Method for SoC Estimation in Lithium-Ion Batteries Based on Multiple Linear Regression and Particle Swarm Optimization
Abstract
1. Introduction
2. SoC Prediction Models
2.1. Multiple Linear Regression Models—MLR
2.2. Generalized Linear Model—Poisson Regression
3. Optimization Models
3.1. Genetic Algorithm
3.2. Differential Evolution
3.3. Particle Swarm Optimization (PSO)
4. Methodology
4.1. Database
- Federal Urban Driving Schedule—FUDS: It is a variable energy discharge test applied to represent the driving effects of an EV. This test includes regenerative braking, which is one of the essential characteristics of electric vehicles;
- Dynamic Stress Test—DST: It is a test profile of the variable energy discharge regime, where the battery is charged and stabilized at a controlled temperature, according to the procedure specified by the manufacturer, varying according to the model, technology, and employability of the battery under study [83];
- Beijing Dynamic Stress Test—BDST: Indicates a quantity of information about the vehicle’s operation and usage patterns, including the acceleration, speed, and deceleration, among others [81].
4.2. Training Phase
- MLR-GA: Multiple Linear Regression optimized by a genetic algorithm using 1000 individuals, one-point crossover at a rate of 70%, selection by a death tournament, and a mutation rate of 10%;
- MLR-DE: Multiple Linear Regression optimized by a differential evolution using 1000 individuals, binary crossover at a rate of 20%, greedy selection where the target vector and trail vector are compared, and the one with the highest fitness value is selected and a mutation of the best type, where the individual of more excellent fitness is added to the changeover at a rate of 20%;
- MLR-PSO: Multiple Linear Regression optimized by a PSO, where 100 particles were used, the constants and are equal to 2 and the constant is 0.8;
- SPL-MLR-GA: Multiple Linear Regression with linear interpolation with 3 nodes and 14 degrees of freedom optimized by a genetic algorithm, in which 1000 individuals were used, one-point crossover at a rate of 70%, death tournament selection and a mutation rate of 10%;
- SPL-MLR-DE: Multiple Linear Regression with linear interpolation with 3 nodes and 14 degrees of freedom optimized by differential evolution, using 1000 vectors, binary crossover at a rate of 20%, greedy selection and a mutation of the best type, being the individual with the highest fitness added in the mutation to a rate of 20%;
- SPL-MLR-PSO: Multiple Linear Regression with linear interpolation with 3 nodes and 14 degrees of freedom optimized by a PSO, where 100 particles were used, constants and equal to 2 and is 0.8;
- GLM-GA: Generalized Linear Model with Poisson regression optimized by a genetic algorithm, with 1000 individuals, point crossover at a rate of 70%, death tournament selection and a mutation rate of 10%;
- GLM-DE: Generalized Linear Model with Poisson regression optimized by differential evolution, 1000 vectors, binary crossover with a rate of 20%, greedy selection, and a mutation of the best type, in which the individual with the highest fitness is added to the mutation at a rate of 20%;
- GLM-PSO: Generalized Linear Model with Poisson regression optimized by a PSO, where 100 particles were used, constants and are equal to 2, and the constant is 0.8.
- GA—crossover rate: from 50% to 90%; mutation rate: from 5% to 20%;
- DE—crossover rate: from 10% to 50%; mutation rate: from 5% to 20%;
- PSO—constants and : from 1.5 to 2.5; : from 0.5 to 0.9.
4.3. Metrics for Performance Evaluation
5. Results
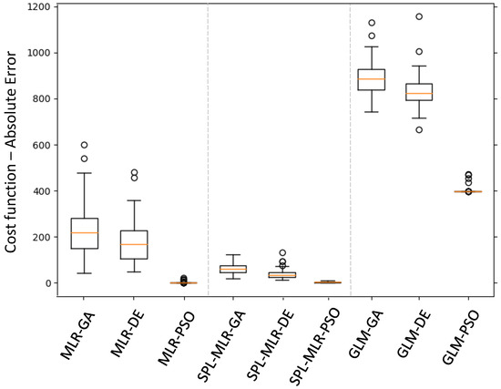
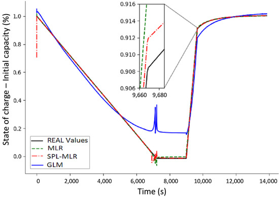
5.1. Model’s Training
5.2. Models Evaluation and Discussion
6. Conclusions
Author Contributions
Funding
Conflicts of Interest
References
- Holjevac, N.; Cheli, F.; Gobbi, M. Multi-objective vehicle optimization: Comparison of combustion engine, hybrid and electric powertrains. Proc. Inst. Mech. Eng. Part D J. Autom. Eng. 2020, 234, 469–487. [Google Scholar] [CrossRef]
- Eckert, J.J.; Barbosa, T.P.; Silva, F.L.; Roso, V.R.; Silva, L.C.; da Silva, L.A.R. Optimum fuzzy logic controller applied to a hybrid hydraulic vehicle to minimize fuel consumption and emissions. Expert Syst. Appl. 2022, 117903. [Google Scholar] [CrossRef]
- Eckert, J.J.; de Alkmin e Silva, L.C.; dos Santos Costa, E.; Santiciolli, F.M.; Corrêa, F.C.; Dedini, F.G. Optimization of electric propulsion system for a hybridized vehicle. Mech. Based Des. Struct. Mach. 2019, 47, 175–200. [Google Scholar] [CrossRef]
- Corno, M.; Pozzato, G. Active adaptive battery aging management for electric vehicles. IEEE Trans. Veh. Technol. 2019, 69, 258–269. [Google Scholar] [CrossRef]
- Li, Y.; Wang, S.; Duan, X.; Liu, S.; Liu, J.; Hu, S. Multi-objective energy management for Atkinson cycle engine and series hybrid electric vehicle based on evolutionary NSGA-II algorithm using digital twins. Energy Convers. Manag. 2021, 230, 113788. [Google Scholar] [CrossRef]
- Xun, Q.; Liu, Y. Evaluation of fluctuating voltage topology with fuel cells and supercapacitors for automotive applications. Int. J. Energy Res. 2019, 43, 4807–4819. [Google Scholar] [CrossRef]
- Hazra, S.; Reddy, J.K. An Aspect of Noise, Vibration, and Harshness Issues in Electric Vehicles. SAE Int. J. Veh. Dyn. Stab. NVH 2021, 6, 23–33. [Google Scholar] [CrossRef]
- Padavala, P.; Inavolu, N.; Thaveedu, J.R.; Medisetti, J.R. Challenges in Noise Refinement of a Pure Electric Passenger Vehicle. SAE Int. J. Veh. Dyn. Stab. NVH 2021, 5, 45–64. [Google Scholar] [CrossRef]
- Hu, J.; Niu, X.; Jiang, X.; Zu, G. Energy management strategy based on driving pattern recognition for a dual-motor battery electric vehicle. Int. J. Energy Res. 2019, 43, 3346–3364. [Google Scholar] [CrossRef]
- Zha, Y.; Quan, X.; Ma, F.; Liu, G.; Zheng, X.; Yu, M. Stability Control for a Four-Wheel-Independent-Drive Electric Vehicle Based on Model Predictive Control. SAE Int. J. Veh. Dyn. Stab. NVH 2021, 5. [Google Scholar] [CrossRef]
- Hazra, S.; Reddy, J.K. A Review Paper on Recent Research of Noise and Vibration in Electric Vehicle Powertrain Mounting System. SAE Int. J. Veh. Dyn. Stab. NVH 2021, 6, 3–22. [Google Scholar] [CrossRef]
- Demircali, A.; Koroglu, S. Jaya algorithm-based energy management system for battery-and ultracapacitor-powered ultralight electric vehicle. Int. J. Energy Res. 2020, 44, 4977–4985. [Google Scholar] [CrossRef]
- Barbosa, T.P.; Eckert, J.J.; Roso, V.R.; Pujatti, F.J.P.; da Silva, L.A.R.; Gutiérrez, J.C.H. Fuel saving and lower pollutants emissions using an ethanol-fueled engine in a hydraulic hybrid passengers vehicle. Energy 2021, 235, 121361. [Google Scholar] [CrossRef]
- Feng, S.; Magee, C.L. Technological development of key domains in electric vehicles: Improvement rates, technology trajectories and key assignees. Appl. Energy 2020, 260, 114264. [Google Scholar] [CrossRef]
- Li, Y.; Huang, X.; Liu, D.; Wang, M.; Xu, J. Hybrid energy storage system and energy distribution strategy for four-wheel independent-drive electric vehicles. J. Clean. Prod. 2019, 220, 756–770. [Google Scholar] [CrossRef]
- Veneri, O.; Capasso, C.; Patalano, S. Experimental investigation into the effectiveness of a super-capacitor based hybrid energy storage system for urban commercial vehicles. Appl. Energy 2018, 227, 312–323. [Google Scholar] [CrossRef]
- Sarvaiya, S.; Ganesh, S.; Xu, B. Comparative analysis of hybrid vehicle energy management strategies with optimization of fuel economy and battery life. Energy 2021, 228, 120604. [Google Scholar] [CrossRef]
- Castaings, A.; Lhomme, W.; Trigui, R.; Bouscayrol, A. Energy management of a multi-source vehicle by λ-control. Appl. Sci. 2020, 10, 6541. [Google Scholar] [CrossRef]
- da Silva, S.F.; Eckert, J.J.; Silva, F.L.; Silva, L.C.; Dedini, F.G. Multi-objective optimization design and control of plug-in hybrid electric vehicle powertrain for minimization of energy consumption, exhaust emissions and battery degradation. Energy Convers. Manag. 2021, 234, 113909. [Google Scholar] [CrossRef]
- Eckert, J.J.; da Silva, S.F.; de Menezes Lourenço, M.A.; Corrêa, F.C.; Silva, L.C.; Dedini, F.G. Energy management and gear shifting control for a hybridized vehicle to minimize gas emissions, energy consumption and battery aging. Energy Convers. Manag. 2021, 240, 114222. [Google Scholar] [CrossRef]
- Hannan, M.A.; Lipu, M.; Hussain, A.; Ker, P.J.; Mahlia, T.I.; Mansor, M.; Ayob, A.; Saad, M.H.; Dong, Z. Toward enhanced state of charge estimation of lithium-ion batteries using optimized machine learning techniques. Sci. Rep. 2020, 10, 4687. [Google Scholar] [CrossRef]
- Remes, C.L.; Oliveira, S.V.G. Modelagem, Simulação e Estimação de Carga de Baterias de Lítio com Implementação de um Carregador de Baterias. Master’s Thesis, Federal University of Parana, Curitiba, Brazil, 2016. [Google Scholar]
- Berecibar, M.; Gandiaga, I.; Villarreal, I.; Omar, N.; Van Mierlo, J.; Van den Bossche, P. Critical review of state of health estimation methods of Li-ion batteries for real applications. Renew. Sustain. Energy Rev. 2016, 56, 572–587. [Google Scholar] [CrossRef]
- Lipu, M.H.; Hannan, M.; Karim, T.F.; Hussain, A.; Saad, M.H.M.; Ayob, A.; Miah, M.S.; Mahlia, T.I. Intelligent algorithms and control strategies for battery management system in electric vehicles: Progress, challenges and future outlook. J. Clean. Prod. 2021, 292, 126044. [Google Scholar] [CrossRef]
- Rahman, M.A.; Anwar, S.; Izadian, A. Electrochemical model parameter identification of a lithium-ion battery using particle swarm optimization method. J. Power Sources 2016, 307, 86–97. [Google Scholar] [CrossRef]
- Wang, L.; Zhao, X.; Liu, L.; Pan, C. State of health estimation of battery modules via differential voltage analysis with local data symmetry method. Electrochim. Acta 2017, 256, 81–89. [Google Scholar] [CrossRef]
- Miranda, M.H.; Silva, F.L.; Lourenço, M.A.; Eckert, J.J.; Silva, L.C. Electric vehicle powertrain and fuzzy controller optimization using a planar dynamics simulation based on a real-world driving cycle. Energy 2022, 238, 121979. [Google Scholar] [CrossRef]
- Li, H.; Ravey, A.; N’Diaye, A.; Djerdir, A. Online adaptive equivalent consumption minimization strategy for fuel cell hybrid electric vehicle considering power sources degradation. Energy Convers. Manag. 2019, 192, 133–149. [Google Scholar] [CrossRef]
- Omar, N.; Monem, M.A.; Firouz, Y.; Salminen, J.; Smekens, J.; Hegazy, O.; Gaulous, H.; Mulder, G.; Van den Bossche, P.; Coosemans, T.; et al. Lithium iron phosphate based battery–assessment of the aging parameters and development of cycle life model. Appl. Energy 2014, 113, 1575–1585. [Google Scholar] [CrossRef]
- Wang, B.; Hu, Q.; Wang, Z. Improving Power Output of Battery and Mode Switching Frequency Based on Real-Time Average Power Method for Multi-Mode Hybrid Energy Storage System in Electric Vehicles. IEEE Access 2020, 8, 34654–34663. [Google Scholar] [CrossRef]
- Bai, Y.; He, H.; Li, J.; Li, S.; xiong Wang, Y.; Yang, Q. Battery anti-aging control for a plug-in hybrid electric vehicle with a hierarchical optimization energy management strategy. J. Clean. Prod. 2019, 237, 117841. [Google Scholar] [CrossRef]
- Li, J.; Greye, B.; Buchholz, M.; Danzer, M.A. Interval method for an efficient state of charge and capacity estimation of multicell batteries. J. Energy Storage 2017, 13, 1–9. [Google Scholar] [CrossRef]
- Li, G.; Zhang, J.; He, H. Battery SOC constraint comparison for predictive energy management of plug-in hybrid electric bus. Appl. Energy 2017, 194, 578–587. [Google Scholar] [CrossRef]
- Eckert, J.J.; Silva, L.C.A.; Santiciolli, F.M.; Costa, E.S.; Corrêa, F.C.; Dedini, F.G. Energy storage and control optimization for an electric vehicle. Int. J. Energy Res. 2018, 44, 3506–3523. [Google Scholar] [CrossRef]
- Eckert, J.J.; Silva, L.C.; Dedini, F.G.; Correa, F.C. Electric Vehicle Powertrain and Fuzzy Control Multi-objective Optimization, considering Dual Hybrid Energy Storage Systems. IEEE Trans. Veh. Technol. 2020, 69, 3773–3782. [Google Scholar] [CrossRef]
- Hou, H.; Xue, M.; Xu, Y.; Xiao, Z.; Deng, X.; Xu, T.; Liu, P.; Cui, R. Multi-objective economic dispatch of a microgrid considering electric vehicle and transferable load. Appl. Energy 2020, 262, 114489. [Google Scholar] [CrossRef]
- Xiong, R.; Cao, J.; Yu, Q.; He, H.; Sun, F. Critical review on the battery state of charge estimation methods for electric vehicles. IEEE Access 2017, 6, 1832–1843. [Google Scholar] [CrossRef]
- Lipu, M.H.; Hannan, M.; Hussain, A.; Ayob, A.; Saad, M.H.; Karim, T.F.; How, D.N. Data-driven state of charge estimation of lithium-ion batteries: Algorithms, implementation factors, limitations and future trends. J. Clean. Prod. 2020, 277, 124110. [Google Scholar] [CrossRef]
- Shepherd, C.M. Design of primary and secondary cells: II. An equation describing battery discharge. J. Electrochem. Soc. 1965, 112, 657. [Google Scholar] [CrossRef]
- Saw, L.; Somasundaram, K.; Ye, Y.; Tay, A. Electro-thermal analysis of Lithium Iron Phosphate battery for electric vehicles. J. Power Sources 2014, 249, 231–238. [Google Scholar] [CrossRef]
- Eckert, J.J.; Barbosa, T.P.; da Silva, S.F.; Silva, F.L.; Silva, L.C.; Dedini, F.G. Electric hydraulic hybrid vehicle powertrain design and optimization-based power distribution control to extend driving range and battery life cycle. Energy Convers. Manag. 2022, 252, 115094. [Google Scholar] [CrossRef]
- da Silva, S.F.; Eckert, J.J.; Corrêa, F.C.; Silva, F.L.; Silva, L.C.; Dedini, F.G. Dual HESS electric vehicle powertrain design and fuzzy control based on multi-objective optimization to increase driving range and battery life cycle. Appl. Energy 2022, 324, 119723. [Google Scholar] [CrossRef]
- Delfino, F.; Ferro, G.; Minciardi, R.; Robba, M.; Rossi, M.; Rossi, M. Identification and optimal control of an electrical storage system for microgrids with renewables. Sustain. Energy Grids Netw. 2019, 17, 100183. [Google Scholar] [CrossRef]
- Hannan, M.; Lipu, M.; Hussain, A.; Mohamed, A. A review of lithium-ion battery state of charge estimation and management system in electric vehicle applications: Challenges and recommendations. Renew. Sustain. Energy Rev. 2017, 78, 834–854. [Google Scholar] [CrossRef]
- Zhang, C.W.; Chen, S.R.; Gao, H.B.; Xu, K.J.; Yang, M.Y. State of charge estimation of power battery using improved back propagation neural network. Batteries 2018, 4, 69. [Google Scholar] [CrossRef]
- Ali, M.U.; Zafar, A.; Nengroo, S.H.; Hussain, S.; Junaid Alvi, M.; Kim, H.J. Towards a smarter battery management system for electric vehicle applications: A critical review of lithium-ion battery state of charge estimation. Energies 2019, 12, 446. [Google Scholar] [CrossRef]
- Vidal, C.; Malysz, P.; Kollmeyer, P.; Emadi, A. Machine learning applied to electrified vehicle battery state of charge and state of health estimation: State-of-the-art. IEEE Access 2020, 8, 52796–52814. [Google Scholar] [CrossRef]
- Lu, C.; Tao, L.; Fan, H. Li-ion battery capacity estimation: A geometrical approach. J. Power Sources 2014, 261, 141–147. [Google Scholar] [CrossRef]
- Yang, D.; Zhang, X.; Pan, R.; Wang, Y.; Chen, Z. A novel Gaussian process regression model for state-of-health estimation of lithium-ion battery using charging curve. J. Power Sources 2018, 384, 387–395. [Google Scholar] [CrossRef]
- Li, Y.; Zou, C.; Berecibar, M.; Nanini-Maury, E.; Chan, J.C.W.; van den Bossche, P.; Van Mierlo, J.; Omar, N. Random forest regression for online capacity estimation of lithium-ion batteries. Appl. Energy 2018, 232, 197–210. [Google Scholar] [CrossRef]
- Stroe, D.I.; Schaltz, E. Lithium-Ion Battery State-of-Health Estimation Using the Incremental Capacity Analysis Technique. IEEE Trans. Ind. Appl. 2020, 56, 678–685. [Google Scholar] [CrossRef]
- Li, Y.; Sheng, H.; Cheng, Y.; Stroe, D.I.; Teodorescu, R. State-of-health estimation of lithium-ion batteries based on semi-supervised transfer component analysis. Appl. Energy 2020, 277, 115504. [Google Scholar] [CrossRef]
- Shu, X.; Li, G.; Zhang, Y.; Shen, J.; Chen, Z.; Liu, Y. Online diagnosis of state of health for lithium-ion batteries based on short-term charging profiles. J. Power Sources 2020, 471, 228478. [Google Scholar] [CrossRef]
- Li, Y.; Li, K.; Liu, X.; Wang, Y.; Zhang, L. Lithium-ion battery capacity estimation—A pruned convolutional neural network approach assisted with transfer learning. Appl. Energy 2021, 285, 116410. [Google Scholar] [CrossRef]
- Li, Y.; Li, K.; Liu, X.; Zhang, L. Fast battery capacity estimation using convolutional neural networks. Trans. Inst. Meas. Control 2020, 0142331220966425. [Google Scholar] [CrossRef]
- Cheng, Y.; Song, D.; Wang, Z.; Lu, C.; Zerhouni, N. An ensemble prognostic method for lithium-ion battery capacity estimation based on time-varying weight allocation. Appl. Energy 2020, 266, 114817. [Google Scholar] [CrossRef]
- Li, X.; Yuan, C.; Li, X.; Wang, Z. State of health estimation for Li-Ion battery using incremental capacity analysis and Gaussian process regression. Energy 2020, 190, 116467. [Google Scholar] [CrossRef]
- Shen, S.; Sadoughi, M.; Chen, X.; Hong, M.; Hu, C. A deep learning method for online capacity estimation of lithium-ion batteries. J. Energy Storage 2019, 25, 100817. [Google Scholar] [CrossRef]
- Zhao, D.; Zhou, Z.; Tang, S.; Cao, Y.; Wang, J.; Zhang, P.; Zhang, Y. Online estimation of satellite lithium-ion battery capacity based on approximate belief rule base and hidden Markov model. Energy 2022, 256, 124632. [Google Scholar] [CrossRef]
- Hu, Y.; Yurkovich, S.; Guezennec, Y.; Yurkovich, B. Electro-thermal battery model identification for automotive applications. J. Power Sources 2011, 196, 449–457. [Google Scholar] [CrossRef]
- Cervelló-Royo, R.; Guijarro, F. Forecasting stock market trend: A comparison of machine learning algorithms. Financ. Mark. Valuat. 2020, 6, 37–49. [Google Scholar] [CrossRef]
- Álvarez Antón, J.C.; García Nieto, P.J.; García Gonzalo, E.; Viera Pérez, J.C.; González Vega, M.; Blanco Viejo, C. A New Predictive Model for the State-of-Charge of a High-Power Lithium-Ion Cell Based on a PSO-Optimized Multivariate Adaptive Regression Spline Approach. IEEE Trans. Veh. Technol. 2016, 65, 4197–4208. [Google Scholar] [CrossRef]
- Belotti, J.T.; Castanho, D.S.; Araujo, L.N.; da Silva, L.V.; Alves, T.A.; Tadano, Y.S.; Stevan, S.L., Jr.; Correa, F.C.; Siqueira, H.V. Air pollution epidemiology: A simplified Generalized Linear Model approach optimized by bio-inspired metaheuristics. Environ. Res. 2020, 191, 110106. [Google Scholar] [CrossRef] [PubMed]
- Ahmadzadeh, E.; Lee, J.; Moon, I. Optimized Neural Network Weights and Biases Using Particle Swarm Optimization Algorithm for Prediction Applications. J. Korea Multimed. Soc. 2017, 20, 1406–1420. [Google Scholar]
- Santos, P.; Macedo, M.; Figueiredo, E.; Santana, C.J.; Soares, F.; Siqueira, H.; Maciel, A.; Gokhale, A.; Bastos-Filho, C.J. Application of PSO-based clustering algorithms on educational databases. In Proceedings of the 2017 IEEE Latin American Conference on Computational Intelligence (LA-CCI), Arequipa, Peru, 8–10 November 2017; pp. 1–6. [Google Scholar]
- Puchta, E.D.P.; Siqueira, H.V.; dos Santos Kaster, M. Optimization tools based on metaheuristics for performance enhancement in a Gaussian adaptive PID controller. IEEE Trans. Cybern. 2019, 50, 1185–1194. [Google Scholar] [CrossRef]
- Siqueira, H.; Macedo, M.; de Souza Tadano, Y.; Alves, T.A.; Stevan, S.L., Jr.; Oliveira, D.S., Jr.; Marinho, M.H.; de Mattos Neto, P.S.; de Oliveira, J.F.; Luna, I.; et al. Selection of temporal lags for predicting riverflow series from hydroelectric plants using variable selection methods. Energies 2020, 13, 4236. [Google Scholar] [CrossRef]
- Campos, D.S.; de Souza Tadano, Y.; Alves, T.A.; Siqueira, H.V.; de Nóbrega Marinho, M.H. Unorganized machines and linear multivariate regression model applied to atmospheric pollutant forecasting. Acta Scientiarum. Technol. 2020, 42, e48203. [Google Scholar] [CrossRef]
- Lazzarin, L.A. Método ensemble baseado em redes neurais artificiais para estimação de internações por doenças respiratórias. Master’s Thesis, Universidade Tecnológica Federal do Paraná, Curitiba, Brazil, 2019. [Google Scholar]
- Neuhaus, J.; McCulloch, C. Generalized linear models. Wiley Interdiscip. Rev. Comput. Stat. 2011, 3, 407–413. [Google Scholar] [CrossRef]
- Holland, J.H. Genetic Algorithms. Sci. Am. 1992, 267, 66–73. [Google Scholar] [CrossRef]
- Figueiredo, E.; Macedo, M.; Siqueira, H.V.; Santana, C.J., Jr.; Gokhale, A.; Bastos-Filho, C.J. Swarm intelligence for clustering—A systematic review with new perspectives on data mining. Eng. Appl. Artif. Intell. 2019, 82, 313–329. [Google Scholar] [CrossRef]
- Puchta, E.D.; Lucas, R.; Ferreira, F.R.; Siqueira, H.V.; Kaster, M.S. Gaussian adaptive PID control optimized via genetic algorithm applied to a step-down DC-DC converter. In Proceedings of the 2016 12th IEEE International Conference on Industry Applications (INDUSCON), Curitiba, PR, Brazil, 20–23 November 2016; pp. 1–6. [Google Scholar] [CrossRef]
- Michalewicz, Z. Evolution Strategies and Other Methods. In Genetic Algorithms + Data Structures = Evolution Programs; Michalewicz, Z., Ed.; Springer: Berlin/Heidelberg, Germany, 1996; pp. 159–177. [Google Scholar]
- De Castro, L.N. Fundamentals of Natural Computing; Chapman and Hall/CRC: Boca Raton, FL, USA, 2006; p. 696. [Google Scholar]
- Goldberg, D.E. The Design of Innovation: Lessons from and for Competent Genetic Algorithms; Springer: Berlin/Heidelberg, Germany, 2002; Volume 1. [Google Scholar]
- Storn, R.; Price, K. Differential evolution a simple and efficient heuristic for global optimization over continuous spaces. J. Glob. Optim. 1997, 11, 341–359. [Google Scholar] [CrossRef]
- Eberhart, R.; Kennedy, J. Particle swarm optimization. In Proceedings of the IEEE International Conference on Neural Networks, Perth, Australia, 27 November–1 December 1995; Volume 4, pp. 1942–1948. [Google Scholar] [CrossRef]
- Clerc, M.; Kennedy, J. The particle swarm-explosion, stability, and convergence in a multidimensional complex space. IEEE Trans. Evol. Comput. 2002, 6, 58–73. [Google Scholar] [CrossRef]
- Pecht, M. CALCE—Center for Advanced Life Cycle Engineering—Battery Research Group—University of Maryland. Available online: https://web.calce.umd.edu/batteries/data.htm (accessed on 4 July 2021).
- Zheng, F.; Xing, Y.; Jiang, J.; Sun, B.; Kim, J.; Pecht, M. Influence of different open circuit voltage tests on state of charge online estimation for lithium-ion batteries. Appl. Energy 2016, 183, 513–525. [Google Scholar] [CrossRef]
- USABC Electric Vehicle Battery Test Procedures Manual. Revision 2; Lockheed Idaho Technologies Co.: Idaho Falls, ID, USA, 1996. [Google Scholar] [CrossRef]
- Hunt, G. USABC Electric Vehicle Battery Test Procedures Manual; United States Department of Energy: Washington, DC, USA, 1996.
- Berry, I.M. The Effects of Driving Style and Vehicle Performance on the Real-World Fuel Consumption of US Light-Duty Vehicles. Ph.D. Thesis, Massachusetts Institute of Technology, Cambridge, MA, USA, 2010. [Google Scholar]
- Box, G.E.; Jenkins, G.M.; Reinsel, G.C.; Ljung, G.M. Time Series Analysis: Forecasting and Control; John Wiley & Sons: Hoboken, NJ, USA, 2015. [Google Scholar]
- Eberhart, R.C.; Shi, Y. Comparison between genetic algorithms and particle swarm optimization. In International Conference on Evolutionary Programming; Springer: Berlin/Heidelberg, Germany, 1998; pp. 611–616. [Google Scholar]







| Methodology of SoC Estimator/Forecast | Battery Type Used | Performance Index | Precision Related | Reference |
|---|---|---|---|---|
| Geometrical approach based on Laplacian eigenmap method | NASA 18650 | RMSE | <3.84% | [48] |
| Gaussian process regression model | NASA 18650 | RMSE | 3.45% | [49] |
| Random forest regression | Nickel-Manganese-Cobalt (NMC) batteries | RMSE | 1.3% | [50] |
| Incremental capacity analysis technique | Prismatic Li-ion Battery | RMSE | 2.99% | [51] |
| Semi-supervised transfer component analysis | NASA 18650 | MAE | <1.29% | [52] |
| Short-term charging profiles | NCM/graphite | RMSE | 2% | [53] |
| Convolutional Neural Networks (CNN) | Commercial lithium-ion | RMSE | <2.54% | [55] |
| An ensemble prognostic method | NASA 18650 | RMSE | [56] | |
| Incremental capacity analysis and Gaussian process regression | NASA 18650 | RMSE | 1.38% | [57] |
| Deep Convolutional Neural Network (DCNN) | NASA 18650 | RMSE | <2% | [58] |
| Approximate belief rule base and hidden Markov model— (ABRB-HMM) | Cylindrical battery (20 Ah, 4.1 V) | MSE | 0.056 | [59] |
| Model | Absolute Error (AE) | Fitness |
|---|---|---|
| MLR-GA | 4.31 | 0.0226 |
| MLR-DE | 4.84 | 0.0202 |
| MLR-PSO | 6.00 | 0.9999 |
| SPL-MLR-GA | 2.26 | 0.0424 |
| SPL-MLR-DE | 1.46 | 0.0641 |
| SPL-MLR-PSO | 1.10 | 0.9989 |
| GLM-GA | 7.41 | 0.0013 |
| GLM-DE | 6.64 | 0.0015 |
| GLM-PSO | 3.97 | 0.0025 |
| 50% SoC | 80% SoC | |||||||
|---|---|---|---|---|---|---|---|---|
| AE | MAE | MSE | AE | MAE | MSE | |||
| DST | 0 °C | MLR-GA | 5.44 | 1.02 | 1.08 | 8.69 | 9.35 | 8.74 |
| MLR-DE | 6.63 | 1.24 | 1.68 | 5.49 | 5.90 | 3.50 | ||
| MLR-PSO | 6.42 | 1.20 | 1.47 | 1.06 | 1.14 | 1.30 | ||
| 25 °C | MLR-GA | 5.38 | 1.02 | 2.87 | 8.98 | 9.52 | 9.08 | |
| MLR-DE | 1.30 | 2.46 | 9.60 | 5.32 | 5.64 | 3.19 | ||
| MLR-PSO | 6.59 | 1.25 | 2.44 | 1.09 | 1.16 | 1.34 | ||
| 45 °C | MLR-GA | 5.04 | 9.40 | 8.83 | 4.39 | 4.66 | 2.40 | |
| MLR-DE | 3.23 | 6.01 | 3.62 | 2.76 | 2.93 | 1.17 | ||
| MLR-PSO | 6.10 | 1.14 | 1.29 | 5.51 | 5.85 | 3.73 | ||
| FUDS | 0 °C | MLR-GA | 6.42 | 1.13 | 1.32 | 9.02 | 9.49 | 9.43 |
| MLR-DE | 7.52 | 1.32 | 1.91 | 9.75 | 1.03 | 1.25 | ||
| MLR-PSO | 7.54 | 1.33 | 1.79 | 1.10 | 1.16 | 1.38 | ||
| 25 °C | MLR-GA | 3.14 | 5.58 | 3.12 | 1.45 | 1.49 | 3.44 | |
| MLR-DE | 1.96 | 3.49 | 1.23 | 2.29 | 2.35 | 9.08 | ||
| MLR-PSO | 3.76 | 6.68 | 4.47 | 1.65 | 1.70 | 4.25 | ||
| 45 °C | MLR-GA | 3.07 | 5.49 | 3.31 | 5.53 | 5.69 | 3.55 | |
| MLR-DE | 1.41 | 2.52 | 9.50 | 3.33 | 3.42 | 1.58 | ||
| MLR-PSO | 4.34 | 7.75 | 6.23 | 7.20 | 7.40 | 5.81 | ||
| US06 | 0 °C | MLR-GA | 4.06 | 7.90 | 6.55 | 4.23 | 4.68 | 2.47 |
| MLR-DE | 5.24 | 1.02 | 1.15 | 5.78 | 6.40 | 5.52 | ||
| MLR-PSO | 4.73 | 9.21 | 8.70 | 5.37 | 5.93 | 3.74 | ||
| 25 °C | MLR-GA | 1.33 | 2.58 | 8.03 | 1.11 | 1.22 | 2.21 | |
| MLR-DE | 9.08 | 1.76 | 4.64 | 1.73 | 1.90 | 5.66 | ||
| MLR-PSO | 2.00 | 3.87 | 1.65 | 1.31 | 1.44 | 3.10 | ||
| 45 °C | MLR-GA | 2.86 | 5.59 | 3.32 | 5.13 | 5.66 | 3.40 | |
| MLR-DE | 1.37 | 2.67 | 1.02 | 3.29 | 3.62 | 1.70 | ||
| MLR-PSO | 3.96 | 7.74 | 6.15 | 6.44 | 7.11 | 5.31 | ||
| BJDST | 0 °C | MLR-GA | 3.00 | 5.53 | 3.22 | 7.29 | 7.73 | 6.11 |
| MLR-DE | 4.25 | 7.83 | 6.79 | 6.66 | 7.06 | 5.86 | ||
| MLR-PSO | 3.49 | 6.43 | 4.26 | 9.26 | 9.82 | 9.81 | ||
| 25 °C | MLR-GA | 1.57 | 2.93 | 9.51 | 2.95 | 3.10 | 1.05 | |
| MLR-DE | 7.92 | 1.48 | 3.15 | 2.22 | 2.34 | 7.06 | ||
| MLR-PSO | 2.32 | 4.33 | 1.98 | 3.53 | 3.71 | 1.60 | ||
| 45 °C | MLR-GA | 3.07 | 5.74 | 3.38 | 5.51 | 5.84 | 3.50 | |
| MLR-DE | 1.58 | 2.95 | 1.10 | 3.81 | 4.03 | 1.90 | ||
| MLR-PSO | 4.18 | 7.81 | 6.21 | 6.70 | 7.10 | 5.25 | ||
| 50% SoC | 80% SoC | |||||||
|---|---|---|---|---|---|---|---|---|
| AE | MAE | MSE | AE | MAE | MSE | |||
| DST | 0 °C | SPL-MLR-GA | 1.30 | 2.40 | 1.60 | 5.25 | 5.60 | 8.70 |
| SPL-MLR-DE | 8.97 | 1.70 | 7.00 | 5.40 | 5.80 | 1.20 | ||
| SPL-MLR-PSO | 8.40 | 1.60 | 1.00 | 1.01 | 1.08 | 4.69 | ||
| 25 °C | SPL-MLR-GA | 1.28 | 2.40 | 1.60 | 5.61 | 6.00 | 9.80 | |
| SPL-MLR-DE | 7.09 | 1.30 | 5.00 | 5.61 | 5.90 | 1.26 | ||
| SPL-MLR-PSO | 2.22 | 4.00 | 1.00 | 1.04 | 1.11 | 4.89 | ||
| 45 °C | SPL-MLR-GA | 2.92 | 5.40 | 8.10 | 2.36 | 2.50 | 1.80 | |
| SPL-MLR-DE | 3.05 | 5.70 | 1.20 | 1.29 | 1.40 | 6.00 | ||
| SPL-MLR-PSO | 5.70 | 1.06 | 4.51 | 3.15 | 3.00 | 1.00 | ||
| FUDS | 0 °C | SPL-MLR-GA | 1.40 | 2.50 | 1.70 | 2.59 | 2.70 | 2.10 |
| SPL-MLR-DE | 9.31 | 1.60 | 8.00 | 1.69 | 1.80 | 9.00 | ||
| SPL-MLR-PSO | 1.06 | 1.90 | 1.40 | 1.83 | 1.90 | 1.60 | ||
| 25 °C | SPL-MLR-GA | 2.42 | 4.30 | 4.50 | 2.54 | 2.60 | 2.00 | |
| SPL-MLR-DE | 2.08 | 3.70 | 5.00 | 1.41 | 1.40 | 6.00 | ||
| SPL-MLR-PSO | 3.75 | 6.70 | 1.78 | 8.47 | 9.00 | 4.00 | ||
| 45 °C | SPL-MLR-GA | 1.23 | 2.20 | 1.50 | 2.42 | 2.50 | 1.80 | |
| SPL-MLR-DE | 6.74 | 1.20 | 4.00 | 1.32 | 1.40 | 5.00 | ||
| SPL-MLR-PSO | 1.42 | 3.00 | 3.40 | 4.75 | 5.00 | 1.00 | ||
| US06 | 0 °C | SPL-MLR-GA | 1.22 | 2.40 | 1.40 | 2.36 | 2.60 | 1.80 |
| SPL-MLR-DE | 7.78 | 1.50 | 6.00 | 1.48 | 1.60 | 7.00 | ||
| SPL-MLR-PSO | 6.14 | 1.20 | 6.00 | 8.79 | 1.00 | 4.00 | ||
| 25 °C | SPL-MLR-GA | 1.22 | 2.40 | 1.40 | 2.45 | 2.70 | 1.90 | |
| SPL-MLR-DE | 6.62 | 1.30 | 4.00 | 1.36 | 1.50 | 6.00 | ||
| SPL-MLR-PSO | 7.05 | 1.36 | 1.00 | 4.13 | 5.00 | 1.00 | ||
| 45 °C | SPL-MLR-GA | 1.16 | 2.30 | 1.30 | 2.31 | 2.50 | 1.70 | |
| SPL-MLR-DE | 6.37 | 1.20 | 4.00 | 1.28 | 1.40 | 6.00 | ||
| SPL-MLR-PSO | 1.43 | 2.80 | 4.00 | 2.16 | 2.28 | 3.10 | ||
| BJDST | 0 °C | SPL-MLR-GA | 1.23 | 2.30 | 1.30 | 2.65 | 2.80 | 2.10 |
| SPL-MLR-DE | 7.79 | 1.40 | 5.00 | 1.70 | 1.80 | 8.00 | ||
| SPL-MLR-PSO | 3.77 | 7.00 | 2.00 | 9.23 | 1.00 | 4.00 | ||
| 25 °C | SPL-MLR-GA | 1.20 | 2.20 | 1.20 | 2.53 | 2.70 | 1.80 | |
| SPL-MLR-DE | 6.56 | 1.20 | 4.00 | 1.41 | 1.50 | 6.00 | ||
| SPL-MLR-PSO | 8.91 | 1.66 | 1.16 | 1.30 | 1.37 | 9.15 | ||
| 45 °C | SPL-MLR-GA | 1.17 | 2.20 | 1.20 | 2.44 | 2.60 | 1.70 | |
| SPL-MLR-DE | 6.44 | 1.20 | 4.00 | 1.38 | 1.50 | 6.00 | ||
| SPL-MLR-PSO | 2.47 | 5.00 | 1.00 | 4.02 | 4.25 | 7.37 | ||
| 50% SoC | 80% SoC | |||||||
|---|---|---|---|---|---|---|---|---|
| AE | MAE | MSE | AE | MAE | MSE | |||
| DST | 0 °C | GLM-GA | 4.00 | 7.00 | 3.10 | 4.03 | 4.30 | 1.92 |
| GLM-DE | 3.96 | 7.00 | 3.20 | 4.02 | 4.30 | 1.87 | ||
| GLM-PSO | 6.78 | 1.27 | 4.67 | 6.70 | 7.21 | 1.63 | ||
| 25 °C | GLM-GA | 1.71 | 3.00 | 2.38 | 4.06 | 4.30 | 2.06 | |
| GLM-DE | 1.73 | 3.00 | 2.27 | 4.04 | 4.30 | 1.96 | ||
| GLM-PSO | 4.19 | 8.00 | 2.09 | 3.14 | 3.33 | 1.77 | ||
| 45 °C | GLM-GA | 1.54 | 2.90 | 2.15 | 4.95 | 5.00 | 1.55 | |
| GLM-DE | 1.53 | 2.90 | 2.07 | 7.22 | 8.00 | 1.49 | ||
| GLM-PSO | 4.00 | 7.46 | 1.66 | 3.62 | 3.80 | 1.16 | ||
| FUDS | 0 °C | GLM-GA | 4.73 | 8.00 | 3.24 | 1.07 | 1.10 | 2.56 |
| GLM-DE | 4.68 | 8.00 | 3.34 | 1.07 | 1.10 | 2.65 | ||
| GLM-PSO | 1.19 | 2.09 | 6.98 | 1.54 | 1.62 | 4.72 | ||
| 25 °C | GLM-GA | 1.38 | 2.50 | 1.15 | 2.78 | 3.00 | 1.89 | |
| GLM-DE | 1.36 | 2.40 | 1.10 | 3.81 | 4.00 | 1.83 | ||
| GLM-PSO | 1.91 | 3.39 | 5.69 | 1.20 | 1.20 | 2.73 | ||
| 45 °C | GLM-GA | 3.43 | 6.00 | 1.90 | 6.78 | 7.00 | 1.48 | |
| GLM-DE | 4.37 | 8.00 | 1.81 | 8.96 | 9.00 | 1.42 | ||
| GLM-PSO | 1.47 | 2.60 | 1.56 | 3.95 | 4.10 | 1.53 | ||
| US06 | 0 °C | GLM-GA | 3.22 | 6.00 | 2.82 | 5.52 | 6.00 | 2.08 |
| GLM-DE | 3.09 | 6.00 | 2.90 | 5.25 | 6.00 | 2.14 | ||
| GLM-PSO | 2.35 | 4.58 | 1.52 | 1.51 | 1.67 | 2.60 | ||
| 25 °C | GLM-GA | 1.52 | 3.00 | 2.12 | 2.69 | 3.00 | 1.89 | |
| GLM-DE | 2.41 | 5.00 | 2.02 | 3.20 | 4.00 | 1.80 | ||
| GLM-PSO | 9.66 | 1.90 | 6.57 | 8.22 | 9.00 | 2.24 | ||
| 45 °C | GLM-GA | 3.07 | 6.00 | 1.86 | 6.17 | 7.00 | 1.47 | |
| GLM-DE | 3.97 | 8.00 | 1.75 | 8.31 | 9.00 | 1.39 | ||
| GLM-PSO | 1.38 | 2.70 | 1.50 | 3.67 | 4.00 | 1.40 | ||
| BJDST | 0 °C | GLM-GA | 2.83 | 5.00 | 2.60 | 9.19 | 1.00 | 2.39 |
| GLM-DE | 2.62 | 5.00 | 2.62 | 8.54 | 9.00 | 2.38 | ||
| GLM-PSO | 9.65 | 1.78 | 2.40 | 9.50 | 1.01 | 3.15 | ||
| 25 °C | GLM-GA | 1.69 | 3.00 | 2.10 | 2.74 | 3.00 | 1.67 | |
| GLM-DE | 2.59 | 5.00 | 1.96 | 4.98 | 5.00 | 1.56 | ||
| GLM-PSO | 1.05 | 2.00 | 7.01 | 2.88 | 3.00 | 6.29 | ||
| 45 °C | GLM-GA | 3.23 | 6.00 | 1.86 | 6.39 | 7.00 | 1.47 | |
| GLM-DE | 4.28 | 8.00 | 1.72 | 8.92 | 9.00 | 1.35 | ||
| GLM-PSO | 1.43 | 2.70 | 1.45 | 3.80 | 4.00 | 1.34 | ||
Publisher’s Note: MDPI stays neutral with regard to jurisdictional claims in published maps and institutional affiliations. |
© 2022 by the authors. Licensee MDPI, Basel, Switzerland. This article is an open access article distributed under the terms and conditions of the Creative Commons Attribution (CC BY) license (https://creativecommons.org/licenses/by/4.0/).
Share and Cite
Castanho, D.; Guerreiro, M.; Silva, L.; Eckert, J.; Antonini Alves, T.; Tadano, Y.d.S.; Stevan, S.L., Jr.; Siqueira, H.V.; Corrêa, F.C. Method for SoC Estimation in Lithium-Ion Batteries Based on Multiple Linear Regression and Particle Swarm Optimization. Energies 2022, 15, 6881. https://doi.org/10.3390/en15196881
Castanho D, Guerreiro M, Silva L, Eckert J, Antonini Alves T, Tadano YdS, Stevan SL Jr., Siqueira HV, Corrêa FC. Method for SoC Estimation in Lithium-Ion Batteries Based on Multiple Linear Regression and Particle Swarm Optimization. Energies. 2022; 15(19):6881. https://doi.org/10.3390/en15196881
Chicago/Turabian StyleCastanho, Diego, Marcio Guerreiro, Ludmila Silva, Jony Eckert, Thiago Antonini Alves, Yara de Souza Tadano, Sergio Luiz Stevan, Jr., Hugo Valadares Siqueira, and Fernanda Cristina Corrêa. 2022. "Method for SoC Estimation in Lithium-Ion Batteries Based on Multiple Linear Regression and Particle Swarm Optimization" Energies 15, no. 19: 6881. https://doi.org/10.3390/en15196881
APA StyleCastanho, D., Guerreiro, M., Silva, L., Eckert, J., Antonini Alves, T., Tadano, Y. d. S., Stevan, S. L., Jr., Siqueira, H. V., & Corrêa, F. C. (2022). Method for SoC Estimation in Lithium-Ion Batteries Based on Multiple Linear Regression and Particle Swarm Optimization. Energies, 15(19), 6881. https://doi.org/10.3390/en15196881

