrichment on combustion characteristics of a gasoline Wankel engine at full load and lean burn regime. Int. J. Hydrogen Energy 2018, 43, 19250–19259. [Google Scholar] [CrossRef]
- Yang, J.; Ji, C.; Wang, S.; Wang, D.; Shi, C.; Ma, Z.; Zhang, B. Numerical study of hydrogen direct injection strategy on mixture formation and combustion process in a partially premixed gasoline Wankel rotary engine. Energy Convers. Manag. 2018, 176, 184–193. [Google Scholar] [CrossRef]
- Francesconi, M.; Antonelli, M. A numerical model for the prediction of the fluid dynamic and mechanical losses of a Wankel-type expansion device. Appl. Energy 2017, 205, 225–235. [Google Scholar] [CrossRef]
- Boretti, A. CAD/CFD/CAE Modelling of Wankel Engines for UAV; SAE Technical Paper: Warrendale, PA, USA, 2015. [Google Scholar]
- Kim, N.; Ko, I.; Min, K. Development of a zero-dimensional turbulence model for a spark ignition engine. Int. J. Engine Res. 2019, 20, 441–451. [Google Scholar] [CrossRef]
- Sui, C.; Song, E.; Stapersma, D.; Ding, Y. Mean value modelling of diesel engine combustion based on parameterized finite stage cylinder process. Ocean Eng. 2017, 136, 218–232. [Google Scholar] [CrossRef]
- Yasar, H.; Soyhan, H.S.; Walmsley, H.; Head, B.; Sorusbay, C. Double-Wiebe function: An approach for single-zone HCCI engine modeling. Appl. Therm. Eng. 2008, 28, 1284–1290. [Google Scholar] [CrossRef]
- Cho, J.; Song, S. Prediction of hydrogen-added combustion process in T-GDI engine using artificial neural network. Appl. Therm. Eng. 2020, 181, 115974. [Google Scholar] [CrossRef]
- Liu, J. Numerical Modeling and Simulation for Small-Scale Rotary Engine; Beijing Institute of Technology Press: Beijing, China, 2020; Volume 1, p. 269. [Google Scholar]
- Metghalchi, M.; Keck, J. Burning Velocities of Mixtures of Air with Methanol, Isooctane, and Indolene at High Pressure and Temperature. Combust. Flame 1982, 48, 191–210. [Google Scholar] [CrossRef]
- Costa, T.J.; Nickerson, M.; Littera, D.; Martins, J.; Shkolnik, A.; Shkolnik, N.; Brito, F. Measurement and Prediction of Heat Transfer Losses on the XMv3 Rotary Engine. SAE Int. J. Engines 2016, 9, 2368–2380. [Google Scholar] [CrossRef]
- Woschni, G. A universally applicable equation for the instantaneous heat transfer coefficient in the internal combustion engine. SAE Technical paper: Warrendale, PA, USA, 1967. [Google Scholar]
- Leboeuf, M.; Dufault, J.-F.; Nickerson, M.; Becker, K.; Kopache, A.; Shkolnik, N.; Shkolnik, A.; Picard, M. Performance of a Low-Blowby Sealing System for a High Efficiency Rotary Engine; SAE Technical Paper: Warrendale, PA, USA, 2018. [Google Scholar]
- Chen, W.; Pan, J.; Yang, W.; Liu, Y.; Fan, B.; Lu, Y.; Otchere, P. Stratified combustion characteristics analysis and assisted-ignition strategy optimization in a natural gas blended diesel Wankel engine. Fuel 2021, 292, 120192. [Google Scholar] [CrossRef]














| Type | Reciprocating Engine | Wankel Engine | HEHC Rotary Engine | |
|---|---|---|---|---|
| Two-Stroke | Four-Stroke | |||
| Moving component | Piston | Triangle rotor | “8” shaped rotor | |
| Kinematic pair | Crank and rod mechanism | Planetary gear mechanism | ||
| Cylinder | Barrel cylinder | “8” shaped cylinder | Triangle cylinder | |
| Crankshaft angle of per cycle [CA°]/cycle | 360 | 720 | 1080 | 720 |
| Number of chambers | 1 | 3 | ||
| Stroke | 2 | 4 | 6 | 4 |
| Component | Coordinate System | Profile Equation |
|---|---|---|
| Rotor (epitrochoid) | xr-or-yr | |
| Cylinder (outer envelope) | x-o-y |
| Parameters | Value |
|---|---|
| Type | Naturally aspirated, air-cooled |
| Fuel | Hydrogen, gasoline |
| Shape factor /K | 6.85 |
| Eccentric distance/e | 13 [mm] |
| Cylinder thickness/B | 40.1 [mm] |
| Rotational speed/n | 7000 [rpm] |
| Displacement (single cylinder)/Vd | 235 [cm3] |
| Volume of pit (single cylinder)/Vpit | 26 [cm3] |
| Ignition angle | 15 [CA°] BTDC |
| Intake valve close angle | 135 [CA°] BTDC |
| Exhaust valve open angle | 162 [CA°] ATDC |
| Aera | A | B |
|---|---|---|
| Object system (system 1) | End stage of expansion | Combustion |
| Adjacent system (system 2) | Start period of intake | End period of exhaust |
| Psys_1/Psys_2 | ||
| Air leakage state | Subcritical | Supercritical |
| Leakage mass flow [dm/dφ] | Subcritical: Supercritical: | |
| Altitude | Operating Parameters | Objective Parameter | |||
|---|---|---|---|---|---|
| Ignition Angle | Rotational Speed | Hydrogen Fraction | |||
| Case 1 | 0~6 [km] | 330~360 [CA°] | 7000 [rpm] | 0~0.3 | Indicated power |
| Case 2 | 0~6 [km] | 330~360 [CA°] | 7000 [rpm] | 0~0.3 | Indicated thermal efficiency |
| Case 3 | 0~6 [km] | 345 [CA°] | 5000~9000 [rpm] | 0~0.3 | |
| Case 4 | 0~6 [km] | 330~360 [CA°] | 5000~9000 [rpm] | 0.1 | Specific fuel cost |
Publisher’s Note: MDPI stays neutral with regard to jurisdictional claims in published maps and institutional affiliations. |
© 2022 by the authors. Licensee MDPI, Basel, Switzerland. This article is an open access article distributed under the terms and conditions of the Creative Commons Attribution (CC BY) license (https://creativecommons.org/licenses/by/4.0/).
Share and Cite
Yang, Z.; Du, Y.; Geng, Q.; Gao, X.; Er, H.; Liu, Y.; He, G. Performance Analysis of a Hydrogen-Doped High-Efficiency Hybrid Cycle Rotary Engine in High-Altitude Environments Based on a Single-Zone Model. Energies 2022, 15, 7948. https://doi.org/10.3390/en15217948
Yang Z, Du Y, Geng Q, Gao X, Er H, Liu Y, He G. Performance Analysis of a Hydrogen-Doped High-Efficiency Hybrid Cycle Rotary Engine in High-Altitude Environments Based on a Single-Zone Model. Energies. 2022; 15(21):7948. https://doi.org/10.3390/en15217948
Chicago/Turabian StyleYang, Zhenghao, Yang Du, Qi Geng, Xu Gao, Haonan Er, Yuanfei Liu, and Guangyu He. 2022. "Performance Analysis of a Hydrogen-Doped High-Efficiency Hybrid Cycle Rotary Engine in High-Altitude Environments Based on a Single-Zone Model" Energies 15, no. 21: 7948. https://doi.org/10.3390/en15217948
APA StyleYang, Z., Du, Y., Geng, Q., Gao, X., Er, H., Liu, Y., & He, G. (2022). Performance Analysis of a Hydrogen-Doped High-Efficiency Hybrid Cycle Rotary Engine in High-Altitude Environments Based on a Single-Zone Model. Energies, 15(21), 7948. https://doi.org/10.3390/en15217948

